Superfluid Phonons in Neutron Star Core
Abstract
1. Introduction
2. Theory of the Superfluid Phonons
2.1. Hydrodynamic Approach
2.2. Microscopic Theory
3. Neutron Pairing
4. Proton Pairing
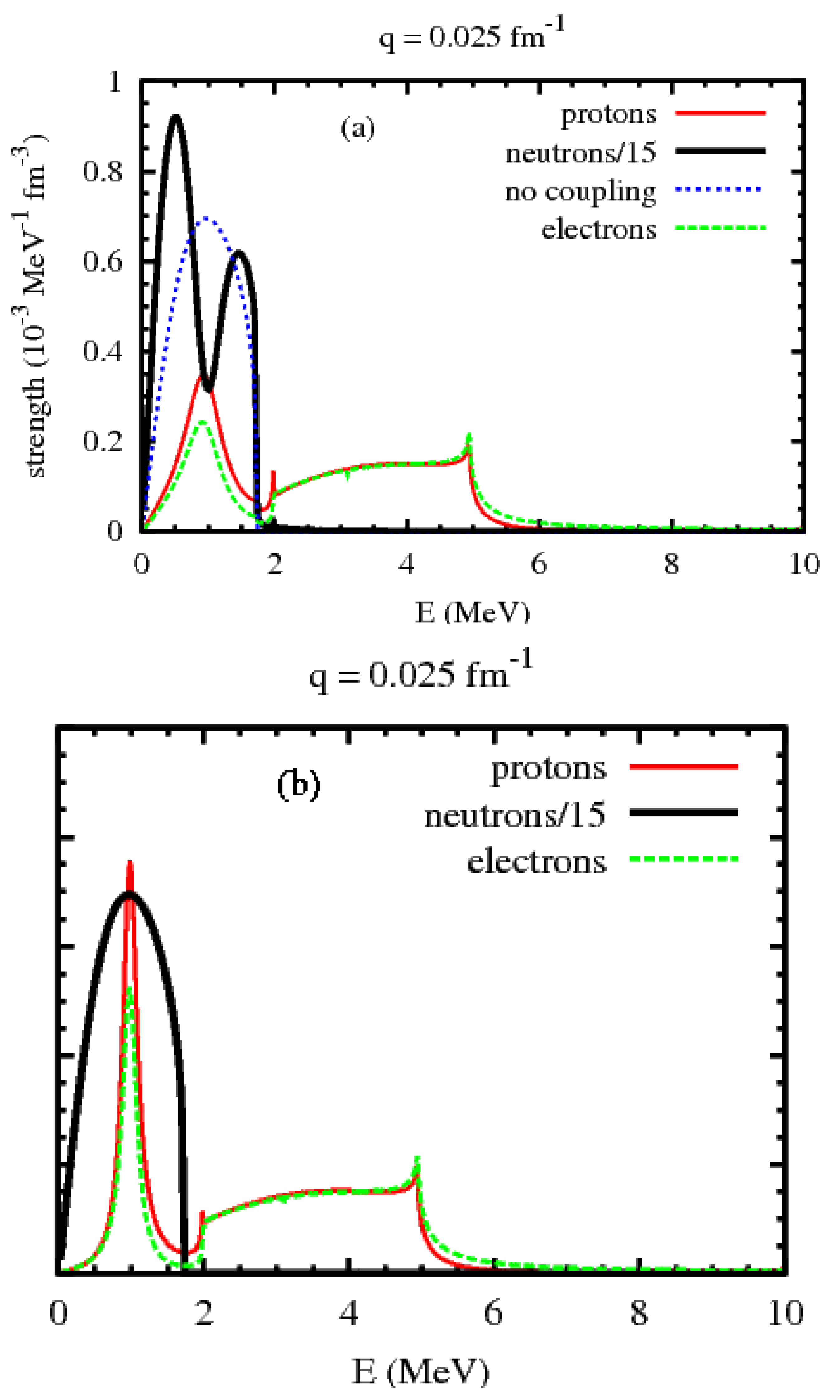
5. Neutron-Proton Coupling
6. The Tale of Two Superfluids
7. Superfluid Phonons in Dynamical Processes
8. Phonons in the Neutron Superfluid
9. Concluding Remarks
Funding
Conflicts of Interest
References
- Sedrakian, A.; Clark, J.W. Superfluidity in nuclear systems and neutron stars. Eur. Phys. J. A 2019, 55, 167. [Google Scholar] [CrossRef]
- Shapiro, S.L.; Teukolsky, S.A. Black Holes, White Dwarfs and Neutron Stars; Jhon Wiley and Sons: New York, NY, USA, 1983. [Google Scholar]
- Providência, C.; Brito, L.; Santos, A.M.S.; Menezes, D.P.; Avancini, S.S. Coupling of nuclear and electron modes in relativistic stellar matter. Phys. Rev. C 2006, 74, 045802. [Google Scholar] [CrossRef]
- Baldo, M.; Ducoin, C. Elementary excitations in homogeneous neutron star matter. Phys. Rev. C 2009, 79, 035801. [Google Scholar] [CrossRef]
- Baldo, M.; Ducoin, C. Plasmon excitations in homogeneous neutron-star matter. Phys. At. Nucl. 2009, 72, 1188. [Google Scholar] [CrossRef][Green Version]
- Stetina, S.; Rrapaj, E.; Reddy, S. Photons in dense nuclear matter: Random-phase approximation. Phys. Rev. C 2018, 97, 045801. [Google Scholar] [CrossRef]
- Baldo, M.; Ducoin, C. Elementary excitations in homogeneous superfluid neutron star matter: Role of the proton component. Phys. Rev. C 2011, 84, 035806. [Google Scholar] [CrossRef]
- Bedaque, P.F.; Reddy, S. Goldstone modes in the neutron star core. Phys. Lett. B 2014, 735, 340. [Google Scholar] [CrossRef]
- Kundu, J.; Reddy, S. Neutrino scattering off pair-breaking and collective excitations in superfluid neutron matter and in color-flavor-locked quark matter. Phys. Rev. C 2004, 70, 055803. [Google Scholar] [CrossRef]
- Leinson, L.B.; Perez, A. Vector current conservation and neutrino emission from singlet-paired baryons in neutron stars. Phys. Lett. B 2006, 638, 114. [Google Scholar] [CrossRef]
- Sedrakian, A.; Müther, H.; Schuck, P. Vertex renormalization of weak interactions and Cooper-pair breaking in cooling compact stars. Phys. Rev. C 2007, 76, 055805. [Google Scholar] [CrossRef]
- Leinson, L.B. BCS approximation to the effective vector vertex of superfluid fermions. Phys. Rev. C 2008, 78, 015502. [Google Scholar] [CrossRef]
- Kolomeitsev, E.E.; Voskresensky, D.N. Neutrino emission due to Cooper-pair recombination in neutron stars reexamined. Phys. Rev. C 2008, 77, 065808. [Google Scholar] [CrossRef]
- Yakovlev, D.G.; Kaminker, A.D.; Levenfish, K.P. Neutrino emission due to Cooper pairing of nucleons in cooling neutron stars. Astron. Astrophys. 1999, 343, 650. [Google Scholar]
- Warszawski, A.; Melatos, A.; Berloff, N.G. Unpinning triggers for superfluid vortex avalanches. Phys. Rev. B 2012, 85, 104503. [Google Scholar] [CrossRef]
- Kobyakov, D.; Pethick, C.J.; Reddy, S.; Schwenk, A. Dispersion and decay of collective modes in neutron star cores. Phys. Rev. C 2017, 96, 025805. [Google Scholar] [CrossRef]
- Martin, N.; Urban, M. Collective modes in a superfluid neutron gas within the quasiparticle random-phase approximation. Phys. Rev. C 2014, 90, 065805. [Google Scholar] [CrossRef]
- Martin, N. Modes Collectifs et Hydrodynamiques dans la Croute Interne des Etoiles a Neutrons. Ph.D. Thesis, Université Paris-Saclay, Gif-sur-Yvette, France, 2016. [Google Scholar]
- Chamel, N.; Page, D.; Reddy, S. Low-energy collective excitations in the neutron star inner crust. Phys. Rev. C 2013, 87, 035803. [Google Scholar] [CrossRef]
- Martin, N.; Urban, M. Superfluid hydrodynamics in the inner crust of neutron stars. Phys. Rev. C 2016, 94, 065801. [Google Scholar] [CrossRef]
- Kobyakov, D.; Pethick, C.J. Nucleus-nucleus interactions in the inner crust of neutron stars. Phys. Rev. C 2016, 94, 055806. [Google Scholar] [CrossRef]
- Nambu, Y. Quasi-Particles and Gauge Invariance in the Theory of Superconductivity. Phys. Rev. 1960, 117, 648. [Google Scholar] [CrossRef]
- Goldstone, J. Field theories with « Superconductor » solutions. Nuovo Cimento 1961, 19, 154. [Google Scholar] [CrossRef]
- Andersson, N.; Comer, G.L. Relativistic Fluid Dynamics: Physics for Many Different Scales. Living Rev. Relativ. 2007, 10, 1. [Google Scholar] [CrossRef] [PubMed]
- Josephson, B.D. Supercurrents through barriers. Adv. Phys. 1965, 14, 419. [Google Scholar] [CrossRef]
- Fetter, A.L.; Walecka, J.D. Quantum Theory of Many-Particle Systems; McGraw-Hill: New York, NY, USA, 1971. [Google Scholar]
- Schrieffer, J.R. Theory of Superconductivity; W.A. Benjamin, Inc.: New York, NY, USA, 1964. [Google Scholar]
- Bardasis, A.; Schrieffer, J.R. Excitons and Plasmons in Superconductors. Phys. Rev. 1960, 121, 1050. [Google Scholar] [CrossRef]
- Baldo, M.; Ducoin, C. Coupling between superfluid neutrons and superfluid protons in the elementary excitations of neutron star matter. Phys. Rev. C 2019, 99, 025801. [Google Scholar] [CrossRef]
- Baym, G.; Pethick, C. Landau Fermi Liquid Theory; John Wiley Inc.: New York, NY, USA, 1991. [Google Scholar]
- Kobyakov, D.; Pethick, C. Dynamics of the inner crust of neutron stars: Hydrodynamics, elasticity, and collective modes. Phys. Rev. C 2013, 87, 055803. [Google Scholar] [CrossRef]
- Baldo, M.; Ducoin, C. Elementary excitations in homogeneous superfluid neutron star matter: Role of the neutron-proton coupling. Phys. Rev. C 2017, 96, 025811. [Google Scholar] [CrossRef]
- Leinson, L.B. For a recent review. Adv. High Energy Phys. 2018, 2018, 8963453. [Google Scholar]
- Sedrakian, A. Axion cooling of neutron stars. II. Beyond hadronic axions. Phys. Rev. D 2019, 99, 043011. [Google Scholar] [CrossRef]
- Manuel, C.; Tolos, L. Shear viscosity due to phonons in superfluid neutron stars. Phys. Rev. D 2011, 84, 123007. [Google Scholar] [CrossRef]
- Manuel, C.; Tolos, L. Shear viscosity and the r-mode instability window in superfluid neutron stars. Phys. Rev. D 2013, 88, 043001. [Google Scholar] [CrossRef]
- Manuel, C.; Sarkar, S.; Tolos, L. Thermal conductivity due to phonons in the core of superfluid neutron stars. Phys. Rev. C 2014, 90, 055803. [Google Scholar] [CrossRef]
- Mizushima, T.; Masuda, K.; Nitta, M. 3P2 superfluids are topological. Phys. Rev. B 2017, 95, 140503. [Google Scholar] [CrossRef]
- Yasui, S.; Chatterjee, C.; Kobayashi, M.; Nitta, M. Reexamining Ginzburg-Landau theory for neutron 3P2 superfluidity in neutron stars. Phys. Rev. C 2019, 100, 025204. [Google Scholar] [CrossRef]
- Zverev, M.V.; Clark, J.W.; Khodel, V.A. 3P2–3F2 pairing in dense neutron matter: The spectrum of solutions. Nucl. Phys. A 2003, 720, 20. [Google Scholar] [CrossRef][Green Version]
- Khodel, V.A.; Clark, J.W.; Zverev, M.V. Superfluid Phase Transitions in Dense Neutron Matter. Phys. Rev. Lett. 2001, 87, 031103. [Google Scholar] [CrossRef]
- Bedaque, P.F.; Nicholson, A.N. Low lying modes of triplet-condensed neutron matter and their effective theory. Phys. Rev. C 2013, 87, 055807. [Google Scholar] [CrossRef]
- Leinson, L.B. Collective modes of the order parameter in a triplet superfluid neutron liquid. Phys. Rev. C 2012, 85, 065502. [Google Scholar] [CrossRef]
- Bedaque, P.; Sen, S. Neutrino emissivity from Goldstone boson decay in magnetized neutron matter. Phys. Rev. C 2014, 89, 035808. [Google Scholar] [CrossRef]
| 1. |





Publisher’s Note: MDPI stays neutral with regard to jurisdictional claims in published maps and institutional affiliations. |
© 2021 by the author. Licensee MDPI, Basel, Switzerland. This article is an open access article distributed under the terms and conditions of the Creative Commons Attribution (CC BY) license (http://creativecommons.org/licenses/by/4.0/).
Share and Cite
Baldo, M. Superfluid Phonons in Neutron Star Core. Universe 2021, 7, 16. https://doi.org/10.3390/universe7010016
Baldo M. Superfluid Phonons in Neutron Star Core. Universe. 2021; 7(1):16. https://doi.org/10.3390/universe7010016
Chicago/Turabian StyleBaldo, Marcello. 2021. "Superfluid Phonons in Neutron Star Core" Universe 7, no. 1: 16. https://doi.org/10.3390/universe7010016
APA StyleBaldo, M. (2021). Superfluid Phonons in Neutron Star Core. Universe, 7(1), 16. https://doi.org/10.3390/universe7010016
