Spectral Instability in Modified Pöschl–Teller Effective Potential Triggered by Deterministic and Random Perturbations
Abstract
1. Introduction
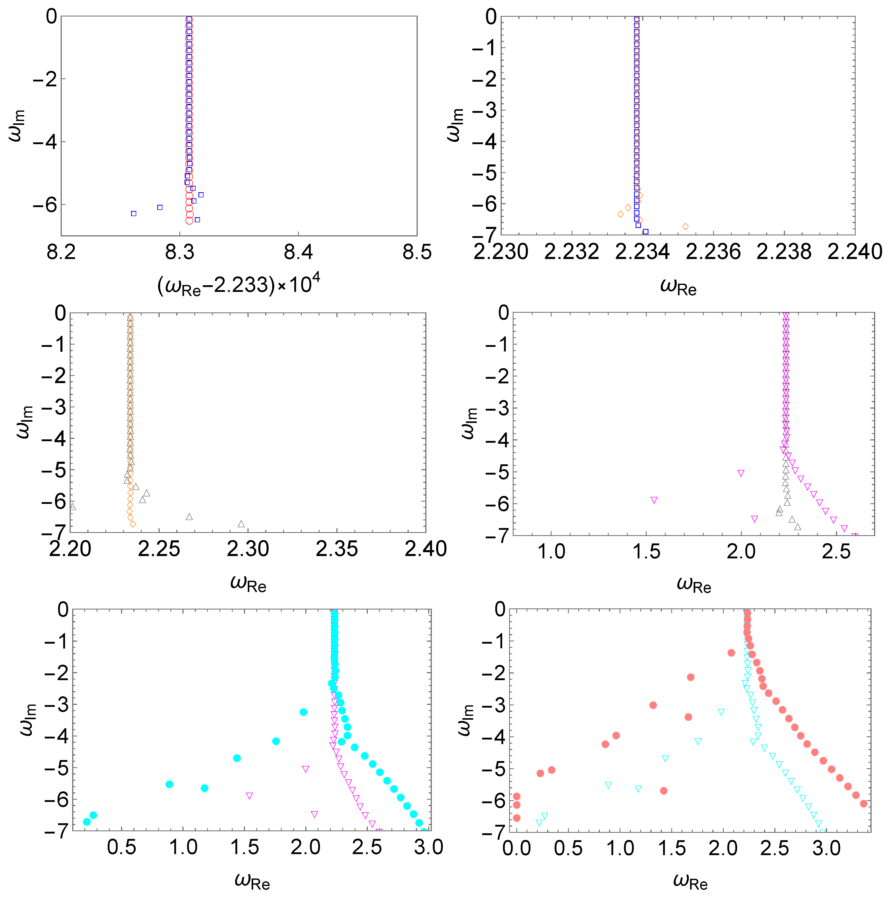
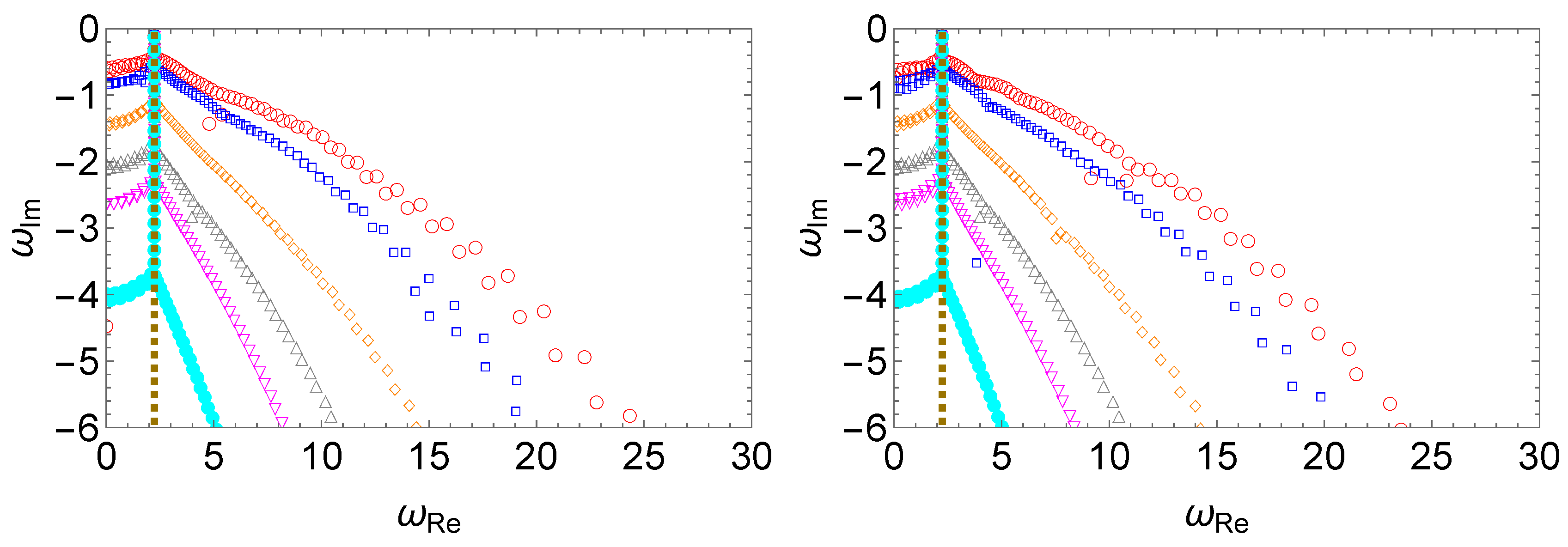
2. Spectral Instability Triggered by Deterministic Perturbations
3. Spectral Instability Triggered by Random Perturbations
4. Sensitivity of Spectral Instability on the Localization of the Perturbation
5. Concluding Remarks
Author Contributions
Funding
Data Availability Statement
Acknowledgments
Conflicts of Interest
References
- Abbott, B.P. [LIGO Scientific Collaboration and Virgo Collaboration]. Observation of Gravitational Waves from a Binary Black Hole Merger. Phys. Rev. Lett. 2016, 116, 061102. [Google Scholar] [CrossRef]
- Abbott, B.P. et al. [LIGO Scientific and Virgo Collaborations] Tests of general relativity with GW150914. Phys. Rev. Lett. 2016, 116, 221101, Erratum in Phys. Rev. Lett. 2018, 121, 129902.. [Google Scholar] [CrossRef]
- Abbott, B.P. et al. [LIGO Scientific Collaboration and Virgo Collaboration] GW151226: Observation of Gravitational Waves from a 22-Solar-Mass Binary Black Hole Coalescence. Phys. Rev. Lett. 2016, 116, 241103. [Google Scholar] [CrossRef]
- Abbott, B.P. et al. [LIGO Scientific Collaboration and Virgo Collaboration] GW170814: A Three-Detector Observation of Gravitational Waves from a Binary Black Hole Coalescence. Phys. Rev. Lett. 2017, 119, 141101. [Google Scholar] [CrossRef]
- Amaro-Seoane, P.; Audley, H.; Babak, S.; Baker, J.; Barausse, E.; Bender, P.; Berti, E.; Binetruy, P.; Born, M.; Bortoluzzi, D.; et al. Laser Interferometer Space Antenna. arXiv 2017. [Google Scholar] [CrossRef]
- Luo, J.; Chen, L.S.; Duan, H.-Z.; Gong, Y.-G.; Hu, S.; Ji, J.; Liu, Q.; Mei, J.; Milyukov, V.; Sazhin, M.; et al. TianQin: A space-borne gravitational wave detector. Class. Quant. Grav. 2016, 33, 035010. [Google Scholar] [CrossRef]
- Hu, W.R.; Wu, Y.L. The Taiji Program in Space for gravitational wave physics and the nature of gravity. Natl. Sci. Rev. 2017, 4, 685–686. [Google Scholar] [CrossRef]
- Shi, C.; Bao, J.; Wang, H.; Zhang, J.d.; Hu, Y.; Sesana, A.; Barausse, E.; Mei, J.; Luo, J. Science with the TianQin observatory: Preliminary results on testing the no-hair theorem with ringdown signals. Phys. Rev. D 2019, 100, 044036. [Google Scholar] [CrossRef]
- Nollert, H.P. TOPICAL REVIEW: Quasinormal modes: The characteristic ‘sound’ of black holes and neutron stars. Class. Quant. Grav. 1999, 16, R159–R216. [Google Scholar] [CrossRef]
- Berti, E.; Cardoso, V.; Starinets, A.O. Quasinormal modes of black holes and black branes. Class. Quant. Grav. 2009, 26, 163001. [Google Scholar] [CrossRef]
- Leaver, E.W. Spectral decomposition of the perturbation response of the Schwarzschild geometry. Phys. Rev. 1986, D34, 384–408. [Google Scholar] [CrossRef]
- Nollert, H.P.; Schmidt, B.G. Quasinormal modes of Schwarzschild black holes: Defined and calculated via Laplace transformation. Phys. Rev. 1992, D45, 2617. [Google Scholar] [CrossRef]
- Price, R.H. Nonspherical perturbations of relativistic gravitational collapse. 1. Scalar and gravitational perturbations. Phys. Rev. 1972, D5, 2419–2438. [Google Scholar] [CrossRef]
- Nollert, H.P. About the significance of quasinormal modes of black holes. Phys. Rev. 1996, D53, 4397–4402. [Google Scholar] [CrossRef]
- Nollert, H.P.; Price, R.H. Quantifying excitations of quasinormal mode systems. J. Math. Phys. 1999, 40, 980–1010. [Google Scholar] [CrossRef]
- Daghigh, R.G.; Green, M.D.; Morey, J.C. Significance of Black Hole Quasinormal Modes: A Closer Look. Phys. Rev. 2020, D101, 104009. [Google Scholar] [CrossRef]
- Qian, W.L.; Lin, K.; Shao, C.Y.; Wang, B.; Yue, R.H. Asymptotical quasinormal mode spectrum for piecewise approximate effective potential. Phys. Rev. 2021, D103, 024019. [Google Scholar] [CrossRef]
- Jaramillo, J.L.; Panosso Macedo, R.; Al Sheikh, L. Pseudospectrum and Black Hole Quasinormal Mode Instability. Phys. Rev. X 2021, 11, 031003. [Google Scholar] [CrossRef]
- Shen, S.F.; Li, G.R.; Daghigh, R.G.; Morey, J.C.; Green, M.D.; Qian, W.L.; Yue, R.H. Asymptotic quasinormal modes, echoes, and black hole spectral instability: A brief review. arXiv 2025. [Google Scholar] [CrossRef]
- Nollert, H.P. Quasinormal modes of Schwarzschild black holes: The determination of quasinormal frequencies with very large imaginary parts. Phys. Rev. 1993, D47, 5253–5258. [Google Scholar] [CrossRef]
- Motl, L. An Analytical computation of asymptotic Schwarzschild quasinormal frequencies. Adv. Theor. Math. Phys. 2003, 6, 1135–1162. [Google Scholar] [CrossRef]
- Dreyer, O.; Kelly, B.J.; Krishnan, B.; Finn, L.S.; Garrison, D.; Lopez-Aleman, R. Black hole spectroscopy: Testing general relativity through gravitational wave observations. Class. Quant. Grav. 2004, 21, 787–804. [Google Scholar] [CrossRef]
- Berti, E.; Cardoso, V.; Will, C.M. On gravitational-wave spectroscopy of massive black holes with the space interferometer LISA. Phys. Rev. 2006, D73, 064030. [Google Scholar] [CrossRef]
- Giesler, M.; Isi, M.; Scheel, M.A.; Teukolsky, S. Black Hole Ringdown: The Importance of Overtones. Phys. Rev. X 2019, 9, 041060. [Google Scholar] [CrossRef]
- Cabero, M.; Westerweck, J.; Capano, C.D.; Kumar, S.; Nielsen, A.B.; Krishnan, B. Black hole spectroscopy in the next decade. Phys. Rev. D 2020, 101, 064044. [Google Scholar] [CrossRef]
- Dhani, A. Importance of mirror modes in binary black hole ringdown waveform. Phys. Rev. D 2021, 103, 104048. [Google Scholar] [CrossRef]
- Liu, H.; Zhang, C.; Gong, Y.; Wang, B.; Wang, A. Exploring nonsingular black holes in gravitational perturbations. Phys. Rev. 2020, D102, 124011. [Google Scholar] [CrossRef]
- Pani, P. Advanced Methods in Black-Hole Perturbation Theory. Int. J. Mod. Phys. 2013, A28, 1340018. [Google Scholar] [CrossRef]
- Berti, E.; Cardoso, V.; Carullo, G.; Abedi, J.; Afshordi, N.; Albanesi, S.; Baibhav, V.; Bhagwat, S.; Blázquez-Salcedo, J.; Bonga, B.; et al. Black hole spectroscopy: From theory to experiment. arXiv 2025. [Google Scholar] [CrossRef]
- Visser, M. Dirty black holes: Thermodynamics and horizon structure. Phys. Rev. 1992, D46, 2445–2451. [Google Scholar] [CrossRef]
- Leung, P.T.; Liu, Y.T.; Suen, W.M.; Tam, C.Y.; Young, K. Quasinormal modes of dirty black holes. Phys. Rev. Lett. 1997, 78, 2894–2897. [Google Scholar] [CrossRef]
- Leung, P.T.; Liu, Y.T.; Suen, W.M.; Tam, C.Y.; Young, K. Perturbative approach to the quasinormal modes of dirty black holes. Phys. Rev. 1999, D59, 044034. [Google Scholar] [CrossRef]
- Barausse, E.; Cardoso, V.; Pani, P. Can environmental effects spoil precision gravitational-wave astrophysics? Phys. Rev. 2014, D89, 104059. [Google Scholar] [CrossRef]
- Cardoso, V.; Franzin, E.; Pani, P. Is the gravitational-wave ringdown a probe of the event horizon? Phys. Rev. Lett. 2016, 116, 171101, Erratum in Phys. Rev. Lett. 2016, 117, 089902.. [Google Scholar] [CrossRef]
- Cardoso, V.; Pani, P. Testing the nature of dark compact objects: A status report. Living Rev. Rel. 2019, 22, 4. [Google Scholar] [CrossRef]
- Mark, Z.; Zimmerman, A.; Du, S.M.; Chen, Y. A recipe for echoes from exotic compact objects. Phys. Rev. 2017, D96, 084002. [Google Scholar] [CrossRef]
- Damour, T.; Solodukhin, S.N. Wormholes as Black Hole Foils. Phys. Rev. 2007, D76, 024016. [Google Scholar] [CrossRef]
- Bueno, P.; Cano, P.A.; Goelen, F.; Hertog, T.; Vercnocke, B. Echoes of Kerr-like wormholes. Phys. Rev. 2018, D97, 024040. [Google Scholar] [CrossRef]
- Gasperin, E.; Jaramillo, J.L. Energy scales and black hole pseudospectra: The structural role of the scalar product. Class. Quant. Grav. 2022, 39, 115010. [Google Scholar] [CrossRef]
- Jaramillo, J.L.; Panosso Macedo, R.; Sheikh, L.A. Gravitational Wave Signatures of Black Hole Quasinormal Mode Instability. Phys. Rev. Lett. 2022, 128, 211102. [Google Scholar] [CrossRef]
- Destounis, K.; Macedo, R.P.; Berti, E.; Cardoso, V.; Jaramillo, J.L. Pseudospectrum of Reissner-Nordström black holes: Quasinormal mode instability and universality. Phys. Rev. D 2021, 104, 084091. [Google Scholar] [CrossRef]
- Cheung, M.H.Y.; Destounis, K.; Macedo, R.P.; Berti, E.; Cardoso, V. Destabilizing the Fundamental Mode of Black Holes: The Elephant and the Flea. Phys. Rev. Lett. 2022, 128, 111103. [Google Scholar] [CrossRef]
- Berti, E.; Cardoso, V.; Cheung, M.H.Y.; Di Filippo, F.; Duque, F.; Martens, P.; Mukohyama, S. Stability of the fundamental quasinormal mode in time-domain observations against small perturbations. Phys. Rev. D 2022, 106, 084011. [Google Scholar] [CrossRef]
- Kyutoku, K.; Motohashi, H.; Tanaka, T. Quasinormal modes of Schwarzschild black holes on the real axis. Phys. Rev. D 2023, 107, 044012. [Google Scholar] [CrossRef]
- Jaramillo, J.L. Pseudospectrum and binary black hole merger transients. Class. Quant. Grav. 2022, 39, 217002. [Google Scholar] [CrossRef]
- Konoplya, R.A.; Zinhailo, A.F.; Kunz, J.; Stuchlik, Z.; Zhidenko, A. Quasinormal ringing of regular black holes in asymptotically safe gravity: The importance of overtones. J. Cosmol. Astropart. Phys. 2022, 10, 091. [Google Scholar] [CrossRef]
- Boyanov, V.; Destounis, K.; Panosso Macedo, R.; Cardoso, V.; Jaramillo, J.L. Pseudospectrum of horizonless compact objects: A bootstrap instability mechanism. Phys. Rev. D 2023, 107, 064012. [Google Scholar] [CrossRef]
- Liu, H.; Qian, W.L.; Liu, Y.; Wu, J.P.; Wang, B.; Yue, R.H. Alternative mechanism for black hole echoes. Phys. Rev. 2021, D104, 044012. [Google Scholar] [CrossRef]
- Hui, L.; Kabat, D.; Wong, S.S.C. Quasinormal modes, echoes and the causal structure of the Green’s function. J. Cosmol. Astropart. Phys. 2019, 12, 020. [Google Scholar] [CrossRef]
- Yang, H.; Zhang, J. Spectral stability of near-extremal spacetimes. Phys. Rev. D 2023, 107, 064045. [Google Scholar] [CrossRef]
- Courty, A.; Destounis, K.; Pani, P. Spectral instability of quasinormal modes and strong cosmic censorship. Phys. Rev. D 2023, 108, 104027. [Google Scholar] [CrossRef]
- Sarkar, S.; Rahman, M.; Chakraborty, S. Perturbing the perturbed: Stability of quasinormal modes in presence of a positive cosmological constant. Phys. Rev. D 2023, 108, 104002. [Google Scholar] [CrossRef]
- Cardoso, V.; Kastha, S.; Panosso Macedo, R. Physical significance of the black hole quasinormal mode spectra instability. Phys. Rev. D 2024, 110, 024016. [Google Scholar] [CrossRef]
- Qian, W.L.; Li, G.R.; Daghigh, R.G.; Randow, S.; Yue, R.H. Universality of instability in the fundamental quasinormal modes of black holes. Phys. Rev. D 2025, 111, 024047. [Google Scholar] [CrossRef]
- Yang, Y.; Mai, Z.F.; Yang, R.Q.; Shao, L.; Berti, E. Spectral instability of black holes: Relating the frequency domain to the time domain. Phys. Rev. D 2024, 110, 084018. [Google Scholar] [CrossRef]
- Shen, S.F.; Lin, K.; Zhu, T.; Yan, Y.P.; Shao, C.G.; Qian, W.L. Two distinct types of echoes in compact objects. Phys. Rev. D 2024, 110, 084022. [Google Scholar] [CrossRef]
- Rosato, R.F.; Destounis, K.; Pani, P. Ringdown stability: Graybody factors as stable gravitational-wave observables. Phys. Rev. D 2024, 110, L121501. [Google Scholar] [CrossRef]
- Oshita, N.; Takahashi, K.; Mukohyama, S. Stability and instability of the black hole greybody factors and ringdowns against a small-bump correction. Phys. Rev. D 2024, 110, 084070. [Google Scholar] [CrossRef]
- Rosato, R.F.; Biswas, S.; Chakraborty, S.; Pani, P. Greybody factors, reflectionless scattering modes, and echoes of ultracompact horizonless objects. Phys. Rev. D 2025, 111, 084051. [Google Scholar] [CrossRef]
- Daghigh, R.G.; Li, G.R.; Qian, W.L.; Randow, S.J. Evolution of black hole echo modes and the causality dilemma. Phys. Rev. D 2025, 111, 124021. [Google Scholar] [CrossRef]
- Li, G.R.; Qian, W.L.; Pan, Q.; Daghigh, R.G.; Morey, J.C.; Yue, R.H. Regge poles, greybody factors, and absorption cross sections for black hole metrics with discontinuity. Phys. Rev. D 2025, 112, 064071. [Google Scholar] [CrossRef]
- Mai, Z.F.; Yang, R.Q. Butterfly in Spacetime: Inherent Instabilities in Stable Black Holes. arXiv 2025. [Google Scholar] [CrossRef]
- Wu, L.B.; Xie, L.; Zhou, Y.S.; Guo, Z.K.; Cai, R.G. Waveform stability for the piecewise step approximation of Regge-Wheeler potential. arXiv 2025. [Google Scholar] [CrossRef]
- Ianniccari, A.; Iovino, A.J.; Kehagias, A.; Pani, P.; Perna, G.; Perrone, D.; Riotto, A. Deciphering the Instability of the Black Hole Ringdown Quasinormal Spectrum. Phys. Rev. Lett. 2024, 133, 211401. [Google Scholar] [CrossRef]
- Motohashi, H. Resonant Excitation of Quasinormal Modes of Black Holes. Phys. Rev. Lett. 2025, 134, 141401. [Google Scholar] [CrossRef] [PubMed]
- Lin, K.; Qian, W.L. A Matrix Method for Quasinormal Modes: Schwarzschild Black Holes in Asymptotically Flat and (Anti-) de Sitter Spacetimes. Class. Quant. Grav. 2017, 34, 095004. [Google Scholar] [CrossRef]
- Ferrari, V.; Mashhoon, B. New approach to the quasinormal modes of a black hole. Phys. Rev. 1984, D30, 295–304. [Google Scholar] [CrossRef]
- Zenginoğlu, A. A geometric framework for black hole perturbations. Phys. Rev. 2011, D83, 127502. [Google Scholar] [CrossRef]
- Li, G.R.; Qian, W.L.; Daghigh, R.G. Bifurcation and spectral instability of asymptotic quasinormal modes in the modified Pöschl-Teller effective potential. Phys. Rev. D 2024, 110, 064076. [Google Scholar] [CrossRef]
- Shen, S.F.; Qian, W.L.; Guo, H.; Zhang, S.J.; Li, J. An implementation of the matrix method using the Chebyshev grid. Prog. Theor. Exp. Phys. 2023, 2023, 093E01. [Google Scholar] [CrossRef]
- Skakala, J.; Visser, M. Semi-analytic results for quasi-normal frequencies. J. High Energy Phys. 2010, 8, 61. [Google Scholar] [CrossRef]
- Skakala, J.; Visser, M. Highly-damped quasi-normal frequencies for piecewise Eckart potentials. Phys. Rev. 2010, D81, 125023. [Google Scholar] [CrossRef]
- Chandrasekhar, S. On algebraically special perturbations of black holes. Proc. Roy. Soc. Lond. A 1984, 392, 1–13. [Google Scholar] [CrossRef]








Disclaimer/Publisher’s Note: The statements, opinions and data contained in all publications are solely those of the individual author(s) and contributor(s) and not of MDPI and/or the editor(s). MDPI and/or the editor(s) disclaim responsibility for any injury to people or property resulting from any ideas, methods, instructions or products referred to in the content. |
© 2025 by the authors. Licensee MDPI, Basel, Switzerland. This article is an open access article distributed under the terms and conditions of the Creative Commons Attribution (CC BY) license.
Share and Cite
Shen, S.-F.; Li, G.-R.; Daghigh, R.G.; Morey, J.C.; Green, M.D.; Qian, W.-L.; Yue, R.-H. Spectral Instability in Modified Pöschl–Teller Effective Potential Triggered by Deterministic and Random Perturbations. Universe 2026, 12, 5. https://doi.org/10.3390/universe12010005
Shen S-F, Li G-R, Daghigh RG, Morey JC, Green MD, Qian W-L, Yue R-H. Spectral Instability in Modified Pöschl–Teller Effective Potential Triggered by Deterministic and Random Perturbations. Universe. 2026; 12(1):5. https://doi.org/10.3390/universe12010005
Chicago/Turabian StyleShen, Shui-Fa, Guan-Ru Li, Ramin G. Daghigh, Jodin C. Morey, Michael D. Green, Wei-Liang Qian, and Rui-Hong Yue. 2026. "Spectral Instability in Modified Pöschl–Teller Effective Potential Triggered by Deterministic and Random Perturbations" Universe 12, no. 1: 5. https://doi.org/10.3390/universe12010005
APA StyleShen, S.-F., Li, G.-R., Daghigh, R. G., Morey, J. C., Green, M. D., Qian, W.-L., & Yue, R.-H. (2026). Spectral Instability in Modified Pöschl–Teller Effective Potential Triggered by Deterministic and Random Perturbations. Universe, 12(1), 5. https://doi.org/10.3390/universe12010005

