Abstract
We investigated the thermodynamic topology of quantum-corrected AdS-Reissner-Nordström black holes in Kiselev spacetime using non-extensive entropy formulation derived from Loop Quantum Gravity (LQG). Through systematic analysis, we examined how the Tsallis parameter influences topological charge classification with respect to various equation of state parameters. Our findings revealed a consistent pattern of topological transitions: for , the system exhibited a single topological charge with total charge , as increased to 0.8, the system transitioned to a configuration with two topological charges and total charge . When , corresponding to the Bekenstein–Hawking entropy limit, the system displayed a single topological charge with , signifying thermodynamic stability. The persistence of this pattern across different fluid compositions—from exotic negative pressure environments to radiation—demonstrates the universal nature of quantum gravitational effects on black hole topology.
1. Introduction
LQG represents one of the most promising approaches to reconcile general relativity (GR) and quantum mechanics (QM) into a comprehensive theory of quantum gravity. Unlike string theory, which introduces additional dimensions and supersymmetry, LQG attempts to directly quantize the gravitational field while preserving the fundamental principles of GR, particularly background independence. The traditional Hamiltonian formulation of GR serves as the foundation for LQG. At the quantum level, LQG is distinguished by the substitution of the holonomy-flux algebra for the canonical algebra between conjugated phase space variables. The discreteness of spacetime geometry is reflected in the absence of the infinitesimal generator of translations, which explains the lack of canonical algebra in the theory. Although LQG maintains close adherence to the known structure of spacetime, it approaches this structure in a fundamentally different manner from competing theories. According to GR, spacetime is inherently dynamic. LQG extends this concept by proposing that background spacetime does not exist independently. Instead, more fundamental quantum structures give rise to spacetime itself through complex quantum–geometric interactions. This perspective represents a significant departure from conventional quantum field theories that typically operate on fixed background geometries. One of the most profound insights from LQG is that space is not continuous but composed of discrete, minuscule units, typically at the Planck scale (∼ m), which function similarly to “atoms of space.” This discretization implies that volumes and areas possess minimum attainable values, contradicting the continuous nature of spacetime in classical GR. This quantum granularity of spacetime represents a fundamental departure from the smooth manifold structure assumed in classical theories [1,2].
The geometry of space in LQG is defined through spin networks—graphs with edges and nodes that carry quantum numbers related to geometry. The nodes have “spin” values associated with volumes, while the edges carry “spin” values that correspond to quantized areas. These spin networks represent quantum states of the gravitational field and form the basis for understanding quantum geometry in LQG [3,4,5]. Unlike quantum field theory approaches, LQG does not assume that gravity is mediated by a particle (graviton). Instead, gravity emerges naturally from the quantum structure of space itself. This emergent perspective on gravity provides a novel framework for addressing longstanding issues in gravitational physics, including the problem of quantum gravity [6,7]. One of the most significant achievements of LQG has been its ability to eliminate singularities that plague classical GR. For instance, the singularity predicted at the Big Bang has been resolved within LQG, giving rise to alternative cosmological scenarios such as the “Big Bounce,” where a previous universe collapsed and then rebounded into our current universe. This resolution of singularities represents a major advancement over classical GR and provides new avenues for cosmological investigation [8,9,10]. LQG has also made substantial progress in understanding black hole (BH) thermodynamics by counting microstates related to spin networks on the event horizon, thereby providing a statistical basis for the Bekenstein–Hawking entropy formula. This microscopic derivation of BH entropy from first principles represents a significant achievement in quantum gravity research and provides insight into the quantum nature of BHs [11,12,13]. Recent advancements in LQG have been facilitated by considering symmetry-reduced models that depict relevant physical scenarios [14,15]. Rather than implementing symmetry reduction in an already quantized theory, this approach first reduces the classical theory to a specific symmetrical sector of interest before applying quantization procedures. This methodology has proven particularly effective in developing tractable models that capture essential features of quantum gravity while remaining mathematically manageable. The study of spatially homogeneous spacetimes, both isotropic [16,17] and anisotropic [18,19,20], constitutes one of the primary areas of interest in LQC. This simplified approach involves working within the mini-superspace framework, where only a limited number of gravitational degrees of freedom remain. Consequently, these systems can be conceptualized as mechanical models rather than full-fledged field theories, making them more amenable to quantization and analysis. Within this reduced context, only those degrees of freedom residing within the mini-superspace undergo quantization, allowing for detailed exploration of quantum gravitational effects in cosmologically relevant scenarios [21,22].
Various analytic techniques have been developed to study the phase structures of black holes. One prominent method is the free energy landscape approach, which treats black holes as states within a canonical ensemble. In this framework, stable black hole solutions correspond to minima or maxima of the free energy that satisfy Einstein’s equations—referred to as “on-shell” states. In contrast, “off-shell” or non-equilibrium configurations offer additional insights into the thermodynamic behavior of black holes. To better understand phase transitions, researchers analyze the effective potential of black holes by mapping it as a vector field in a two-dimensional space defined by the black hole radius and an angular parameter [23]. Important features like maxima and minima of the potential correspond to zero points or poles of this vector field. These points can be characterized by winding numbers, a topological concept originally developed for scalar fields. S.W. Wei adapted this idea to black hole thermodynamics by using temperature fluctuations to define such a vector field, where singularities indicate critical phenomena. From this topological viewpoint, two complementary methods have emerged.
Firstly, the T method focuses on temperature variations. By introducing auxiliary parameters to eliminate pressure dependence, this method identifies critical points through topological charges [24].
Secondly, the F method employs the Helmholtz free energy and its related structural function (the function) to detect phase transitions. It distinguishes first-order transitions, which feature phase coexistence and local extrema, from continuous second-order transitions, characterized by smooth temperature changes [25].
Both methods classify black holes according to their topological charges, which reflect their stability and phase behavior. This topological framework has been widely applied, especially to black holes in anti-de Sitter (AdS) spacetime, uncovering new critical points and phase structures. Its effectiveness and simplicity have made it a valuable tool for exploring phenomena like the Hawking–Page phase transition in Schwarzschild-AdS black holes and related holographic duals that model confinement–deconfinement transitions in quantum gauge theories. Ref. [26] explored a universal framework for classifying black hole states by interpreting them as topological defects within a thermodynamic parameter space. By analyzing the asymptotic behavior of a specially constructed vector, the study identifies four distinct topological types of black holes. Each classification exhibits a unique combination of stability features: the smallest black holes within each type alternate between stable and unstable, while the largest ones also show varying stability patterns. Additionally, the thermodynamic behavior of these classifications differs significantly at both low and high Hawking temperatures. A consistent ordering pattern of stable and unstable states emerges as the event horizon radius increases within each classification. These findings suggest a fundamental topological structure underlying black hole thermodynamics and offer new insights into the nature of quantum gravity. Also, Ref. [27] examined the topological characteristics of singly rotating Kerr black holes across various dimensions, as well as the four-dimensional Kerr–Newman black hole. The analysis reveals that in uncharged black holes, the rotation parameter plays a crucial role in determining the topological number. For rotating black holes, the number of spacetime dimensions significantly influences this topological value. Interestingly, the topological numbers for the four-dimensional Kerr and Kerr–Newman black holes are found to be identical, suggesting that electric charge does not affect the topological classification of rotating black holes. These findings lend further support to a previous conjecture by Wei et al., which proposes that all black hole configurations fall into three distinct topological categories—at least within the framework of Einstein–Maxwell gravity. Ref. [28] introduced a new topological class and two additional subclasses of black holes, expanding upon the four previously established categories identified by Wei et al. By interpreting black hole solutions as topological defects within thermodynamic parameter space, the study uncovers distinct stability patterns: the innermost small black holes in these new groups show an unstable-stable-stable progression, while the outermost large black holes consistently remain stable. These new classifications exhibit thermodynamic behavior—particularly at low and high Hawking temperatures—that significantly diverges from the earlier known types. The analysis highlights the complex thermodynamic evolution of static charged AdS black holes in gauged supergravity, which differs fundamentally from that of the Reissner–Nordström AdS black holes. From a topological viewpoint, this work underscores the value of exploring thermodynamic phase transitions in black holes—a largely underdeveloped area. Overall, these findings refine the existing classification scheme and deepen our understanding of black hole thermodynamics and the nature of gravity. Our research is motivated by the need to understand how quantum corrections derived from LQG influence the topological properties of BHs. Specifically, we investigate the thermodynamic topology of quantum-corrected AdS-Reissner-Nordström (RN) BHs in Kiselev spacetime, employing non-extensive entropy formulations derived from LQG. The quantum corrections to BH entropy within the LQG framework introduce a Tsallis parameter (the entropic index) that quantifies deviations from extensive thermodynamics, providing a natural setting to explore how quantum effects reshape the topological classification of BHs [29,30,31,32,33,34,35,36,37,38]. We apply the “F-method” to analyze the topological charges associated with these quantum-corrected BHs. This approach defines a generalized free energy and examines the behavior of associated vector fields to identify critical points and topological invariants. The distribution and nature of these topological charges provide crucial insights into the thermodynamic stability and phase transitions of BHs under quantum gravitational corrections [24,25,39]. Moreover, our investigation reveals that the Tsallis parameter plays a decisive role in determining the topological classification of BHs. For small values of (e.g., ), the system consistently exhibits a single topological charge , yielding a total topological charge . As increases to intermediate values (e.g., ), the topology undergoes a significant transformation, featuring two distinct topological charges and , resulting in a total topological charge . When approaches unity (), the system converges to the classical Bekenstein–Hawking entropy state, characterized by a single topological charge with a total charge [40,41].
The paper is organized as follows. Section 2 introduces the model for quantum-corrected AdS-RN BHs in Kiselev spacetime, outlining the metric structure, horizon function, and thermodynamic quantities. We also present the non-extensive entropy formulation derived from LQG, highlighting the role of the entropic index in quantifying quantum corrections. Section 3 develops the thermodynamic topology framework, introducing the F-method, vector fields, topological currents, and winding numbers essential for our analysis. We then systematically investigate the topological charges for different parameter values, particularly focusing on the influence of on the topological classification. Section 4 summarizes our findings and discusses their implications for understanding quantum gravitational effects on BH topology and thermodynamics.
2. The Model
The spacetime geometry for a quantum-corrected charged anti-de Sitter (AdS) BH, embedded within a cosmological fluid, is characterized by the following spherically symmetric metric [42]:
where represents the solid angle element, expressed as . The horizon function governing the spacetime structure is given by:
This formulation incorporates several key parameters: M represents the BH mass, a denotes the quantum correction parameter arising from LQG effects, ℓ corresponds to the characteristic length scale of the AdS background, c quantifies the influence of the surrounding cosmological fluid, Q represents the electric charge of the BH, and is the equation of state parameter of the cosmological fluid.
The structure of this metric builds upon recent theoretical advancements in BH physics. Notably, M. Visser has extended the Kiselev BH model to describe spacetimes with multiple fluid components, each characterized by a linear energy-pressure relation [43]. The quantum correction parameter a introduces a mass deformation effect that fundamentally alters the BH geometry at small scales, as elaborated in [44]. When , the metric reduces to the conventional AdS-RN BH surrounded by a cosmic fluid.
Although a is an independent parameter, its physically meaningful range is constrained to values less than the event horizon radius (), ensuring it functions as a perturbative modification to the BH structure rather than completely altering its fundamental nature. To gain insight into the metric’s behavior in the near-horizon region, we consider the small-radius approximation:
This approximation facilitates understanding of the near-horizon physics, crucial for the thermodynamic analysis that follows. The mass M of the BH can be determined by solving for the event horizon radius through the largest root of , ensuring it precedes any cosmological horizon. This yields the following:
The entropy associated with this quantum-corrected BH initially follows the classical Bekenstein–Hawking area law:
In our thermodynamic framework, the pressure is determined by the cosmological constant:
The Hawking temperature as a function of the horizon radius incorporates both quantum and fluid corrections:
The Hawking temperature is then obtained by taking the partial derivative of the mass with respect to the entropy S, keeping pressure P and charge Q constant:
This leads to the following expression for the temperature:
We use the entropy below that its modification has been investigated for an S given by LQG [37,42]:
where represents the entropic index that quantifies deviations from extensive thermodynamics. This parameter, originating from Tsallis non-extensive statistical mechanics, assesses the relative enhancement of frequent events compared to rare ones, providing a measure of the non-additivity of entropy in quantum gravitational systems. While itself is the Tsallis parameter, the overall entropy formulation becomes relevant to quantum gravity through the LQG-specific Barbero–Immirzi parameter embedded within . The parameter is defined as:
The Barbero–Immirzi parameter is a fundamental dimensionless constant in LQG that determines the spectrum of geometric operators. Depending on the gauge group chosen in LQG, this parameter typically assumes one of two discrete values:
In the context of scale-invariant gravity, however, can be treated as a free parameter. When is calibrated such that , the non-extensive entropy Formula (8) reduces to the standard Bekenstein–Hawking entropy in the limiting case where , thus establishing correspondence with the classical extensive thermodynamic regime.
This quantum-corrected entropy formulation has profound implications for BH thermodynamics and cosmological models, providing crucial insights into how quantum gravitational effects modify the thermodynamic behavior of BHs across different length scales. The interplay between the non-extensive parameter and the horizon geometry will be central to our topological analysis in subsequent sections.
3. Thermodynamic Topology
Thermodynamic topology provides a powerful mathematical framework for analyzing the topological properties of BHs and their thermodynamic behavior. This approach plays a crucial role in understanding phase transitions and stability conditions of gravitational systems. By examining topological charges and critical points, researchers can classify different BH phases and predict their evolution under varying physical conditions [24,25,38,39,40,41,45,46,47,48,49,50,51,52,53,54,55,56,57,58,59,60,61,62,63,64].
To investigate the topological classification of BHs, we employ the “F-method,” which defines the generalized free energy as [25]:
where represents the Euclidean time period, and its reciprocal denotes the ensemble temperature. It is important to note that the free energy formulation holds on-shell exclusively when , where is the Hawking temperature defined in Equation (7).
A fundamental quantity in our topological analysis is the vector field , given by [25]:
where the first component captures the thermodynamic response of the system to changes in the horizon radius, while the second component introduces angular dependence necessary for constructing a complete topological field. The behavior of this vector field is crucial for identifying critical points that characterize different thermodynamic phases of the BH.
A key characteristic of this vector field is that the component diverges when and , causing the vector field to extend outward at these limiting angles. The parameter ranges in our analysis are constrained to and , encompassing the physically relevant domain of BH configurations.
To quantify the topological properties, we define the topological current as:
where the components of the normalized vector field n are given by:
This normalization ensures that the topological invariants we derive are independent of the magnitude of the field, focusing instead on its directional properties. The topological current satisfies the conservation condition:
which expresses the fundamental principle that topological charges are conserved quantities.
To calculate specific topological invariants, we express the “topological number” via:
where this expression defines a topological current that identifies critical points or topological defects in a two-dimensional vector field . The two-dimensional Dirac delta function localizes this current to the zeros of , meaning is non-zero only where both components of vanish, which correspond to critical points related to phase transitions in thermodynamic topology. The vector field is defined over a 2D parameter space with coordinates , where is a thermodynamic variable (the black hole horizon radius) and is an auxiliary angular parameter. The term is the Jacobian current constructed from the derivatives of with respect to these coordinates, capturing how “winding” around its zeros. More precisely, the Jacobian current is defined via the antisymmetric Levi-Civita symbols acting on derivatives of , encoding the topological winding behavior or charge of the vector field at its singularities. So, the topological current exists only at the zeros of and its magnitude reflects the winding number of around those points, which correspond to topological phase transition in the system. Thus, the “Jacobi tensor” is defined as:
When we consider the specific case of , this expression simplifies to:
which represents the Jacobian determinant of the vector field. This equation demonstrates that the current is non-zero exclusively at points where , identifying these zero points as topologically significant locations in the parameter space.
The “total topological charge” W is obtained by integrating the following over the entire parameter space:
where denotes the “Hopf index,” which counts the number of vector loops in the -space, determines the orientation, and represents the “winding number” at each zero point of in the domain .
Based on the preceding discussion and the formulations given in Equations (4), (8), and (11), we derive the explicit expression for the free energy:
Additionally, for , we have the following:
To comprehensively investigate the topological properties of quantum-corrected BHs, we perform a systematic analysis for different values of the equation of state parameter . This parameter characterizes the surrounding fluid and significantly influences the thermodynamic behavior of the BH.
3.1.
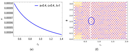
Figure 1 presents an extensive analysis of the relationship for , exploring various combinations of parameters a, c, and . The left panels (Figure 1a,c,e,g,i,k,m,o,q) display the curves, highlighting critical points where derivatives change sign. The right panels (Figure 1b,d,f,h,j,l,n,p,r) visualize the corresponding vector field configurations in the -plane, where blue contour loops indicate zero points (ZPs) of significant topological relevance.

Figure 1.
function for quantum-corrected AdS-RN BHs in Kiselev spacetime. The analysis is framed within the LQG and the normal vector field n specified in the -plane. The zero points (ZPs) of the system are located at , which depend on the free parameters of the model, with the charge parameter and , P = 0.001.
For (panels Figure 1a,b,g,h,m,n), we consistently observe a single ZP with a negative winding number , regardless of the values of a and c. This suggests that for small values of the Tsallis, the BH maintains a specific topological configuration characterized by thermodynamic instability. The location of this ZP shifts slightly with changing a and c, but its topological character remains invariant.
When increases to 0.8 (panels Figure 1c,d,i,j,o,p), a remarkable transition occurs. The system now exhibits two distinct ZPs with opposite winding numbers: and . These topological charges effectively cancel each other, resulting in a total charge of . This topological neutrality indicates a critical boundary between stable and unstable configurations, potentially marking a phase transition point in the thermodynamic phase space.
Finally, for (panels Figure 1e,f,k,l,q,r), which corresponds to the Bekenstein–Hawking entropy limit, the system transitions to a configuration with a single ZP characterized by a positive winding number . This indicates that as quantum corrections diminish and the system approaches classical behavior, the BH attains thermodynamic stability.
3.2.
Figure 2 extends our analysis to , representing a different cosmological fluid composition. Despite the change in , the topological pattern observed in Figure 1 persists. For (panels Figure 2a,b,g,h,k,l), a single ZP with dominates the topology. When (panels Figure 2c,d,m,n), two ZPs with opposite winding numbers emerge, yielding . For (panels Figure 2e,f,i,j,o,p), the system again exhibits a single ZP with .

Figure 2.
function for quantum-corrected AdS-RN BHs in Kiselev spacetime. The analysis is framed within the LQG and the normal vector field n specified in the -plane. The zero points (ZPs) of the system are located at , which depend on the free parameters of the model, with the charge parameter and , P = 0.001.
This consistency across different values of suggests that the Tsallis parameter exerts a more profound influence on the topological structure than the equation of state of the surrounding fluid. The persistence of this pattern indicates a universal aspect of quantum gravitational corrections to BH thermodynamics that transcends the specific details of the environmental medium.
3.3.
Figure 3 presents results for , representing a more exotic fluid composition with stronger negative pressure. The larger size of these plots allows for better visualization of the vector field structure. Panel Figure 3a and its corresponding vector field in Figure 3b show that for , a single topological defect with is present, consistent with our previous observations. As increases to 0.8 (panels Figure 3c,d), two distinct topological charges emerge, clearly visible as separate blue contour loops in the vector field representation. When (panels Figure 3e,f), the system reverts to a single topological charge, but now with , indicating a stable configuration.
Figure 3.
function for quantum-corrected AdS-RN BHs in Kiselev spacetime. The analysis is framed within the LQG and the normal vector field n specified in the -plane. The zero points (ZPs) of the system are located at , which depend on the free parameters of the model, with the charge parameter and , P = 0.001.
The more pronounced separation between the dual topological charges in panel Figure 3d suggests that more exotic fluid compositions amplify the topological transitions, making them more distinct in the parameter space. This could imply that BHs surrounded by exotic matter may exhibit sharper phase transitions under quantum gravitational effects.
3.4.
Figure 4 examines the cosmologically significant case of . In this scenario, it is important to note that there are two distinct contributions to the cosmological constant-like behavior: the intrinsic AdS cosmological constant term with pressure from Equation (6), and the Kiselev fluid contribution , which becomes when . While both terms have the same functional form , they represent physically distinct contributions: c quantifies the influence of the surrounding cosmological fluid, while ℓ characterizes the intrinsic AdS background geometry. In this scenario, the curves exhibit more pronounced extrema, particularly for (panel Figure 4c), where multiple inflection points are visible. The topological classification, however, maintains the established pattern: a single ZP with for (panels Figure 4a,b), dual ZPs with and for (panels Figure 4c,d), and a single ZP with for (panels Figure 4e,f).
Figure 4.
function for quantum-corrected AdS-RN BHs in Kiselev spacetime. The analysis is framed within the LQG and the normal vector field n specified in the -plane. The zero points (ZPs) of the system are located at , which depend on the free parameters of the model, with the charge parameter and , P = 0.001.
The consistency of this topological classification for suggests that the quantum gravitational effects captured by LQG transcend even the influence of dark energy-like components. This has profound implications for our understanding of BH thermodynamics in cosmological contexts, particularly in the late universe dominated by dark energy.
3.5.
Figure 5 presents results for , corresponding to pressureless dust. This represents a fundamentally different class of surrounding medium compared to the previously examined negative pressure fluids. Remarkably, even with this substantial change in the equation of state, the topological classification remains consistent with our earlier findings. The three distinct topological phases—a single negative charge for (panels Figure 5a,b), dual charges of opposite sign for (panels Figure 5c,d), and a single positive charge for (panels Figure 5e,f)—persist regardless of the surrounding medium.

Figure 5.
function for quantum-corrected AdS-RN BHs in Kiselev spacetime. The analysis is framed within the LQG and the normal vector field n specified in the -plane. The zero points (ZPs) of the system are located at , which depend on the free parameters of the model, with the charge parameter and , P = 0.001.
This invariance under changes in the fluid composition further reinforces our conclusion that the quantum gravitational corrections, parameterized by , exert the dominant influence on the topological structure of BH thermodynamics. The physical interpretation is profound: the discrete topological transitions induced by quantum gravity appear to be inherent to the BH itself rather than artifacts of its interaction with the surrounding medium.
3.6.
Our final set of analyses in Figure 6 examines , corresponding to radiation—a positive pressure fluid fundamentally different from all previously studied cases. Despite this radical shift in the equation of state, the topological classification maintains remarkable consistency with all prior results. The central ZP for (panels Figure 6a,b), the dual ZPs for (panels Figure 6c,d), and the central ZP for (panels Figure 6e,f) all preserve their respective winding numbers and total topological charges.
Figure 6.
function for quantum-corrected AdS-RN BHs in Kiselev spacetime. The analysis is framed within the LQG and the normal vector field n specified in the -plane. The zero points (ZPs) of the system are located at , which depend on the free parameters of the model, with the charge parameter and , P = 0.001.
This consistency across the entire examined range of values—from exotic negative pressure fluids to radiation—suggests a universality in how quantum gravitational corrections modify BH thermodynamics. The Tsallis parameter appears to induce topological phase transitions that are intrinsic to the quantum geometry of spacetime rather than dependent on the specific matter content surrounding the BH.
Within the LQG framework, the function has been examined for varying free parameters in the context of quantum-corrected AdS-RN BHs in Kiselev spacetime. This comprehensive analysis provides critical insights into the thermodynamic and topological behavior of BHs, particularly in relation to phase transitions and stability conditions. The normal vector field n defined within the plane characterizes the directional properties of the system’s topological structure, with the zero points (ZPs) representing locations where the vector field vanishes being determined by the free parameters that govern the system’s configuration.
The winding number, a fundamental topological invariant that quantifies how a field configuration wraps around a singularity or topological defect, is closely linked to the structural properties of the BH solution. It can be interpreted as the number of distinct topological states the BH transitions between, contingent on the parameters of the theory—particularly the LQG correction parameter .
Each ZP of the unit vector field—representing a particular configuration in BH spacetime—is associated with a winding number of either or . This characterization is instrumental in determining the local thermodynamic stability of the system: a positive winding number corresponds to a stable BH solution where the system maintains thermodynamic equilibrium under small perturbations, while a negative winding number indicates instability, suggesting that minor disturbances may lead to significant changes in the BH configuration.
Our results, illustrated in Figure 1, Figure 2, Figure 3, Figure 4, Figure 5 and Figure 6, highlight the underlying thermodynamic topology associated with LQG corrections. These figures reveal distinct ZPs indicating variations in topological charges and BH classification across different parameter regimes. The behavior of these charges is fundamentally influenced by the Tsallis parameter and shows remarkable consistency across different values of , a, and c.
In particular, the “topological charges,” directly connected to the winding number, are distributed within the “blue contour loops” positioned at coordinates in the vector field visualizations. The ordering and transformation of these contours are dictated by the parameter , demonstrating how quantum corrections reshape the BH topology in a universal manner regardless of the surrounding fluid composition.
Our comprehensive investigation into the classification of topological charges for different values of free parameters reveals that the Tsallis entropic index plays a pivotal role in determining the topological classification of BHs:
1. For small values of (i.e., ), the system consistently exhibits one topological charge at , with a total topological charge of across all examined fluid compositions. This suggests that strongly quantum-corrected BHs exist in a fundamentally unstable thermodynamic state.
2. When the Tsallis parameter is increased to , the topology undergoes a transformation. The system now features two distinct topological charges at and , leading to a total topological charge of . This transition indicates a critical boundary in the BH stability structure, potentially marking a phase transition point.
3. At , the system reduces to the Bekenstein–Hawking entropy state, marking a fundamental change in thermodynamic behavior. Under these classical conditions, a new classification emerges, featuring one topological charge at and a total topological charge of . This final state aligns with classical entropy formulations, confirming the transition into a more conventional thermodynamically stable framework.
These transformations, depicted consistently across all examined equation of state parameters in Figure 1, Figure 2, Figure 3, Figure 4, Figure 5 and Figure 6, provide a clear visualization of how quantum corrections influence BH thermodynamics. The interplay between and other free parameters highlights the critical role of quantum gravity corrections in determining phase stability and transitions, revealing a universal aspect of quantum BH physics that transcends the specific details of the surrounding medium.
4. Conclusions
In this study, we investigated the profound influence of LQG on the topological classification of BHs, specifically focusing on quantum-corrected AdS-RN BHs embedded in Kiselev spacetime. Our analysis employed non-extensive entropy formulations derived from LQG to examine how quantum gravity effects alter the thermodynamic topology and stability properties of these BH solutions. The results revealed a remarkable pattern of topological transitions governed primarily by the Tsallis parameter , with consistent behavior across diverse cosmological fluid compositions characterized by different equation of state parameters .
We began by establishing a comprehensive theoretical framework that incorporated quantum corrections into the spacetime metric through the parameter a and into the entropy formulation through the entropic index . The metric for our quantum-corrected charged AdS BH embedded in a cosmological fluid was given by Equation (1), with the horizon function defined in Equation (2). This metric structure accommodated both quantum deformations and environmental interactions, providing a rich setting for exploring topological properties.
The non-extensive entropy formulation, expressed in Equation (8), formed the cornerstone of our analysis. This expression, incorporating the Barbero–Immirzi parameter through the function defined in Equation (9), captured the deviation from extensive thermodynamics induced by quantum gravity effects. A key feature of this formulation is that it reduces to the classical Bekenstein–Hawking entropy in the limit , establishing a clear connection between the quantum and classical regimes.
To investigate the topological properties of these quantum-corrected BHs, we applied the “F-method,” which defines a generalized free energy according to Equation (11). This approach allowed us to construct a vector field as defined in Equation (12), whose zero points (ZPs) and winding numbers serve as topological invariants characterizing different BH phases. The total topological charge, computed via Equation (19), provided a global measure of the system’s topological state.
Our systematic analysis across different values of the equation of state parameter (−1/3, −2/3, −4/3, −1, 0, 1/3), the quantum correction parameters a (0.4, 0.7), c (0.4, 0.7), and (0.1, 0.8, 1) revealed a consistent pattern of topological transitions. This pattern, visualized in Figure 1, Figure 2, Figure 3, Figure 4, Figure 5 and Figure 6, demonstrated the dominant influence of the Tsallis parameter in determining the topological classification, transcending the specific details of the surrounding medium.
For , representing a strongly quantum-corrected regime, our analysis consistently identified a single topological charge with winding number and total charge across all examined values of , a, and c. This finding, evident in panels (b), (h), and (n) of Figure 1, panels (b), (h), and (l) of Figure 2, and corresponding panels in Figure 3, Figure 4, Figure 5 and Figure 6, indicates that BHs in this regime exist in a thermodynamically unstable state. The negative winding number suggests that small perturbations could lead to significant changes in the BH configuration, potentially triggering phase transitions or even instabilities.
As increased to 0.8, approaching but not yet reaching the classical limit, we observed a topological transformation characterized by the emergence of two distinct ZPs with opposite winding numbers: and . This dual-charge configuration, clearly visible in panels (d), (j), and (p) of Figure 1, panels (d) and (n) of Figure 2, and particularly pronounced in panel (d) of Figure 3, yielded a total topological charge of . This topological neutrality represents a critical boundary in the BH stability landscape, potentially marking a phase transition point where the system can evolve toward either stability or instability depending on external conditions.
When , corresponding to the Bekenstein–Hawking entropy limit, the system underwent another topological transition, now featuring a single ZP with winding number and total charge . This configuration, displayed in panels (f), (l), and (r) of Figure 1, panels (f), (j), and (p) of Figure 2, and equivalent panels in Figure 3, Figure 4, Figure 5 and Figure 6, indicates that as quantum corrections diminish and the system approaches classical behavior, the BH attains thermodynamic stability. The positive winding number suggests resistance to perturbations, maintaining equilibrium under small disturbances.
The consistency of these topological transitions across different values of , ranging from exotic negative pressure fluids () to radiation (), demonstrates the universal nature of quantum gravitational effects on BH thermodynamics. This universality suggests that the discrete topological changes induced by quantum gravity are intrinsic to the BH itself rather than artifacts of its interaction with the surrounding medium.
In Figure 3, representing a fluid with strong negative pressure, we observed particularly well-defined separations between the dual topological charges at (panel Figure 3d). This enhanced separation indicates that more exotic fluid compositions may amplify the visibility of topological transitions, potentially making them easier to detect observationally. The sharper delineation of topological structures in these exotic environments could provide a promising avenue for empirical tests of quantum gravity effects in astrophysical settings.
Figure 4 examined the cosmologically significant case of , corresponding to a dark energy-like fluid. The curves in this scenario exhibited more pronounced extrema, particularly for (panel Figure 4c), where multiple inflection points were visible. Despite these more complex thermodynamic profiles, the topological classification maintained the established pattern, reinforcing our conclusion that quantum gravitational effects transcend even the influence of dark energy-like components. This finding has profound implications for understanding BH thermodynamics in cosmological contexts, particularly in the late universe dominated by dark energy [65,66].
Our results align with recent studies investigating topological aspects of BH thermodynamics in various modified gravity theories. Wei, Liu, and Mann [25] pioneered the approach of treating BHs as topological thermodynamic defects, establishing a connection between phase transitions and topological invariants. Our work extends this concept to the quantum gravity regime, showing how LQG-induced corrections fundamentally alter the topological classification. Similarly, Sadeghi et al. [39] examined the topology of Bardeen BHs, finding distinct topological charges characterizing different thermodynamic phases. Our analysis reveals analogous topological structures in quantum-corrected AdS-RN BHs, suggesting a universal pattern of topological organization across different BH models.
The transition from a negative to a positive winding number as increases from 0.1 to 1 indicates a fundamental shift in the thermodynamic stability of the BH. This transition mirrors the findings of Wu and Wei [59], who identified similar topological shifts in quantum BTZ BHs. The intermediate state at , characterized by topological neutrality (), represents a critical boundary between stable and unstable configurations, potentially signaling a second-order phase transition as suggested by Gashti et al. [41] in their analysis of BHs within non-extensive entropy frameworks.
The persistence of our topological classification pattern across different values of suggests that quantum gravitational effects on BH topology are robust against changes in the surrounding medium. This robustness aligns with the results of Hazarika and Phukon [51], who found that certain topological features of BHs in modified gravity theories remain invariant under changes in ensemble. Our work extends this invariance to changes in the cosmological fluid composition, highlighting the fundamental nature of quantum gravity-induced topological structures.
The identification of distinct topological phases governed by the Tsallis parameter provides a novel perspective on quantum BH thermodynamics. Traditional approaches focus on thermodynamic quantities like temperature, heat capacity, and free energy to identify phase transitions. Our topological classification offers a complementary viewpoint, characterizing phases by their topological charges rather than just their thermodynamic properties. This approach, recently advocated by Afshar and Sadeghi [56] in their analysis of photon spheres, provides a more robust classification scheme that captures the essential geometric and topological features of different BH phases.
The convergence to a single positive topological charge () in the classical limit () across all examined fluid compositions suggests that classical BHs exhibit universal stability properties regardless of their environment. This universality complements the classical uniqueness theorems for BHs, extending them to the realm of thermodynamic stability. The emergence of negative and neutral topological charges in the quantum-corrected regimes reveals how quantum gravity effects can fundamentally alter these classical stability properties, introducing new phases and transitions not present in classical GR.
Our comprehensive analysis of the thermodynamic topology of quantum-corrected BHs provides valuable insights into the influence of LQG on BH physics. The identification of three distinct topological phases—a single negative charge for small , dual charges of opposite sign for intermediate , and a single positive charge for —establishes a clear connection between quantum gravity parameters and BH stability properties. This connection could potentially be observed through astrophysical signatures of BH thermodynamics, especially in environments with exotic equations of state.
Future research could extend our analysis to rotating BHs, higher-dimensional spacetimes, and more complex quantum gravity models. Additionally, exploring the observational consequences of these topological transitions could provide empirical tests of quantum gravity theories. The approach developed in this work, combining non-extensive entropy formulations with topological methods, offers a powerful framework for investigating the quantum nature of gravity and its impact on the fundamental properties of spacetime [38].
In conclusion, our study revealed that quantum corrections from LQG significantly alter the topological classification of BHs, providing novel insights into their phase transitions and thermodynamic stability in the quantum regime. The Tsallis parameter was found to be the primary driver of topological transitions, with consistent behavior across different fluid compositions. This universal pattern suggests a fundamental aspect of quantum gravity that transcends specific environmental details, pointing toward intrinsic properties of quantized spacetime geometry that manifest in the thermodynamic behavior of BHs.
Author Contributions
Conceptualization, S.N.G., İ.S. and B.P.; Methodology, S.N.G., İ.S., H.F., P.R. and B.P.; Formal analysis, S.N.G., İ.S., H.F., P.R. and B.P.; Investigation, S.N.G. and İ.S.; Writing—original draft, S.N.G., İ.S. and B.P. Writing—review editing, S.N.G., İ.S., H.F., P.R. and B.P.; Supervision, S.N.G., İ.S. and B.P. All authors have read and agreed to the published version of the manuscript.
Funding
The authors did not receive specific funding for this research.
Data Availability Statement
No new data were created or analyzed in this study. Date sharing is not applicable to this article.
Acknowledgments
We express our gratitude to the editor and reviewers for their valuable feedback on our manuscript. We have carefully addressed all editorial concerns and reviewer comments, which have significantly improved the quality and clarity of our work. İ.S. extends sincere thanks to TÜBİTAK, ANKOS, and SCOAP3 for their support in facilitating networking activities under COST Actions CA22113, CA21106, and CA23130.
Conflicts of Interest
The authors declare no conflicts of interest.
References
- Rovelli, C. Loop Quantum Gravity. Living Rev. Relativ. 2008, 11, 5. [Google Scholar] [CrossRef]
- Ashtekar, A.; Lewandowski, J. Background independent quantum gravity: A status report. Class. Quantum Gravity 2004, 21, R53. [Google Scholar] [CrossRef]
- Thiemann, T. Modern Canonical Quantum General Relativity; Cambridge University Press: Cambridge, UK, 2004. [Google Scholar]
- Baez, J.C. Spin network states in gauge theory. Adv. Math. 2004, 117, 253–272. [Google Scholar] [CrossRef]
- Rovelli, C.; Vidotto, F. Covariant Loop Quantum Gravity: An Elementary Introduction to Quantum Gravity and Spinfoam Theory; Cambridge University Press: Cambridge, UK, 2004. [Google Scholar]
- Rovelli, C. Quantum Gravity; Cambridge University Press: Cambridge, UK, 2004. [Google Scholar]
- Perez, A. The Spin Foam Approach to Quantum Gravity. Living Rev. Relativ. 2004, 16, 3. [Google Scholar] [CrossRef]
- Bojowald, M. Loop quantum cosmology. Living Rev. Relativ. 2004, 11, 4. [Google Scholar] [CrossRef] [PubMed]
- Ashtekar, A. Loop Quantum Cosmology: An Overview. Gen. Relativ. Gravit. 2009, 41, 707–741. [Google Scholar] [CrossRef]
- Agullo, I.; Singh, P. Loop Quantum Cosmology: A Brief Review. In Loop Quantum Gravity, 100 Years of General Relativity; Ashtekar, A., Pullin, J., Eds.; Springer: Cham, Switzerland, 2007; Volume 4. [Google Scholar]
- Ashtekar, A.; Baez, J.; Corichi, A.; Krasnov, K. Quantum geometry and black hole entropy. Phys. Rev. Lett. 1998, 80, 904. [Google Scholar] [CrossRef]
- Livine, E.R.; Terno, D.R. Quantum black holes: Entropy and entanglement on the horizon. Nucl. Phys. B 2006, 741, 131–161. [Google Scholar] [CrossRef]
- Rovelli, C. Black hole entropy from loop quantum gravity. Phys. Rev. Lett. 1996, 77, 3288. [Google Scholar] [CrossRef]
- Ashtekar, A. Symmetry reduced loop quantum gravity: A bird’s eye view. Int. J. Mod. Phys. D 2016, 25, 1642010. [Google Scholar] [CrossRef]
- Dapor, A.; Liegener, K. Cosmological coherent state expectation values in loop quantum gravity I. Isotropic kinematics. Class. Quantum Gravity 2018, 35, 135011. [Google Scholar] [CrossRef]
- Ashtekar, A.; Bojowald, M.; Lewandowski, J. Mathematical structure of loop quantum cosmology. Adv. Theor. Math. Phys. 2003, 7, 233. [Google Scholar] [CrossRef]
- Ashtekar, A.; Pawlowski, T.; Singh, P. Quantum nature of the big bang: Improved dynamics. Phys. Rev. D 2006, 74, 084003. [Google Scholar] [CrossRef]
- Ashtekar, A.; Bojowald, M. Quantum geometry and the Schwarzschild singularity. Class. Quantum Gravity 2005, 23, 391. [Google Scholar] [CrossRef]
- Modesto, L. Loop quantum black hole. Class. Quantum Gravity 2006, 23, 5587. [Google Scholar] [CrossRef]
- Corichi, A.; Singh, P. Loop quantization of the Schwarzschild interior revisited. Class. Quantum Gravity 2016, 33, 055006. [Google Scholar] [CrossRef]
- Bojowald, M. Singularities and Quantum Gravity. AIP Conf. Proc. 2007, 910, 294–333. [Google Scholar] [CrossRef]
- Ashtekar, A.; Corichi, A.; Singh, P. Robustness of key features of loop quantum cosmology. Phys. Rev. D 2008, 77, 024046. [Google Scholar] [CrossRef]
- Anand; Ankit; Gashti, S.N.; Singh, A. Thermodynamic curvature and topological insights of Hayward black holes with string fluids. Phys. Dark Universe 2025, 101994. [Google Scholar] [CrossRef]
- Wei, S.W.; Liu, Y.X. Topology of black hole thermodynamics. Phys. Rev. D 2022, 105, 104003. [Google Scholar] [CrossRef]
- Wei, S.W.; Liu, Y.X.; Mann, R.B. Black hole solutions as topological thermodynamic defects. Phys. Rev. Lett. 2022, 129, 191101. [Google Scholar] [CrossRef]
- Wei, S.-W.; Liu, Y.-X.; Mann, R.B. Universal topological classifications of black hole thermodynamics. Phys. Rev. D 2024, 110, L081501. [Google Scholar] [CrossRef]
- Di, W. Topological classes of rotating black holes. Phys. Rev. D 2023, 107, 024024. [Google Scholar] [CrossRef]
- Wu, D.; Liu, W.; Wu, S.Q.; Mann, R.B. Novel topological classes in black hole thermodynamics. Phys. Rev. D 2025, 111, L061501. [Google Scholar] [CrossRef]
- Tsallis, C. Possible generalization of Boltzmann-Gibbs statistics. J. Stat. Phys. 1988, 52, 479–487. [Google Scholar] [CrossRef]
- Tsallis, C. Introduction to Nonextensive Statistical Mechanics: Approaching a Complex World; Springer: New York, NY, USA, 2009. [Google Scholar]
- Abe, S. A note on the q-deformation-theoretic aspect of the generalized entropies in nonextensive physics. Phys. Lett. A 1997, 224, 326–330. [Google Scholar] [CrossRef]
- Curado, E.M.F.; Tsallis, C. Generalized statistical mechanics: Connection with thermodynamics. J. Phys. A Math. Gen. 1991, 24, L69. [Google Scholar] [CrossRef]
- Plastino, A.R.; Plastino, A. Stellar polytropes and Tsallis’ entropy. Phys. Lett. A 1993, 174, 384–386. [Google Scholar] [CrossRef]
- Tsallis, C.; Mendes, R.S.; Plastino, A.R. The role of constraints within generalized nonextensive statistics. Phys. A 1998, 261, 534–554. [Google Scholar] [CrossRef]
- Kaniadakis, G.; Lissia, M.; Scarfone, A.M. Two-parameter deformations of logarithm, exponential, and entropy: A consistent framework for generalized statistical mechanics. Phys. Rev. E 2005, 71, 046128. [Google Scholar] [CrossRef]
- Abe, S.; Okamoto, Y. (Eds.) Nonextensive Statistical Mechanics and Its Applications; Springer: Berlin/Heidelberg, Germany, 2001. [Google Scholar]
- Liu, Y. Non-extensive statistical mechanics and the thermodynamic stability of FRW universe. Europhys. Lett. 2022, 138, 39001. [Google Scholar] [CrossRef]
- Noori Gashti, S.; Pourhassan, B.; Sakalli, I. Thermodynamic topology and phase space analysis of AdS black holes through non-extensive entropy perspectives. Eur. Phys. J. C 2025, 85, 305. [Google Scholar] [CrossRef]
- Sadeghi, J.; Noori Gashti, S.; Alipour, M.R.; Afshar, M.A.S. Bardeen black hole thermodynamics from topological perspective. Ann. Phys. 2023, 455, 169391. [Google Scholar] [CrossRef]
- Noori Gashti, S.; Afshar, M.A.S.; Alipour, M.R.; Sekhmani, Y.; Sadeghi, J.; Rayimbaeva, J. Thermodynamic topology of Kiselev-AdS black holes within f (R, T) gravity. Chin. Phys. C 2025, 49, 035110. [Google Scholar] [CrossRef]
- Noori Gashti, S.; Pourhassan, B.; Sakalli, I.; Brzo, A.B. Thermodynamic topology and photon spheres of dirty black holes within non-extensive entropy. Phys. Dark Univ. 2025, 47, 101833. [Google Scholar] [CrossRef]
- Graça, J.M.; Capossoli, E.F.; Boschi-Filho, H.; Lobo, I.P. Joule-Thomson expansion for quantum corrected AdS-Reissner-Nördstrom black holes in a Kiselev spacetime. Phys. Rev. D 2023, 107, 024045. [Google Scholar] [CrossRef]
- Visser, M. The Kiselev black hole is neither perfect fluid, nor is it quintessence. Class. Quantum Gravity 2020, 37, 045001. [Google Scholar] [CrossRef]
- Kazakov, D.I.; Solodukhin, S.N. On Quantum deformation of the Schwarzschild solution. Nucl. Phys. B 1994, 429, 153–176. [Google Scholar] [CrossRef]
- Bai, N.C.; Li, L.; Tao, J. Topology of black hole thermodynamics in Lovelock gravity. Phys. Rev. D 2023, 107, 064015. [Google Scholar] [CrossRef]
- Yerra, P.K.; Bhamidipati, C. Topology of Born-Infeld AdS black holes in 4D novel Einstein–Gauss–Bonnet gravity. Phys. Lett. B 2022, 835, 137591. [Google Scholar] [CrossRef]
- Wu, D. Topological classes of thermodynamics of the four-dimensional static accelerating black holes. Phys. Rev. D 2023, 108, 084041. [Google Scholar] [CrossRef]
- Wu, D.; Wu, S.Q. Topological classes of thermodynamics of rotating AdS black holes. Phys. Rev. D 2023, 107, 084002. [Google Scholar] [CrossRef]
- Wu, D.; Gu, S.Y.; Zhu, X.D.; Jiang, Q.Q.; Yang, S.Z. Topological classes of thermodynamics of the static multi-charge AdS black holes in gauged supergravities: Novel temperature-dependent thermodynamic topological phase transition. J. High Energy Phys. 2024, 6, 213. [Google Scholar] [CrossRef]
- Gogoi, N.J.; Phukon, P. Thermodynamic topology of 4D dyonic AdS black holes in different ensembles. Phys. Rev. D 2023, 108, 066016. [Google Scholar] [CrossRef]
- Hazarika, B.; Phukon, P. Thermodynamic topology of D = 4,5 Horava Lifshitz black hole in two ensembles. Nucl. Phys. B 2024, 1006, 116649. [Google Scholar] [CrossRef]
- Hazarika, B.; Phukon, P. Thermodynamic Topology of Black Holes in f(R) Gravity. Prog. Theor. Exp. Phys. 2024, 2024, 043E01. [Google Scholar] [CrossRef]
- Wu, D. Consistent thermodynamics and topological classes for the four-dimensional Lorentzian charged Taub-NUT spacetimes. Eur. Phys. J. C 2024, 83, 589. [Google Scholar] [CrossRef]
- Hazarika, B.; Eslam Panah, B.; Phukon, P. Thermodynamic topology of topological charged dilatonic black holes. Eur. Phys. J. C 2024, 84, 1204. [Google Scholar] [CrossRef]
- Sadeghi, J.; Afshar, M.A.S. The role of topological photon spheres in constraining the parameters of black holes. Astropart. Phys. 2024, 157, 102994. [Google Scholar] [CrossRef]
- Afshar, M.A.S.; Sadeghi, J. Effective potential and topological photon spheres: A novel approach to black hole parameter classification. Chin. Phys. C 2024, 49, 035107. [Google Scholar] [CrossRef]
- Afshar, M.A.S.; Sadeghi, J. Mutual influence of photon sphere and non-commutative parameter in various non-commutative black holes: Towards evidence for WGC. Phys. Dark Univ. 2025, 47, 101814. [Google Scholar] [CrossRef]
- Wu, D. Classifying topology of consistent thermodynamics of the four-dimensional neutral Lorentzian NUT-charged spacetimes. Eur. Phys. J. C 2023, 83, 365. [Google Scholar] [CrossRef]
- Wu, S.P.; Wei, S.W. Thermodynamical topology of quantum BTZ black hole. Phys. Rev. D 2024, 110, 024054. [Google Scholar] [CrossRef]
- Hazarika, B.; Phukon, P. Thermodynamic properties and shadows of black holes in gravity. Front. Phys. 2025, 20, 35201. [Google Scholar]
- Rathi, H.; Roychowdhury, D. Topology of black hole phase transition in JT gravity. Phys. Lett. B 2025, 861, 139249. [Google Scholar] [CrossRef]
- Afshar, M.A.S.; Alipour, M.R.; Noori Gashti, S.; Sadeghi, J. Topological insights into black hole thermodynamics: Non-extensive entropy in CFT framework. Eur. Phys. J. C 2025, 85, 457. [Google Scholar] [CrossRef]
- Alipour, M.R.; Afshar, M.A.S.; Noori Gashti, S.; Sadeghi, J. Topological classification and black hole thermodynamics. Phys. Dark Univ. 2023, 42, 101361. [Google Scholar] [CrossRef]
- Noori Gashti, S.; Pourhassan, B. Non-extensive Entropy and Holographic Thermodynamics: Topological Insights. Eur. Phys. J. C 2025, 85, 435. [Google Scholar] [CrossRef]
- Carroll, S.M. The Cosmological Constant. Living Rev. Relativ. 2001, 4, 1. [Google Scholar] [CrossRef]
- Bull, P.; Akrami, Y.; Adamek, J.; Baker, T.; Bellini, E.; Jimenez, J.B.; Winther, H.A. Beyond ΛCDM: Problems, solutions, and the road ahead. Phys. Dark Univ. 2016, 12, 56–99. [Google Scholar] [CrossRef]
Disclaimer/Publisher’s Note: The statements, opinions and data contained in all publications are solely those of the individual author(s) and contributor(s) and not of MDPI and/or the editor(s). MDPI and/or the editor(s) disclaim responsibility for any injury to people or property resulting from any ideas, methods, instructions or products referred to in the content. |
© 2025 by the authors. Licensee MDPI, Basel, Switzerland. This article is an open access article distributed under the terms and conditions of the Creative Commons Attribution (CC BY) license (https://creativecommons.org/licenses/by/4.0/).