Explaining Defects of the Universal Vacua with Black Holes-Hedgehogs and Strings
Abstract
1. Introduction
2. Degenerate Vacua of the Universe
- Present Electroweak vacuum, “true vacuum”, in which we live.It has vacuum expectation value (VEV) of the Higgs field equal to:
- High Higgs field vacuum, “false vacuum”—Planck scale vacuum, which has the following VEV:
- the first Electroweak vacuum at GeV, and
- the second Planck scale vacuum at GeV,
3. Topological Defects of the Universal Vacua
4. Gravi-Weak Unification and Hedgehogs as Defects of the False Vacuum
4.1. The Existence of the De-Sitter Solutions at the Early Time of the Universe
4.2. Parameters of the Gravi-Weak Unification Model
- (1)
- The vacuum expectation value —the VEV of “the false vacuum”—is given by the de-Sitter scalar curvature R:
- (2)
- At the Planck scale the squared coupling constant of the weak interaction is:The replacement:leads to the following GW-action:Now considering the VEV of the false vacuum as , we have:The Einstein-Hilbert action of general relativity with the Einstein’s cosmological constant is given by the following expression:
- (3)
- The comparison of the Lagrangian with the Lagrangian given by Equation (33) near the false vacuum v leads to the following relations for the Newton’s gravitational constant and reduced Planck mass:
- (4)
5. The Solution for the Black-Holes-Hedgehogs
5.1. The Metric Around of the Global Monopole
5.2. The Mass, Radius and Horizon Radius of the Black-Hole-Hedgehog
6. Lattice-Like Structure of the False Vacuum and Non-Commutativity
- (1)
- That a cosmological constant is given by a tiny value:where is the Hubble rate in the early Universe:
- (2)
- That a Dark Energy density is very small:
- (3)
- That a very small DE-density provides an accelerating expansion of our Universe after the Big Bang.
7. The Phase Transition from the “False Vacuum” to the “True Vacuum”
- (1)
- one being the “false vacuum” (Planck scale vacuum), and
- (2)
- the other—the “true vacuum” (EW-scale vacuum).
7.1. Stability of the EW Vacuum
8. Hedgehogs in the Wilson Loops and the Phase Transition in the Yang-Mills Theory
9. Threshold Energy of the -Triplet Higgs Bosons
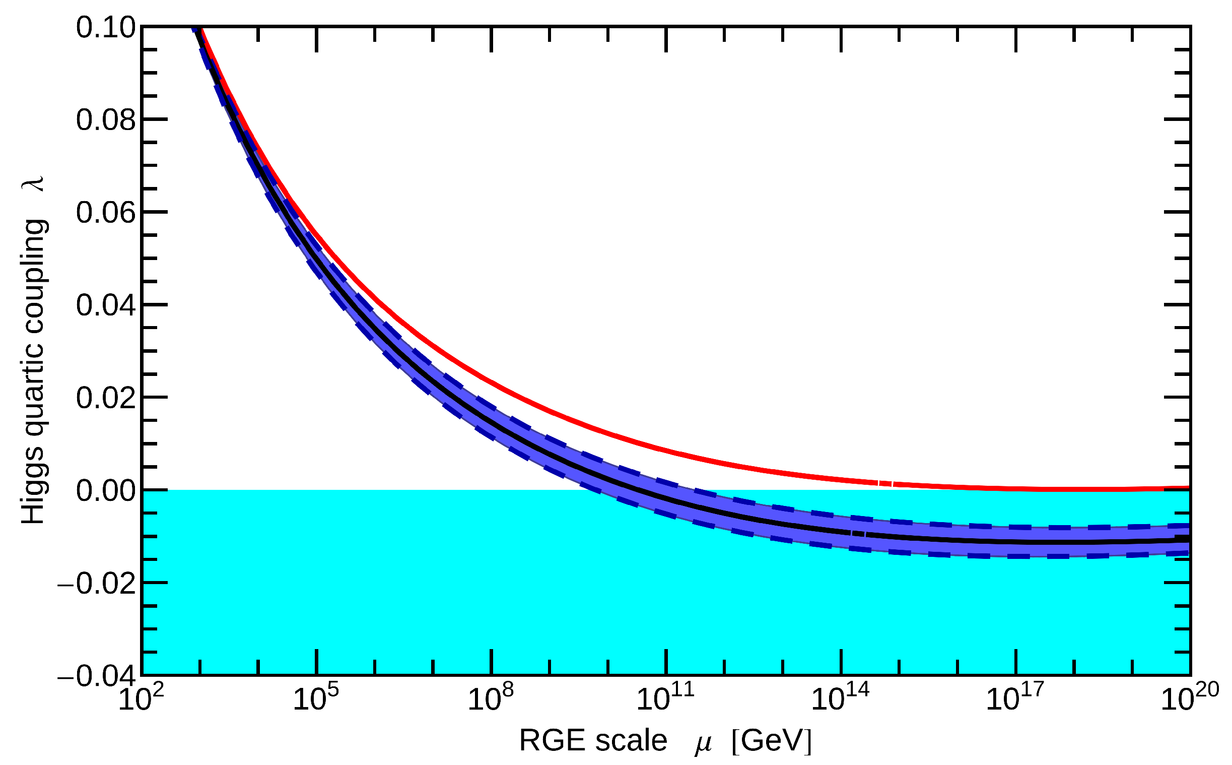
10. The Higgs Mass and Vacuum Stability/Metastability in the Standard Model
11. A New Physics in the SM
12. Conclusions
- (1)
- In this investigation, we have based on the discovery that a cosmological constant of our Universe is extremely small, almost zero, and assumed a new law of Nature which was named as a Multiple Point Principle (MPP). The MPP postulates: There are two vacua in the SM with the same energy density, or cosmological constant, and both cosmological constants are zero, or approximately zero. We considered the existence of the following two degenerate vacua in the SM: (a) the first Electroweak vacuum at GeV, which is a “true” vacuum, and (b) the second “false” vacuum at the Planck scale with VEV GeV.
- (2)
- The bubble, which we refer to as “the false vacuum”, is a de-Sitter space with its constant expansion rate . The initial radius of this bubble is close to the de-Sitter horizon, which corresponds to the Universe radius. The space-time inside the bubble, which we refer to as “the true vacuum”, has the geometry of an open FLRW Universe.
- (3)
- We investigated the topological structure of the universal vacua. Different phase transitions, which were resulted during the expansion of the early Universe after the Planck era, produced the formation of the various kind of topological defects. The aim of this investigation is the consideration of the hedgehog configurations as defects in the false vacuum. We have obtained a solution for a black-hole in the region which contains a global monopole in the framework of the gravity, where is a function of the Ricci scalar R. Here we have used the results of the Gravi-Weak unification (GWU) model. The gravitational field, isovector scalar with , produced by a spherically symmetric configuration in the scalar field theory, is pointing radially: is parallel to —the unit vector in the radial direction. In this GWU approach, we obtained a “hedgehog” solution (in Alexander Polyakov’s terminology). We also showed that this is a black-hole solution, corresponding to a global monopole that has been “swallowed” by a black-hole.
- (4)
- We estimated all parameters of the Gravi-Weak unification model, which gave the prediction of the Planck scale false vacuum VEV equal to GeV.
- (5)
- We have shown, that the Planck scale Universe vacuum is described by a non-differentiable space-time: by a foam of black-holes, or by lattice-like structure, where sites are black-holes with the “hedgehog” monopoles inside them. This manifold is described by a non-commutative geometry, leading to a tiny value of cosmological constant .
- (6)
- Taking into account that the phase transition from the “false vacuum” to the “true vacuum” is a consequence of the electroweak spontaneous breakdown of symmetry , we considered topological defects of EW-vacuum: the Abrikosov-Nielsen-Olesen closed magnetic vortices (“ANO strings”) of the Abelian Higgs model and Sidharth’s Compton phase objects. We showed that the “true vacuum” (EW-vacuum) again is presented by the non-differentiable manifold with non-commutative geometry leading to an almost zero cosmological constant.
- (7)
- By solving the gravitational field equations we estimated the black hole-hedgehog’s mass, radius and horizon radius are GeV, GeV and respectively.
- (8)
- We considered that due to the energy conservation law, the vacuum energy density before the phase transition is equal to the vacuum energy density after the phase transition: This result confirms the Multiple Point Principle: we have two degenerate vacua and with an almost zero vacuum energy density (cosmological constants). By these considerations, we confirmed the vacuum stability of the EW-vacuum, in which we live. The Planck scale vacuum cannot be negative because of the exact equality .
- (9)
- Hedgehogs in the Wilson loops of the Yang-Mills theory, and phase transitions in this theory were investigated revising the results of Refs. [13,14]. Using their lattice result for the critical value of the temperature of hedgehog’s confinement phase: , we predicted the production of the -triplet Higgs bosons at LHC at energy scale TeV, providing a new physics in the SM.
- (10)
- We considered an additional confirmation of the vacuum stability and accuracy of the MPP taking into account that hedgehog fields produce a new physics at the scale ∼10 TeV, and calculating at high energies the contribution of the black-hole-hedgehog corrections to the effective Higgs potential. This result essentially depends on the hedgehog field parameters: mass, radius and mixing coupling constant of the interaction of hedgehogs with the SM doublet Higgs fields H.
Funding
Acknowledgments
Conflicts of Interest
References
- Das, C.R.; Laperashvili, L.V.; Nielsen, H.B.; Sidharth, B.G. Cosmological model with black-holes-hedgehogs and two degenerate vacua of the Universe. Math. Model. Geom. 2018, 6, 12–27. [Google Scholar] [CrossRef]
- Sidharth, B.G.; Das, C.R.; Laperashvili, L.V.; Nielsen, H.B. Gravi-weak unification and the black-hole-hedgehog’s solution with magnetic field contribution. Int. J. Mod. Phys. A 2018, 33, 1850188. [Google Scholar] [CrossRef]
- Sidharth, B.G. An alternative perspective in quantum mechanics and general relativity. In Proceedings of the 8th Marcell Grossmann Meeting on General Relativity, Jerusalem, Israel, 22–27 June 1997; Piran, T., Ruffini, R., Eds.; World Scientific: Singapore, 1999; pp. 476–479. [Google Scholar]
- Sidharth, B.G. The Universe of fluctuations. Int. J. Mod. Phys. A 1998, 13, 2599–2612. [Google Scholar] [CrossRef]
- Perlmutter, S.; Aldering, G.; della Valle, M.; Deustua, S.; Ellis, R.S.; Fabbro, S.; Fruchter, A.; Goldhaber, G.; Goobar, A.; Groom, D.E.; et al. Discovery of a supernova explosion at half the age of the Universe and its cosmological implications. Nature 1998, 391, 51–54. [Google Scholar] [CrossRef]
- Bennett, D.L.; Nielsen, H.B. Predictions for nonAbelian fine structure constants from multicriticality. Int. J. Mod. Phys. A 1994, 9, 5155–5200. [Google Scholar] [CrossRef]
- T Hooft, G. Magnetic Monopoles in Unified Gauge Theories. Nucl. Phys. B 1974, 79, 276–284. [Google Scholar] [CrossRef]
- Polyakov, A.M. Particle Spectrum in the Quantum Field Theory. J. Exp. Theor. Phys. Lett. 1974, 20, 194–195. [Google Scholar]
- Das, C.R.; Laperashvili, L.V.; Tureanu, A. Graviweak Unification, Invisible Universe and Dark Energy. Int. J. Mod. Phys. A 2013, 28, 1350085. [Google Scholar] [CrossRef]
- Froggatt, C.D.; Das, C.R.; Laperashvili, L.V.; Nielsen, H.B.; Tureanu, A. Gravi-Weak Unification and Multiple Point Principle. In Proceedings of the Conference on Physics of Fundamental Interactions, Protvino, Russia, 5–8 November 2013. [Google Scholar]
- Laperashvili, L.V.; Nielsen, H.B.; Tureanu, A. Standard Model and Graviweak Unification with (Super)Renormalizable Gravity. Part I: Visible and Invisible Sectors of the Universe. Int. J. Mod. Phys. A 2015, 30, 1550044. [Google Scholar] [CrossRef]
- Laperashvili, L.V.; Nielsen, H.B.; Sidharth, B.G. Planck Scale Physics, Gravi-Weak Unification and the Higgs Inflation. arXiv, 2015; arXiv:1503.03911. [Google Scholar]
- Belavin, V.A.; Chernodub, M.N.; Kozlov, I.E. Hedgehogs in Wilson loops and phase transition in SU(2) Yang-Mills theory. Nucl. Phys. B 2000, 748, 524–539. [Google Scholar] [CrossRef]
- Chernodub, M.N. A gauge-invariant object in non-Abelian gauge theory. Phys. Lett. B 2006, 634, 255–261. [Google Scholar] [CrossRef]
- Froggatt, C.D.; Nielsen, H.B. Standard Model Criticality Prediction: Top mass 173 +/− 5 GeV and Higgs mass 135 +/− 9 GeV. Phys. Lett. B 1996, 368, 96–102. [Google Scholar] [CrossRef]
- Guendelman, E.I.; Portnoy, J. Is Our Vacuum Stable? In The Future of the Universe and the Future of Our Civilization; World Scientific: Singapore, 2000. [Google Scholar]
- Bennett, D.L.; Froggatt, C.D.; Nielsen, H.B. Multiple point criticality, fine structure constants and mass hierarchies. In Proceedings of the 27th International Conference on High Energy Physics (ICHEP 94), Glasgow, UK, 20–27 July 1994; Bussey, P.J., Knowles, I.G., Eds.; Institute of Physics Publishing Ltd.: Bristol, UK; Philadelphia, PA, USA, 1995; Volume 2, pp. 557–560. [Google Scholar]
- Bennett, D.L.; Nielsen, H.B. Gauge couplings calculated from multiple point criticality yield α−1=137 ± 9: At last the elusive case of U(1). Int. J. Mod. Phys. A 1999, 14, 3313–3385. [Google Scholar] [CrossRef]
- Bennett, D.L.; Nielsen, H.B. The multiple point principle: Realized vacuum in nature is maximally degenerate. In Proceedings of the 5th International Conference on Symmetry in Nonlinear Mathematical Physics (SYMMETRY 03), Kiev, Ukraine, 23–29 June 2003; Volume 4, p. 235. [Google Scholar]
- Bennett, D.L. The multiple point principle: Characterization of the possible phases for the SMG. In Proceedings of the 12th Workshop on What Comes beyond the Standard Models, Bled, Slovenia, 14–24 July 2009. [Google Scholar]
- Bennett, D.L.; Laperashvili, L.V.; Nielsen, H.B. Finestructure constants at the Planck scale from multiple point principle. In Proceedings of the 10th Workshop on What Comes Beyond the Standard Model, Bled, Slovenia, 17–27 July 2007. [Google Scholar]
- Bennett, D.L.; Laperashvili, L.V.; Nielsen, H.B. Relation between the structure constants at the Planck scale from multiple point principle. In Proceedings of the 9th Workshop on What Comes Beyond the Standard Model, Bled, Slovenia, 16–26 September 2006. [Google Scholar]
- Froggatt, C.D.; Laperashvili, L.; Nevzorov, R.; Nielsen, H.B.; Sher, M. Implementation of the multiple point principle in the two-Higgs doublet model of type II. Phys. Rev. D 2006, 73, 095005. [Google Scholar] [CrossRef]
- Froggatt, C.D.; Nevzorov, R.; Nielsen, H.B. Smallness of the cosmological constant and the multiple point principle. J. Phys. Conf. Ser. 2008, 110, 072012. [Google Scholar] [CrossRef]
- Das, C.R.; Laperashvili, L.V. Phase transition in gauge theories, monopoles and the Multiple Point Principle. Int. J. Mod. Phys. A 2005, 20, 5911–5988. [Google Scholar] [CrossRef]
- Froggatt, C.D.; Laperashvili, L.V.; Nevzorov, R.B.; Nielsen, H.B.; Sher, M. The Two Higgs doublet model and the multiple point principle. In Proceedings of the 7th Workshop on What Comes Beyond the Standard Model, Bled, Slovenia, 19–30 July 2004. [Google Scholar]
- Froggatt, C.D.; Laperashvili, L.; Nevzorov, R.; Nielsen, H.B. No-scale supergravity and the multiple point principle. In Proceedings of the 7th Workshop on What Comes Beyond the Standard Model, Bled, Slovenia, 19–30 July 2004. [Google Scholar]
- Laperashvili, L.V. The Standard Model and the fine structure constant at Planck distances in Bennet-Brene- Nielsen-Picek random dynamics. Phys. Atom. Nucl. 1994, 57, 471–478. [Google Scholar]
- Laperashvili, L.V.; Nielsen, H.B. Multiple point principle and phase transition in gauge theories. In Proceedings of the Workshop on What Comes Beyond the Standard Model, Bled, Slovenia, 29 June–9 July 1998. [Google Scholar]
- Laperashvili, L.V. The Multiple point principle and Higgs bosons. In Proceedings of the International Bogolyubov Conference on Problems of Theoretical and Mathematical Physics, Moscow, Russia, 2–6 September 2004. [Google Scholar]
- Froggatt, C.D.; Laperashvili, L.V.; Nevzorov, R.B.; Nielsen, H.B. Cosmological constant in SUGRA models and the multiple point principle. Phys. Atom. Nucl. 2004, 67, 582–589. [Google Scholar] [CrossRef]
- Nielsen, H.B.; Kleppe, A. Towards a Derivation of Space. In Proceedings of the 16th Workshop on What Comes Beyond the Standard Model, Bled, Slovenia, 14–21 July 2013. [Google Scholar]
- Laperashvili, L.V.; Nielsen, H.B.; Das, C.R. New results at LHC confirming the vacuum stability and Multiple Point Principle. Int. J. Mod. Phys. A 2016, 31, 1650029. [Google Scholar] [CrossRef]
- Volovik, G.E. Coexistence of different vacua in the effective quantum field theory and Multiple Point Principle. J. Exp. Theor. Phys. Lett. 2004, 79, 101–105. [Google Scholar] [CrossRef]
- Kawana, K. Multiple Point Principle of the Standard Model with Scalar Singlet Dark Matter and Right Handed Neutrinos. Prog. Theor. Exp. Phys. 2015, 023B04. [Google Scholar] [CrossRef]
- Kawana, K. Multiple Point Principle of the Gauged B-L Model. arXiv, 2015; arXiv:1504.06707. [Google Scholar]
- Haba, N.; Ishida, H.; Okada, N.; Yamaguchi, Y. Multiple-point principle with a scalar singlet extension of the standard model. Prog. Theor. Exp. Phys. 2017, 013B03. [Google Scholar] [CrossRef]
- Froggatt, C.D.; Nielsen, H.B. Trying to understand the Standard Model parameters. Surv. High Energy Phys. 2003, 18, 55–75. [Google Scholar] [CrossRef]
- Froggatt, C.D.; Nielsen, H.B.; Laperashvili, L.V. Hierarchy-problem and a bound state of 6 t and 6 anti-t. In Proceedings of the Coral Gables Conference on Launching of Belle Epoque in High-Energy Physics and Cosmology (CG 2003), Fort Lauderdale, FL, USA, 17–21 December 2003; Curtright, T., Frampton, P., Kursunoglu, B., Mintz, S., Perlmutter, A., Eds.; World Scientific: Singapore, 2005; pp. 20–27. [Google Scholar]
- Froggatt, C.D.; Nielsen, H.B.; Laperashvili, L.V. Hierarchy-Problem and a Bound State of 6 t and 6 t bar. Int. J. Mod. Phys. A 2005, 20, 1268–1275. [Google Scholar] [CrossRef]
- Nielsen, H.B.; Laperashvili, L.; Froggatt, C.D.; Das, C.R. Topological Structure of the Vacuum, Cosmological Constant and Dark Energy. Int. J. Mod. Phys. A 2016, 31, 1630051. [Google Scholar]
- Nielsen, H.B. F(750), we miss you as bound state of 6 top and 6 antitop. Int. J. Mod. Phys. A 2016, 31, 1650186. [Google Scholar] [CrossRef]
- Barriola, M.; Vilenkin, A. Gravitational Field of a Global Monopole. Phys. Rev. Lett. 1989, 63, 341–343. [Google Scholar] [CrossRef]
- Basu, R.; Guth, A.H.; Vilenkin, A. Quantum creation of topological defects during inflation. Phys. Rev. D 1991, 44, 340–351. [Google Scholar] [CrossRef]
- Copeland, E.J.; Sami, M.; Tsujikawa, S. Dynamics of dark energy. Int. J. Mod. Phys. D 2006, 15, 1753–1936. [Google Scholar] [CrossRef]
- Vilenkin, A. A quantum measure of the multiverse. J. Cosmol. Astropart. Phys. 2014, 2014, 005. [Google Scholar] [CrossRef]
- Garriga, J.; Vilenkin, A.; Zhang, J. Black holes and the multiverse. J. Cosmol. Astropart. Phys. 2016, 2016, 064. [Google Scholar] [CrossRef]
- Garrett Lisi, A.; Smolin, L.; Speziale, S. Unification of gravity, gauge fields, and Higgs bosons. J. Phys. A 2010, 43, 445401. [Google Scholar] [CrossRef]
- Bennett, D.L.; Laperashvili, L.V.; Nielsen, H.B.; Tureanu, A. Gravity and Mirror Gravity in Plebanski Formulation. Int. J. Mod. Phys. A 2013, 28, 1350035. [Google Scholar] [CrossRef]
- Carroll, S.M.; Duvvuri, V.; Trodden, M.; Turner, M.S. Is cosmic speed-up due to new gravitational physics? Phys. Rev. D 2004, 70, 043528. [Google Scholar] [CrossRef]
- Fay, S.; Tavakol, R.; Tsujikawa, S. f(R) gravity theories in Palatini formalism: Cosmological dynamics and observational constraints. Phys. Rev. D 2007, 74, 063509. [Google Scholar] [CrossRef]
- Nojiri, S.; Odintsov, S.D. Unifying inflation with LambdaCDM epoch in modified f(R) gravity consistent with Solar System tests. Phys. Lett. B 2007, 657, 238–245. [Google Scholar] [CrossRef]
- Chen, P. Gauge Theory of Gravity with de Sitter Symmetry as a Solution to the Cosmological Constant Problem and the Dark Energy Puzzle. Mod. Phys. Lett. A 2010, 25, 2795–2803. [Google Scholar] [CrossRef]
- Odintsov, S.D.; Oikonomou, V.K. Viable Mimetic F(R) Gravity Compatible with Planck Observations. arXiv, 2015; arXiv:1508.07488. [Google Scholar] [CrossRef]
- Abbott, L.F.; Deser, S. Stability of Gravity with a Cosmological Constant. Nucl. Phys. B 1982, 195, 76–96. [Google Scholar] [CrossRef]
- Ford, L.H. Quantum Instability of De Sitter Space-time. Phys. Rev. D 1985, 31, 710–717. [Google Scholar] [CrossRef]
- Antoniadis, I.; Iliopoupos, J.; Tomaras, T.N. Quantum Instability of De Sitter Space. Phys. Rev. Lett. 1986, 56, 1319–1322. [Google Scholar] [CrossRef] [PubMed]
- Guendelman, E.I.; Rabinowitz, A. The Gravitational field of a hedgehog and the evolution of vacuum bubbles. Phys. Rev. D 1991, 44, 3152–3158. [Google Scholar] [CrossRef]
- Lustosa, F.B.; Guimaraes, M.E.X.; Ferreira, C.N.; Neto, J.L. Thermodynamical Analysis of a Black Hole with a Global Monopole Within a Class of a f(R) Gravity. arXiv, 2015; arXiv:1510.08176. [Google Scholar]
- Delice, O. Gravitational hedgehog, stringy hedgehog and stringy sphere. J. High Energy Phys. 2003, 2013, 058. [Google Scholar] [CrossRef]
- Shi, X.; Li, X.-Z. The gravitational field of a global monopole. Class. Quantum Gravity 1991, 8, 761–767. [Google Scholar] [CrossRef]
- Carames, T.R.P.; Bezerra de Mello, E.R.; Pessoa, J.; Guimaraes, M.E.X. On the motion of a test particle around a global monopole in a modified gravity. Mod. Phys. Lett. A 2012, 27, 1250177. [Google Scholar]
- Sidharth, B.G. The Chaotic Universe: From the Planck to the Hubble Scale; Nova Science Publishers: New York, NY, USA, 2001. [Google Scholar]
- Sidharth, B.G. The Universe of Fluctuations: The Architecture of Space-time and the Universe; Springer: Amsterdam, The Netherlands, 2005. [Google Scholar]
- Sidharth, B.G. The Thermodynamic Universe: Exploring the Limits of Physics; World Scientific Publishing: Singapore, 2008. [Google Scholar]
- Sidharth, B.G. Different Routes to Lorentz Symmetry Violations. Found. Phys. 2008, 38, 89–95. [Google Scholar] [CrossRef]
- Sidharth, B.G. The Limits of Special Relativity. Found. Phys. 2008, 38, 695–706. [Google Scholar] [CrossRef]
- Sidharth, B.G. Large numbers and the time variation of physical constants. Int. J. Theor. Phys 1998, 37, 1307–1312. [Google Scholar] [CrossRef]
- Sidharth, B.G. Discrete space-time and Lorentz symmetry. Int. J. Theor. Phys. 2004, 43, 1857–1861. [Google Scholar] [CrossRef]
- Sidharth, B.G. What if Superluminal Neutrinos Exist but not Higgs Bosons? arXiv, 2012; arXiv:1201.0915. [Google Scholar]
- Das, A.; Sidharth, B.G. Revisiting the Lamb Shift. Electron. J. Theor. Phys. 2015, 12, 139–152. [Google Scholar]
- Rovelli, C. Quantum Gravity; Cambridge University Press: Cambridge, UK, 2010. [Google Scholar]
- Snyder, H.S. The Electromagnetic Field in Quantized Space-Time. Phys. Rev. 1947, 72, 68–71. [Google Scholar] [CrossRef]
- Zeldovich, Y.B. Cosmological constant and elementary particles. J. Exp. Theor. Phys. Lett. 1967, 6, 883. [Google Scholar] [CrossRef]
- Weinberg, S. Baryon and Lepton Nonconserving Processes. Phys. Rev. Lett. 1979, 43, 1566–1570. [Google Scholar] [CrossRef]
- Abrikosov, A.A. On the Magnetic properties of superconductors of the second group. Sov. J. Exp. Theor. Phys. 1957, 5, 1174–1182. [Google Scholar]
- Nielsen, H.B. Olesen, P. Vortex Line Models for Dual Strings. Nucl. Phys. B 1973, 61, 45–61. [Google Scholar] [CrossRef]
- Sidharth, B.G.; Das, A.; Roy, A.D. The Anomalous Gyromagnetic Ratio. Int. J. Theor. Phys. 2016, 55, 801–808. [Google Scholar] [CrossRef]
- Sidharth, B.G. Gravitation and electromagnetism. Nuovo Cim. B 2001, 116, 735. [Google Scholar]
- Sidharth, B.G.; Das, A. The zitterbewegung region. Int. J. Mod. Phys. A 2017, 32, 1750117. [Google Scholar] [CrossRef]
- Kirzhnits, D.A. Weinberg model in the hot universe. J. Exp. Theor. Phys. Lett. 1972, 15, 529–531. [Google Scholar]
- Kirzhnits, D.A.; Linde, A.D. Macroscopic Consequences of the Weinberg Model. Phys. Lett. B 1972, 42, 471–474. [Google Scholar] [CrossRef]
- Linde, A.D. Phase Transitions in Gauge Theories and Cosmology. Rep. Prog. Phys. 1979, 42, 389–437. [Google Scholar] [CrossRef]
- Linde, A.D. Inflation and Quantum Cosmology; Academic Press: Boston, MA, USA, 1990. [Google Scholar]
- Froggatt, C.D.; Laperashvili, L.V.; Nielsen, H.B. The Fundamental-Weak Scale Hierarchy in the Standard Model. Phys. Atom. Nucl. 2006, 69, 67–80. [Google Scholar] [CrossRef]
- Degrassi, G.; Di Vita, S.; Elias-Miro, J.; Espinosa, J.R.; Giudice, G.F.; Isidori, G.; Strumia, A. Higgs mass and vacuum stability in the Standard Model at NNLO. J. High Energy Phys. 2012, 2012, 098. [Google Scholar] [CrossRef]
- Buttazzo, D.; Degrassi, G.; Giardino, P.P.; Giudice, G.F.; Salab, F.; Salvio, A.; Strumia, A. Investigating the near-criticality of the Higgs boson. J. High Energy Phys. 2013, 2013, 89. [Google Scholar] [CrossRef]



© 2019 by the authors. Licensee MDPI, Basel, Switzerland. This article is an open access article distributed under the terms and conditions of the Creative Commons Attribution (CC BY) license (http://creativecommons.org/licenses/by/4.0/).
Share and Cite
Das, C.R.; Laperashvili, L.V.; Nielsen, H.B.; Sidharth, B.G. Explaining Defects of the Universal Vacua with Black Holes-Hedgehogs and Strings. Universe 2019, 5, 78. https://doi.org/10.3390/universe5030078
Das CR, Laperashvili LV, Nielsen HB, Sidharth BG. Explaining Defects of the Universal Vacua with Black Holes-Hedgehogs and Strings. Universe. 2019; 5(3):78. https://doi.org/10.3390/universe5030078
Chicago/Turabian StyleDas, C. R., L. V. Laperashvili, H. B. Nielsen, and B. G. Sidharth. 2019. "Explaining Defects of the Universal Vacua with Black Holes-Hedgehogs and Strings" Universe 5, no. 3: 78. https://doi.org/10.3390/universe5030078
APA StyleDas, C. R., Laperashvili, L. V., Nielsen, H. B., & Sidharth, B. G. (2019). Explaining Defects of the Universal Vacua with Black Holes-Hedgehogs and Strings. Universe, 5(3), 78. https://doi.org/10.3390/universe5030078

