Group Field Theory Condensate Cosmology: An Appetizer
Abstract
Most important part of doing physics is theknowledge of approximation.Lev Davidovich Landau
1. Introduction
2. Group Field Theory
3. Group Field Theory Condensate Cosmology
3.1. Motivation for Condensate States
3.2. Effective Condensate Dynamics
4. Overview of Important Results
4.1. Recovery of Friedmann-Like Dynamics and Bouncing Solutions
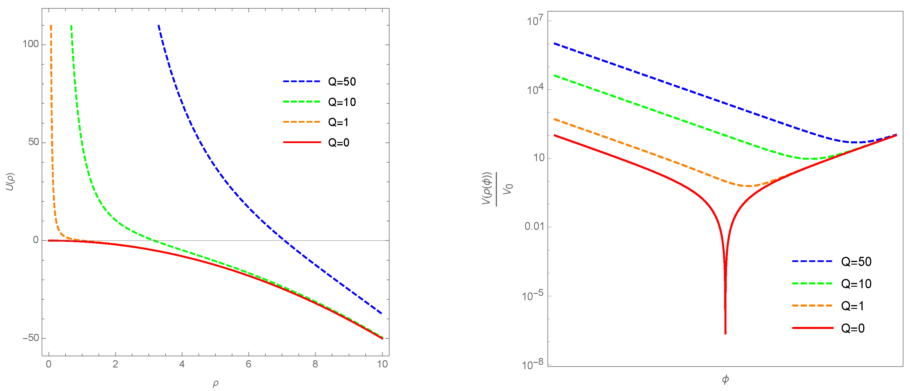
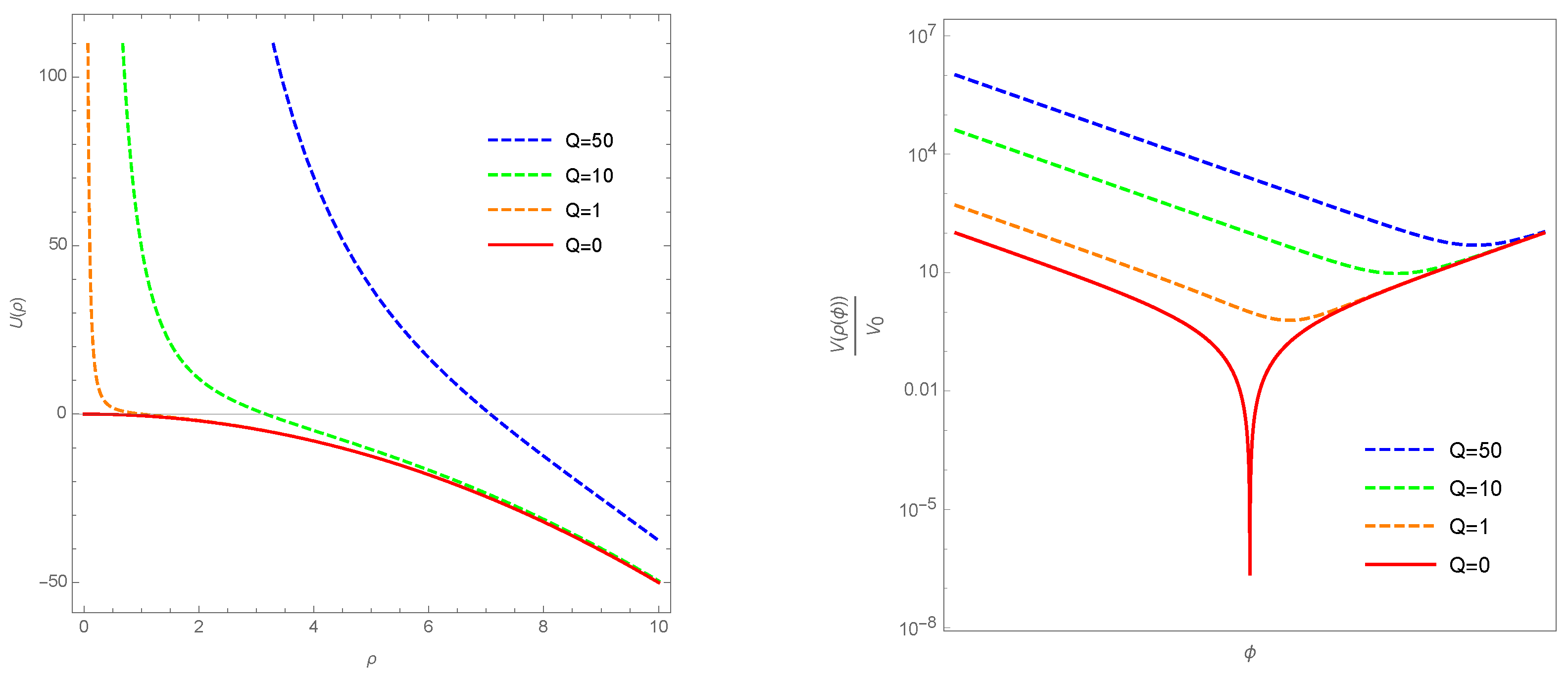
- In Ref. [121], it is shown that for growing relational time, the condensate dynamically settles into a low-spin configuration, i.e., it will be dominated by the lowest non-trivial representations labeled by j. This goes in hand with a classicalization of the emergent geometry [57]. Following Ref. [121], this can be seen from the general solutions to Equation (24), i.e.,which either lead to exponentially expanding and contracting or oscillating solutions depending on the sign of the argument of the root function. All models for which has a positive maximum for some (as long as is excluded18) lead toA low-spin configuration is dynamically reached if the maximum of occurs at a low . This was demonstrated for reasonable choices of and in Refs. [121] and [57] to lead to . One may then argue that the type of configuration which is usually assumed in the LQC literature can be derived from the quantum dynamics of GFT.
- Another related notion of isotropic restriction has been studied in the literature so far where the condensate is built from tri-rectangular tetrahedra [57]. This produces physically equivalent results in terms of the dynamics of the volume, as one would expect when invoking naive universality arguments. Notice that both isotropic restrictions correspond to symmetry reductions applied to the quantum state and thus should by no means be equated with those performed in WdW quantum cosmology or LQC. In the latter cases, symmetry reductions are imposed before quantization and this procedure is expected to violate the uncertainty principle [103].19 In light of the above, it would be important to give a precise notion of isotropy in terms of a properly defined GFT curvature operator.
- In a related model which does not make use of the relational clock, the field content has been explicitly studied for free and effectively interacting scenarios [92]. For such static configurations one finds that the condensate consists of many GFT quanta residing in the lowest spin configurations. This is indicated by the analysis of the discrete spectra of the geometric operators, as illustrated by Figure 4. This also supports the idea that under the given isotropic restrictions, such GFT condensate states are suitable candidates to describe effectively continuous homogeneous and isotropic 3-spaces built from many smallest building blocks of the quantum geometry.
4.2. Cyclic Cosmologies and Accelerated Expansion
4.3. Anisotropies and Inhomogeneities
5. Discussion and Outlook
Author Contributions
Funding
Acknowledgments
Conflicts of Interest
References
- Akrami, Y.; Arroja, F.; Ashdown, M.; Aumont, J.; Baccigalupi, C.; Ballardini, M.; Banday, A.J.; Barreiro, R.B.; Bartolo, N.; Basak, S.; et al. Planck 2018 results. I. Overview and the cosmological legacy of Planck. arXiv 2018, arXiv:1807.06205. [Google Scholar]
- Hawking, S.W.; Ellis, G.F.R. The Large Scale Structure of Space-Time; Cambridge Monographs on Mathematical Physics; CUP: Cambridge, UK, 2011. [Google Scholar]
- De Witt, B.S. Quantum theory of gravity. i. the canonical theory. Phys. Rev. 1967, 160, 1113–1148. [Google Scholar] [CrossRef]
- Oriti, D. (Ed.) Approaches to Quantum Gravity; Cambridge University Press: Cambridge, UK, 2009. [Google Scholar]
- Sakellariadou, M. Quantum Gravity and Cosmology: An intimate interplay. IOP Conf. Ser. J. Phys. Conf. Ser. 2017, 880, 012003. [Google Scholar] [CrossRef]
- Kiefer, C.; Krämer, M. Quantum Gravitational Contributions to the CMB Anisotropy Spectrum. Phys. Rev. Lett. 2012, 108, 021301. [Google Scholar] [CrossRef] [PubMed]
- Kiefer, C.; Krämer, M. Can effects of quantum gravity be observed inthe cosmic microwave background? Int. J. Mod. Phys. 2012, D21, 1241001. [Google Scholar] [CrossRef]
- Kiefer, C.; Krämer, M. On the Observability of Quantum-Gravitational effects in the Cosmic Microwave Background. Springer Proc. Phys. 2014, 157, 531–538. [Google Scholar]
- Agullo, I.; Ashtekar, A.; Nelson, W. A Quantum Gravity Extension of the Inflationary Scenario. Phys. Rev. Lett. 2012, 109, 251301. [Google Scholar] [CrossRef]
- Agullo, I.; Ashtekar, A.; Nelson, W. Extension of the quantum theory of cosmological perturbations to the Planck era. Phys. Rev. D 2013, 87, 043507. [Google Scholar] [CrossRef]
- Agullo, I.; Ashtekar, A.; Nelson, W. The pre-inflationary dynamics of loop quantum cosmology: Confronting quantum gravity with observations. Class. Quantum Gravity 2013, 30, 085014. [Google Scholar] [CrossRef]
- Weinberg, S. Effective Field Theory, Past and Future. arXiv 2009, arXiv:0908.1964. [Google Scholar]
- Eichhorn, A. Status of the asymptotic safety paradigm for quantum gravity and matter. Found. Phys. 2018, 48, 1407–1429. [Google Scholar] [CrossRef]
- Percacci, R. Introduction to Covariant Quantum Gravity And Asymptotic Safety; World Scientific: Singapore, 2017. [Google Scholar]
- Reuter, M.; Saueressig, F. Quantum Gravity and the Functional Renormalization Group; Cambridge University Press: Cambridge, UK, 2019. [Google Scholar]
- Blumenhagen, R.; Lüst, D.; Theisen, S. Basic Concepts of String Theory; Springer: Berlin/Heidelberg, Germany, 2012. [Google Scholar]
- Connes, A. Noncommutative Geometry; Academic Press: Amsterdam, The Netherlands, 1994. [Google Scholar]
- Chamseddine, A.H.; Fröhlich, J.; Grandjean, O. The Gravitational Sector in the Connes-Lott Formulation of the Standard Model. J. Math. Phys. 1995, 36, 6255–6275. [Google Scholar] [CrossRef][Green Version]
- Chamseddine, A.H.; Connes, A. The Spectral Action Principle. Commun. Math. Phys. 1997, 186, 731. [Google Scholar] [CrossRef]
- Ashtekar, A.; Lewandowski, J. Background Independent Quantum Gravity: A Status Report. Class. Quantum Gravity 2004, 21, R53. [Google Scholar] [CrossRef]
- Thiemann, T. Modern Canonical Quantum General Relativity; Cambridge University Press: Cambridge, UK, 2007. [Google Scholar]
- Rovelli, C. Zakopane lectures on loop gravity. arXiv 2011, arXiv:1102.3660. [Google Scholar]
- Perez, A. The Spin Foam Approach to Quantum Gravity. Living Rev. Relativ. 2013, 16, 3. [Google Scholar] [CrossRef]
- Freidel, L. Group field theory: An Overview. Int. J. Theor. Phys. 2005, 44, 1769–1783. [Google Scholar] [CrossRef]
- Oriti, D. (Ed.) The Group field theory approach to quantum gravity. In Approaches to Quantum Gravity; Cambridge University Press: Cambridge, UK, 2009; pp. 310–331. [Google Scholar]
- Ambjørn, J.; Durhuus, B.; Jonsson, T. Three-dimensional simplicial quantum gravity and generalized matrix models. Mod. Phys. Lett. 1991, A6, 1133–1146. [Google Scholar] [CrossRef]
- Gross, M. Tensor models and simplicial quantum gravity in > 2-D. Nucl. Phys. Proc. Suppl. 1992, 25A, 144–149. [Google Scholar] [CrossRef]
- Gurau, R. Invitation to Random Tensors. SIGMA 2016, 12, 094. [Google Scholar] [CrossRef]
- Gurau, R. Random Tensors; Oxford University Press: Oxford, UK, 2016. [Google Scholar]
- Rivasseau, V. The Tensor Track, IV. arXiv 2016, arXiv:1604.07860. [Google Scholar]
- Rivasseau, V. Random Tensors and Quantum Gravity. SIGMA 2016, 12, 069. [Google Scholar] [CrossRef]
- Delporte, N.; Rivasseau, V. The Tensor Track V: Holographic Tensors. arXiv 2018, arXiv:1804.11101. [Google Scholar]
- Williams, R.M. Quantum Regge Calculus. In Approaches to Quantum Gravity; Oriti, D., Ed.; Cambridge University Press: Cambridge, UK, 2009; pp. 360–377. [Google Scholar]
- Loll, R. Discrete approaches to quantum gravity in four dimensions. Living Rev. Relativ. 1998, 1, 13. [Google Scholar] [CrossRef] [PubMed]
- Ambjørn, J.; Görlich, A.; Jurkiewicz, J.; Loll, R. Nonperturbative quantum gravity. Phys. Rep. 2012, 519, 127–210. [Google Scholar] [CrossRef]
- Ambjørn, J.; Görlich, A.; Jurkiewicz, J.; Loll, R. Quantum gravity via causal dynamical triangulations. In Springer Handbook of Spacetime; Springer: Berlin, Germany, 2014; pp. 723–741. [Google Scholar]
- Pithis, A.G.A. Aspects of Quantum Gravity. Ph.D. Thesis, University of London, King’s College. Available online: https://kclpure.kcl.ac.uk/portal/en/theses/aspects-of-quantum-gravity(904af0f7-5dcc-4387-b905-32b5869db8c9).html (accessed on 31 March 2019).
- Gielen, S.; Oriti, D.; Sindoni, L. Cosmology from Group Field Theory Formalism for Quantum Gravity. Phys. Rev. Lett. 2013, 111, 031301. [Google Scholar] [CrossRef] [PubMed]
- Gielen, S.; Oriti, D.; Sindoni, L. Homogeneous cosmologies as group field theory condensates. J. High Energy Phys. 2014, 1406, 013. [Google Scholar] [CrossRef]
- Oriti, D. The Universe as a Quantum Gravity Condensate. In “Testing Quantum Gravity with Cosmology” of Comptes Rendus Physique; Barrau, A., Ed.; Académie des Sciences: Paris, France, 2017. [Google Scholar]
- Gielen, S.; Sindoni, L. Quantum Cosmology from Group Field Theory Condensates: A Review. SIGMA 2016, 12, 082. [Google Scholar] [CrossRef]
- Oriti, D. Disappearance and emergence of space and time in quantum gravity. Stud. Hist. Philos. Sci. Part B Stud. Hist. Philos. Mod. Phys. 2014, 46, 186–199. [Google Scholar] [CrossRef]
- Benedetti, D.; Geloun, J.B.; Oriti, D. Functional Renormalisation Group Approach for Tensorial Group Field Theory: A Rank-3 Model. J. High Energy Phys. 2015, 3, 084. [Google Scholar] [CrossRef]
- Benedetti, D.; Lahoche, V. Functional Renormalization Group Approach for Tensorial Group Field Theory: A Rank-6 Model with Closure Constraint. Class. Quantum Gravity 2016, 33, 095003. [Google Scholar] [CrossRef]
- Geloun, J.B.; Koslowski, T.A. Nontrivial UV behavior of rank-4 tensor field models for quantum gravity. arXiv 2016, arXiv:1606.04044. [Google Scholar]
- Carrozza, S.; Lahoche, V. Asymptotic safety in three-dimensional SU(2)-Group Field Theory: Evidence in the local potential approximation. Class. Quantum Gravity 2017, 34, 115004. [Google Scholar] [CrossRef]
- Geloun, J.B.; Koslowski, T.A.; Oriti, D.; Pereira, A.D. Functional Renormalization Group analysis of rank 3 tensorial group field theory: The full quartic invariant truncation. Phys. Rev. D 2018, 97, 126018. [Google Scholar] [CrossRef]
- Geloun, J.B.; Martini, R.; Oriti, D. Functional Renormalisation Group analysis of a Tensorial Group Field Theory on R3. EPL (Europhys. Lett.) 2015, 112, 31001. [Google Scholar] [CrossRef]
- Geloun, J.B.; Martini, R.; Oriti, D. Functional Renormalisation Group analysis of Tensorial Group Field Theories on Rd. Phys. Rev. D 2016, 94, 024017. [Google Scholar] [CrossRef]
- Carrozza, S. Flowing in Group Field Theory Space: A Review. SIGMA 2016, 12, 070. [Google Scholar] [CrossRef]
- Geloun, J.B.; Kegeles, A.; Pithis, A.G.A. Minimizers of the equilateral dynamical Boulatov model. Eur. Phys. J. C 2018, 78, 996. [Google Scholar] [CrossRef]
- Pithis, A.G.A.; Thürigen, J. Phase transitions in group field theory: The Landau perspective. Phys. Rev. D 2018, 98, 126006. [Google Scholar] [CrossRef]
- Oriti, D.; Sindoni, L.; Wilson-Ewing, E. Emergent Friedmann dynamics with a quantum bounce from quantum gravity condensates. Class. Quantum Gravity 2016, 33, 224001. [Google Scholar] [CrossRef]
- de Cesare, M.; Sakellariadou, M. Accelerated expansion of the Universe without an inflaton and resolution of the initial singularity from Group Field Theory condensates. Phys. Lett. B 2017, 764, 49–53. [Google Scholar] [CrossRef]
- de Cesare, M.; Pithis, A.G.A.; Sakellariadou, M. Cosmological implications of interacting Group Field Theory models: Cyclic Universe and accelerated expansion. Phys. Rev. D 2016, 94, 064051. [Google Scholar] [CrossRef]
- Oriti, D.; Sindoni, L.; Wilson-Ewing, E. Bouncing cosmologies from quantum gravity condensates. Class. Quantum Gravity 2017, 34, 04LT01. [Google Scholar] [CrossRef]
- Pithis, A.G.A.; Sakellariadou, M. Relational evolution of effectively interacting GFT quantum gravity condensates. Phys. Rev. D 2017, 95, 064004. [Google Scholar] [CrossRef]
- de Cesare, M.; Sakellariadou, M.; Pithis, A.G.A.; Oriti, D. Dynamics of anisotropies close to a cosmological bounce in quantum gravity. Class. Quantum Gravity 2018, 35, 015014. [Google Scholar] [CrossRef]
- Gielen, S.; Oriti, D. Cosmological perturbations from full quantum gravity. Phys. Rev. D 2018, 98, 106019. [Google Scholar] [CrossRef]
- Calcagni, G.; Gielen, S.; Oriti, D. Group field cosmology: A cosmological field theory of quantum geometry. Class. Quantum Gravity 2012, 29, 105005. [Google Scholar] [CrossRef]
- Freidel, L.; Livine, E.R. 3d Quantum Gravity and Effective Non-Commutative Quantum Field Theory. Phys. Rev. Lett. 2006, 96, 221301. [Google Scholar] [CrossRef]
- Baratin, A.; Dittrich, B.; Oriti, D.; Tambornino, J. Non-commutative flux representation for loop quantum gravity. Class. Quantum Gravity 2011, 28, 175011. [Google Scholar] [CrossRef]
- Gielen, S. Quantum cosmology of (loop) quantum gravity condensates: An example. Class. Quantum Gravity 2014, 31, 155009. [Google Scholar] [CrossRef]
- Ben Geloun, J. On the finite amplitudes for open graphs in Abelian dynamical colored Boulatov-Ooguri models. J. Phys. A 2013, 46, 402002. [Google Scholar] [CrossRef][Green Version]
- Reisenberger, M.P.; Rovelli, C. Spacetime as a Feynman diagram: The connection formulation. Class. Quantum Gravity 2001, 18, 121. [Google Scholar] [CrossRef]
- Oriti, D.; Rosati, G. Non-commutative Fourier transform for the Lorentz group via the Duflo map. Phys. Rev. D 2019, 99, 106005. [Google Scholar] [CrossRef]
- Gurau, R. Colored Group Field Theory. Commun. Math. Phys. 2011, 304, 69–93. [Google Scholar] [CrossRef]
- Bonzom, V.; Gurau, R.; Rivasseau, V. Random tensor models in the large N limit: Uncoloring the colored tensor models. Phys. Rev. D 2012, 85, 084037. [Google Scholar] [CrossRef]
- Gurau, R. Lost in translation: Topological singularities in group field theory. Class. Quantum Gravity 2010, 27, 235023. [Google Scholar] [CrossRef]
- De Pietri, R.; Freidel, L. so(4) Plebanski Action and Relativistic Spin Foam Model. Class. Quantum Gravity 1999, 16, 2187–2196. [Google Scholar] [CrossRef]
- Barrett, J.W.; Crane, L. A Lorentzian Signature Model for Quantum General Relativity. Class. Quantum Gravity 2000, 17, 3101–3118. [Google Scholar] [CrossRef]
- Perez, A.; Rovelli, C. Spin foam model for Lorentzian General Relativity. Phys. Rev. D 2001, 63, 041501. [Google Scholar] [CrossRef]
- Freidel, L.; Krasnov, K. A New Spin Foam Model for 4d Gravity. Class. Quantum Gravity 2008, 25, 125018. [Google Scholar] [CrossRef]
- Engle, J.; Livine, E.; Pereira, R.; Rovelli, C. LQG vertex with finite Immirzi parameter. Nucl. Phys. 2008, B799, 136. [Google Scholar] [CrossRef]
- Dupuis, M.; Livine, E.R. Lifting SU(2) Spin Networks to Projected Spin Networks. Phys. Rev. D 2010, 82, 064044. [Google Scholar] [CrossRef]
- Ding, Y.; Rovelli, C. Physical boundary Hilbert space and volume operator in the Lorentzian new spin-foam theory. Class. Quantum Gravity 2010, 27, 205003. [Google Scholar] [CrossRef]
- Freidel, L.; Speziale, S. On the Relations between Gravity and BF Theories. SIGMA 2012, 8, 032. [Google Scholar] [CrossRef]
- Kaminksi, W.; Kisielowski, M.; Lewandowski, J. Spin-Foams for All Loop Quantum Gravity. Class. Quantum Gravity 2010, 27, 095006, Erratum in 2012, 29, 049502. [Google Scholar]
- Speziale, S.; Wieland, W.M. The twistorial structure of loop-gravity transition amplitudes. Phys. Rev. D 2012, 86, 124023. [Google Scholar] [CrossRef]
- Geloun, J.B.; Gurau, R.; Rivasseau, V. EPRL/FK Group Field Theory. Europhys. Lett. 2010, 92, 60008. [Google Scholar] [CrossRef][Green Version]
- Baratin, A.; Oriti, D. Quantum simplicial geometry in the group field theory formalism: Reconsidering the Barrett-Crane model. New J. Phys. 2011, 13, 125011. [Google Scholar] [CrossRef]
- Han, M.; Zhang, M. Asymptotics of Spinfoam Amplitude on Simplicial Manifold: Euclidean Theory. Class. Quantum Gravity 2012, 29, 165004. [Google Scholar] [CrossRef]
- Baratin, A.; Oriti, D. Group field theory with non-commutative metric variables. Phys. Rev. Lett. 2010, 105, 221302. [Google Scholar] [CrossRef]
- Oriti, D. Group field theory as the 2nd quantization of Loop Quantum Gravity. Class. Quantum Gravity 2016, 33, 085005. [Google Scholar] [CrossRef]
- Girelli, F.; Livine, E.R.; Oriti, D. 4d Deformed Special Relativity from Group Field Theories. Phys. Rev. D 2010, 81, 024015. [Google Scholar] [CrossRef]
- Girelli, F.; Livine, E.R. A Deformed Poincare Invariance for Group Field Theories. Class. Quantum Gravity 2010, 27, 245018. [Google Scholar] [CrossRef]
- Oriti, D.; Pranzetti, D.; Ryan, J.P.; Sindoni, L. Generalized quantum gravity condensates for homogeneous geometries and cosmology. Class. Quantum Gravity 2015, 32, 235016. [Google Scholar] [CrossRef]
- Rovelli, C.; Smolin, L. Knot Theory and Quantum Gravity. Phys. Rev. Lett. 1988, 61, 1155. [Google Scholar] [CrossRef] [PubMed]
- Rovelli, C.; Smolin, L. Loop space representation of quantum general relativity. Nucl. Phys. B 1990, 331, 80152. [Google Scholar] [CrossRef]
- Rovelli, C.; Smolin, L. Discreteness of area and volume in quantum gravity. Nucl. Phys. B 1995, 442, 593–622, Erratum in 1995, 456, 753. [Google Scholar] [CrossRef]
- Rovelli, C.; Smolin, L. Spin networks and quantum gravity. Phys. Rev. D 1995, 52, 57435759. [Google Scholar] [CrossRef]
- Pithis, A.G.A.; Sakellariadou, M.; Tomov, P. Impact of nonlinear effective interactions on GFT quantum gravity condensates. Phys. Rev. D 2016, 94, 064056. [Google Scholar] [CrossRef]
- Kegeles, A.; Oriti, D.; Tomlin, C. Inequivalent coherent state representations in group field theory. Class. Quantum Gravity 2018, 35, 125011. [Google Scholar] [CrossRef]
- Kotecha, I.; Oriti, D. Statistical Equilibrium in Quantum Gravity: Gibbs states in Group Field Theory. New J. Phys. 2018, 20, 073009. [Google Scholar] [CrossRef]
- Chirco, G.; Kotecha, I.; Oriti, D. Statistical equilibrium of tetrahedra from maximum entropy principle. Phys. Rev. D 2019, 99, 086011. [Google Scholar] [CrossRef]
- Pitaevskii, L.; Stringari, S. Bose-Einstein Condensation, 1st ed.; Oxford University Press: Oxford, UK, 2003. [Google Scholar]
- Kevrekidis, P.G.; Frantzeskakis, D.J.; Carretero-Gonzalez, R. (Eds.) Emergent Nonlinear Phenomena in Bose-Einstein Condensates Theory and Experiment; Springer: Berlin, Germany, 2008. [Google Scholar]
- Yukalov, V.I. Theory of cold atmos: Bose-Einstein statistics. Laser Phys. 2016, 26, 062001. [Google Scholar] [CrossRef]
- Oriti, D.; Pranzetti, D.; Sindoni, L. Horizon entropy from quantum gravity condensates. Phys. Rev. Lett. 2016, 116, 211301. [Google Scholar] [CrossRef] [PubMed]
- Oriti, D.; Pranzetti, D.; Sindoni, L. Black Holes as Quantum Gravity Condensates. Phys. Rev. D 2018, 97, 066017. [Google Scholar] [CrossRef]
- Oriti, D. The Universe as a Quantum Gravity Condensate, Extended Version of the Invited Contribution to the Special Issue “Testing Quantum Gravity with Cosmology” of Comptes Rendus Physique; Académie des Sciences: Paris, France, 2017. [Google Scholar]
- Sindoni, L. Effective equations for GFT condensates from fidelity. arXiv 2014, arXiv:1408.3095. [Google Scholar]
- Kiefer, C. Quantum Gravity, 3rd ed.; Oxford University Press: Oxford, UK, 2012. [Google Scholar]
- Ashtekar, A.; Singh, P. Loop Quantum Cosmology: A Status Report. Class. Quantum Gravity 2011, 28, 213001. [Google Scholar] [CrossRef]
- Banerjee, K.; Calcagni, G.; Martin-Benito, M. Introduction to Loop Quantum Cosmology. SIGMA 2012, 8, 016. [Google Scholar] [CrossRef]
- Dittrich, B. Partial and complete observables for canonical General Relativity. Class. Quantum Gravity 2006, 23, 6155–6184. [Google Scholar] [CrossRef]
- Rovelli, C. Partial observables. Phys. Rev. D 2002, 65, 124013. [Google Scholar] [CrossRef]
- Brown, D.; Kuchar, K. Dust as a standard of space and time in canonical quantumgravity. Phys. Rev. D 1995, 51, 5600–5629. [Google Scholar] [CrossRef]
- Giesel, K.; Thiemann, T. Scalar material referencesystems and loop quantum gravity. Class. Quantum Gravity 2015, 32, 135015. [Google Scholar] [CrossRef]
- Li, Y.; Oriti, D.; Zhang, M. Group field theory for quantum gravity minimally coupled to a scalar field. Class. Quantum Gravity 2017, 34, 195001. [Google Scholar] [CrossRef]
- Fairbairn, W.J.; Livine, E.R. 3d spinfoam quantum gravity: Matter as a phase of the group field theory. Class. Quantum Gravity 2007, 24, 5277. [Google Scholar] [CrossRef]
- Livine, E.R.; Oriti, D.; Ryan, J.P. Effective Hamiltonian Constraint from Group Field Theory. Class. Quantum Gravity 2011, 28, 245010. [Google Scholar] [CrossRef]
- Adjei, E.; Gielen, S.; Wieland, W. Cosmological evolution as squeezing: A toy model for groupfield cosmology. Class. Quantum Gravity 2018, 35, 105016. [Google Scholar] [CrossRef]
- Wilson-Ewing, E. A relational Hamiltonian for group field theory. Phys. Rev. D 2019, 99, 086017. [Google Scholar] [CrossRef]
- Gielen, S.; Oriti, D. Quantum cosmology from quantum gravity condensates: Cosmological variables and lattice-refined dynamics. New J. Phys. 2014, 16, 123004. [Google Scholar] [CrossRef]
- Calcagni, G. Loop quantum cosmology from group field theory. Phys. Rev. D 2014, 90, 064047. [Google Scholar] [CrossRef]
- Brandenberger, R.; Peter, P. Bouncing Cosmologies: Progress and Problems. Found. Phys. 2017, 47, 797–850. [Google Scholar] [CrossRef]
- de Cesare, M. Limiting curvature mimetic gravity for group field theory condensates. Phys. Rev. D 2019, 99, 063505. [Google Scholar] [CrossRef]
- Sebastiani, L.; Vagnozzi, S.; Myrzakulov, R. Mimetic gravity: A review of recent developments and applications to cosmology and astrophysics. Adv. High Energy Phys. 2017, 2017, 3156915. [Google Scholar] [CrossRef]
- Chamseddine, A.H.; Mukhanov, V. Resolving Cosmological Singularities. J. Cosmol. Astropart. Phys. 2017, 1703, 009. [Google Scholar] [CrossRef]
- Gielen, S. Emergence of a low spin phase in group field theory condensates. Class. Quantum Gravity 2016, 33, 224002. [Google Scholar] [CrossRef]
- Alesci, E.; Cianfrani, F. Quantum-Reduced Loop Gravity: Cosmology. Phys. Rev. D 2013, 87, 083521. [Google Scholar] [CrossRef]
- Alesci, E.; Cianfrani, F. Quantum reduced loop gravity: Universe on a lattice. Phys. Rev. D 2015, 92, 084065. [Google Scholar] [CrossRef]
- Mukhanov, V. Physical Foundations of Cosmology; Cambridge University Press: Cambrige, UK, 2005. [Google Scholar]
- Linde, A. Inflationary Cosmology after Planck 2013. arXiv 2014, arXiv:1402.0526. [Google Scholar]
- Ijjas, A.; Steinhardt, P.J.; Loeb, A. Inflationary paradigm in trouble after Planck 2013. Phys. Lett. B 2013, 723, 261–266. [Google Scholar] [CrossRef]
- Ijjas, A.; Steinhardt, P.J. Implications of Planck 2015 for inflationary, ekpyrotic and anamorphic bouncing cosmologies. Class. Quantum Gravity 2016, 33, 044001. [Google Scholar] [CrossRef]
- Belinsky, V.; Khalatnikov, I.; Lifshitz, E. Oscillatory approach to a singular point in the relativistic cosmology. Adv. Phys. 1970, 19, 525. [Google Scholar] [CrossRef]
- Lifshitz, E.; Khalatnikov, I. Investigations in relativistic cosmology. Ad. Phys. 1963, 12, 185. [Google Scholar] [CrossRef]
- Bianchi, E.; Rovelli, C.; Vidotto, F. Towards Spin-foam Cosmology. Phys. Rev. D 2010, 82, 084035. [Google Scholar] [CrossRef]
- Rovelli, C.; Vidotto, F. On the spinfoam expansion in cosmology. Class. Quantum Gravity 2010, 27, 145005. [Google Scholar] [CrossRef]
- Bianchi, E.; Krajewski, T.; Rovelli, C.; Vidotto, F. Cosmological constant in spinfoam cosmology. Phys. Rev. D 2011, 83, 104015. [Google Scholar] [CrossRef]
- Hellmann, F. On the Expansions in Spin Foam Cosmology. Phys. Rev. D 2011, 84, 103516. [Google Scholar] [CrossRef]
- Livine, E.R.; Martin-Benito, M. Classical Setting and Effective Dynamics for Spinfoam Cosmology. Class. Quantum Gravity 2013, 30, 035006. [Google Scholar] [CrossRef]
- Schroeren, D. Decoherent Histories of Spin Networks. Found. Phys. 2013, 43, 310–328. [Google Scholar] [CrossRef][Green Version]
- Rennert, J.; Sloan, D. A Homogeneous Model of Spinfoam Cosmology. Class. Quantum Gravity 2013, 30, 235019. [Google Scholar] [CrossRef]
- Rennert, J.; Sloan, D. Anisotropic Spinfoam Cosmology. Class. Quantum Gravity 2014, 31, 015017. [Google Scholar] [CrossRef]
- Rovelli, C.; Vidotto, F. Stepping out of Homogeneity in Loop Quantum Cosmology. Class. Quantum Gravity 2008, 25, 225024. [Google Scholar] [CrossRef]
- Battisti, M.V.; Marciano, A.; Rovelli, C. Triangulated Loop Quantum Cosmology: Bianchi IX and inhomogenous perturbations. Phys. Rev. D 2010, 81, 064019. [Google Scholar] [CrossRef]
- Borja, E.F.; Diaz-Polo, J.; Garay, I.; Livine, E.R. Dynamics for a 2-vertex Quantum Gravity Model. Class. Quantum Gravity 2010, 27, 235010. [Google Scholar] [CrossRef]
- Vidotto, F. Many-nodes/many-links spinfoam: The homogeneous and isotropic case. Class. Quantum Gravity 2011, 28, 245005. [Google Scholar] [CrossRef]
- Borja, E.F.; Garay, I.; Vidotto, F. Learning about Quantum Gravity with a Couple of Nodes. SIGMA 2012, 8, 015. [Google Scholar] [CrossRef]
- Mukhanov, V.; Feldman, H.A.; Brandenberger, R. Theory of cosmological perturbations. Phys. Rep. 1992, 215, 203–333. [Google Scholar] [CrossRef]
- Gielen, S. Perturbing a quantum gravity condensate. Phys. Rev. D 2015, 91, 043526. [Google Scholar] [CrossRef]
- Gielen, S. Identifying cosmological perturbations in group field theory condensates. J. High Energy Phys. 2015, 1508, 010. [Google Scholar] [CrossRef]
- Gielen, S. Group field theory and its cosmology in a matter reference frame. Universe 2018, 4, 103. [Google Scholar] [CrossRef]
- Gielen, S. Inhomogeneous universe from group field theory condensate. J. Cosmol. Astropart. Phys. 2019, 1902, 013. [Google Scholar] [CrossRef]
- Gerhardt, F.; Oriti, D.; Wilson-Ewing, E. The separate universe framework in group field theory condensate cosmology. Phys. Rev. D 2018, 98, 066011. [Google Scholar] [CrossRef]
- Dittrich, B. The continuum limit of loop quantum gravity—A framework forsolving the theory. arXiv 2014, arXiv:1409.1450. [Google Scholar]
- Dittrich, B. From the discrete to the continuous: Towards a cylindrically con-sistent dynamics. New J. Phys. 2012, 14, 123004. [Google Scholar] [CrossRef]
- Dittrich, B.; Eckert, F.C.; Martin-Benito, M. Coarse graining methods for spin net and spin foam models. New J. Phys. 2012, 14, 035008. [Google Scholar] [CrossRef]
- Dittrich, B.; Schnetter, E.; Seth, C.J.; Steinhaus, S. Coarse graining flow of spin foam intertwiners. Phys. Rev. D 2016, 94, 124050. [Google Scholar] [CrossRef]
- Bahr, B. On background-independent renormalization of spin foam models. Class. Quantum Gravity 2017, 34, 075001. [Google Scholar] [CrossRef]
- Bahr, B.; Steinhaus, S. Numerical evidence for a phase transition in 4d spin foam quantum gravity. Phys. Rev. Lett. 2016, 117, 141302. [Google Scholar] [CrossRef]
- Bahr, B.; Steinhaus, S. Hypercuboidal renormalization in spinfoam quantum gravity. Phys. Rev. D 2017, 95, 126006. [Google Scholar] [CrossRef]
- Steinhaus, S.; Thürigen, J. Emergence of Spacetime in a restricted Spin-foam model. Phys. Rev. D 2018, 98, 026013. [Google Scholar] [CrossRef]
- Bahr, B.; Rabuffo, G.; Steinhaus, S. Renormalization of symmetry restricted spin foam models with curvature in the asymptotic regime. Phys. Rev. D 2018, 98, 106026. [Google Scholar] [CrossRef]
| 1 | The introduction of discrete structures can be motivated to bypass the issue of perturbative non-renormalizability of GR within the continuum path integral formulation. Alternative points of view of dealing with this issue would be to assume the existence of a non-perturbative (i.e., interacting) fixed point for gravity in the UV as done by the asymptotic safety program [12,13,14,15] or to increase the amount of symmetries as compared to GR and QFT with the aim to regain perturbative renormalizability as proposed by string theory [16]. Yet another view, as presented by non-commutative geometry, is that above the Planck scale the concept of geometry collapses and spacetime is replaced by a non-commutative manifold [17,18,19]. |
| 2 | |
| 3 | Another way to relate GFT to cosmology was brought forward in Ref. [60]. This work is closer to canonical quantum cosmology (either Wheeler–DeWitt or loop quantum cosmology) in the sense that it is built on a minisuperspace model, i.e., symmetry reduction is applied before quantization and not afterwards as in the condensate program. |
| 4 | |
| 5 | A detailed discussion on the subtle differences in between the Fock space of GFT and the kinematical Hilbert space of LQG, which are mostly related to the absence of the so-called cylindrical consistency and equivalence in the former, is found in Ref. [84]. |
| 6 | The assumption of bosonic statistics is crucial for the condensate cosmology program where spacetime is thought to arise from a GFT condensate. To justify this choice of statistics from a fundamental point of view is an open problem, see Ref. [84] for a discussion and Refs. [67,68,69,85,86] for explorations into other statistics. |
| 7 | We refer e.g., to Appendix C of Ref. [58] for an extensive discussion of this matter for the case of the volume operator. |
| 8 | Complementarily to the application of functional methods to study the notion of phases in this context, research on the algebraic foundations of GFT has shown the existence of representations which are unitarily inequivalent to the one of the GFT Fock space and that are potentially related to different phases of GFT models, in particular to condensate phases [92,93,94,95]. |
| 9 | |
| 10 | One may also take the view that the existence of a condensate phase transition is of less pronounced importance for such condensate states to be suitable non-perturbative states of physical relevance. We refer to Ref. [101] for a detailed discussion. |
| 11 | We comment below on an alternative notion of isotropy which has been explored so far in the literature. However, notice that such a reduction is a common simplification also applied in the closely related contexts of tensor models for quantum gravity [26,27,28,29,30,31,32] and lattice gravity approaches [33,34,35,36]. |
| 12 | Notice that the term “mesoscopic” used here only refers to the number of quanta N so far. Detailed studies must determine the exact range of N for such a regime to hold true and relate it to a range of length scales in the future. Conversely, this would necessitate to study the regimes of very small and very large N where the simple field coherent state ansatz is expected to be inapplicable. |
| 13 | We exemplify the link to the standard Friedmann equations of GR for a flat universe in proper time t as compared to those in relational time via the first Friedmann equation, i.e.,
|
| 14 | |
| 15 | |
| 16 | |
| 17 | In Ref. [118] the relations between the condensate program and mimetic gravity were explored. Mimetic gravity is a Weyl-symmetric extension of GR [119] proposed to mimic the effects of cold dark matter within the context of modifications of GR. In the context of limiting curvature mimetic gravity, it is possible to realize non-singular bouncing cosmologies in the sense that it is possible to reproduce their background dynamics. This has been shown for the case of LQC [120] and very recently for the case of the effective dynamics of GFT condensates [118]. |
| 18 | |
| 19 | |
| 20 | Notice that this proposal of incorporating inhomogeneities has recently been further developed using the separate universe approach to describe long-wavelength scalar perturbations [148]. |
| 21 |






© 2019 by the authors. Licensee MDPI, Basel, Switzerland. This article is an open access article distributed under the terms and conditions of the Creative Commons Attribution (CC BY) license (http://creativecommons.org/licenses/by/4.0/).
Share and Cite
Pithis, A.G.A.; Sakellariadou, M. Group Field Theory Condensate Cosmology: An Appetizer. Universe 2019, 5, 147. https://doi.org/10.3390/universe5060147
Pithis AGA, Sakellariadou M. Group Field Theory Condensate Cosmology: An Appetizer. Universe. 2019; 5(6):147. https://doi.org/10.3390/universe5060147
Chicago/Turabian StylePithis, Andreas G. A., and Mairi Sakellariadou. 2019. "Group Field Theory Condensate Cosmology: An Appetizer" Universe 5, no. 6: 147. https://doi.org/10.3390/universe5060147
APA StylePithis, A. G. A., & Sakellariadou, M. (2019). Group Field Theory Condensate Cosmology: An Appetizer. Universe, 5(6), 147. https://doi.org/10.3390/universe5060147
