A Neutron Star Is Born
Abstract
1. Introduction
2. Historical Perspectives
2.1. From the Nuclear Physics Point of View
2.2. From the Compact Objects Point of View
3. Relativistic Models for Astrophysical Studies
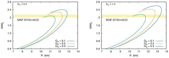
3.1. The Model
3.2. Extended Relativistic Hadronic Models
3.3. Too Many Relativistic Models
4. Stellar Matter
- for NL3 and NL3: , , ,
- for IUFSU: , , ,
4.1. The Tolman–Oppenheimer–Volkoff Equations
4.2. Structure of Neutron Stars and Observational Constraints
4.3. The Importance of the Inner and Outer Crusts
5. Hybrid Stars
6. Quark Stars
7. Magnetars: Crust–Core Transitions and Oscillations
8. Final Remarks
Funding
Institutional Review Board Statement
Informed Consent Statement
Acknowledgments
Conflicts of Interest
References
- Gross, D.J.; Wilczek, F. Ultraviolet Behavior of Non-Abelian Gauge Theory. Phys. Rev. Lett. 1973, 30, 1343. [Google Scholar] [CrossRef]
- Dutra, M.; Lourenço, O.; Sá Martins, J.S.; Delfino, A.; Stone, J.R.; Stevenson, P.D. Skyrme interaction and nuclear matter constraints. Phys. Rev. C 2012, 85, 035201. [Google Scholar] [CrossRef]
- Mackie, F.D.; Baym, G. Compressible liquid drop nuclear model and mass formula. Nucl. Phys. A 1977, 285, 332. [Google Scholar] [CrossRef]
- von Weizsäcker, C.F. Zur Theorie der Kernmassen. Z. Phys. 1935, 96, 431. [Google Scholar]
- Lopes, L.L.; Biesdorf, C.; Marquez, K.D.; Menezes, D.P. Modified MIT Bag Models—Part II: QCD phase diagram and hot quark stars. Phys. Scr. 2021. [Google Scholar] [CrossRef]
- Watts, A.; Xu, R.; Espinoza, C.; Andersson, N.; Antoniadis, J.; Antonopoulou, D.; Buchner, S.; Dai, S.; Demorest, P.; Freire, P.; et al. Advancing Astrophysics with the Square Kilometre Array. arXiv 2014, arXiv:1501.00042. [Google Scholar]
- Neutron Star Interior Composition Explorer Mission–NICER. 2016. Available online: https://heasarc.gsfc.nasa.gov/docs/nicer/ (accessed on 20 July 2021).
- Miller, M.C.; Lamb, F.K.; Dittmann, A.J.; Bogdanov, S.; Arzoumanian, Z.; Gendreau, K.C.; Guillot, S.; Ho, W.C.G.; Lattimer, J.M.; Loewenstein, M.; et al. The Radius of PSR J0740 + 6620 from NICER and XMM-Newton Data. arXiv 2021, arXiv:2105.06979. [Google Scholar]
- Avancini, S.S.; Marinelli, J.R.; Menezes, D.P.; Moraes, M.M.W.; Schneider, A.S. Reexamining the neutron skin thickness within a density dependent hadronic model. Phys. Rev. C 2007, 76, 064318. [Google Scholar] [CrossRef]
- Avancini, S.S.; Marinelli, J.R.; Menezes, D.P.; Moraes, M.M.W.; Providência, C. Density dependent hadronic models and the relation between neutron stars and neutron skin thickness. Phys. Rev. C 2007, 75, 055805. [Google Scholar] [CrossRef]
- Abrahamyan, S.; Ahmed, Z.; Albataineh, H.; Aniol, K.; Armstrong, D.S.; Armstrong, W.; Averett, T.; Babineau, B.; Barbieri, A.; Bellini, V.; et al. Measurement of the Neutron Radius of 208Pb through Parity Violation in Electron Scattering. Phys. Rev. Lett. 2012, 108, 112502. [Google Scholar] [CrossRef]
- Adhikari, D.; Albataineh, H.; Androic, D.; Aniol, K.; Armstrong, D.S.; Averett, T.; Ayerbe Gayoso, C.; Barcus, S.; Bellini, V.; Beminiwattha, R.S.; et al. Accurate Determination of the Neutron Skin Thickness of 208Pb through Parity-Violation in Electron Scattering. Phys. Rev. Lett. 2021, 126, 172502. [Google Scholar] [CrossRef]
- Aniol, K.A.; Armstrong, D.S.; Averett, T.; Benaoum, H.; Bertin, P.Y.; Burtin, E.; Cahoon, J.; Cates, G.D.; Chang, C.; Chao, Y.; et al. Parity-Violating Electron Scattering from 4He and the Strange Electric Form Factor of the Nucleon. Phys. Rev. Lett. 2006, 96, 022003. [Google Scholar] [CrossRef]
- Krane, K.S. Introductory Nuclear Physics; John Wiley and Sons, Inc.: New York, NY, USA, 1988. [Google Scholar]
- Menezes, D.P. Introdução à Física Nuclear e de Partículas Elementares; Editora da UFSC: Florianópolis, Brazil, 2002. [Google Scholar]
- Britannica. “Hertzsprung–Russell Diagram”. Encyclopedia Britannica. Available online: https://www.britannica.com/science/Hertzsprung-Russell-diagram (accessed on 30 March 2021).
- Chaisson, E.; McMillan, S. Astronomy Today; Pearson Prentice Hall, Pearson Education, Inc.: Upper Saddl River, NJ, USA, 2005. [Google Scholar]
- Greiner, W.; Neise, L.; Stocker, H. Thermodynamics and Statistical Mechanic; Springer: New York, NY, USA, 1995. [Google Scholar]
- Srinivasan, G. Life and Death of the Stars; Springer: Berlin/Heidelberg, Germany, 2014. [Google Scholar]
- Fowler, R.H. On Dense Matter. Month. Not. R. Astron. Soc. 1926, 87, 114–122. [Google Scholar] [CrossRef]
- Chandrasekhar, S. The density of white dwarf stars. Philos. Mag. 1930, 11, 592–596. [Google Scholar] [CrossRef]
- Chandrasekhar, S. The Maximum Mass of Ideal White Dwarfs. Astrophys. J. 1931, 74, 81. [Google Scholar] [CrossRef]
- Landau, L. On the Theory of Stars. Phys. Z. Sowjetunion 1932, 1, 285. [Google Scholar]
- Yakovlev, D.G.; Haensel, P.; Baym, G.; Pethick, C. Landau and the Concept of Neutron Stars. Phys. Uspekhi 2013, 56, 289–295. [Google Scholar] [CrossRef]
- Webster, H.C. Possible existence of a neutron. Nature 1932, 129, 312. [Google Scholar] [CrossRef]
- Baade, W.; Zwicky, F. On Super-Novae. Proc. Natl. Acad. Sci. USA 1934, 20, 254–259. [Google Scholar] [CrossRef]
- Tolman, R.C. Static Solutions of Einstein’s Field Equations for Spheres of Fluid. Phys. Rev. 1939, 55, 364. [Google Scholar] [CrossRef]
- Oppenheimer, J.R.; Volkoff, G.M. On Massive Neutron Cores. Phys. Rev. 1939, 55, 374. [Google Scholar] [CrossRef]
- Gamow, G.; Schenberg, M. The Possible Role of Neutrinos in Stellar Evolution. Phys. Rev. 1940, 58, 1117. [Google Scholar] [CrossRef]
- Hewish, A.; Bell, S.J.; Pilkington, J.D.H.; Scott, P.F.; Collins, R.A. Observation of a Rapidly Pulsating Radio Source. Nature 1968, 217, 709. [Google Scholar] [CrossRef]
- Hulse, R.A.; Taylor, J.H. Discovery of a pulsar in a binary system. Astrophys. J. 1975, 195, L51–L55. [Google Scholar] [CrossRef]
- Abbott, B.P.; Abbott, R.; Abbott, T.D.; Abernathy, M.R.; Acernese, F.; Ackley, K.; Adams, C.; Adams, T.; Addesso, P.; Adhikari, R.X.; et al. Observation of Gravitational Waves from a Binary Black Hole Merger. Phys. Rev. Lett. 2016, 116, 061102. [Google Scholar] [CrossRef] [PubMed]
- Abbott, B.P.; Abbott, R.; Abbott, T.D.; Acernese, F.; Ackley, K.; Adams, C.; Adams, T.; Addesso, P.; Adhikari, R.X.; Adya, V.B.; et al. GW170817: Observation of Gravitational Waves from a Binary Neutron Star Inspiral. Phys. Rev. Lett. 2017, 119, 161101. [Google Scholar] [CrossRef] [PubMed]
- Cowperthwaite, P.S.; Berger, E.; Villar, V.A.; Metzger, B.D.; Nicholl, M.; Chornock, R.; Blanchard, P.K.; Fong, W.; Margutti, R.; Soares-Santos, M.; et al. Multi-messenger Observations of a Binary Neutron Star Merger. Astrophys. J. Lett. 2017, 848, L17. [Google Scholar] [CrossRef]
- Walecka, J.D. A theory of highly condensed matter. Ann. Phys. 1974, 83, 491. [Google Scholar] [CrossRef]
- Johnson, M.H.; Teller, E. Classical Field Theory of Nuclear Forces. Phys. Rev. 1955, 98, 783. [Google Scholar] [CrossRef]
- Dutra, M.; Lourenço, O.; Avancini, S.S.; Carlson, B.V.; Delfino, A.; Menezes, D.P.; Providencia, C.; Typel, S.; Stone, J.R. Relativistic mean-field hadronic models under nuclear matter constraints. Phys. Rev. C 2014, 90, 055203. [Google Scholar] [CrossRef]
- Oertel, M.; Hempel, M.; Klähn, T.; Typel, S. Equations of state for supernovae and compact stars. Rev. Mod. Phys. 2017, 89, 015007. [Google Scholar] [CrossRef]
- Tews, I.; Lattimer, J.M.; Ohnishi, A.; Kolomeitsev, E.E. Symmetry Parameter Constraints from a Lower Bound on Neutron-matter Energy. Astrophys. J. 2017, 848, 105. [Google Scholar] [CrossRef]
- Zhang, N.B.; Cai, B.J.; Li, B.A.; Newton, W.G.; Xu, J. How tightly is the nuclear symmetry energy constrained by a unitary Fermi gas? Nucl. Sci. Tech. 2017, 28, 181. [Google Scholar] [CrossRef]
- Li, B.-A.; Han, X. Constraining the neutron-proton effective mass splitting using empirical constraints on the density dependence of nuclear symmetry energy around normal density. Phys. Lett. B 2013, 727, 276. [Google Scholar] [CrossRef]
- Reed, B.T.; Fattoyev, F.J.; Horowitz, C.J.; Piekarewicz, J. Implications of PREX-2 on the Equation of State of Neutron-Rich Matter. Phys. Rev. Lett. 2021, 126, 172503. [Google Scholar] [CrossRef] [PubMed]
- Agrawal, B.K. Asymmetric nuclear matter and neutron skin in an extended relativistic mean-field model. Phys. Rev. C 2010, 81, 034323. [Google Scholar] [CrossRef]
- Boguta, J.; Bodmer, A.R. Relativistic calculation of nuclear matter and the nuclear surface. Nucl. Phys. 1977, A292, 413. [Google Scholar] [CrossRef]
- Lalazissis, G.A.; König, J.; Ring, P. New parametrization for the Lagrangian density of relativistic mean field theory. Phys. Rev. C 1997, 55, 540. [Google Scholar] [CrossRef]
- Horowitz, C.J.; Piekarewicz, J. Neutron Star Structure and the Neutron Radius of 208Pb. Phys. Rev. Lett. 2001, 86, 5647. [Google Scholar] [CrossRef]
- Fattoyev, F.J.; Horowitz, C.J.; Piekarewicz, J.; Shen, G. Relativistic effective interaction for nuclei, giant resonances, and neutron stars. Phys. Rev. C 2010, 82, 055803. [Google Scholar] [CrossRef]
- Glendenning, N.K.; Moszkowski, S.A. Reconciliation of neutron-star masses and binding of the Λ in hypernuclei. Phys. Rev. Lett. 1991, 67, 2414. [Google Scholar] [CrossRef]
- Glendenning, N.K. Compact Stars; Springer: New York, NY, USA, 2000. [Google Scholar]
- Sumiyoshi, K.; Kuwabara, H.; Toki, H. Relativistic mean-field theory with non-linear σ and ω terms for neutron stars and supernovae. Nucl. Phys. A 1995, 581, 725. [Google Scholar] [CrossRef]
- Kumar, R.; Agrawal, B.K.; Dhiman, S.K. Effects of ω meson self-coupling on the properties of finite nuclei and neutron stars. Phys. Rev. C 2006, 74, 034323. [Google Scholar] [CrossRef]
- Lopes, L.L.; Menezes, D.P. Hypernuclear matter in a complete SU(3) symmetry group. Phys. Rev. C 2014, 89, 025805. [Google Scholar] [CrossRef]
- Menezes, D.P.; Providência, C. Warm stellar matter with neutrino trapping. Phys. Rev. C 2004, 69, 045801. [Google Scholar] [CrossRef]
- Pile, P.H.; Bart, S.; Chrien, R.E.; Millener, D.J.; Sutter, R.J.; Tsoupas, N.; Peng, J.-C.; Mishra, C.S.; Hungerford, E.V.; Kishimoto, T.; et al. Study of hypernuclei by associated production. Phys. Rev. Lett. 1991, 66, 2585. [Google Scholar] [CrossRef] [PubMed]
- Schaffner-Bielich, J.; Gal, A. Properties of strange hadronic matter in bulk and in finite systems. Phys. Rev. C 2000, 62, 034311. [Google Scholar] [CrossRef]
- Torres, J.R.; Gulminelli, F.; Menezes, D.P. Liquid-gas phase transition in strange hadronic matter with relativistic models. Phys. Rev. C 2016, 93, 024306. [Google Scholar] [CrossRef]
- Torres, J.R.; Gulminelli, F.; Menezes, D.P. Examination of strangeness instabilities and effects of strange meson couplings in dense strange hadronic matter and compact stars. Phys. Rev. C 2017, 95, 025201. [Google Scholar] [CrossRef]
- Weissenborn, S.; Chatterjee, D.; Schaffner-Bielich, J. Hyperons and massive neutron stars: The role of hyperon potentials. Nucl. Phys. A 2012, 881, 62. [Google Scholar] [CrossRef]
- Lopes, L.L.; Menezes, D.P. Broken SU(6) symmetry and massive hybrid stars. Nucl. Phys. A 2021, 1009, 122171. [Google Scholar] [CrossRef]
- Cavagnoli, R.; Menezes, D.P.; Providencia, C. Neutron star properties and the symmetry energy. Phys. Rev. C 2011, 84, 065810. [Google Scholar] [CrossRef]
- Lopes, L.L.; Menezes, D.P. Effects of the Symmetry Energy and its Slope on Neutron Star Properties. Braz. J. Phys. 2014, 44, 744. [Google Scholar] [CrossRef][Green Version]
- Tsang, M.B.; Stone, J.R.; Camera, F.; Danielewicz, P.; Gandolfi, S.; Hebeler, K.; Horowitz, C.J.; Lee, J.; Lynch, W.G.; Kohley, Z.; et al. Constraints on the symmetry energy and neutron skins from experiments and theory. Phys. Rev. C 2012, 86, 015803. [Google Scholar] [CrossRef]
- Lattimer, J.M.; Steiner, A. Constraints on the symmetry energy using the mass-radius relation of neutron stars. Eur. Phys. J. A 2014, 50, 40. [Google Scholar] [CrossRef]
- Pais, H.; Providencia, C. Vlasov formalism for extended relativistic mean field models: The crust-core transition and the stellar matter equation of state. Phys. Rev. C 2016, 94, 015808. [Google Scholar] [CrossRef]
- Dexheimer, V.; Gomes, R.O.; Schramm, S.; Pais, H. What do we learn about vector interactions from GW170817? J. Phys. G 2019, 46, 034002. [Google Scholar] [CrossRef]
- Providencia, C.; Fortin, M.; Pais, H.; Rabhi, A. Hyperonic Stars and the Nuclear Symmetry Energy. Front. Astron. Space Sci. 2019, 26. [Google Scholar] [CrossRef]
- Baym, G.; Pethick, C.; Sutherland, P. The Ground State of Matter at High Densities: Equation of State and Stellar Models. Astrophys. J. 1971, 170, 299. [Google Scholar] [CrossRef]
- Providência, C.; Avancini, S.S.; Cavagnoli, R.; Chiacchiera, S.; Ducoin, C.; Grill, F.; Margueron, J.; Menezes, D.P.; Rabhi, A.; Vidaña, I. Imprint of the symmetry energy on the inner crust and strangeness content of neutron stars. Eur. Phys. J. A 2014, 50, 44. [Google Scholar] [CrossRef]
- Lattimer, J. Researchgate. 2004. Available online: https://www.researchgate.net/publication/253849889_Neutron_Stars_as_a_Probe_of_the_Equation_of_State (accessed on 1 June 2021).
- Cromartie, H.T.; Fonseca, E.; Ransom, S.M.; Demorest, P.B.; Arzoumanian, Z.; Blumer, H.; Brook, P.R.; De Cesar, M.E.; Dolch, T.; Ellis, J.A.; et al. Relativistic Shapiro delay measurements of an extremely massive millisecond pulsar. Nat. Astr. 2020, 4, 72. [Google Scholar] [CrossRef]
- Antoniadis, J.; Freire, P.C.C.; Wex, N.; Tauris, T.M.; Lynch, R.S.; van Kerkwijk, M.H.; Kramer, M.; Bassa, C.; Dhillon, V.S.; Driebe, T.; et al. A Massive Pulsar in a Compact Relativistic Binary. Science 2013, 340, 1233232. [Google Scholar] [CrossRef] [PubMed]
- Demorest, P.B.; Pennucci, T.; Ransom, S.M.; Roberts, M.S.; Hessels, J.W.T. A two-solar-mass neutron star measured using Shapiro delay. Nature 2010, 467, 1081. [Google Scholar] [CrossRef]
- Annala, E.; Gorda, T.; Kurkela, A.; Vuorinen, A. Gravitational-Wave Constraints on the Neutron-Star-Matter Equation of State. Phys. Rev. Lett. 2018, 120, 172703. [Google Scholar] [CrossRef]
- Raithel, C.; Ozel, F.; Psaltis, D. Tidal Deformability from GW170817 as a Direct Probe of the Neutron Star Radius. Astrophys. J. Lett. 2018, 857, L23. [Google Scholar] [CrossRef]
- Riley, T.E.; Watts, A.L.; Bogdanov, S.; Ray, P.S.; Ludlam, R.M.; Guillot, S.; Arzoumanian, Z.; Baker, C.L.; Bilous, A.V.; Chakrabarty, D.; et al. A NICER View of PSR J0030+0451: Millisecond Pulsar Parameter Estimation. Astrophys. J. Lett. 2019, 887, L21. [Google Scholar] [CrossRef]
- Miller, M.C.; Lamb, F.K.; Dittmann, A.J.; Bogdanov, S.; Arzoumanian, Z.; Gendreau, K.C.; Guillot, S.; Harding, A.K.; Ho, W.C.G.; Lattimer, J.M.; et al. PSR J0030+0451 Mass and Radius from NICER Data and Implications for the Properties of Neutron Star Matter. Astrophys. J. Lett. 2019, 887, L24. [Google Scholar] [CrossRef]
- Capano, C.D.; Tews, I.; Brown, S.M.; Margalit, B.; De, S.; Kumar, S.; Brown, D.A.; Krishnan, B.; Reddy, S. Stringent constraints on neutron-star radii from multimessenger observations and nuclear theory. Nat. Astron. 2020. [Google Scholar] [CrossRef]
- Love, A.E.H. The yielding of the earth to disturbing forces. Proc. R. Soc. Lond. A 1909, 82, 551. [Google Scholar] [CrossRef]
- Damour, T. Alessandro Nagar. Relativistic tidal properties of neutron stars. Phys. Rev. D 2009, 80, 084035. [Google Scholar] [CrossRef]
- Binnington, T.; Poisson, E. Relativistic theory of tidal Love numbers. Phys. Rev. D 2009, 80, 084018. [Google Scholar] [CrossRef]
- Flores, C.V.; Lopes, L.L.; Castro, L.B.; Menezes, D.P. Gravitational wave signatures of highly magnetized neutron stars. Eur. Phys. J. C 2020, 80, 1142. [Google Scholar] [CrossRef]
- Lourenço, O.; Dutra, M.; Lenzi, C.; Biswal, S.K.; Bhuyan, M.; Menezes, D.P. Consistent Skyrme parametrizations constrained by GW170817. Eur. Phys. J. A 2020, 56, 32. [Google Scholar] [CrossRef]
- Pearson, J.M.; Chamel, N.; Potekhin, A.Y. Unified equations of state for cold nonaccreting neutron stars with Brussels-Montreal functionals. II. Pasta phases in semiclassical approximation. Phys. Rev. C 2020, 101, 015802. [Google Scholar] [CrossRef]
- Fantina, A.F.; Ridder, S.D.; Chamel, N.; Gulminelli, F. Crystallization of the outer crust of a non-accreting neutron star. Astron. Astrophys. 2020, 633, A149. [Google Scholar] [CrossRef]
- Malik, T.; Alam, N.; Fortin, M.; Providência, C.; Agrawal, B.K.; Jha, T.K.; Kumar, B.; Patra, S.K. GW170817: Constraining the nuclear matter equation of state from the neutron star tidal deformability. Phys. Rev. C 2018, 98, 035804. [Google Scholar] [CrossRef]
- Abbott, B.P.; Abbott, R.; Abbott, T.D.; Acernese, F.; Ackley, K.; Adams, C.; Adams, T.; Addesso, P.; Adhikari, R.X.; Adya, V.B.; et al. GW170817: Measurements of Neutron Star Radii and Equation of State. Phys. Rev. Lett. 2018, 121, 161101. [Google Scholar] [CrossRef]
- Mota, C.E.; Santos, L.C.N.; Grams, G.; Silva, F.M.; Menezes, D.P. Combined Rastall and rainbow theories of gravity with applications to neutron stars. Phys. Rev. D 2019, 100, 024043. [Google Scholar] [CrossRef]
- Bogdanov, S.; Dittmann, A.J.; Ho, W.C.G.; Lamb, F.K.; Mahmoodifar, S.; Miller, M.C.; Morsink, S.M.; Riley, T.E.; Strohmayer, T.E.; Watts, A.L.; et al. Constraining the Neutron Star Mass–Radius Relation and Dense Matter Equation of State with NICER. III. Model Description and Verification of Parameter Estimation Codes. arXiv 2021, arXiv:2104.06928. [Google Scholar]
- Piekarewicz, J. Implications of PREX-2 on the electric dipole polarizability of neutron rich nuclei. arXiv 2021, arXiv:2105.13452. [Google Scholar]
- Dutra, M.; Lourenço, O.; Menezes, D.P. Stellar properties and nuclear matter constraints. Phys. Rev. C 2016, 93, 025806. [Google Scholar] [CrossRef]
- Lourenço, O.; Dutra, M.; Lenzi, C.H.; Flores, C.V.; Menezes, D.P. Consistent relativistic mean-field models constrained by GW170817. Phys. Rev. C 2019, 99, 045202. [Google Scholar] [CrossRef]
- Dexheimer, V.; Marquez, K.D.; Menezes, D.P. Delta baryons in neutron-star matter under strong magnetic fields. Eur. Phys. J. A 2021, 57, 216. [Google Scholar] [CrossRef]
- Schneider, A.S.; Caplan, M.E.; Berry, D.K.; Horowitz, C.J. Domains and defects in nuclear pasta. Phys. Rev. C 2018, 98, 055801. [Google Scholar] [CrossRef]
- Newton, W.G.; Stone, J.R. Modeling nuclear “pasta” and the transition to uniform nuclear matter with the 3D Skyrme-Hartree-Fock method at finite temperature: Core-collapse supernovae. Phys. Rev. C 2009, 79, 055801. [Google Scholar] [CrossRef]
- Schuetrumpf, B.; Martínez-Pinedo, G.; Afibuzzaman, M.; Aktulga, H.M. Survey of nuclear pasta in the intermediate-density regime: Shapes and energies. Phys. Rev. C 2019, 100, 045806. [Google Scholar] [CrossRef]
- Avancini, S.S.; Menezes, D.P.; Alloy, M.D.; Marinelli, J.R.; Moraes, M.M.W.; Providência, C. Warm and cold pasta phase in relativistic mean field theory. Phys. Rev. C 2008, 78, 015802. [Google Scholar] [CrossRef]
- Maruyama, T.; Tatsumi, T.; Voskresensky, D.N.; Tanigawa, T.; Chiba, S. Nuclear “pasta” structures and the charge screening effect. Phys. Rev. C 2005, 72, 015802. [Google Scholar] [CrossRef]
- Schneider, A.S.; Berry, D.K.; Caplan, M.E.; Horowitz, C.J.; Lin, Z. Effect of topological defects on “nuclear pasta” observables. Phys. Rev. C 2016, 93, 065806. [Google Scholar] [CrossRef]
- Lourenço, O.; Lenzi, C.; Dutra, M.; Frederico, T.; Bhuyan, M.; Negreiros, R.P.; Flores, C.V.; Grams, G.; Menezes, D.P. Neutron star cooling and GW170817 constraint within quark-meson coupling models. Chin. Phys. C 2021, 45, 025101. [Google Scholar] [CrossRef]
- Piekarewicz, J.; Fattoyev, F.J. Impact of the neutron star crust on the tidal polarizability. Phys. Rev. C 2019, 99, 045802. [Google Scholar] [CrossRef]
- Ferreira, M.; Providência, C. Effect of the crust on neutron star empirical relations. arXiv 2010, arXiv:2010.05588. [Google Scholar] [CrossRef]
- Ferreira, M.; Providência, C. Neutron Star Properties: Quantifying the Effect of the Crust–Core Matching Procedure. Universe 2020, 6, 220. [Google Scholar] [CrossRef]
- Lopes, L.L. The neutron star inner crust: An empirical essay. arXiv 2020, arXiv:2012.05277. [Google Scholar]
- Deibel, A.; Cumming, A.; Brown, E.F.; Reddy, S. Late-time Cooling of Neutron Star Transients and the Physics of the Inner Crust. Astrophys. J. 2017, 839, 95. [Google Scholar] [CrossRef]
- Pons, J.A.; Viganó, D.; Rea, N. A highly resistive layer within the crust of X-ray pulsars limits their spin periods. Nat. Phys. 2013, 9, 431. [Google Scholar] [CrossRef]
- Horowitz, C.J.; Berry, D.K.; Briggs, C.M.; Caplan, M.E.; Cumming, A.; Schneider, A.S. Disordered Nuclear Pasta, Magnetic Field Decay, and Crust Cooling in Neutron Stars. Phys. Rev. Lett. 2015, 114, 031102. [Google Scholar] [CrossRef] [PubMed]
- Alloy, M.D.; Menezes, D.P. Nuclear “pasta phase” and its consequences on neutrino opacities. Phys. Rev. C 2011, 83, 035803. [Google Scholar] [CrossRef]
- Horowitz, C.J.; Berry, D.K.; Caplan, M.E.; Fischer, T.; Lin, Z.; Newton, W.G.; O’Connor, E.; Roberts, L.F. Nuclear pasta and supernova neutrinos at late times. arXiv 2016, arXiv:1611.10226. [Google Scholar]
- Providencia, C.; Menezes, D.P. Hyperons in the nuclear pasta phase. Phys. Rev. C 2017, 96, 045803. [Google Scholar]
- Avancini, S.S.; Chiacchiera, S.; Menezes, D.P.; Providência, C. Warm “pasta” phase in the Thomas-Fermi approximation. Phys. Rev. C 2010, 82, 055807. [Google Scholar] [CrossRef]
- Okamoto, M.; Maruyama, T.; Yabana, K.; Tatsumi, T. Nuclear “pasta” structures in low-density nuclear matter and properties of the neutron star crust. Phys. Rev. C 2013, 88, 025801. [Google Scholar] [CrossRef]
- Fattoyev, F.J.; Horowitz, C.J.; Schuetrumpf, B. Quantum nuclear pasta and nuclear symmetry energy. Phys. Rev. C 2017, 95, 055804. [Google Scholar] [CrossRef]
- Barros, C.C., Jr.; Menezes, D.P.; Gulminelli, F. Fluctuations in the composition of nuclear pasta in symmetric nuclear matter at finite temperature. Phys. Rev. C 2020, 101, 035211. [Google Scholar] [CrossRef]
- Pelicer, M.R.; Menezes, D.P.; Barros, C.C., Jr.; Gulminelli, F. Fluctuations in the pasta phase. arXiv 2021, arXiv:2105.03318. [Google Scholar]
- Ivanenko, D.; Kurdgelaidze, D.F. Hypothesis concerning quark stars. Astrophysics 1965, 1, 251–252. [Google Scholar] [CrossRef]
- Annala, E.; Gorda, T.; Kurkela, A.; Nättilä, J.; Vuorinen, A. Evidence for quark-matter cores in massive neutron stars. Nat. Phys. 2020, 16, 907–910. [Google Scholar] [CrossRef]
- Dexheimer, V.A.; Schramm, S. Novel approach to modeling hybrid stars. Phys. Rev. C 2010, 81, 045201. [Google Scholar] [CrossRef]
- Dexheimer, V.; Gomes, R.O.; Klahn, T.; Han, S.; Salinas, M. GW190814 as a massive rapidly rotating neutron star with exotic degrees of freedom. Phys. Rev. C 2021, 103, 025808. [Google Scholar] [CrossRef]
- Pais, H.; Menezes, D.P.; Providência, C. Neutron stars: From the inner crust to the core with the (extended) Nambu–Jona-Lasinio model. Phys. Rev. C 2016, 93, 065805. [Google Scholar] [CrossRef]
- Graeff, C.A.; Alloy, M.D.; Marquez, K.D.; Providencia, C.; Menezes, D.P. Hadron-quark phase transition: The QCD phase diagram and stellar conversion. J. Cosm. Astrop. Phys. 2019, 1, 024. [Google Scholar] [CrossRef]
- Fuchs, C.; Lenske, H.; Wolter, H.H. Density dependent hadron field theory. Phys. Rev. C 1995, 52, 3043. [Google Scholar] [CrossRef] [PubMed]
- Typel, S.; Wolter, H.H. Relativistic mean field calculations with density-dependent meson-nucleon coupling. Nucl. Phys. A 1999, 656, 331. [Google Scholar] [CrossRef]
- Chodos, A.; Jaffe, R.L.; Johnson, K.; Thorne, C.B.; Weisskopf, V.F. New extended model of hadrons. Phys. Rev. D 1974, 9, 3471. [Google Scholar] [CrossRef]
- Nambu, Y.; Jona-Lasinio, G. Dynamical Model of Elementary Particles Based on an Analogy with Superconductivity. I. Phys. Rev. 1961, 122, 345. [Google Scholar] [CrossRef]
- Buballa, M. NJL-model analysis of dense quark matter. Phys. Rep. 2005, 407, 205. [Google Scholar] [CrossRef]
- Menezes, D.P.; Providência, C. Warm stellar matter with deconfinement: Application to compact stars. Phys. Rev. C 2003, 68, 035804. [Google Scholar] [CrossRef]
- Maruyama, T.; Chiba, S.; Schulze, H. J, Tatsumi T. Hadron-quark mixed phase in hyperon stars. Phys. Rev. D 2007, 76, 123015. [Google Scholar] [CrossRef]
- Voskresensky, D.N.; Yasuhira, M.; Tatsumi, T. Charge screening in hadron–quark mixed phase. Phys. Lett. B 2002, 541, 93. [Google Scholar] [CrossRef]
- de Paoli, M.G.; Menezes, D.P. Effects of the existence of a mixed phase in hybrid neutron stars. Int. J. Mod. Phys. D 2010, 19, 1525–1529. [Google Scholar] [CrossRef]
- Hatsuda, T.; Kunihiro, T. QCD Phenomenology based on a Chiral Effective Lagrangian. Phys. Rep. 1994, 247, 221. [Google Scholar] [CrossRef]
- Rehberg, P.; Klevansky, S.P.; Hüfner, J. Hadronization in the SU (3) Nambu–Jona-Lasinio model. Phys. Rev. C 1996, 53, 410. [Google Scholar] [CrossRef]
- Abbott, R.; Abbott, T.D.; Abraham, S.; Acernese, F.; Ackley, K.; Adams, C.; Adhikari, R.X.; Adya, V.D.; Affeldt, C.; Agathos, M.; et al. GW190814: Gravitational Waves from the Coalescence of a 23 Solar Mass Black Holewith a 2.6 Solar Mass Compact Object. Astrophys. J. Lett. 2020, 896, L44. [Google Scholar] [CrossRef]
- Tan, H.; Dore, T.; Dexheimer, V.; Noronha-Hostler, J.; Yunes, N. Extreme Matter meets Extreme Gravity: Ultra-heavy neutron stars with crossovers and first-order phase transitions. arXiv 2021, arXiv:2106.03890. [Google Scholar]
- Itoh, N. Hydrostatic Equilibrium of Hypothetical Quark Stars. Prog. Theor. Phys. 1970, 44, 291. [Google Scholar] [CrossRef]
- Bodmer, A.R. Collapsed Nuclei. Phys. Rev. D 1971, 4, 1601. [Google Scholar] [CrossRef]
- Witten, E. Cosmic separation of phases. Phys. Rev. D 1984, 30, 272. [Google Scholar] [CrossRef]
- Buballa, M. The problem of matter stability in the Nambu-Jona-Lasinio model. Nucl. Phys. A 1996, 611, 393. [Google Scholar] [CrossRef]
- Menezes, D.P.; Pinto, M.B.; Avancini, S.S.; Pérez Martinez, A.; Providência, C. Quark matter under strong magnetic fields in the Nambu–Jona-Lasinio model. Phys. Rev. C 2009, 79, 035807. [Google Scholar] [CrossRef]
- Menezes, D.P.; Pinto, M.B.; Avancini, S.S.; Providência, C. Quark matter under strong magnetic fields in the su(3) Nambu–Jona-Lasinio Model. Phys. Rev. C 2009, 80, 065805. [Google Scholar] [CrossRef]
- Dexheimer, V.; Torres, J.R.; Menezes, D.P. Stability windows for proto-quark stars. Eur. Phys. J. C 2013, 73, 2569. [Google Scholar] [CrossRef]
- Torres, J.R.; Menezes, D.P. Quark matter equation of state and stellar properties. Europhys. Lett. 2013, 101, 42003. [Google Scholar] [CrossRef]
- Peng, G.X.; Chiang, H.C.; Zou, B.S.; Ning, P.Z.; Luo, S.J. Thermodynamics, strange quark matter, and strange stars. Phys. Rev. C 2000, 62, 025801. [Google Scholar] [CrossRef]
- Xia, C.J.; Peng, G.X.; Chen, S.W.; Lu, Z.Y.; Xu, J.F. Thermodynamic consistency, quark mass scaling, and properties of strange matter. Phys. Rev. D 2014, 89, 105027. [Google Scholar] [CrossRef]
- Backes, B.C.; Hafemann, E.; Marzola, I.; Menezes, D.P. Density-dependent quark mass model revisited: Thermodynamic consistency, stability windows and stellar properties. J. Phys. G 2021. [Google Scholar] [CrossRef]
- Lopes, L.L.; Biesdorf, C.; Menezes, D.P. Modified MIT Bag Models—Part I: Thermodynamic Consistency, Stability windows and symmetry group. Phys. Scr. 2021. Available online: https://iopscience.iop.org/article/10.1088/1402-4896/abef34 (accessed on 20 July 2021). [CrossRef]
- Melrose, D.B.; Fok, R.; Menezes, D.P. Pair emission from bare magnetized strange stars. Mon. Not. R. Astron. Soc. 2006, 371, 204–210. [Google Scholar] [CrossRef]
- Menezes, D.P.; Providência, C.; Melrose, D.B. Quark stars within relativistic models. J. Phys. G 2006, 32, 1081–1096. [Google Scholar] [CrossRef]
- Haensel, D.G.Y.P.; Potekhin, A.Y. Neutron Stars 1: Equation of State and Structure; Springer: New York, NY, USA, 2007. [Google Scholar]
- Thompson, C.; Duncan, R.C. The soft gamma repeaters as very strongly magnetized neutron stars—I. Radiative mechanism for outbursts. Mon. Not. R. Astron. Soc. 1995, 275, 255. [Google Scholar] [CrossRef]
- Mereghetti, S.; Pons, J.A.; Melatos, A. Magnetars: Properties, Origin and Evolution. Space Sci. Rev. 2015, 191, 315. [Google Scholar] [CrossRef]
- Bochenek, C.D.; Ravi., V.; Belov, K.V.; Hallinan, G.; Kocz, J.; Kulkarni, S.R.; McKenna, D.L. A fast radio burst associated with a Galactic magnetar. Nature 2020, 587, 59–62. [Google Scholar] [CrossRef]
- Olausen, S.A.; Kaspi, V.M. The McGill Magnetar Catalog. Astrophys. J. 2014, 212, 6. [Google Scholar] [CrossRef]
- Athena X-ray Observatory. 2016. Available online: http://www.the-athena-x-ray-observatory.eu/ (accessed on 20 July 2021).
- Lopes, L.L.; Menezes, D.P. The Influence of Hyperons and Strong Magnetic Field in Neutron Star Properties. Braz. J. Phys. 2012, 42. [Google Scholar] [CrossRef]
- Casali, R.; Castro, L.B.; Menezes, D.P. Hadronic and hybrid stars subject to density dependent magnetic fields. Phys. Rev. C 2014, 89, 015805. [Google Scholar] [CrossRef]
- Chatterjee, D.; Gulminelli, F.; Menezes, D.P. Estimating magnetar radii with an empirical meta-model. J. Cosmol. Astropart. Phys. 2019, 3, 035. [Google Scholar] [CrossRef]
- Lopes, L.L.; Menezes, D.P. Role of vector channel in different classes of (non)magnetized neutron stars. Eur. Phys. J. A 2020, 56, 122. [Google Scholar] [CrossRef]
- Lopes, L.L.; Menezes, D.P. On magnetized neutron stars. J. Cosmol. Astropart. Phys. 2015, 8, 002. [Google Scholar] [CrossRef]
- Dexheimer, V.; Menezes, D.P.; Strickland, M. The influence of strong magnetic fields on protoquark stars. J. Phys. G Nucl. Part. Phys. 2014, 41, 015203. [Google Scholar] [CrossRef]
- Menezes, D.P.; Lopes, L.L. Quark matter under strong magnetic fields. Eur. Phys. J. A 2016, 52, 17. [Google Scholar] [CrossRef]
- LORENE. Available online: https://lorene.obspm.fr/ (accessed on 20 July 2021).
- Fang, J.; Pais, H.; Pratapsi, S.; Avancini, S.; Li, J.; Providência, C. Effect of strong magnetic fields on the crust-core transition and inner crust of neutron stars. Phys. Rev. C 2017, 95, 045802. [Google Scholar] [CrossRef]
- Brito, L.; Providência, C.; Santos, A.M.; Avancini, S.S.; Menezes, D.P.; Chomaz, P. Unstable modes in relativistic neutron-proton-electron (npe) matter at finite temperature. Phys. Rev. C 2006, 74, 045801. [Google Scholar] [CrossRef]
- Thorne, K.; Campolattaro, A. Non-Radial Pulsation of General-Relativistic Stellar Models. I. Analytic Analysis for L >= 2. Astrophys. J. 1967, 149, 591. [Google Scholar] [CrossRef]
- Hinderer, T. Tidal Love Numbers of Neutron Stars. Astrophys. J. 2008, 677, 1216. [Google Scholar] [CrossRef]
- Backes, B.C.T.; Marquez, K.D.; Menezes, D.P. Effects of strong magnetic fields on the hadron-quark deconfinement transition. Eur. Phys. J. A 2021, 57, 229. [Google Scholar] [CrossRef]
- Gogelein, P.; van Dalen, E.N.E.; Fuchs, C.; Muther, H. Nuclear matter in the crust of neutron stars derived from realistic NN interactions. Phys. Rev. C 2008, 77, 025802. [Google Scholar] [CrossRef]
- Abbott, B.P.; Abbott, R.; Abbott, T.D.; Abraham, S.; Acernese, F.; Ackley, K.; Adams, C.; Adhikari, R.X.; Adya, V.B.; Affeldt, C.; et al. GW190425: Observation of a Compact Binary Coalescence with Total Mass 3.4 M⊙. Astrophys. J. Lett. 2020, 892, L3. [Google Scholar] [CrossRef]
- Abbott, R.; Abbott, T.D.; Abraham, S.; Acernese, F.; Ackley, K.; Adams, A.; Adams, C.; Adhikari, R.X.; Adya, V.B.; Affeldt, C.; et al. Observation of Gravitational Waves from Two Neutron Star–Black Hole Coalescences. Astrophys. J. Lett. 2021, 915, L5. [Google Scholar] [CrossRef]
- Dietrich, T.; Coughlin, M.W.; Pang, P.T.H.; Bulla, M.; Heinzel, J.; Issa, L.; Tews, I.; Antier, S. Multimessenger constraints on the neutron-star equation of state and the Hubble constant. Science 2020, 370, 1450. [Google Scholar] [CrossRef]
- Available online: http://compose.obspm.fr (accessed on 20 July 2021).























| Model | A | B | C | |||||||
|---|---|---|---|---|---|---|---|---|---|---|
| NL3 | 508.194 | 782.501 | 763 | 10.217 | 12.868 | 8.948 | 2.055 | −2.65 | 0 | 0 |
| NL3 | 508.194 | 782.501 | 763 | 2.192 | 12.868 | 11.276 | 2.055 | −2.65 | 0 | 0.03 |
| IUFSU | 491.5 | 782.5 | 763 | 9.971 | 13.032 | 13.590 | 1.80 | 4.9 | 0.18 | 0.046 |
| Model | J | L | ||||||
|---|---|---|---|---|---|---|---|---|
| fm | MeV | MeV | MeV | MeV | km | |||
| NL3 | 0.148 | −16.24 | 271.53 | 0.60 | 37.40 | 118.53 | 2.78 | 14.7 |
| NL3 | 0.148 | −16.24 | 271.60 | 0.60 | 31.70 | 55.50 | 2.76 | 13.7 |
| IUFSU | 0.155 | −16.40 | 231.33 | 0.61 | 31.30 | 47.21 | 1.94 | 12.5 |
Publisher’s Note: MDPI stays neutral with regard to jurisdictional claims in published maps and institutional affiliations. |
© 2021 by the author. Licensee MDPI, Basel, Switzerland. This article is an open access article distributed under the terms and conditions of the Creative Commons Attribution (CC BY) license (https://creativecommons.org/licenses/by/4.0/).
Share and Cite
Menezes, D.P. A Neutron Star Is Born. Universe 2021, 7, 267. https://doi.org/10.3390/universe7080267
Menezes DP. A Neutron Star Is Born. Universe. 2021; 7(8):267. https://doi.org/10.3390/universe7080267
Chicago/Turabian StyleMenezes, Débora Peres. 2021. "A Neutron Star Is Born" Universe 7, no. 8: 267. https://doi.org/10.3390/universe7080267
APA StyleMenezes, D. P. (2021). A Neutron Star Is Born. Universe, 7(8), 267. https://doi.org/10.3390/universe7080267

