Dust Production around Carbon-Rich Stars: The Role of Metallicity
Abstract
1. Introduction
2. Method
2.1. Stellar Evolutionary Tracks
2.2. Seed Nuclei
2.3. Grain Accretion in the CSE
2.4. Dust-Driven Wind
2.5. Structure of the Envelope
2.5.1. Temperature Profile
2.5.2. Density Profile
3. Results and Discussion
3.1. Comparison between Model Predictions and Observations
3.2. Grain Size
3.3. Acetylene in the Gas Phase and Dust Condensation
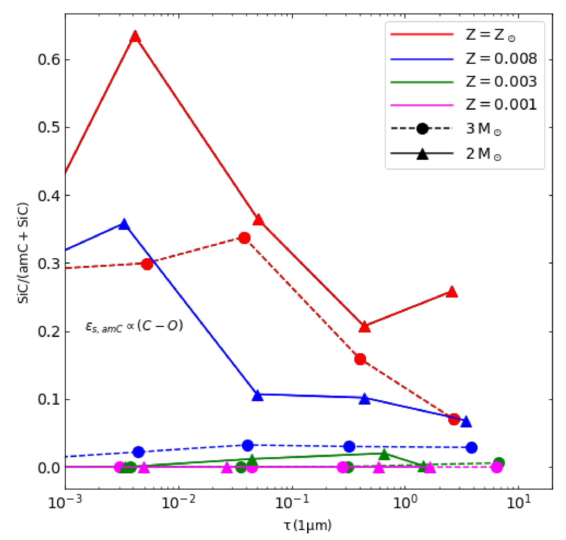
3.4. SiC Mass Fraction
3.5. Outflow Expansion Velocities
3.6. Seed Particle Abundance
4. Conclusions
Author Contributions
Funding
Institutional Review Board Statement
Informed Consent Statement
Conflicts of Interest
Appendix A. Comparison between Predicted and Observed Wind Speed of Galactic C-Stars

| 1 | http://fruity.oa-abruzzo.inaf.it (accessed on 7 July 2021). | 
| 2 | We refer to "initial mass" as the mass of the star on the main sequence. | 
References
- Valiante, R.; Schneider, R.; Bianchi, S.; Andersen, A.C. Stellar sources of dust in the high-redshift Universe. Mon. Not. R. Astron. Soc. 2009, 397, 1661–1671. [Google Scholar] [CrossRef]
- Dwek, E.; Cherchneff, I. The Origin of Dust in the Early Universe: Probing the Star Formation History of Galaxies by Their Dust Content. Astrophys. J. 2011, 727, 63. [Google Scholar] [CrossRef]
- Michałowski, M.J. Dust production 680–850 million years after the Big Bang. Astron. Astrophys. 2015, 577, A80. [Google Scholar] [CrossRef]
- Leśniewska, A.; Michałowski, M.J. Dust production scenarios in galaxies at z 6-8.3. Astron. Astrophys. 2019, 624, L13. [Google Scholar] [CrossRef]
- Dell’Agli, F.; Valiante, R.; Kamath, D.; Ventura, P.; García-Hernández, D.A. AGB dust and gas ejecta in extremely metal-poor environments. Mon. Not. R. Astron. Soc. 2019, 486, 4738–4752. [Google Scholar] [CrossRef]
- Gehrz, R. Sources of Stardust in the Galaxy. In Interstellar Dust, IAU Symposium; Allamandola, L.J., Tielens, A.G.G.M., Eds.; Kluwer Academic Publishers: Alfen am Rhein, The Netherlands, 1989; Volume 135, p. 445. [Google Scholar]
- Höfner, S.; Olofsson, H. Mass loss of stars on the asymptotic giant branch. Mechanisms, models and measurements. Astron. Astrophys. Rev. 2018, 26, 1. [Google Scholar] [CrossRef]
- Cristallo, S.; Piersanti, L.; Straniero, O.; Gallino, R.; Domínguez, I.; Abia, C.; Di Rico, G.; Quintini, M.; Bisterzo, S. Evolution, Nucleosynthesis, and Yields of Low-mass Asymptotic Giant Branch Stars at Different Metallicities. II. The FRUITY Database. ApJS 2011, 197, 17. [Google Scholar] [CrossRef]
- Straniero, O.; Gallino, R.; Cristallo, S. s process in low-mass asymptotic giant branch stars. Nucl. Phys. A 2006, 777, 311–339. [Google Scholar] [CrossRef]
- Ventura, P.; D’Antona, F. Hot bottom burning in the envelope of super asymptotic giant branch stars. Mon. Not. R. Astron. Soc. 2011, 410, 2760–2766. [Google Scholar] [CrossRef][Green Version]
- Karakas, A.I.; Lattanzio, J.C. The Dawes Review 2: Nucleosynthesis and Stellar Yields of Low- and Intermediate-Mass Single Stars. Publ. Astron. Soc. Aust. 2014, 31, e030. [Google Scholar] [CrossRef]
- Marini, E.; Dell’Agli, F.; Di Criscienzo, M.; Puccetti, S.; García-Hernández, D.A.; Mattsson, L.; Ventura, P. Discovery of Stars Surrounded by Iron Dust in the Large Magellanic Cloud. Astrophys. J. Lett. 2019, 871, L16. [Google Scholar] [CrossRef]
- Nanni, A.; Bressan, A.; Marigo, P.; Girardi, L. Evolution of thermally pulsing asymptotic giant branch stars—II. Dust production at varying metallicity. Mon. Not. R. Astron. Soc. 2013, 434, 2390–2417. [Google Scholar] [CrossRef]
- Nanni, A.; Bressan, A.; Marigo, P.; Girardi, L. Evolution of thermally pulsing asymptotic giant branch stars—III. Dust production at supersolar metallicities. Mon. Not. R. Astron. Soc. 2014, 438, 2328–2340. [Google Scholar] [CrossRef]
- Cristallo, S.; Nanni, A.; Cescutti, G.; Minchev, I.; Liu, N.; Vescovi, D.; Gobrecht, D.; Piersanti, L. Mass and metallicity distribution of parent AGB stars of presolar SiC. Astron. Astrophys. 2020, 644, A8. [Google Scholar] [CrossRef]
- Bernatowicz, T.J.; Cowsik, R.; Gibbons, P.C.; Lodders, K.; Fegley Bruce, J.; Amari, S.; Lewis, R.S. Constraints on Stellar Grain Formation from Presolar Graphite in the Murchison Meteorite. Astrophys. J. 1996, 472, 760. [Google Scholar] [CrossRef]
- Cherchneff, I.; Barker, J.R. Polycyclic Aromatic Hydrocarbons and Molecular Equilibria in Carbon-rich Stars. Astrophys. J. 1992, 394, 703. [Google Scholar] [CrossRef]
- Cherchneff, I. Nucleating Dust in Carbon-Rich AGB Stars. In The Carbon Star Phenomenon; Wing, R.F., Ed.; Kluwer Academic Publishers: Alfen am Rhein, The Netherlands, 2000; Volume 177, p. 331. [Google Scholar]
- Mattsson, L.; Wahlin, R.; Höfner, S. Dust driven mass loss from carbon stars as a function of stellar parameters. I. A grid of solar-metallicity wind models. Astron. Astrophys. 2010, 509, A14. [Google Scholar] [CrossRef]
- Eriksson, K.; Nowotny, W.; Höfner, S.; Aringer, B.; Wachter, A. Synthetic photometry for carbon-rich giants. IV. An extensive grid of dynamic atmosphere and wind models. Astron. Astrophys. 2014, 566, A95. [Google Scholar] [CrossRef]
- McDonald, I.; De Beck, E.; Zijlstra, A.A.; Lagadec, E. Pulsation-triggered dust production by asymptotic giant branch stars. Mon. Not. R. Astron. Soc. 2018, 481, 4984–4999. [Google Scholar] [CrossRef]
- Bladh, S.; Eriksson, K.; Marigo, P.; Liljegren, S.; Aringer, B. Carbon star wind models at solar and sub-solar metallicities: A comparative study. I. Mass loss and the properties of dust-driven winds. arXiv 2019, arXiv:astro-ph.SR/1902.05352. [Google Scholar] [CrossRef]
- Sandin, C.; Mattsson, L. Three-component modelling of C-rich AGB star winds—V. Effects of frequency-dependent radiative transfer including drift. Mon. Not. R. Astron. Soc. 2020, 499, 1531–1560. [Google Scholar] [CrossRef]
- Loup, C.; Zijlstra, A.A.; Waters, L.B.F.M.; Groenewegen, M.A.T. Obscured AGB stars in the Magellanic Clouds. I. IRAS candidates. Astron. Astrophys. Suppl. Ser. 1997, 125, 419–437. [Google Scholar] [CrossRef][Green Version]
- Schöier, F.L.; Ramstedt, S.; Olofsson, H.; Lindqvist, M.; Bieging, J.H.; Marvel, K.B. The abundance of HCN in circumstellar envelopes of AGB stars of different chemical type. Astron. Astrophys. 2013, 550, A78. [Google Scholar] [CrossRef]
- Ramstedt, S.; Olofsson, H. The 12CO/13CO ratio in AGB stars of different chemical type. Connection to the 12C/13C ratio and the evolution along the AGB. Astron. Astrophys. 2014, 566, A145. [Google Scholar] [CrossRef]
- Danilovich, T.; Teyssier, D.; Justtanont, K.; Olofsson, H.; Cerrigone, L.; Bujarrabal, V.; Alcolea, J.; Cernicharo, J.; Castro-Carrizo, A.; García-Lario, P.; et al. New observations and models of circumstellar CO line emission of AGB stars in the Herschel SUCCESS programme. Astron. Astrophys. 2015, 581, A60. [Google Scholar] [CrossRef]
- Groenewegen, M.A.T.; Oudmaijer, R.D.; Ludwig, H.G. Two mass-losing carbon stars in the Galactic halo. Mon. Not. R. Astron. Soc. 1997, 292, 686–694. [Google Scholar] [CrossRef]
- Lagadec, E.; Zijlstra, A.A.; Mauron, N.; Fuller, G.; Josselin, E.; Sloan, G.C.; Riggs, A.J.E. The low wind expansion velocity of metal-poor carbon stars in the Halo and the Sagittarius stream†. Mon. Not. R. Astron. Soc. 2010, 403, 1331–1338. [Google Scholar] [CrossRef][Green Version]
- Groenewegen, M.A.T.; Vlemmings, W.H.T.; Marigo, P.; Sloan, G.C.; Decin, L.; Feast, M.W.; Goldman, S.R.; Justtanont, K.; Kerschbaum, F.; Matsuura, M.; et al. The ALMA detection of CO rotational line emission in AGB stars in the Large Magellanic Cloud. Astron. Astrophys. 2016, 596, A50. [Google Scholar] [CrossRef]
- Mattsson, L.; Wahlin, R.; Höfner, S.; Eriksson, K. Intense mass loss from C-rich AGB stars at low metallicity? Astron. Astrophys. 2008, 484, L5–L8. [Google Scholar] [CrossRef][Green Version]
- Boyer, M.L.; McQuinn, K.B.W.; Barmby, P.; Bonanos, A.Z.; Gehrz, R.D.; Gordon, K.D.; Groenewegen, M.A.T.; Lagadec, E.; Lennon, D.; Marengo, M.; et al. An Infrared Census of DUST in Nearby Galaxies with Spitzer (DUSTiNGS). II. Discovery of Metal-poor Dusty AGB Stars. Astrophys. J. 2015, 800, 51. [Google Scholar] [CrossRef]
- Boyer, M.L.; McQuinn, K.B.W.; Groenewegen, M.A.T.; Zijlstra, A.A.; Whitelock, P.A.; van Loon, J.T.; Sonneborn, G.; Sloan, G.C.; Skillman, E.D.; Meixner, M.; et al. An Infrared Census of DUST in Nearby Galaxies with Spitzer (DUSTiNGS). IV. Discovery of High-redshift AGB Analogs. Astrophys. J. 2017, 851, 152. [Google Scholar] [CrossRef]
- Jones, O.C.; Maclay, M.T.; Boyer, M.L.; Meixner, M.; McDonald, I.; Meskhidze, H. Near-infrared Stellar Populations in the Metal-poor, Dwarf Irregular Galaxies Sextans A and Leo A. Astrophys. J. 2018, 854, 117. [Google Scholar] [CrossRef]
- Goldman, S.R.; Boyer, M.L.; McQuinn, K.B.W.; Whitelock, P.A.; McDonald, I.; van Loon, J.T.; Skillman, E.D.; Gehrz, R.D.; Javadi, A.; Sloan, G.C.; et al. An Infrared Census of DUST in Nearby Galaxies with Spitzer (DUSTiNGS). V. The Period-Luminosity Relation for Dusty Metal-poor AGB Stars. Astrophys. J. 2019, 877, 49. [Google Scholar] [CrossRef]
- Boyer, M.L.; Srinivasan, S.; van Loon, J.T.; McDonald, I.; Meixner, M.; Zaritsky, D.; Gordon, K.D.; Kemper, F.; Babler, B.; Block, M.; et al. Surveying the Agents of Galaxy Evolution in the Tidally Stripped, Low Metallicity Small Magellanic Cloud (SAGE-SMC). II. Cool Evolved Stars. Astron. J. 2011, 142, 103. [Google Scholar] [CrossRef]
- Riebel, D.; Srinivasan, S.; Sargent, B.; Meixner, M. The Mass-loss Return from Evolved Stars to the Large Magellanic Cloud. VI. Luminosities and Mass-loss Rates on Population Scales. Astrophys. J. 2012, 753, 71. [Google Scholar] [CrossRef]
- Boyer, M.L.; McDonald, I.; Srinivasan, S.; Zijlstra, A.; van Loon, J.T.; Olsen, K.A.G.; Sonneborn, G. Identification of a Class of Low-mass Asymptotic Giant Branch Stars Struggling to Become Carbon Stars in the Magellanic Clouds. Astrophys. J. 2015, 810, 116. [Google Scholar] [CrossRef]
- Ruffle, P.M.E.; Kemper, F.; Jones, O.C.; Sloan, G.C.; Kraemer, K.E.; Woods, P.M.; Boyer, M.L.; Srinivasan, S.; Antoniou, V.; Lagadec, E.; et al. Spitzer infrared spectrograph point source classification in the Small Magellanic Cloud. Mon. Not. R. Astron. Soc. 2015, 451, 3504–3536. [Google Scholar] [CrossRef]
- Jones, O.C.; Woods, P.M.; Kemper, F.; Kraemer, K.E.; Sloan, G.C.; Srinivasan, S.; Oliveira, J.M.; van Loon, J.T.; Boyer, M.L.; Sargent, B.A.; et al. The SAGE-Spec Spitzer Legacy program: The life-cycle of dust and gas in the Large Magellanic Cloud. Point source classification—III. Mon. Not. R. Astron. Soc. 2017, 470, 3250–3282. [Google Scholar] [CrossRef]
- van Loon, J.T.; Groenewegen, M.A.T.; de Koter, A.; Trams, N.R.; Waters, L.B.F.M.; Zijlstra, A.A.; Whitelock, P.A.; Loup, C. Mass-loss rates and luminosity functions of dust-enshrouded AGB stars and red supergiants in the LMC. Astron. Astrophys. 1999, 351, 559–572. [Google Scholar]
- van Loon, J.T.; Cioni, M.R.L.; Zijlstra, A.A.; Loup, C. An empirical formula for the mass-loss rates of dust-enshrouded red supergiants and oxygen-rich Asymptotic Giant Branch stars. Astron. Astrophys. 2005, 438, 273–289. [Google Scholar] [CrossRef]
- Blommaert, J.A.D.L.; Groenewegen, M.A.T.; Okumura, K.; Ganesh, S.; Omont, A.; Cami, J.; Glass, I.S.; Habing, H.J.; Schultheis, M.; Simon, G.; et al. ISO midinfrared spectroscopy of Galactic Bulge AGB stars. Astron. Astrophys. 2006, 460, 555–563. [Google Scholar] [CrossRef]
- Lebzelter, T.; Posch, T.; Hinkle, K.; Wood, P.R.; Bouwman, J. Tracing the Development of Dust around Evolved Stars: The Case of 47 Tuc. Astrophys. J. Lett. 2006, 653, L145–L148. [Google Scholar] [CrossRef][Green Version]
- Groenewegen, M.A.T.; Wood, P.R.; Sloan, G.C.; Blommaert, J.A.D.L.; Cioni, M.R.L.; Feast, M.W.; Hony, S.; Matsuura, M.; Menzies, J.W.; Olivier, E.A.; et al. Luminosities and mass-loss rates of carbon stars in the Magellanic Clouds. Mon. Not. R. Astron. Soc. 2007, 376, 313–337. [Google Scholar] [CrossRef]
- van Loon, J.T.; McDonald, I.; Oliveira, J.M.; Evans, A.; Boyer, M.L.; Gehrz, R.D.; Polomski, E.; Woodward, C.E. The first 8–13 μm spectra of globular cluster red giants: Circumstellar silicate dust grains in 47 Tucanae (NGC 104). Astron. Astrophys. 2006, 450, 339–343. [Google Scholar] [CrossRef][Green Version]
- Matsuura, M.; Wood, P.R.; Sloan, G.C.; Zijlstra, A.A.; van Loon, J.T.; Groenewegen, M.A.T.; Blommaert, J.A.D.L.; Cioni, M.R.L.; Feast, M.W.; Habing, H.J.; et al. Spitzer observations of acetylene bands in carbon-rich asymptotic giant branch stars in the Large Magellanic Cloud. Mon. Not. R. Astron. Soc. 2006, 371, 415–420. [Google Scholar] [CrossRef][Green Version]
- van Loon, J.T.; Cohen, M.; Oliveira, J.M.; Matsuura, M.; McDonald, I.; Sloan, G.C.; Wood, P.R.; Zijlstra, A.A. Molecules and dust production in the Magellanic Clouds. Astron. Astrophys. 2008, 487, 1055–1073. [Google Scholar] [CrossRef]
- Groenewegen, M.A.T.; Sloan, G.C.; Soszyński, I.; Petersen, E.A. Luminosities and mass-loss rates of SMC and LMC AGB stars and red supergiants. Astron. Astrophys. 2009, 506, 1277–1296. [Google Scholar] [CrossRef]
- Gullieuszik, M.; Groenewegen, M.A.T.; Cioni, M.R.L.; de Grijs, R.; van Loon, J.T.; Girardi, L.; Ivanov, V.D.; Oliveira, J.M.; Emerson, J.P.; Guandalini, R. The VMC survey. III. Mass-loss rates and luminosities of LMC AGB stars. Astron. Astrophys. 2012, 537, A105. [Google Scholar] [CrossRef]
- Sloan, G.C.; Kraemer, K.E.; McDonald, I.; Groenewegen, M.A.T.; Wood, P.R.; Zijlstra, A.A.; Lagadec, E.; Boyer, M.L.; Kemper, F.; Matsuura, M.; et al. The Infrared Spectral Properties of Magellanic Carbon Stars. Astrophys. J. 2016, 826, 44. [Google Scholar] [CrossRef]
- Rau, G.; Hron, J.; Paladini, C.; Aringer, B.; Eriksson, K.; Marigo, P.; Nowotny, W.; Grellmann, R. The adventure of carbon stars. Observations and modeling of a set of C-rich AGB stars. Astron. Astrophys. 2017, 600, A92. [Google Scholar] [CrossRef]
- Goldman, S.R.; van Loon, J.T.; Zijlstra, A.A.; Green, J.A.; Wood, P.R.; Nanni, A.; Imai, H.; Whitelock, P.A.; Matsuura, M.; Groenewegen, M.A.T.; et al. The wind speeds, dust content, and mass-loss rates of evolved AGB and RSG stars at varying metallicity. Mon. Not. R. Astron. Soc. 2017, 465, 403–433. [Google Scholar] [CrossRef]
- Goldman, S.R.; van Loon, J.T.; Gómez, J.F.; Green, J.A.; Zijlstra, A.A.; Nanni, A.; Imai, H.; Whitelock, P.A.; Groenewegen, M.A.T.; Oliveira, J.M. A dearth of OH/IR stars in the Small Magellanic Cloud. Mon. Not. R. Astron. Soc. 2018, 473, 3835–3853. [Google Scholar] [CrossRef]
- Nanni, A.; Marigo, P.; Girardi, L.; Rubele, S.; Bressan, A.; Groenewegen, M.A.T.; Pastorelli, G.; Aringer, B. Estimating the dust production rate of carbon stars in the Small Magellanic Cloud. Mon. Not. R. Astron. Soc. 2018, 473, 5492–5513. [Google Scholar] [CrossRef]
- Nanni, A.; Groenewegen, M.A.T.; Aringer, B.; Rubele, S.; Bressan, A.; van Loon, J.T.; Goldman, S.R.; Boyer, M.L. The mass-loss, expansion velocities, and dust production rates of carbon stars in the Magellanic Clouds. Mon. Not. R. Astron. Soc. 2019, 487, 502–521. [Google Scholar] [CrossRef]
- Brunner, M.; Mecina, M.; Maercker, M.; Dorfi, E.A.; Kerschbaum, F.; Olofsson, H.; Rau, G. ALMA observations of the “fresh” carbon-rich AGB star TX Piscium. The discovery of an elliptical detached shell. Astron. Astrophys. 2019, 621, A50. [Google Scholar] [CrossRef]
- Marini, E.; Dell’Agli, F.; García-Hernández, D.A.; Groenewegen, M.A.T.; Puccetti, S.; Ventura, P.; Villaver, E. Do evolved stars in the LMC show dual dust chemistry? Mon. Not. R. Astron. Soc. 2019, 488, L85–L89. [Google Scholar] [CrossRef]
- Marini, E.; Dell’Agli, F.; Di Criscienzo, M.; García-Hernández, D.A.; Ventura, P.; Groenewegen, M.A.T.; Mattsson, L.; Kamath, D.; Puccetti, S.; Tailo, M.; et al. Characterization of M-stars in the LMC in the JWST era. Mon. Not. R. Astron. Soc. 2020, 493, 2996–3013. [Google Scholar] [CrossRef]
- Marini, E.; Dell’Agli, F.; Groenewegen, M.A.T.; García-Hernández, D.A.; Mattsson, L.; Kamath, D.; Ventura, P.; D’Antona, F.; Tailo, M. Understanding the evolution and dust formation of carbon stars in the LMC with a look at the JWST. arXiv 2020, arXiv:2012.12289. [Google Scholar]
- Groenewegen, M.A.T.; Nanni, A.; Cioni, M.R.L.; Girardi, L.; de Grijs, R.; Ivanov, V.D.; Marconi, M.; Moretti, M.I.; Oliveira, J.M.; Petr-Gotzens, M.G.; et al. The VMC Survey. XXXVII. Pulsation periods of dust-enshrouded AGB stars in the Magellanic Clouds. Astron. Astrophys. 2020, 636, A48. [Google Scholar] [CrossRef]
- Ramstedt, S.; Vlemmings, W.H.T.; Doan, L.; Danilovich, T.; Lindqvist, M.; Saberi, M.; Olofsson, H.; De Beck, E.; Groenewegen, M.A.T.; Höfner, S.; et al. DEATHSTAR: Nearby AGB stars with the Atacama Compact Array. I. CO envelope sizes and asymmetries: A new hope for accurate mass-loss-rate estimates. Astron. Astrophys. 2020, 640, A133. [Google Scholar] [CrossRef]
- Matsuura, M.; Barlow, M.J.; Zijlstra, A.A.; Whitelock, P.A.; Cioni, M.R.L.; Groenewegen, M.A.T.; Volk, K.; Kemper, F.; Kodama, T.; Lagadec, E.; et al. The global gas and dust budget of the Large Magellanic Cloud: AGB stars and supernovae, and the impact on the ISM evolution. Mon. Not. R. Astron. Soc. 2009, 396, 918–934. [Google Scholar] [CrossRef]
- Boyer, M.L.; Srinivasan, S.; Riebel, D.; McDonald, I.; van Loon, J.T.; Clayton, G.C.; Gordon, K.D.; Meixner, M.; Sargent, B.A.; Sloan, G.C. The Dust Budget of the Small Magellanic Cloud: Are Asymptotic Giant Branch Stars the Primary Dust Source at Low Metallicity? Astrophys. J. 2012, 748, 40. [Google Scholar] [CrossRef]
- Matsuura, M.; Woods, P.M.; Owen, P.J. The global gas and dust budget of the Small Magellanic Cloud. Mon. Not. R. Astron. Soc. 2013, 429, 2527–2536. [Google Scholar] [CrossRef]
- Dell’Agli, F.; Ventura, P.; Schneider, R.; Di Criscienzo, M.; García-Hernández, D.A.; Rossi, C.; Brocato, E. Asymptotic giant branch stars in the Large Magellanic Cloud: Evolution of dust in circumstellar envelopes. Mon. Not. R. Astron. Soc. 2015, 447, 2992–3015. [Google Scholar] [CrossRef]
- Srinivasan, S.; Boyer, M.L.; Kemper, F.; Meixner, M.; Sargent, B.A.; Riebel, D. The evolved-star dust budget of the Small Magellanic Cloud: The critical role of a few key players. Mon. Not. R. Astron. Soc. 2016, 457, 2814–2838. [Google Scholar] [CrossRef]
- Javadi, A.; van Loon, J.T.; Khosroshahi, H.; Mirtorabi, M.T. The UK Infrared Telescope M33 monitoring project - III. Feedback from dusty stellar winds in the central square kiloparsec. Mon. Not. R. Astron. Soc. 2013, 432, 2824–2836. [Google Scholar] [CrossRef]
- van Loon, J.T. Mass-loss rates and dust-to-gas ratios for obscured Asymptotic Giant Branch stars of different metallicities. Astron. Astrophys. 2000, 354, 125–134. [Google Scholar]
- Buchanan, C.L.; Kastner, J.H.; Forrest, W.J.; Hrivnak, B.J.; Sahai, R.; Egan, M.; Frank, A.; Barnbaum, C. A Spitzer Space Telescope Infrared Spectrograph Spectral Atlas of Luminous 8 μm Sources in the Large Magellanic Cloud. Astron. J. 2006, 132, 1890–1909. [Google Scholar] [CrossRef][Green Version]
- Sloan, G.C.; Kraemer, K.E.; Matsuura, M.; Wood, P.R.; Price, S.D.; Egan, M.P. Mid-Infrared Spectroscopy of Carbon Stars in the Small Magellanic Cloud. Astrophys. J. 2006, 645, 1118–1130. [Google Scholar] [CrossRef]
- Zijlstra, A.A.; Matsuura, M.; Wood, P.R.; Sloan, G.C.; Lagadec, E.; van Loon, J.T.; Groenewegen, M.A.T.; Feast, M.W.; Menzies, J.W.; Whitelock, P.A.; et al. A Spitzer midinfrared spectral survey of mass-losing carbon stars in the Large Magellanic Cloud. Mon. Not. R. Astron. Soc. 2006, 370, 1961–1978. [Google Scholar] [CrossRef]
- Lagadec, E.; Zijlstra, A.A.; Sloan, G.C.; Matsuura, M.; Wood, P.R.; van Loon, J.T.; Harris, G.J.; Blommaert, J.A.D.L.; Hony, S.; Groenewegen, M.A.T.; et al. Spitzer spectroscopy of carbon stars in the Small Magellanic Cloud. Mon. Not. R. Astron. Soc. 2007, 376, 1270–1284. [Google Scholar] [CrossRef]
- Leisenring, J.M.; Kemper, F.; Sloan, G.C. Effects of Metallicity on the Chemical Composition of Carbon Stars. Astrophys. J. 2008, 681, 1557–1573. [Google Scholar] [CrossRef]
- Kemper, F.; Woods, P.M.; Antoniou, V.; Bernard, J.P.; Blum, R.D.; Boyer, M.L.; Chan, J.; Chen, C.H.R.; Cohen, M.; Dijkstra, C.; et al. The SAGE-Spec Spitzer Legacy Program: The Life Cycle of Dust and Gas in the Large Magellanic Cloud. Publ. Astron. Soc. Pac. 2010, 122, 683. [Google Scholar] [CrossRef]
- Gobrecht, D.; Cristallo, S.; Piersanti, L.; Bromley, S.T. Nucleation of Small Silicon Carbide Dust Clusters in AGB Stars. Astrophys. J. 2017, 840, 117. [Google Scholar] [CrossRef]
- Cristallo, S.; Straniero, O.; Gallino, R.; Piersanti, L.; Domínguez, I.; Lederer, M.T. Evolution, Nucleosynthesis, and Yields of Low-Mass Asymptotic Giant Branch Stars at Different Metallicities. Astrophys. J. 2009, 696, 797–820. [Google Scholar] [CrossRef]
- Piersanti, L.; Cristallo, S.; Straniero, O. The Effects of Rotation on s-process Nucleosynthesis in Asymptotic Giant Branch Stars. Astrophys. J. 2013, 774, 98. [Google Scholar] [CrossRef]
- Cristallo, S.; Straniero, O.; Piersanti, L.; Gobrecht, D. Evolution, Nucleosynthesis, and Yields of AGB Stars at Different Metallicities. III. Intermediate-mass Models, Revised Low-mass Models, and the ph-FRUITY Interface. Astrophys. J. Suppl. Ser. 2015, 219, 40. [Google Scholar] [CrossRef]
- Ferrarotti, A.S.; Gail, H.P. Composition and quantities of dust produced by AGB-stars and returned to the interstellar medium. Astron. Astrophys. 2006, 447, 553–576. [Google Scholar] [CrossRef]
- Ventura, P.; Criscienzo, M.D.; Schneider, R.; Carini, R.; Valiante, R.; D’Antona, F.; Gallerani, S.; Maiolino, R.; Tornambé, A. Dust formation around AGB and SAGB stars: A trend with metallicity? Mon. Not. R. Astron. Soc. 2012, 424, 2345–2357. [Google Scholar] [CrossRef]
- Dell’Agli, F.; García-Hernández, D.A.; Ventura, P.; Schneider, R.; Di Criscienzo, M.; Rossi, C. AGB stars in the SMC: Evolution and dust properties based on Spitzer observations. Mon. Not. R. Astron. Soc. 2015, 454, 4235–4249. [Google Scholar] [CrossRef][Green Version]
- Pastorelli, G.; Marigo, P.; Girardi, L.; Chen, Y.; Rubele, S.; Trabucchi, M.; Aringer, B.; Bladh, S.; Bressan, A.; Montalbán, J.; et al. Constraining the thermally pulsing asymptotic giant branch phase with resolved stellar populations in the Small Magellanic Cloud. Mon. Not. R. Astron. Soc. 2019, 485, 5666–5692. [Google Scholar] [CrossRef]
- Pastorelli, G.; Marigo, P.; Girardi, L.; Aringer, B.; Chen, Y.; Rubele, S.; Trabucchi, M.; Bladh, S.; Boyer, M.L.; Bressan, A.; et al. Constraining the thermally pulsing asymptotic giant branch phase with resolved stellar populations in the Large Magellanic Cloud. Mon. Not. R. Astron. Soc. 2020, 498, 3283–3301. [Google Scholar] [CrossRef]
- Bisterzo, S.; Gallino, R.; Straniero, O.; Cristallo, S.; Käppeler, F. s-Process in low-metallicity stars—I. Theoretical predictions. Mon. Not. R. Astron. Soc. 2010, 404, 1529–1544. [Google Scholar] [CrossRef]
- Whitelock, P.A.; Feast, M.W.; van Loon, J.T.; Zijlstra, A.A. Obscured asymptotic giant branch variables in the Large Magellanic Cloud and the period-luminosity relation. Mon. Not. R. Astron. Soc. 2003, 342, 86–104. [Google Scholar] [CrossRef]
- Cristallo, S.; Straniero, O.; Lederer, M.T.; Aringer, B. Molecular Opacities for Low-Mass Metal-poor AGB Stars Undergoing the Third Dredge-up. Astrophys. J. 2007, 667, 489–496. [Google Scholar] [CrossRef][Green Version]
- Nanni, A.; Marigo, P.; Groenewegen, M.A.T.; Aringer, B.; Girardi, L.; Pastorelli, G.; Bressan, A.; Bladh, S. Constraining dust properties in circumstellar envelopes of C-stars in the Small Magellanic Cloud: Optical constants and grain size of carbon dust. Mon. Not. R. Astron. Soc. 2016, 462, 1215–1237. [Google Scholar] [CrossRef]
- Nanni, A. Optical properties of amorphous carbon dust around C-stars: New constraints from 2MASS and Gaia observations. Mon. Not. R. Astron. Soc. 2019, 482, 4726–4732. [Google Scholar] [CrossRef]
- Pitman, K.M.; Hofmeister, A.M.; Corman, A.B.; Speck, A.K. Optical properties of silicon carbide for astrophysical applications. I. New laboratory infrared reflectance spectra and optical constants. Astron. Astrophys. 2008, 483, 661–672. [Google Scholar] [CrossRef]
- Hanner, M. Grain Optical Properties; Technical Report; 1988. Available online: https://ui.adsabs.harvard.edu/abs/1988ioch.rept...22H/abstract (accessed on 7 July 2021).
- Zhukovska, S.; Gail, H.P.; Trieloff, M. Evolution of interstellar dust and stardust in the solar neighbourhood. Astron. Astrophys. 2008, 479, 453–480. [Google Scholar] [CrossRef]
- Lucy, L.B. Mass Loss by Cool Carbon Stars. Astrophys. J. 1976, 205, 482–491. [Google Scholar] [CrossRef]
- Bressan, A.; Granato, G.L.; Silva, L. Modelling intermediate age and old stellar populations in the Infrared. Astron. Astrophys. 1998, 332, 135–148. [Google Scholar]
- Ventura, P.; Karakas, A.I.; Dell’Agli, F.; García-Hernández, D.A.; Boyer, M.L.; Di Criscienzo, M. On the nature of the most obscured C-rich AGB stars in the Magellanic Clouds. Mon. Not. R. Astron. Soc. 2016, 457, 1456–1467. [Google Scholar] [CrossRef][Green Version]
- Lagadec, E.; Sloan, G.C.; Zijlstra, A.A.; Mauron, N.; Houck, J.R. Dust and gas in carbon stars towards the Galactic halo. Mon. Not. R. Astron. Soc. 2012, 427, 2588–2596. [Google Scholar] [CrossRef]
- Råback, P.; Yakimova, R.; Syväjärvi, M.; Nieminen, R.; Janzén, E. A practical model for estimating the growth rate in sublimation growth of SiC. Mater. Sci. Eng. B 1999, 61–62, 89–92. [Google Scholar] [CrossRef]
- Ferrarotti, A.S.; Gail, H.P. Mineral formation in stellar winds. III. Dust formation in S stars. Astron. Astrophys. 2002, 382, 256–281. [Google Scholar] [CrossRef]



| Publisher’s Note: MDPI stays neutral with regard to jurisdictional claims in published maps and institutional affiliations. | 
© 2021 by the authors. Licensee MDPI, Basel, Switzerland. This article is an open access article distributed under the terms and conditions of the Creative Commons Attribution (CC BY) license (https://creativecommons.org/licenses/by/4.0/).
Share and Cite
Nanni, A.; Cristallo, S.; van Loon, J.T.; Groenewegen, M.A.T. Dust Production around Carbon-Rich Stars: The Role of Metallicity. Universe 2021, 7, 233. https://doi.org/10.3390/universe7070233
Nanni A, Cristallo S, van Loon JT, Groenewegen MAT. Dust Production around Carbon-Rich Stars: The Role of Metallicity. Universe. 2021; 7(7):233. https://doi.org/10.3390/universe7070233
Chicago/Turabian StyleNanni, Ambra, Sergio Cristallo, Jacco Th. van Loon, and Martin A. T. Groenewegen. 2021. "Dust Production around Carbon-Rich Stars: The Role of Metallicity" Universe 7, no. 7: 233. https://doi.org/10.3390/universe7070233
APA StyleNanni, A., Cristallo, S., van Loon, J. T., & Groenewegen, M. A. T. (2021). Dust Production around Carbon-Rich Stars: The Role of Metallicity. Universe, 7(7), 233. https://doi.org/10.3390/universe7070233
 
         
                                                



 
       