Low-Latitude Ionospheric and Geomagnetic Disturbances Caused by the X7.13 Solar Flare of 25 February 2014
Abstract
1. Introduction
2. Data and Methods
3. Results and Discussions
3.1. Solar X-Ray and EUV
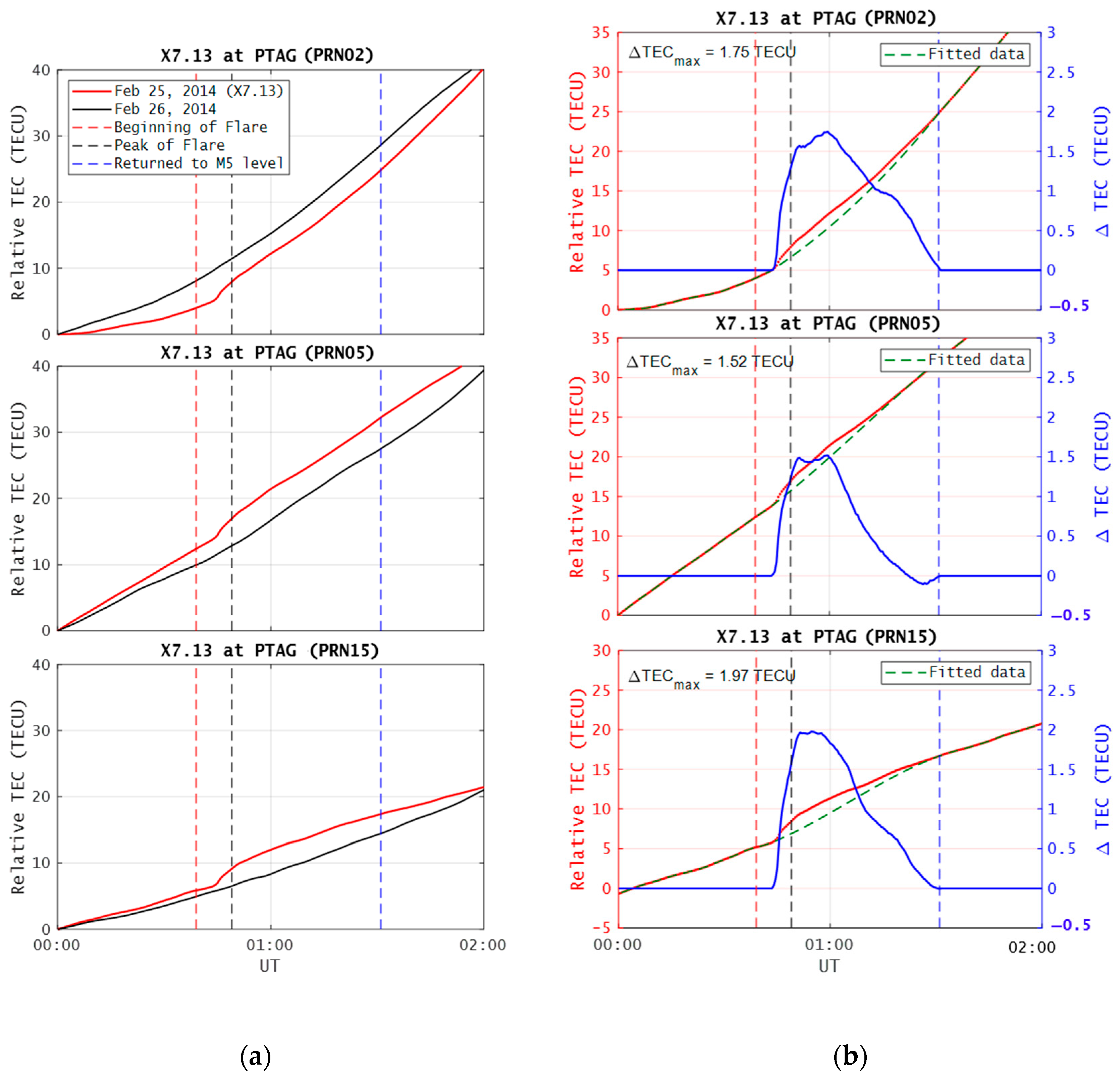
3.2. Total Electron Content
3.3. ΔH and EEJ
4. Conclusions and Recommendations
Author Contributions
Funding
Data Availability Statement
Acknowledgments
Conflicts of Interest
References
- Liu, L.B.; Wan, W.X.; Chen, Y.D.; Le, H.J. Solar activity effects of the ionosphere: A brief review. Chin. Sci. Bull. 2011, 56, 1202–1211. [Google Scholar] [CrossRef]
- Pavlov, A.V. Ion Chemistry of the Ionosphere at E- and F-Region Altitudes: A Review. Surv. Geophys. 2012, 33, 1133–1172. [Google Scholar] [CrossRef]
- Marov, M.Y.; Kuznetsov, V.D. Solar Flares and Impact on Earth. Handb. Cosm. Hazards Planet. Def. 2014, 1, 1–26. [Google Scholar] [CrossRef]
- Divinagracia, P.P.; Macalalad, E.; Guido, R.M.; Tucio, P.; Kalaw, J. Preliminary Analysis of Satellite Navigation Effects of the Strong Solar Flares during Solar Cycle 24. In Proceedings of the International Conference on Space Science and Communication (IconSpace), Selangor, Malaysia, 23–24 November 2021; pp. 109–112. [Google Scholar] [CrossRef]
- Benz, A.O. Flare Observations. Living Rev. Sol. Phys. 2017, 14, 2. [Google Scholar] [CrossRef]
- Richmond, A.D. The Ionosphere and Upper Atmosphere. Sun Auroras Magn. Storms Sol. Flares Cosm. Rays 2011, 50, 35–44. [Google Scholar] [CrossRef]
- Lysak, R.L. Electrodynamic Coupling of the Magnetosphere and Ionosphere. Space Sci. Rev. 1990, 52, 33–87. [Google Scholar] [CrossRef]
- Maglambayan, V.L.L.; Macalalad, E.P. Two-Dimensional Mapping of Ionospheric Total Electron Content over the Philippines Using Kriging Interpolation. Atmosphere 2022, 13, 1626. [Google Scholar] [CrossRef]
- Mendoza, M.M.; Macalalad, E.P.; Juadines, K.E.S. Analysis of the Ionospheric Total Electron Content during the Series of September 2017 Solar Flares over the Philippine—Taiwan Region. In Proceedings of the 2019 6th International Conference on Space Science and Communication (IconSpace), Johor Bahru, Malaysia, 28–30 July 2019; pp. 182–185. [Google Scholar] [CrossRef]
- Nagata, T. Characteristics of the Solar Flare Effect (Sqa) on Geomagnetic Field at Huancayo (Peru) and at Kakioka (Japan). J. Geophys. Res. 1952, 57, 1–14. [Google Scholar] [CrossRef]
- Yamazaki, Y.; Maute, A. Sq and EEJ—A Review on the Daily Variation of the Geomagnetic Field Caused by Ionospheric Dy-namo Currents. Space Sci. Rev. 2017, 206, 299–405. [Google Scholar] [CrossRef]
- Richmond, A.D. Ionospheric Wind Dynamo Theory: A Review. J. Geomagn. Geoelectr. 1979, 31, 287–310. [Google Scholar] [CrossRef]
- Wagner, C.U.; Möhlmann, D.; Schäfer, K.; Mishin, V.M.; Matveev, M.I. Large-scale electric fields and currents and related geomagnetic variations in the quiet plasmasphere. Space Sci. Rev. 1980, 26, 391–446. [Google Scholar] [CrossRef]
- Bolaji, O.S.; Oyeyemi, E.O.; Owolabi, O.P.; Yamazaki, Y.; Rabiu, A.B.; Okoh, D.; Fujimoto, A.; Amory-Mazaudier, C.; Seemala, G.K.; Yoshikawa, A.; et al. Solar Quiet Current Response in the African Sector due to a 2009 Sudden Stratospheric Warming Event. J. Geophys. Res. Space Phys. 2016, 121, 8055–8065. [Google Scholar] [CrossRef]
- Zhang, P.; Sun, Y.Y.; Chen, C.H.; Mao, Z. Two-Step Method for Determining the Solar Quiet Current Focus and the Validation Using Observing Procedure Experiment. Earth Space Sci. 2023, 10, e2022EA002572. [Google Scholar] [CrossRef]
- Lühr, H.; Alken, P.; Zhou, Y.L. The Equatorial Electrojet. In Ionosphere Dynamics and Applications; Wiley: Hoboken, NJ, USA, 2021; pp. 281–299. ISBN 9781119815617. [Google Scholar]
- Bhattacharyya, A. Equatorial Electrojet. In Encyclopedia of Solid Earth Geophysics; Springer: Cham, Switzerland, 2020; pp. 1–3. [Google Scholar] [CrossRef]
- Ismail, W.N.I.; Hamid, N.S.A.; Abdullah, M.; Yoshikawa, A.; Uozumi, T.; Radzi, Z.M. Comparison of EEJ Longitudinal Variation from Satellite and Ground Measurements over Different Solar Activity Levels. Universe 2021, 7, 23. [Google Scholar] [CrossRef]
- Chapman, S. The Equatorial Electrojet as Detected from the Abnormal Electric Current Distribution Above Huaneayo, Peru, and Elsewhere; SCIRP: Wuhan, China, 1951. [Google Scholar]
- Gopika, P.G.; Ambili, K.M.; Choudhary, R.K. The Response of the D and E Regions of the Equatorial Ionosphere to Solar Flare Events. J. Geophys. Res. Space Phys. 2021, 126, e2021JA029350. [Google Scholar] [CrossRef]
- Sripathi, S.; Balachandran, N.; Veenadhari, B.; Singh, R.; Emperumal, K. Response of the Equatorial and Low-Latitude Ionosphere to an Intense X-Class Solar Flare (X7/2B) as observed on 9 August 2011. J. Geophys. Res. Space Phys. 2013, 118, 2648–2659. [Google Scholar] [CrossRef]
- Machol, J.; Codrescu, S.; Peck, C. User’s Guide for GOES-R XRS L2 Products. Available online: https://www.ngdc.noaa.gov/stp/satellite/goes-r.html (accessed on 13 December 2024).
- Kataoka, R. Extreme Space Weather. Extreme Space Weather; Elsevier: Amsterdam, The Netherlands, 2022; pp. 1–176. [Google Scholar] [CrossRef]
- MacAlester, M.H. Extreme Space Weather and Emergency Management. Extrem. Events Geosp. Orig. Predict. Conseq. 2018, 1, 683–700. [Google Scholar] [CrossRef]
- Yamazaki, Y.; Matzka, J.; Stolle, C.; Kervalishvili, G.; Rauberg, J.; Bronkalla, O.; Morschhauser, A.; Bruinsma, S.; Shprits, Y.Y.; Jackson, D.R. Geomagnetic Activity Index Hpo. Geophys. Res. Lett. 2022, 49, e2022GL098860. [Google Scholar] [CrossRef]
- Matzka, J.; Stolle, C.; Yamazaki, Y.; Bronkalla, O.; Morschhauser, A. The Geomagnetic Kp Index and Derived Indices of Geomagnetic Activity. Space Weather 2021, 19, e2020SW002641. [Google Scholar] [CrossRef]
- Noll, C.E. The Crustal Dynamics Data Information System: A Resource to Support Scientific Analysis Using Space Geodesy. Adv. Space Res. 2010, 45, 1421–1440. [Google Scholar] [CrossRef]
- Singh, A.K.; Tiwari, S. Atmospheric Remote Sensing: Principles and Applications; Elsevier: Amsterdam, The Netherlands, 2022; pp. 1–462. [Google Scholar] [CrossRef]
- Wang, X.-L.; Wan, Q.-T.; Ma, G.-Y.; Li, J.-H.; Fan, J.-T. The Influence of Ionospheric Thin Shell Height on TEC Retrieval from GPS Observation. Res. Astron. Astrophys. 2016, 16, 116. [Google Scholar] [CrossRef]
- Chen, H.; Miao, M.; Chang, Y.; Wang, Q.; Shen, X.; Hattori, K.; Han, P. Singular Spectrum Analysis of the Total Electron Content Changes Prior to M ≥ 6.0 Earthquakes in the Chinese Mainland During 1998–2013. Front. Earth Sci. 2021, 9, 677163. [Google Scholar] [CrossRef]
- Ansari, K.; Sharma, S.K. Ionospheric TEC Variation Based on GNSS Data Over the Arabian Peninsula and Validation with the Cubic Spline Interpolated GIM Model. Adv. Space Res. 2021, 68, 3814–3820. [Google Scholar] [CrossRef]
- Maletckii, B.; Yasyukevich, Y.; Vesnin, A. Wave Signatures in Total Electron Content Variations: Filtering Problems. Remote Sens. 2020, 12, 1340. [Google Scholar] [CrossRef]
- Yizengaw, E.; Moldwin, M.B. African Meridian B-Field Education and Research (AMBER) Array. Earth Moon Planets 2009, 104, 237–246. [Google Scholar] [CrossRef]
- Yumoto, K.; Group, C. Characteristics of Pi 2 Magnetic Pulsations Observed at the CPMN Stations: A Review of the STEP Results. Earth Planets Space 2001, 53, 981–992. [Google Scholar] [CrossRef]
- Rastogi, R.G.; Klobuchar, J.A. Ionospheric Electron Content Within the Equatorial F2 Layer Anomaly Belt. J. Geophys. Res. 1990, 95, 19045–19052. [Google Scholar] [CrossRef]
- Sergeeva, M.A.; Maltseva, O.A.; Vesnin, A.M.; Blagoveshchensky, D.V.; Gatica-Acevedo, V.J.; Gonzalez-Esparza, J.A.; Chernov, A.G.; Orrala-Legorreta, I.D.; Melgarejo-Morales, A.; Gonzalez, L.X.; et al. Solar Flare Effects Observed over Mexico during 30–31 March 2022. Remote Sens. 2023, 15, 397. [Google Scholar] [CrossRef]
- Pandey, K.; Chakrabarty, D.; Kumar, A.; Bhardwaj, A.; Biswal, S.; Hussey, G.; Yadav, A. Characteristics of X-Class Flares of Solar Cycles 23 and 24 in X-Ray and EUV Bands. Adv. Space Res. 2023, 71, 5438–5452. [Google Scholar] [CrossRef]
- Saharan, S.; Maurya, A.K.; Dube, A.; Patil, O.M.; Singh, R.; Sharma, H. Low latitude ionospheric TEC response to the solar flares during the peak of solar cycle 24. Adv. Space Res. 2023, 72, 3890–3902. [Google Scholar] [CrossRef]
- Tsurutani, B.T.; Judge, D.L.; Guarnieri, F.L.; Gangopadhyay, P.; Jones, A.R.; Nuttall, J.; Zambon, G.A.; Didkovsky, L.; Mannucci, A.J.; Iijima, B.; et al. The 28 October 2003 Extreme EUV Solar Flare and Resultant Extreme Ionospheric Effects: Comparison to Other Halloween Events and the Bastille Day Event. Geophys. Res. Lett. 2005, 32, 1–4. [Google Scholar] [CrossRef]
- Mahajan, K.K.; Lodhi, N.K.; Upadhayaya, A.K. Observations of X-Ray and EUV Fluxes During X-Class Solar Flares and Response of Upper Ionosphere. J. Geophys. Res. 2010, 115, 12330. [Google Scholar] [CrossRef]
- Donnelly, R.F. Empirical Models of Solar Flare X Ray and EUV Emission for Use in Studying Their and Region Effects. J. Geophys. Res. 1976, 81, 4745–4753. [Google Scholar] [CrossRef]
- Zhang, D.; Xiao, Z.; Chang, Q. The Correlation of Flare’s Location on Solar Disc and the Sudden Increase of Total Electron Content. Chin. Sci. Bull. 2002, 47, 82–85. [Google Scholar] [CrossRef]
- Thomson, N.R.; Clilverd, M.A. Solar Flare Induced Ionospheric D-Region Enhancements from VLF Amplitude Observations. J. Atmos. Sol.-Terr. Phys. 2001, 63, 1729–1737. [Google Scholar] [CrossRef]
- Rastogi, R.G.; Pathan, B.M.; Rao, D.R.K.; Sastry, T.S.; Sastri, J.H. Solar Flare Effects on the Geomagnetic Elements During Normal and Counter Electrojet Periods. Earth Planets Space 1999, 51, 947–957. [Google Scholar] [CrossRef]
- Zhang, R.; Liu, L.; Le, H.; Chen, Y. Equatorial Ionospheric Electrodynamics During Solar Flares. Geophys. Res. Lett. 2017, 44, 4558–4565. [Google Scholar] [CrossRef]
- Chakrabarty, D.; Bagiya, M.S.; Thampi, S.V.; Pathan, B.M.; Sekar, R. Signatures of Moderate (M-Class) and Low (C and B Class) Intensity Solar Flares on the Equatorial Electrojet Current: Case studies. J. Atmos. Sol.-Terr. Phys. 2013, 105–106, 170–180. [Google Scholar] [CrossRef]







Disclaimer/Publisher’s Note: The statements, opinions and data contained in all publications are solely those of the individual author(s) and contributor(s) and not of MDPI and/or the editor(s). MDPI and/or the editor(s) disclaim responsibility for any injury to people or property resulting from any ideas, methods, instructions or products referred to in the content. |
© 2025 by the authors. Licensee MDPI, Basel, Switzerland. This article is an open access article distributed under the terms and conditions of the Creative Commons Attribution (CC BY) license (https://creativecommons.org/licenses/by/4.0/).
Share and Cite
Domingo, Z.N.C.; Macalalad, E.P.; Yoshikawa, A. Low-Latitude Ionospheric and Geomagnetic Disturbances Caused by the X7.13 Solar Flare of 25 February 2014. Universe 2025, 11, 70. https://doi.org/10.3390/universe11020070
Domingo ZNC, Macalalad EP, Yoshikawa A. Low-Latitude Ionospheric and Geomagnetic Disturbances Caused by the X7.13 Solar Flare of 25 February 2014. Universe. 2025; 11(2):70. https://doi.org/10.3390/universe11020070
Chicago/Turabian StyleDomingo, Zane Nikia C., Ernest P. Macalalad, and Akimasa Yoshikawa. 2025. "Low-Latitude Ionospheric and Geomagnetic Disturbances Caused by the X7.13 Solar Flare of 25 February 2014" Universe 11, no. 2: 70. https://doi.org/10.3390/universe11020070
APA StyleDomingo, Z. N. C., Macalalad, E. P., & Yoshikawa, A. (2025). Low-Latitude Ionospheric and Geomagnetic Disturbances Caused by the X7.13 Solar Flare of 25 February 2014. Universe, 11(2), 70. https://doi.org/10.3390/universe11020070

