Abstract
The Belle II experiment is a substantial upgrade of the Belle detector and will operate at the SuperKEKBenergy-asymmetric collider. The accelerator has already successfully completed the first phase of commissioning in 2016. The first electron versus positron collisions in Belle II were delivered in April 2018. The design luminosity of SuperKEKB is 8 × cm−2s−1, and the Belle II experiment aims to record 50 ab−1 of data, a factor of 50 more than the Belle experiment. This large dataset will be accumulated with low backgrounds and high trigger efficiencies in a clean environment. This contribution will review the detector upgrade, the achieved detector performance and the plans for the commissioning of Belle II.
1. Introduction
Even though the Standard Model (SM) is currently the best description of the subatomic world, it does not explain the complete picture. The theory incorporates only three out of the four fundamental forces, omitting gravity. Moreover, there are also important questions that it does not answer, such as the matter versus antimatter asymmetry in the number of quark and lepton generations. Many New Physics (NP) scenarios have been proposed. Experiments in high-energy physics search for NP using two complementary approaches. The first, at the energy frontier, is able to discover new particles directly produced in collisions (ATLAS, CMS). Sensitivity to this production depends on the cross-sections and recorded statistics. The second approach, at the intensity frontier, seeks to reveal new weak interactions in the flavor sector beyond the SM. Such interactions can occur if a new particle exists and appears in an intermediate state of rare processes. The Belle II experiment aims to discover such interactions. The advantages of the Belle II experiment at the SuperKEKB B-factory with respect to a hadron-collider experiment are:
- full solid angle detector coverage;
- the relatively clean environment of collisions w.r.t. the hadronic environment;
- the possibility to reconstruct the final state completely.
A relatively low background environment allows for excellent reconstruction of the final system with photons in a wide energy region from neutrals, such as , and . Due to the low track multiplicity, we have high B, D and reconstruction efficiencies. As a result, B factories are also charm and factories. Since collisions produce a clean samples of B mesons from the initial known Y() state, missing-mass analyses based on the energy-momentum conservation law can be performed. Belle II also exploits the detection of decay products of one of B meson to be tagged. All these possibilities make the Belle II experiment unique for performing NP measurements and important cross-checks for many deviations from SM measured at the LHCb experiment [1].
2. The SuperKEKB Design Concept
The SuperKEKBaccelerator [2] is upgraded from KEKB [3], as shown in Figure 1. The target instantaneous luminosity is 8 × cm−2s−1, and it is higher than that of KEKB by a factor of 40. The beam energies for the High Energy Ring (HER) and the Low Energy Ring (LER) are 7 GeV and 4 GeV, respectively. The energy of the LER has been increased to obtain larger dynamic acceptance. The designed beam currents of the HER and the LER are 2.6 A and 3.6 A, respectively. Several upgrades were performed to achieve this performance. The most important one is the nano-beam collision scheme. The lower emittance and the smaller vertical in the Interaction Point (IP) are critical. A new lattice design has been applied to the HER, and a completely new ring was built for the LER to reach the low emittance. A pair of new superconductive final focusing magnets was designed and fabricated. The described setup is essential to squeeze the beams. To achieve this, quadrupole magnets, compensation solenoid magnets and correction magnets in the single cryostat have been installed. Moreover, new TiN-coated beam pipes and the antechamber structure were designed and constructed to reduce the photoelectron cloud in the LER. A new damping ring was built in the injection linac section to meet the requirement of smaller acceptance for the LER. Moreover, higher bunch current and shorter bunch length might cause hardware trouble due to higher heat load of the Higher Order Mode (HOM) loss. Therefore, the bunch-by-bunch luminosity in KEKB × cm−2s−1 was rather low compared to other accelerators. Due to the double ring design, around 1600 bunches could be stored in each ring, and the world highest luminosity could be achieved. The storage of more bunches up to 3600 is relatively straightforward to get higher luminosity. However, the Radio Frequency (RF) limits the number of bunches to about 5000, thus allowing only a factor of three should the KEKB collision scheme be used. Figure 2 shows the beam size at the collision point for KEKB and SuperKEKB. The overlap region is rather large in KEKB even for a small crossing angle. The collision spot is much smaller in SuperKEKB due to the smaller horizontal beam size (lower emittance) and the larger crossing angle. Therefore, we can think of each bunch as many subdivided “non-interacting” bunches. In this way, the nano-beam collision scheme can be exploited to reach the highest possible bunch-by-bunch luminosity.
Figure 1.
Schematic view of the SuperKEKBaccelerator.
Figure 2.
The vertical beam size at collision for both beams at KEKB (a) and SuperKEKB (b).
3. The Belle II Experiment
Belle II [4,5] is a hermetic magnetic spectrometer and is a major upgrade of the Belle experiment that operates at the B-factory SuperKEKB, located at the KEKlaboratory in Tsukuba, Japan. The SuperKEKB facility is designed to collide electrons and positrons at center-of-mass energies in the region of the resonances. Most of the data will be collected at the resonance ( = 10.58 GeV), which is just above the threshold for B-meson pair production. Hence, in the case of production, no additional fragmentation particles are produced. The accelerator is designed with asymmetric beam energies to provide a boost to the center-of-mass system and thereby allow for time-dependent violation measurements. The boost is slightly lower than that at KEKB, which is advantageous for analyses with neutrinos and missing energy in the final state, which require a good detector hermeticity. SuperKEKB has a design luminosity of 8 × cm−2s−1, with the aim to collect 50 ab−1, of data in eight years. The first data-taking period for physics analyses started in April 2018, with luminosity lower than the designed one. In this particular running condition (called Phase 2), which serves mainly for machine commissioning and beam background studies, we have reached a peak luminosity of 5 × cm−2s−1 and had collected about 500 pb−1 of data by the end of July 2018. A new data-taking period (Phase 3) will start in February 2019, and luminosity is expected to increase to the designed value, while the background is expected to be significantly higher. From Phase 3 on, we will collect data with the upgraded detector: Belle II. The modified Belle II detector includes several renovated subsystems (see Figure 3).
Figure 3.
Overview of the Belle II detector. DEPFET, DEpleted P-channel Field Effect Transistor.
The new Vertex Detector (VXD) consists of two sub-detectors: a Pixel Vertex Detector (PXD) including two layers of pixelated sensors based on DEpleted P-channel Field Effect Transistor (DEPFET) technology and a double-sided Silicon strip Vertex Detector (SVD) with four layers of silicon strip sensors. A factor of two on the vertex resolution compared to the Belle vertex detector is obtained with this strategy. The central tracking system is a large-volume Central Drift Chamber (CDC), the CDC surrounding the VXD. To be able to operate at the high event rates, CDC now features smaller cells. A particle-identification system includes the Time-Of-Propagation (TOP) system in the barrel region which is a kind of Cherenkov detector, and Aerogel Ring Image CHerenkov (ARICH) detector in the forward region. In the TOP system, the time of propagation and the impact position of a Cherenkov photon are measured. In the ARICH detector, the number and the position of Cherenkov photons are detected. The Electromagnetic CaLorimeter (ECL), based on CsI(Tl) crystals, is used to detect photons and identify electrons. New calorimeter electronics have been implemented to decrease the large level of noise due to the machine background. The K-Long and Muon (KLM) detector, located outside the superconducting solenoid, has been equipped with layers of scintillator strips with silicon photomultipliers to be able to operate at significantly higher neutron fluxes.
4. Belle II Schedule
The Belle II schedule consists of two main phases before full physics commissioning, which will start in February 2019. During Phase 1, the solenoid was not active, and no collisions took place. The Belle II detector was in a roll-out position, and a system of radiation detectors called BEAST II (Beam Exorcism for A Stable Belle II experiment) has been placed at the interaction region. The BEAST II detectors collected beam-background data to validate the Monte Carlo simulation of the beam backgrounds in the detector. The possible beam-induced backgrounds at SuperKEKB are Touschek (intra-bunch scattering), beam gas scattering (Coulomb scattering with the residual gas in the vacuum beam pipe) and synchrotron radiation, radiative Bhabha and two-photon processes. During Phase 2, the Belle II detector, with only one octant of the PXD and SVD detector, was rolled into the beam line. The main aim of Phase 2 is the SuperKEKB commissioning, and all of the outer detector systems (CDC, ECL, TOP, ARICH and KLM) were included in Phase 2. An intense debugging phase started, and Belle II successfully recorded the first beam collision events on 26 April 2018. Many known resonances have been rediscovered. We recorded, reconstructed and analyzed 500 pb−1 of data. The mass distributions of J/ left and are shown in Figure 4. The full vertex system detector has been installed in summer 2018, and the Belle II detector will be ready for the physics commissioning stage.
Figure 4.
Invariant mass plot for J/ (left) and (right) candidates.
5. Belle II Physics Program
The Belle II experiment focuses on precision measurements and the search for NP hints in rare events with large data statistics. The “Belle II Theory interface Platform” (B2TiP) [6] has been setup to study to study the potential physics topics for Belle II. In this contribution, only a few will be covered.
5.1. Dark Photon Searches
A hypothetical new vector particle could couple to the SM electromagnetic current via the so-called vector portal. At Belle II, the dark photon can be searched for in the process → , whose cross-section is proportional to , where is the coupling constant, is the electromagnetic coupling constant and s the center-of-mass energy. The dark photon can decay to SM final states or to Dark Matter (DM) final states if is not the lightest dark sector particle [7,8]. Since the DM particles do not interact with the detector, the experimental signature of this decay is a monochromatic photon (), having energy , plus missing energy. A full detector simulation, including all the relevant QED backgrounds, was performed in order to evaluate the sensitivity of Belle II (also during the Phase 2 running condition) to the decaying dark photon into an invisible final state [9]. The main sources of background for this search have been found to be radiative Bhabha scattering and events, where all but one photon are not detected by Belle II, mainly because of small, but not-negligible photon detection inefficiencies in the ECL. The expected Belle II sensitivity for an integrated luminosity of 20 fb−1 is shown in Figure 5. The better expected sensitivity compared to BaBar [10] is due to the more homogeneous electromagnetic calorimeter of Belle II, whose barrel part has no projective gaps to the interaction point. The expected sensitivity with the full integrate luminosities of 50 ab−1 is also shown.
Figure 5.
Expected upper limit (90% CLon y = (where is the coupling with the dark sector) for the process where the decays in DM for a 20 fb−1 luminosity and for a 50 ab−1 luminosity. In this plot, = 0.5 and = .
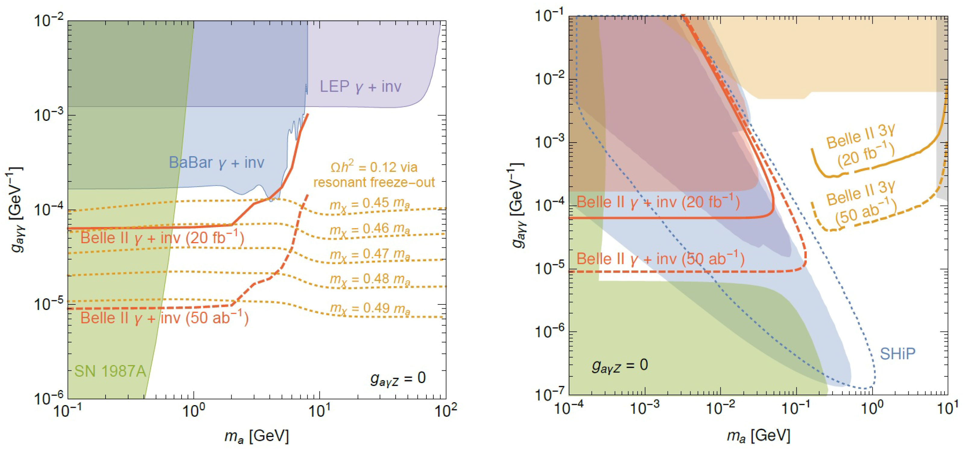
5.2. Searches for Axion-Like Particles
Axion-Like Particles (ALPs) are hypothetical pseudo-scalar particles that can couple to the SM gauge boson via the so-called axion portal. ALPs were originally motivated by the strong problem and have a fixed relation between coupling strength and mass. While the axion and its parameters are related to QCD, the coupling and mass of ALPs are taken to be independent and can appear in a variety of extensions to the SM [11,12]. The simplest search for ALPs is via its coupling to photons: . There are two different production processes of interest at Belle II: ALP-Strahlung ( → a) and photon fusion ( → a). Even if ALP production via photon fusion typically dominates over ALP-Strahlung (unless is close to ), the final state in photon fusion production features only two soft photons (from a → ) and missing momentum, which will lead to a very high QEDbackground. The most promising search is therefore from ALP-Strahlung production; see Figure 6.
Figure 6.
Feynman diagram for the process → a, with a → .
Depending on the ALP mass, its decay length can exceed the detector fiducial volume ornot. If the ALP escapes the fiducial volume its signature will be the same as the one of an invisibly decaying dark photon. On the contrary, if its mass is high, it will be produced with a smaller boost, and the opening angle of the decay photons will be larger, thus giving three resolved and detectable photons in the final state. The main background is the three-QED-photons’ final state, though also a two-QED-photon final state, though also with an additional photon coming from the machine background contribution. The expected Belle II sensitivity for the process → a is given in Figure 7 considering 20 fb−1 (Phase 2) and 50 ab−1 (full Belle II integrated luminosity).
Figure 7.
Expected upper limits (90% CL) on the coupling constant for a 20 fb−1 integrated luminosity (Phase 2) and for a 50 ab−1 (Phase 3, full Belle II integrated luminosity).
5.3. Lepton Flavor Violation Searches in Decays
LFV decays are forbidden in the SM, but enhanced in some NP models, with branching ratio BRsup to the order of . Belle II will have access to final states containing neutral particles (such as , , ). In LFV searches, the control of the beam backgrounds will be crucial and will be precisely assessed only during data taking. If we project the current upper limits to the expected Belle II integrated luminosity, we can foresee an improvement of one or two orders of magnitude, as summarized in Figure 8.
Figure 8.
Expected upper limits on LFV decays 90% CL for 50 ab−1.
5.4. B →
This class of B-meson decays is described in the SM by the tree-level diagram with a virtual W boson exchange. The Lepton Flavor Universality (LFU) ratio:
together with:
are two useful quantities to search for NP contributions as theoretical uncertainties in transition form factors B → , as well as the CKMmatrix element cancel out. As shown in Figure 9, at the moment, there is tension between the measurements done by Belle, BaBar, LHCb and the SM prediction. A 4 level effect is present. At Belle II, the current precision should be significantly extended as shown in Figure 9.
Figure 9.
Measurement on and . The left plot shows the world average from [13]. The right plot shows the expected Belle II sensitivity with the 50 ab−1 dataset.
6. Conclusions
The Belle II experiment started the first data taking period in April 2018. Thanks to a hermetic and upgraded detector, Belle II will immediately have world leading sensitivity on the dark sector searches even with a small dataset, compared with previous generation B factories. In addition to the dark sector program, Belle II has a comprehensive physics program spanning from lepton flavor violating searches to studies of B meson decays.
Funding
We are grateful to the MSCA-RISE project JENNIFER, funded by EU grant n.644294, for supporting the EU-Japan researchers’ mobility.
Conflicts of Interest
The authors declare no conflict of interest.
References
- Charles, J.; Hocker, A.; Lacker, H.; Laplace, S.; Le Diberder, F.R.; Malcles, J.; Ocariz, J.; Pivk, M.; Roos, L. CP Violation and the CKM Matrix: Assessing the Impact of the Asymmetric B Factories. Eur. Phys. J. C 2005, 1, 1–131. [Google Scholar] [CrossRef]
- Neuhaus, S.; Skambraks, S.; Kiesling, C. Track vertex reconstruction with neural networks at the first level trigger of Belle II. Eur. Phys. J. Web Conf. 2017, 150, 00009. [Google Scholar] [CrossRef]
- Iwashita, T.; Adachi, T.; Takayama, K.; Leo, K.W.; Arai, T.; Arakida, Y.; Hashimoto, M.; Kadokura, E.; Kawai, M.; Kawakubo, T.; et al. KEK digital accelerator. Phys. Rev. Spec. Top. Accel. Beams 2011, 14, 071301. [Google Scholar] [CrossRef]
- Abe, T.; Akai, K.; Akasaka, N.; Akemoto, M.; Akiyama, A.; Arinaga, M.; Cai, Y.; Ebihara, K.; Egawa, K.; Enomoto, A. Achievements of KEKB. Prog. Theor. Exp. Phys. 2013, 2013, 03A001. [Google Scholar] [CrossRef]
- Abe, T.; Adachi, I.; Adamczyk, K.; Ahn, S.; Aihara, H.; Akai, K.; Aloi, M.; Andricek, L.; Aoki, K.; Arai, Y.; et al. Belle II Technical Design Report. arXiv, 2010; arXiv:1011.0352. [Google Scholar]
- Kou, E.; Urquijo, P.; Altmannshofer, W.; Beaujean, F.; Bell, G.; Beneke, M.; Bigi, I.; Bishara, M.; Blanke, F.; Bobeth, C.; et al. [Belle II collaboration] The Belle II Physics Book. arXiv, 2018; arXiv:1808.10567. [Google Scholar]
- Essig, R.; Manalaysay, A.; Mardon, J.; Sorensen, P.; Volansky, T. First Direct Detection Limits on Sub-GeV Dark Matter from XENON10. Phys. Rev. Lett. 2012, 109, 021301. [Google Scholar] [CrossRef] [PubMed]
- Kouvaris, C.; Pradler, J. Probing sub-GeV Dark Matter with conventional detectors. Phys. Rev. Lett. 2016, 118, 031803. [Google Scholar] [CrossRef] [PubMed]
- Dolan, M.J.; Ferber, T.; Hearty, C.; Kahlhoefer, F.; Schmidt-hoberg, K. Revised constraints and Belle II sensitivity for visible axoin-like particles. J. High Energy Phys. 2017, 12, 94. [Google Scholar] [CrossRef]
- Lees, J.P. Search for Invisible Decays of a Dark Photon Produced in e+e− Collisions at BaBar. Phys. Rev. Lett. 2017, 119, 131804. [Google Scholar] [CrossRef] [PubMed]
- Holdom, B. Two U(1)’s and Epsilon Charge Shifts. Phys. Lett. B 1986, 166, 196–198. [Google Scholar] [CrossRef]
- Freytsis, M.; Ligeti, Z.; Thaler, J. Constraining the Axion Portal with B → Kl+l−. Phys. Rev. D 2010, 81, 034001. [Google Scholar] [CrossRef]
- Amhis, Y.; Banerjee, S.W.; Ben-Haim, E.; Bernlochner, F.; Bozek, A.; Bozzi, C.; Chrząszcz, M.; Dingfelder, J.; Duell, S.; Gersabeck, M.; et al. (HFLAV), Averages of b-hadron, c-hadron, and τ-lepton properties as of summer 2016. Eur. Phys. J. C 2017, 77, 895. [Google Scholar] [CrossRef]
© 2018 by the author. Licensee MDPI, Basel, Switzerland. This article is an open access article distributed under the terms and conditions of the Creative Commons Attribution (CC BY) license (http://creativecommons.org/licenses/by/4.0/).








