Abstract
We study the impact of a non-vanishing (positive) cosmological constant on the innermost and outermost stable circular orbits (ISCOs and OSCOs, respectively) within massive gravity in four dimensions. The gravitational field generated by a point-like object within this theory is known, generalizing the usual Schwarzschild–de Sitter geometry of General Relativity. In the non-relativistic limit, the gravitational potential differs by the one corresponding to the Schwarzschild–de Sitter geometry by a term that is linear in the radial coordinate with some prefactor , which is the only free parameter. Starting from the geodesic equations for massive test particles and the corresponding effective potential, we obtain a polynomial of fifth order that allows us to compute the innermost and outermost stable circular orbits. Next, we numerically compute the real and positive roots of the polynomial for several different structures (from the hydrogen atom to stars and globular clusters to galaxies and galaxy clusters) considering three distinct values of the parameter , determined using physical considerations, such as galaxy rotation curves and orbital precession. Similarly to the Kottler spacetime, both ISCOs and OSCOs appear. Their astrophysical relevance as well as the comparison with the Kottler spacetime are briefly discussed.
1. Introduction
Current observational data in astrophysics and cosmology indicate that the present Universe is dominated by dark matter and dark energy [1], the origin and nature of which still remain a mystery. The dark sector comprises one of the major challenges in modern theoretical cosmology. A positive cosmological constant, , [2] is the simplest and most economical way to explain the current cosmic acceleration, while, in the past, galaxy rotation curves provided some of the first and strongest evidence in favor of dark matter [3].
Einstein’s General Relativity (GR) [4] may be extended in several different ways, either in four or in higher dimensions—for instance, the theories of gravity [5,6], the Brans–Dicke [7,8,9] and more generically scalar-tensor theories of gravity in four dimensions, brane models [10,11], and Lovelock theory [12] in higher dimensional spacetimes. In four dimensions, the Einstein tensor is the only second-rank tensor with the following properties: (i) it is symmetric, (ii) it is divergence free, (iii) it depends only on the metric and its first and second derivatives, and (iv) it is linear in second derivatives of the metric.
However, in higher dimensions, Lovelock’s theorem states that more complicated tensors with the above properties exist. Of particular interest is massive gravity [13,14] in which a static, spherically symmetric solution to the vacuum field equations exists [15], generalizing the well-known Schwarzschild solution [16] of GR, and which is characterized by two new scales, and . The former is relevant for the current acceleration of the Universe, while the latter may be explain the galaxy rotation curves provided that [17].
The impact of a non-vanishing cosmological constant on black hole physics has been extensively investigated over the decades in an effort to determine whether or not new effects appear [18]. Certainly, such a study has been extended to other topics into General Relativity, astrophysics, and cosmology. In particular, as was recently pointed out by M. Visser and collaborators [19], new features emerge, such as outermost stable circular orbits (OSCOs), when a positive cosmological constant (no matter how small) is taken into account.
In this respect, OSCOs has been investigated in alternative contexts, for instance: (i) accretion disks [20,21], (ii) galaxies [22,23], and in (iii) modified theories of gravity [24,25]. There is a vast literature where models in the context of extended theories of gravity have been studied. To name a few, within the context of scalar-tensor theories of gravitation, the Brans–Dicke theory is considered one of the most natural extensions of General Relativity [7,8,9].
Based on similar ideas, scale-dependent gravity is an alternative approach, where the coupling constants of the theory are allowed to vary [26,27,28,29,30,31,32,33,34,35,36,37,38,39,40,41,42,43]. In addition to that, in higher dimensions, another possibility is the well-known Gauss–Bonnet gravity [44], and, more generically, Lovelock gravity [12] in which higher order curvature corrections are natural.
In this work, our goal is twofold: First, we shall use the recent data reported by the GRAVITY Collaboration to place limits on the parameters of massive gravity. Next, assuming those values, we shall investigate the existence and nature of the stable circular orbits of several different structures in the Universe from the atomic level to clusters of galaxies. In this paper, we will investigate whether OSCOs are also present in light in massive gravity [14,17] taking into account real values of the massive gravity parameter .
Our work is organized as follows: In the next section, we review the field equations and the vacuum solution of massive gravity. In the third section, we obtain the allowed range of the scale using data on the periastron advance of the planet Mercury in our Solar System as well as of the star orbiting around the supermassive black hole at the Galactic center. In Section 4, we discuss the geodesic equations and the effective potential for test massive particles, while, in the fifth section, we compute the ISCOs and OSCOs of several different structures in the Universe.
Finally, we summarize our work in the last section with some concluding remarks. We adopt the mostly negative metric signature , and we work mostly in geometrized units where we set the speed of sound in a vacuum as well as Newton’s constant to unity, .
2. Field Equations and Vacuum Solution in Massive Gravity
We will start by considering the theory of dRGT massive gravity, defined by the action [13,14], and we closely follow [17]
where is the part of the action coming from the matter content, and we use the conventional definitions, i.e., (i) is the reduced Planck mass, (ii) R is the Ricci scalar, (iii) g is the determinant of the metric tensor , (iv) is the graviton mass, and finally (v) is the self-interacting potential of the gravitons. In order to avoid the Boulware–Deser ghost, the self interactions must be split as follows
where the tensor is, then,
and and . At this point, we have two different metrics: (i) the physical metric, , and (ii) the fiducial metric, . In addition, are the Stckelberg fields. In what follows, we use the unitary gauge, , thus
The gravitational field equations are obtained taking the variation with respect to , and they are found to be [17]
where is the corresponding energy–momentum tensor obtained from the matter Lagrangian. The massive graviton tensor [15,45], labeled as , is given by
where we can redefine the parameters as follows:
The terms of order disappear when taking into account the fiducial metric ansatz [17]:
where C is a positive constant. It is known that the massive gravitons can be treated as an effective fluid where density, , and pressures, , depend on the radial coordinate r only. The pressures are generically anisotropic with , and thus there is a stress generated by the massive gravitons, as was indicated in Refs. [46,47].
Within massive gravity, static, spherically symmetric black hole solutions with mass M in Schwarzschild-like coordinates are given by the following line element
where the corresponding lapse function, , is found to be [17]:
and where acts like a cosmological constant, while the set are two new parameters coming from massive gravity, which are computed in terms of the graviton mass, , and the other parameters of the theory as follows [17]
Clearly, when is taken to be zero, the solution reduces to the usual Schwarzschild geometry of General Relativity. The corresponding metric has been obtained, for instance, in [15,48]. It is important to mention that the strong coupling scale of the dRGT massive gravity theory was estimated in [48].
Following [17], to obtain flat space with , we impose the following condition on
To guarantee that the cosmological constant is positive and tiny, in the following, we set
with being a very small number. It is now easy to verify that plays the role of a positive and tiny cosmological constant, , with l being a length scale.
In the non-relativistic limit, the following relation holds [49,50]:
with being the gravitational potential, and we set . Thus, in this modified theory of gravity, the total gravitational potential consists of three terms
and the gravitational potential energy, V, is simply given by , with m being the mass of a test particle in the fixed gravitational background. Therefore, there are two perturbing potentials, namely one due to the cosmological constant term, and another due to the linear term in r.
Before we continue with our discussion, a comment is in order here. Within GR, the Birkhoff theorem ensures that the only static, spherically symmetric solution in empty space is given by the Schwarzschild geometry. Within massive gravity, however, contrary to GR, the theorem does not hold [51], and consequently more than one class of solutions may be obtained [51,52,53,54]. This implies that the gravitational field generated by extended mass distributions depends on the shape of the distribution.
This is an interesting and, at the same time, tricky issue, which requires a very careful examination. In the present work, however, we can imagine that we restrict ourselves to some class of certain finite mass distributions for which the solution considered here always holds. Therefore, in the discussion to follow, we assume that, for all the structures shown in Table 1 and Table 2 below, the gravitational field outside the distribution is described by the solution considered in this work.
Table 1.
OSCOs and ISCOs as a function of mass (in parsecs). We take for three different values of the parameter . Thus, we have: (i) , (ii) and (iii) .
Table 2.
OSCOs as a function of mass (in parsecs) for . We take , and link the corresponding with typical astrophysical scales.
3. Periastron Advance in Massive Gravity
In this section, we present the first part of the analysis performed in the present work, namely how to constrain the parameter using observational data coming from the periastron advance of the planet Mercury around the Sun as well as the star around Saggitarius .
A generic and useful expression for the periastron advance, , due to any perturbative potential energy, , beyond the Newtonian one, is found to be (setting ) [55]
where , the perturbing potential energy is evaluated at , and e, and a are the eccentricity and the semi-major axis of the orbit, respectively.
Let us mention that, as was indicated in [56], the above expression is still valid in modified theories of gravity. The study of the motion of test particles in a given gravitational background (geodesic equations via the Christoffel symbols) remains the same in all metric theories of gravity, irrespective of the underlying theory. The general expression for the precession angle in terms of the perturbing potential has been derived considering the orbit , where , and this expression does not depend on the underlying theory of gravity.
In the present work, clearly there are two contributions beyond the Newtonian potential, namely (i) the cosmological constant (), and (ii) the linear term coming from massive gravity () as well as the contribution from General Relativity (), and they are computed to be (setting ) [55]
where the total contribution is
From the observational point of view, here, we shall use the precession angle of the planet Mercury [57,58]
as well as the precession angle of the star around Saggitarius [57,59]
Finally, regarding the details of the orbit, in the case of Mercury, we use the following numerical values [57]
while, in the case of the star, we use the following numerical values [57]
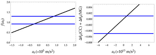
In the two panels of Figure 1, we show, both for Mercury and for the star, the prediction of the theory for the periastron advance as a function of as well as the corresponding observational strip. An allowed window from a lower (negative) to an upper bound (positive) for is obtained. This is the first main result of the present work. The , corresponding to GR with a non-vanishing cosmological constant, is included as expected. The strongest limits come from Mercury, and those are the ones we shall be using in the discussion to follow.
Figure 1.
Precession angle against assuming Gpc. (i) Left Panel: Dimensionless ratio for data and its bounds. (ii) Right Panel: Precession angle (deviation from GR) + for Mercury data and its bounds.
The bound on induces a corresponding bound on , which is computed to be
Previously, an analysis based on galaxy rotation curves showed that, within the dRGT massive gravity, [17]. Finally, we also report on the constraint obtained here using the orbital precession of the star around Saggitarius , since, to the best of our knowledge, this is the first attempt to constrain , or equivalently , upon comparison to the results of GRAVITY Collaboration. We find
although, as already mentioned before, in the discussion to follow we shall use the tighter limits from Mercury.
4. Geodesic Equations and Effective Potential
In this section, we will determine the ISCOs and OSCOs following the steps previously discussed in [19]. First, we assume a fixed static, spherically symmetric gravitational background of the form
Now, following [60], the equations of motion for test particles are given by
with s as the proper time. The corresponding Christoffel symbols, , are computed by [49]
The mathematical treatment is simplified taking advantage of the fact that there are two conserved quantities (two first integrals of motion), precisely as in the Keplerian problem in classical mechanics. In practice, for and , the geodesic equations acquire the form
With the above in mind, we then introduce the corresponding conserved quantities as
The last two quantities, , are usually identified as the energy and angular momentum, respectively.
Assuming a motion on the plane (i.e., studying motions on the equatorial plane: ), the geodesic equation for the index is also satisfied automatically. Therefore, the only non-trivial equation is obtained for (see [60] for further details)
which may be also obtained from [60]
where for massive test particles, and for light rays. In the discussion to follow, we shall consider the case where (massive test particle with mass m) and . Then, the non-trivial geodesic equation takes the simpler form
and we now introduce the corresponding effective potential, which, as usual, is defined to be
where is the lapse function, which will now be identified to reported in Equation (9) (setting ).
5. ISCOs/OSCOs in Massive Gravity
From now on, we will investigate the case of massive particles (which means ). The effective potential in this case looks like
and the first and second derivatives of the potential are
The circular orbits are obtained demanding that
as function of the rest of parameters. The latter means that we need to find the roots of for . In general, it is not possible to obtain an analytic solution, which is the present case. In order to make progress, we can take an alternative route. From , we find and evaluate it on to find the and . Thus, we have
Similarly to the Kottler spacetime, we reinforce that the angular momentum is real and finite for . Now, replacing into , we have
To obtain the corresponding roots of , we have to solve the polynomial expression
where the parameters are defined as
where all lengths are expressed in parsec setting . There are five roots in total, which, in general, include real (positive or negative) as well as complex roots. We recall that, in the case of the Schwarzschild geometry, there is only one root, [19]. Given that there is no analytic expression for the roots of a fifth order polynomial, we shall compute the roots numerically once the numerical values of the parameters are specified.
Thus, we consider three numerical values of the massive gravity parameter to exemplify how and vary for different structures in the Universe. The first value of is taken from [17], , whereas the remaining two values are obtained in Section 3. This is the second main result of the present work summarized in Table 1.
Similarly to the Kottler spacetime, both ISCOs and OSCOs appear. Their numerical values are shown in Table 1, while the astrophysical relevance is shown in Table 2, considering typical values of the mass and size of known structures in the Universe. In particular, our numerical results show that, in all cases, the ISCOs equal , which is precisely the Schwarzschild result. As far as the OSCOs are concerned, in two of the cases ( and ), they do not depend on the mass of the astrophysical object. Despite the fact that the OSCOs obtained in those cases are not cosmologically large, their sizes ( and , respectively) are similar to the size of cluster of galaxies, which is very large compared to the dimensions of the astrophysical objects displayed in Table 1.
In the third case (), the OSCOs computed here increase with the mass of the astrophysical object. In addition, their sizes are lower than the ones obtained in the Kottler spacetime [19]. In this sense, the OSCOs analysis within the framework of four-dimensional massive gravity reinforces their astrophysical importance. Finally, the fact that the numerical values of the OSCOs obtained here are significantly different than the ones presented in [19] indicates that the term is the dominant one, rather than the cosmological constant term.
6. Conclusions
In summary, we studied the impact of a non-vanishing (positive) cosmological constant on the innermost and outermost stable circular orbits (ISCOs and OSCOs, respectively) within four-dimensional massive gravity. The gravitational field generated by a point-like object is known, and, at the non-relativistic limit, the gravitational potential differs by the Schwarzschild–de Sitter geometry by a term that is linear in the radial coordinate. The numerical value of parameter of the new, additional term may be determined either using data from the galaxy rotation curves or using data from the periastron advance in the solar system (planet Mercury) and in the Galactic center ( star).
Starting from the geodesic equations for massive test particles, and the corresponding effective potential, we obtained a polynomial of fifth order that allowed us to compute the innermost and outermost stable circular orbits. We computed its roots numerically for several different structures in the Universe of increasing mass (from the hydrogen atom to stars and globular clusters to galaxies and galaxy clusters) considering three distinct values of the parameter , determined using physical considerations.
Similarly to the Kottler spacetime, both ISCOs and OSCOs appeared. In particular, our numerical results showed that the ISCOs equaled (the Schwarzschild result) in all cases; whereas, for OSCOs, in two of the cases ( and ), this did not depend on the mass of the astrophysical object. In spite of the fact that the OSCOSs obtained in those cases were not cosmologically large, their sizes ( and , respectively) were similar to the supercluster size, which is very large compared to the dimensions of the astrophysical objects displayed in Table 1.
In the third case (), the OSCOs obtained in the present work increased with the mass of the astrophysical object. In addition, their sizes were lower than those obtained in the Kottler spacetime. In this sense, the OSCOs analysis within the framework of four-dimensional massive gravity reinforces their astrophysical importance.
Finally, our numerical results indicate that, within massive gravity, the parameter played a crucial role in the determination of ISCOs and, more importantly, for OSCOs. Thus, it is , rather than , as the term that mainly modifies the stable circular orbits, contrary to the Kottler spacetime, where is the term producing the new features as far as the OSCOs are concerned.
Author Contributions
Conceptualization, Á.R., G.P., I.L. and N.C.; methodology, Á.R., G.P., I.L. and N.C.; formal analysis, Á.R., G.P., I.L. and N.C.; investigation, Á.R., G.P., I.L. and N.C.; writing—original draft preparation, Á.R., G.P., I.L. and N.C.; visualization, Á.R., G.P., I.L. and N.C. All authors have read and agreed to the published version of the manuscript.
Funding
This research received no external funding.
Acknowledgments
We are grateful to the anonymous reviewers for their constructive criticism as well as numerous useful comments and suggestions. The authors Á.R. and N.C. acknowledge Universidad de Santiago de Chile for financial support through the Proyecto POSTDOC-DICYT, Código 043131 CM-POSTDOC. The authors G.P. and I.L. thank the Fundação para a Ciência e Tecnologia (FCT), Portugal, for the financial support to the Center for Astrophysics and Gravitation-CENTRA, Instituto Superior Técnico, Universidade de Lisboa, through the Project No. UIDB/00099/2020 and grant No. PTDC/FIS-AST/28920/2017.
Conflicts of Interest
The authors declare no conflict of interest.
References
- Freedman, W.L.; Turner, M.S. Measuring and understanding the universe. Rev. Mod. Phys. 2003, 75, 1433. [Google Scholar] [CrossRef]
- Carroll, S.M. The Cosmological constant. Living Rev. Rel. 2001, 4, 1. [Google Scholar] [CrossRef]
- Rubin, V.C.; Ford, W.K., Jr. Rotation of the Andromeda Nebula from a Spectroscopic Survey of Emission Regions. Astrophys. J. 1970, 159, 379. [Google Scholar] [CrossRef]
- Einstein, A. The Foundation of the General Theory of Relativity. Ann. Phys. 1916, 49, 769. [Google Scholar] [CrossRef]
- Sotiriou, T.P.; Faraoni, V. f(R) Theories of Gravity. Rev. Mod. Phys. 2010, 82, 451. [Google Scholar] [CrossRef]
- Felice, A.D.; Tsujikawa, S. f(R) theories. Living Rev. Rel. 2010, 13, 3. [Google Scholar] [CrossRef] [PubMed]
- Brans, C.; Dicke, R.H. Mach’s principle and a relativistic theory of gravitation. Phys. Rev. 1961, 124, 925. [Google Scholar] [CrossRef]
- Brans, C.H. Mach’s Principle and a Relativistic Theory of Gravitation. II. Phys. Rev. 1962, 125, 2194. [Google Scholar] [CrossRef]
- Dicke, R.H. Mach’s principle and invariance under transformation of units. Phys. Rev. 1962, 125, 2163. [Google Scholar] [CrossRef]
- Langlois, D. Brane cosmology: An Introduction. Prog. Theor. Phys. Suppl. 2003, 148, 181. [Google Scholar] [CrossRef]
- Maartens, R. Brane world gravity. Living Rev. Rel. 2004, 7, 7. [Google Scholar] [CrossRef]
- Lovelock, D. The Einstein tensor and its generalizations. J. Math. Phys. 1971, 12, 498–501. [Google Scholar] [CrossRef]
- de Rham, C.; Gabadadze, G. Generalization of the Fierz-Pauli Action. Phys. Rev. D 2010, 82, 044020. [Google Scholar] [CrossRef]
- de Rham, C.; Gabadadze, G.; Tolley, A.J. Resummation of Massive Gravity. Phys. Rev. Lett. 2011, 106, 231101. [Google Scholar] [CrossRef] [PubMed]
- Ghosh, S.G.; Tannukij, L.; Wongjun, P. A class of black holes in dRGT massive gravity and their thermodynamical properties. Eur. Phys. J. C 2016, 76, 119. [Google Scholar] [CrossRef]
- Schwarzschild, K. On the Gravitational Field of a Mass Point According to Einstein’s Theory; Sitzungsberichte der Preussischen Akademie der Wissenschaften: Berlin, Germany, 1916; p. 189. [Google Scholar]
- Panpanich, S.; Burikham, P. Fitting rotation curves of galaxies by de Rham-Gabadadze-Tolley massive gravity. Phys. Rev. D 2018, 98, 064008. [Google Scholar] [CrossRef]
- Ashtekar, A. Implications of a positive cosmological constant for general relativity. Rept. Prog. Phys. 2017, 80, 102901. [Google Scholar] [CrossRef]
- Boonserm, P.; Ngampitipan, T.; Simpson, A.; Visser, M. Innermost and outermost stable circular orbits in the presence of a positive cosmological constant. Phys. Rev. D 2020, 101, 024050. [Google Scholar] [CrossRef]
- Rezzolla, L.; Zanotti, O.; Font, J.A. Dynamics of thick discs around Schwarzschild–de Sitter black holes. Astron. Astrophys. 2003, 412, 603. [Google Scholar] [CrossRef]
- Stuchlik, Z. Influence of the relict cosmological constant on accretion discs. Mod. Phys. Lett. A 2005, 20, 561. [Google Scholar] [CrossRef]
- Stuchlik, Z.; Schee, J. Influence of the cosmological constant on the motion of Magellanic Clouds in the gravitational field of Milky Way. JCAP 2011, 2011, 018. [Google Scholar] [CrossRef]
- Sarkar, T.; Ghosh, S.; Bhadra, A. Newtonian analogue of Schwarzschild de-Sitter spacetime: Influence on the local kinematics in galaxies. Phys. Rev. D 2014, 90, 063008. [Google Scholar] [CrossRef]
- Perez, D.; Romero, G.E.; Bergliaffa, S.E.P. Accretion disks around black holes in modified strong gravity. Astron. Astrophys. 2013, 551, A4. [Google Scholar] [CrossRef]
- Lee, H.C.; Han, Y.J. Innermost stable circular orbit of Kerr-MOG black hole. Eur. Phys. J. C 2017, 77, 655. [Google Scholar] [CrossRef]
- Koch, B.; Reyes, I.A.; Rincon, A. A scale dependent black hole in three-dimensional space–time. Class. Quant. Grav. 2016, 33, 225010. [Google Scholar] [CrossRef]
- Rincon, A.; Koch, B.; Reyes, I. BTZ black hole assuming running couplings. J. Phys. Conf. Ser. 2017, 831, 012007. [Google Scholar] [CrossRef]
- Rincon, A.; Contreras, E.; Bargueño, P.; Koch, B.; Panotopoulos, G.; Hernandez-Arboleda, A. Scale dependent three-dimensional charged black holes in linear and non-linear electrodynamics. Eur. Phys. J. C 2017, 77, 494. [Google Scholar] [CrossRef]
- Rincon, A.; Panotopoulos, G. Quasinormal modes of scale dependent black holes in (1 + 2)-dimensional Einstein-power-Maxwell theory. Phys. Rev. D 2018, 97, 024027. [Google Scholar] [CrossRef]
- Contreras, E.; Rincon, A.; Koch, B.; Bargueño, P. Scale-dependent polytropic black hole. Eur. Phys. J. C 2018, 78, 246. [Google Scholar] [CrossRef]
- Rincon, A.; Koch, B. Scale-dependent rotating BTZ black hole. Eur. Phys. J. C 2018, 78, 1022. [Google Scholar] [CrossRef]
- Rincon, A.; Contreras, E.; Bargueño, P.; Koch, B.; Panotopoulos, G. Scale-dependent (2 + 1)-dimensional electrically charged black holes in Einstein-power-Maxwell theory. Eur. Phys. J. C 2018, 78, 641. [Google Scholar] [CrossRef]
- Rincon, A.; Contreras, E.; Bargueño, P.; Koch, B. Scale-dependent planar Anti-de Sitter black hole. Eur. Phys. J. Plus 2019, 134, 557. [Google Scholar] [CrossRef]
- Contreras, E.; Rincon, A.; Panotopoulos, G.; Bargueño, P.; Koch, B. Black hole shadow of a rotating scale–dependent black hole. Phys. Rev. D 2020, 101, 064053. [Google Scholar] [CrossRef]
- Rincon, A.; Panotopoulos, G. Scale-dependent slowly rotating black holes with flat horizon structure. Phys. Dark Univ. 2020, 30, 100725. [Google Scholar] [CrossRef]
- Panotopoulos, G.; Rincon, A. Quasinormal spectra of scale-dependent Schwarzschild–de Sitter black holes. Phys. Dark Univ. 2021, 31, 100743. [Google Scholar] [CrossRef]
- Rincon, A.; Villanueva, J.R. The Sagnac effect on a scale-dependent rotating BTZ black hole background. Class. Quant. Grav. 2020, 37, 175003. [Google Scholar] [CrossRef]
- Fathi, M.; Rincon, A.; Villanueva, J.R. Photon trajectories on a first order scale-dependent static BTZ black hole. Class. Quant. Grav. 2020, 37, 075004. [Google Scholar] [CrossRef]
- Contreras, E.; Rincon, A.; Bargueno, P. Five-dimensional scale-dependent black holes with constant curvature and Solv horizons. Eur. Phys. J. C 2020, 80, 367. [Google Scholar] [CrossRef]
- Panotopoulos, G.; Rincon, A.; Lopes, I. Interior solutions of relativistic stars in the scale-dependent scenario. Eur. Phys. J. C 2020, 80, 318. [Google Scholar] [CrossRef]
- Panotopoulos, G.; Rincon, A.; Lopes, I. Interior solutions of relativistic stars with anisotropic matter in scale-dependent gravity. Eur. Phys. J. C 2021, 81, 63. [Google Scholar] [CrossRef]
- Canales, F.; Koch, B.; Laporte, C.; Rincon, A. Cosmological constant problem: Deflation during inflation. JCAP 2020, 2001, 021. [Google Scholar] [CrossRef]
- Alvarez, P.D.; Koch, B.; Laporte, C.; Rincón, Á. Can scale-dependent cosmology alleviate the H0 tension? JCAP 2021, 6, 019. [Google Scholar] [CrossRef]
- Cai, R.G. Gauss-Bonnet black holes in AdS spaces. Phys. Rev. D 2002, 65, 084014. [Google Scholar] [CrossRef]
- Berezhiani, L.; Chkareuli, G.; de Rham, C.; Gabadadze, G.; Tolley, A.J. On Black Holes in Massive Gravity. Phys. Rev. D 2012, 85, 044024. [Google Scholar] [CrossRef]
- Burikham, P.; Harko, T.; Lake, M.J. Mass bounds for compact spherically symmetric objects in generalized gravity theories. Phys. Rev. D 2016, 94, 064070. [Google Scholar] [CrossRef]
- Kareeso, P.; Burikham, P.; Harko, T. Mass-radius ratio bounds for compact objects in Massive Gravity theory. Eur. Phys. J. C 2018, 78, 941. [Google Scholar] [CrossRef]
- Boonserm, P.; Ngampitipan, T.; Wongjun, P. Greybody factor for black string in dRGT massive gravity. Eur. Phys. J. C 2019, 79, 330. [Google Scholar] [CrossRef]
- Landau, L.D.; Lifschits, E.M. The Classical Theory of Fields, 3rd ed.; Course of Theoretical Physics Volume 2; Pergamon Press: Oxford, UK, 1971. [Google Scholar]
- Wald, R.M. General Relativity; University of Chicago Press: Chicago, IL, USA, 1984. [Google Scholar]
- Jafari, G.; Setare, M.R.; Bakhtiarizadeh, H.R. Static spherically symmetric black holes of de Rham–Gabadadze–Tolley massive gravity in arbitrary dimensions. Phys. Lett. B 2017, 773, 395–400. [Google Scholar] [CrossRef]
- Li, P.; Li, X.z.; Xi, P. Black hole solutions in de Rham-Gabadadze-Tolley massive gravity. Phys. Rev. D 2016, 93, 064040. [Google Scholar] [CrossRef]
- Koyama, K.; Niz, G.; Tasinato, G. Analytic solutions in non-linear massive gravity. Phys. Rev. Lett. 2011, 107, 131101. [Google Scholar] [CrossRef]
- Koyama, K.; Niz, G.; Tasinato, G. Strong interactions and exact solutions in non-linear massive gravity. Phys. Rev. D 2011, 84, 064033. [Google Scholar] [CrossRef]
- Adkins, G.S.; McDonnell, J. Orbital precession due to central-force perturbations. Phys. Rev. D 2007, 75, 082001. [Google Scholar] [CrossRef]
- Zakharov, A. Constraints on alternative theories of gravity with observations of the Galactic Center. EPJ Web Conf. 2018, 191, 01010. [Google Scholar] [CrossRef][Green Version]
- Clifton, T.; Carrilho, P.; Fernandes, P.G.S.; Mulryne, D.J. Observational Constraints on the Regularized 4D Einstein-Gauss-Bonnet Theory of Gravity. Phys. Rev. D 2020, 102, 084005. [Google Scholar] [CrossRef]
- Pitjeva, E.V.; Pitjev, N.P. Relativistic effects and dark matter in the Solar system from observations of planets and spacecraft. Mon. Not. Roy. Astron. Soc. 2013, 432, 3431. [Google Scholar] [CrossRef]
- Abuter, R.; Amorim, A.; Bauböck, M.; Berger, J.P.; Bonnet, H.; Brandner, W.; Cardoso, V.; Clénet, Y.; de Zeeuw, P.T.; Dexter, J.; et al. Detection of the Schwarzschild precession in the orbit of the star S2 near the Galactic centre massive black hole. Astron. Astrophys. 2020, 636, L5. [Google Scholar]
- García, A.; Hackmann, E.; Kunz, J.; Lämmerzahl, C.; Macías, A. Motion of test particles in a regular black hole space–time. J. Math. Phys. 2015, 56, 032501. [Google Scholar] [CrossRef]
Publisher’s Note: MDPI stays neutral with regard to jurisdictional claims in published maps and institutional affiliations. |
© 2021 by the authors. Licensee MDPI, Basel, Switzerland. This article is an open access article distributed under the terms and conditions of the Creative Commons Attribution (CC BY) license (https://creativecommons.org/licenses/by/4.0/).
