Abstract
The entire classical cosmological history between two extreme de Sitter vacuum solutions is discussed based on Einstein’s equations and non-equilibrium thermodynamics. The initial non-singular de Sitter state is characterised by a very high energy scale, which is equal or smaller than the reduced Planck mass. It is structurally unstable, and all of the continuous created matter, energy, and entropy of the material component comes from the irreversible flow powered by the primeval vacuum energy density. The analytical expression describing the running vacuum is obtained from the thermal approach. It opens a new perspective to solve the old puzzles and current observational challenges plaguing the cosmic concordance model driven by a rigid vacuum. Such a scenario is also modelled through a non-canonical scalar field. It is demonstrated that the resulting scalar field model is shown to be a step-by-step a faithful analytical representation of the thermal running vacuum cosmology.
PACS:
98.80.-k; 95.36.+x
1. Introduction
Since long ago, investigations on de Sitter and quasi-de Sitter cosmic solutions have attracted much attention along different research lines. Such studies were somewhat inspired by the possible avoidance of the primeval singular state ordinarily predicted by “big-bang” models, and the decaying vacuum emerging from a plethora of inflationary models driven by scalar fields including or excluding quadratic corrections to Einstein gravity [1,2,3,4,5,6,7]. A different approach analysed the possible creation of the universe from “nothing” (in the sense of Vilenkin [8]), with the classical universe emerging as a de Sitter solution from an expected, but still observationally unavailable, quantum gravity regime. This primeval state without ordinary matter may be characterised by a physical energy scale, , or equivalently, by a vacuum energy density, , where GeV is the reduced Planck mass (in our units, ).
It is also widely known that a non-singular de Sitter spacetime is structurally unstable both from quantum and classical viewpoints, at least due to three different effects: quantum corrections on the geometric sector of general relativity [4], the existence of thermal fluctuations [9], and the process of gravitational particle creation in the expanding universe [7,10,11,12,13,14], Henceforth, due to its simplicity and interesting physical consequences for the evolution of the emergent classical initial vacuum state, the presence of thermal instabilities conjoined with an irreversible flow of energy, matter, and entropy forming the thermal bath will be taken for granted. Additional reasons will be outlined ahead.
More recently, independent astronomical observations have shown that the cosmic concordance model (CDM + Inflation) provides a quite reasonable and predictive description of the current universe driven by a rigid vacuum energy density, . However, the incredible discrepancy with what is expected from quantum field theory (QFT) as compared to current astronomical observations, , gave rise to the cosmological constant problem (CCP) [15]. Furthermore, according to the cosmic concordance model, the dominance of rigid vacuum (, where is the matter density) took place at a redshift (see, e.g., [16]) thereby leading to the so-called coincidence problem (CP). Another well-known consequence of the rigid vacuum CDM cosmology is the inexorable evolution of the current universe to a final de Sitter spacetime. Here, it is characterised by an extremely low vacuum energy density, say, , where the Hubble parameter provides the final de Sitter constant energy scale, which will be attained only for .
Currently, the standard rigid vacuum cosmology is also being observationally challenged by the and tensions. In the case of , local determinations of the Hubble constant () using Cepheid-calibrated supernovae of the SHOES collaboration [17], measurements at intermediate redshifts from a combination of tests [18,19] and strong lensing time-delays [20], which, in comparison with the independent prediction of Planck collaboration plus CDM, shows a clear-cut tension around 5 [21]. In addition, estimates based on cosmic shear evaluations from weak lensing are favouring values of the parameter , where measures the current mass fluctuation in 8 h−1Mpc, which are lower than the ones provided by early time probes [22,23,24].
In this context, it seems natural to advocate that the whole classical evolution of the universe would be analytically described between two de Sitter stages defined by a pair of extreme and constant energy scales, and . In this case, for all theoretical purposes, we may also consider that the second de Sitter vacuum state of very low energy density is the true vacuum state. In certain sense, the structural instability of the primeval de Sitter () is somewhat driving the evolution of the observed universe to its ‘ground state’, corresponding to the final de Sitter vacuum, , where the sub-index 0 refers to present day quantities. Thus, it is not surprising that a lot of attention has been paid to running vacuum cosmologies in the last decade by several reasons, among them: (i) a simple solution to the singularity problem, as well as the old CCP and CP puzzles; (ii) a complete cosmology (from de Sitter to de Sitter) with two accelerating stages driven by the same actor, described by the running vacuum energy density, , departing slightly at all phases from the rigid vacuum model plus slow-roll inflation; and (iii) a possible solution to the current and observational tensions plaguing the current standard cosmology provided by the CDM model, which at late times model is driven by a rigid vacuum [25,26,27,28,29,30,31,32].
As we shall see, a suitable -term uniting both de Sitter phases can be deduced using non-equilibrium thermodynamics and the Einstein field equations (EFE). The classical evolution of the universe can also be analytically described, and some of the questions outlined above are answered. Perhaps more interestingly, we demonstrate that a minimally coupled ordinary scalar field cannot describe the irreversible two-fluid approach of the running vacuum scenario. However, the whole evolution can perfectly be mimicked by a single minimally coupled non-canonical field when interpreted as a mixture of two minimally coupled interacting perfect fluids [33,34,35,36,37,38,39,40,41,42].
The paper is organised as follows. In Section 2, we set up the Einstein equations for an interacting mixture of running vacuum medium plus a perfect fluid. In Section 3, the irreversible thermodynamic approach for such a mixture is discussed in detail. In particular, by taking into account only the thermal effects of the interacting mixture, a viable expression for (H) is phenomenological deduced based on Einstein’s equations and non-equilibrium thermodynamics. The equation governing the entire classical evolution of the universe from to is also determined. Section 4 is dedicated to the basic results of the cosmic eras, and the solutions to some cosmological problems are also discussed. In Section 5, a representation of the whole process in terms of a non-canonical scalar field and the associated dynamics is investigated. The article is closed in Section 6 with the final comments and conclusions. In Appendix C, the two basic parameters of the non-canonical scalar field potential are calculated in terms of , , , and the mass scale (M) of the scalar field.
2. Basic Equations
In what follows we consider a class of Friedmann–Lemaître–Roberson–Walker (FLRW) cosmologies described by a flat geometry:
where is the scale factor. In such a background, the EFE for a perfect fluid plus a running vacuum can be written as
where and p are the energy density and pressure of the ordinary fluid component, while a dot means a comoving time derivative. Now, by adopting the “-law” equation of state (EoS),
it is readily seen that Equations (2)–(4) imply that the cosmic dynamics is driven by the “H-equation of motion”
where is the vacuum density parameter.
In principle, for , it is possible to have two extreme de Sitter solutions () describing the initial and final vacuum states (say, and ) and, as such, two accelerating cosmic states (early and late time inflation) may result from the same actor [26,27,32]. The initial de Sitter spacetime () works like a “repeller” (unstable solution) at early times. However, due to the cosmic evolution, energy, particles and entropy are continuously being transferred to the fluid component, thereby giving rise to an attractor de Sitter spacetime in the distant future, characterised by a very low energy scale (). Accordingly, implies that the fluid energy densities for both extreme scales are nullified, i.e., .
Of course, the complete evolution driven by Equation (5), linked to the subsequent radiation-vacuum and matter-vacuum dominated phases, only comes out if the expression for is known. Next, it will be derived by combining the EFE, non-equilibrium thermodynamics, and the limiting ‘boundary’ constraints provided by the extreme de Sitter solutions.
3. Running Vacuum: A Thermal Approach
Let us now consider the energy flow from the decaying vacuum creating particles and entropy to the fluid component. Following standard lines, the thermodynamic states for the interacting mixture is defined by the energy conservation law () and the balance equations for the number of particles and entropy fluxes, and :
where n and s are the particle concentration and entropy density, and is the particle creation rate, being the same for particle number and entropy. Thus, the entropy of the fluid is also a pure consequence of the decaying vacuum and, as such, the bulk viscosity process and gravitational matter creation have been neglected [43]. In principle, one may argue that the second law of thermodynamics should be applied for both components. However, the vacuum fluid behaves like a condensate carrying no entropy, as happens in the two-fluid description ordinarily employed in superfluid dynamics [44]. The vacuum state is assumed to have energy, but no entropy and real particles.
In the course of the decaying vacuum process, one may see from (7) and (8) that the specific entropy, , remains constant (). Such an interesting result becomes more clear when rewritten as (see Appendix A):
This inequality implies that the decaying vacuum (due to its own energy density) can only produce matter in the space-time (), while the reverse process is thermodynamically forbidden.
The condition has another remarkable consequence. Actually, by combining Gibbs’ law, , with (4) and (5), we find a key result in this framework:
The second equality above is a typical first-order thermodynamic relation uniting the stress (“flux”) to its thermodynamic force . The above coefficient of is the fluid enthalpy density which, due to the weak energy condition, satisfies the inequality .
Notice that by adding EFE (2) and (3), we find , which means that . Thus, since from Equation (9), it follows that the constraint must be obeyed. In this thermal approach, a decaying vacuum from the primeval de Sitter state is also required by the second law of thermodynamics.
Now, by inserting h into Equation (10), a new and interesting result is derived:
where B is a constant to be fixed by the de Sitter ‘boundary conditions’. To the best of our knowledge, the above integral expression defining (H) in terms of the creation rate has not been found before. Thus, in order to obtain a complete description (from to ), an expression for needs to be specified.
At this point, it should be remarked that, until now, only classical macroscopic tools were explored, namely EFE and non-equilibrium thermodynamics. It is also well known that particle creation from a perturbed vacuum state is essentially a microscopic phenomenon. Hence, from a more rigorous viewpoint, an expression for in this context cannot be macroscopically deduced. Nevertheless, under the proviso that the dimension of , a simple possibility would be , where the factor 3 is introduced for mathematical convenience, and is a dimensionless positive free parameter, in principle, restricted on the interval .
Furthermore, such a linear expression generates a term . However, it is not enough for describing the unified cosmic history from de Sitter to de Sitter, since it generates a singular initial state [38]. At late times, due to the very low expansion rate, is taken as a constant parameter. However, it may be a function of H at early times, thereby implying a more intense transference of energy, particles, and entropy to the material component. This is needed for the formation of the primeval thermal bath, both in the macroscopic approach [26] and for a possible scalar field description [45].
In this connection, a renormalized vacuum energy density proportional to has been derived long ago [7]. This is also the next term obtained by Shapiro and Solà based on the covariance of the renormalized action [46]. From Equation (11), we also see that a term proportional to can also be generated by a creation rate . Therefore, inspired by such studies, and also some ad hoc treatments for [25,26,32], a quadratic correction, namely , where the arbitrary , is added to the natural term, based on dimensional grounds. In particular, for it follows that
whereas , as given by Equation (11), reads:
As a simple check of such expressions, one may compute directly (see Appendix B for a more detailed calculation, including both de Sitter boundary conditions).
Now, it is easy to see that the expressions for the density parameters take the form
where is the matter density parameter. Now, by inserting or into Equation (5), it is readily seen that the classical evolution of the model between the two extreme de Sitter phases is governed by
The above equation depends on two pairs of positive parameters () and two energy scales (). Like in the rigid vacuum model, is differently fixed by the description of the cosmic eras (radiation) and (dust). So, it cannot rigorously be considered a new free parameter. For the remaining three parameters, we remark that the energy scale has a natural upper bound given by the reduced Planck mass (see Section 1), while the final scale can be determined in order to solve the CCP problem, by assuming, for instance, that . It can also be calculated by the model in terms of .
Figure 1 schematically displays the complete evolution of the whole classical scenario. Observe that Equation (16) remains valid, even for , since this minimal model is also defined by the same extreme constant physical scales (, ). The only difference is that the late time evolution for happens in such a way that CMB photons are not produced any more. Moreover, it is easy to see that the scenario becomes the standard, rigid CDM cosmology, described here in terms of the constant final scale . Thus, only the early inflationary stage is modified, because it started from a pure de Sitter vacuum solution. The details of each transition describing the evolution (from de Sitter to de Sitter) through different cosmic eras will be discussed next.
Figure 1.
From de Sitter to de Sitter (out of visible scale). Just after the unknown quantum gravity regime, all the energy of the universe is concentrated on the emergent and unstable de Sitter spacetime (). The classical evolution shown above is analytically described by the decaying model, as given by Equation (13), which is the unique fuel of both inflationary stages. Since is a continuous function, the equilibrium redshift is determined in the usual way (sudden transition), with a small contribution by the parameter, as discussed in Equation (32). For all allowed values of , the ultimate destiny of the model is the pure de Sitter vacuum state fixed by . However, it is attained only in the distant future (), as shown in Equation (26). For , the late time evolution after is just the rigid vacuum CDM model.
4. Cosmic Eras
4.1. From Initial Pure de Sitter Vacuum to Radiation-Vacuum Phase
In the primeval universe, the EoS parameter is , and the Hubble scale is restricted on the interval . In this limit, Equation (16) reduces to
whose solution in terms of the scale factor reads
where is an integration constant.
In the same limits for H given above, we see that the vacuum energy density reduces to
and by inserting solution Equation (18) for into the above expression, we obtain
where .
The radiation energy density can be obtained by using use the value of , or even the Friedmann Equation EFE (2), and combining the result with the above solution. It follows that
Note that all of the above equations are in agreement with the physical limits. In particular, for , , as expected for a pure de Sitter vacuum state. In this scenario, the classical instability of the initial de Sitter state, which is analytically described by Equation (18), is the unique source of the primeval thermal bath.
Let us now examine, in more detail, when this running model performed its transition from the very early inflation dominated by the vacuum state to the radiation-vacuum phase. In principle, since , this must happen for a value of (see also Figure 1), which is determined by the equality of the energy density of both components, i.e., . From Equations (19) and (21), one finds
The meaning of the result can also be understood by taking the deceleration parameter into account. By definition,
where, in the last equality, we have used the ‘H-equation of motion’. For ending inflation () at , the above equation yields , which is exactly the same value determined by the densities equality condition. Therefore, different from many adiabatic scalar field models, the value of provides both the end of inflation and the beginning of the radiation dominated phase.1
It should also be remarked that some observations constrain the values of to be much smaller than unity [47]. This is an advantage of such models, since the evolution after entering the radiation-vacuum phase is not too drastically different from CDM. The same occurs at low redshifts when . In this connection, recent studies have also pointed out that a possible explanation to the current and tensions require mildly deviations of CDM both at early and late times [23,24,30].
4.2. From Radiation-Vacuum to Matter-Vacuum Dominated Phase
In this limit, we assume and , so that Equation (16) now boils down to
whose solution is given by
where the integration constant D is readily obtained computing the current value of Equation (26). For the sake of simplicity, we fix , and defining , it follows that . The above expression also shows that the ultimate value of the Hubble parameter () is attained only in the distant future, , or equivalently, .
Note also that in the same limit, from Equation (13) and the first EFE, the vacuum and matter (dust) energy densities are easily obtained:
Now, let us determine the transition redshift, which generalises the time of radiation-matter equivalence of the rigid vacuum model. Here, we take it to be , which is akin to . We will derive this result from the evolution of the temperature law in the presence of a decaying which, for and , is given by [41]
At this time, the initial vacuum () is almost completely depleted, since the transition radiation-matter should occur at the end of the radiation phase. In addition, since for an ‘adiabatic’ decaying vacuum, the equilibrium relations of the CMB are preserved, i.e., and . This means that the radiation energy density and temperature are related by
where is the present day radiation energy density and in the second equality was used the temperature law Equation (29). In addition, by taking the equality between radiation and matter density, we obtain the transition redshift ,
where, in the approximation, we have used that . For , and inserting the observational values, and , we obtain , which is the same result obtained in the case of the rigid vacuum, CDM model. Hence, there is a small correction for whose value may be determined by constraining from current observations.
At this point, it is interesting to know when the beginning of the second accelerating stage of the universe in the dust-vacuum phase happens, i.e., when (see Figure 1). The deceleration parameter now reads
so that leads to
Note also that the scale can be obtained in terms of from the expression of , as given by Equation (15). For , we find
where the value of in Equation (35) has been used. For small values of , it follows that the final de Sitter is nearly characterised by .
In the matter-vacuum dominated era, it is also convenient to rewrite the expression of the Hubble parameter Equation (26) in terms of the current observable quantities. One finds
Note that, in the limit , the same value of Equation (35) obtained by a different way is recovered. The above equation resembles the expression for the Hubble parameter in the rigid model, becoming exactly the same for . In addition, by defining , the above equation becomes
4.3. Solving Some Cosmological Problems
Historically, the ‘Big-Bang’ singularity predicted by classical general relativity has been considered one of the most challenging cosmological problems. Since long ago, some authors suggested that a natural classical solution in the general relativistic domain comes out whether the universe starts like a de Sitter spacetime, and evolves to a radiation dominated phase (see also, e.g., [3]), similarly to what is proposed here. However, differently from several inflationary solutions, the present scenario does not need a super-cooling process followed by an extreme reheating mechanism in order to solve the horizon and flatness (entropy) problems. In particular, the so-called ‘graceful exit’ problem is absent (in this connection, see also [45]).
The cosmic evolution in the long run ( to ) also suggests an interesting perspective to the some cosmological constant problem. Particularly, the ratio between the extreme vacuum energy densities reads
Hence, the problem is now reduced to the ratio between two constant scales. From the above calculated result for , and assuming two different values for the initial scale (say and Gev, associated with the Grand Unified Theory (GUT) scale), the values of the above ratio are and , respectively. Such results are in agreement with naïve expectations from quantum field theory. However, as remarked before, the correct value of the inflationary scale still needs an accurate observational determination from the B-mode power spectrum of CMB [48].
One may also advocate that the coincidence problem is also naturally solved in our scenario. Its naturalness arises because for two different phases. Actually, at the end of the first inflationary phase when it is easily checked that . Moreover, deep in the matter dominated phase, the second accelerating stage vacuum started when with . Hence, such ‘coincidences’ can also be seen as a kind of necessity, i.e., a natural consequence of an evolution between two extreme de Sitter solutions (i.e., the same actor) constrained by two definite scales.
It is also interesting to investigate whether this classical non-singular cosmology (from de Sitter to Sitter), driven by a running vacuum component, can also be described in terms of a scalar field. This point will be investigated in detail next section.
5. Running Vacuum Cosmology: A Non-Canonical Scalar Field Description
Let us now consider a pure scalar field minimally coupled with gravity. In the framework of general relativity, the total action for a non-canonical field can be written as
where is a functional of the standard kinetic term .
In what follows, it will be assumed that the dominant energy contribution in the primeval universe comes from the non-canonical scalar field, which is described by the Lagrangian [49]
where the scale M has dimension of mass, is the potential, and a real positive number. The energy–momentum tensor (EMT), − , is diagonal, with components
where is a non-canonical kinetic term, and a dot means a time derivative. It is also easy to show that the following equation of motion drives the evolution of the non-canonical scalar field:
which can also be obtained from the total energy conservation law ().
Let us now prove that a canonical scalar field cannot describe both the smooth dynamic and thermodynamics of a running (H)-term (from de Sitter to de Sitter), as discussed in the previous sections.
5.1. The Failure of the Canonical Case
The generic non-canonical Lagrangian Equation (40) can also be seen as non-linear extension of the ordinary scalar field Lagrangian, which is readily recovered by taking in Equation (40). One finds
As should be expected, the energy density (41) and pressure (42) of the field now reduces to
where and are, respectively, the kinetic energy density and pressure of the ordinary canonical scalar field.
On the other hand, it is also widely known that such a scalar field can be interpreted as a mixture of two interacting perfect fluids with different equations of state, namely a material Zeldovich’s stiff fluid [50], where (), plus a pure vacuum (-term) obeying an EoS (see, e.g., ref. [51] for a more detailed discussion with examples). Therefore, as happens in the running vacuum model, by assuming that both components are gravitationally coupled, in principle, there will be no local energy–momentum conservation for each perfect fluid component separately. Only the total energy–momentum tensor of the system as a whole is conserved.
Nevertheless, under such an interpretation, whether the potential of the unstable vacuum dominates (maximum scale ) and decays spontaneously through a non-adiabatic decaying process conserving the specific entropy (as discussed in Section 3), the energy stored in the field will be transferred to a stiff component. In this way, the standard thermal bath formed by ultra-relativistic particles () is not generated. An inevitable consequence is that a new phase transition needs to be hypothesised (perhaps through a new coupling term), thereby forcing the formation of a thermal bath, with the universe finally entering in the standard radiation phase. Naturally, in this case, the two-fluid description without additional assumption is unable to faithfully describe the complete scenario driven by the running vacuum cosmology.
Such a scenario will happen naturally when the coherent field oscillation phase is absent, with the vacuum field ( term) continuously approaching its final, very low (but finite!) value, which is defined by the scale . As we shall see next, such a picture allow us to represent an evolution driven by the same scalar field (from de Sitter to de Sitter) based on a non-canonical scalar field, and mimicking the running vacuum term, as discussed in previous sections.
5.2. The Non-Canonical Case
Let us now consider the generic non-standard case. To begin with, we remark from Equations (41) and (42) that the general EoS parameter for the kinetic term (the material fluid) can be defined as
Therefore, based on the two-fluid interpretation, the kinetic term for exactly obeys the radiation EoS.2 Thus, by assuming, as before, that the classical universe emerged from the quantum gravity regime as a de Sitter-like solution with scale (see Figure 1), this means that , and the unstable potential must decay directly in ultra-relativistic particles. Interestingly, the inflationary process is not adiabatic, since the primeval thermal bath is a consequence of the energy transfer from the potential or, equivalently, the (H)-term to the radiation-created component (see Section 3). In a certain sense, this inflationary scenario resembles some variants of the warm inflationary process, because the primeval accelerating expansion is not adiabatic. However, it is somewhat different, because the whole thermal bath here is a consequence of the running vacuum process (de Sitter instability), and not related to an initial singular state, as assumed in some warm inflationary scenarios [54,55,56,57].
Now, let us demonstrate that the general equation of motion for the running cosmology Equation (16) is reproduced by the non-canonical scalar field based on the two-fluid interpretation, as proposed above. In this case, the EFE Equations (2) and (3) now take the form
where and are the kinetic energy density and pressure of the fluid satisfying the EoS (47), while must be determined in such a way that . Interestingly, the above equations imply that the cosmic dynamics is also driven by
where the equation of state was used, and is the vacuum density parameter. The above equation should be compared with (5) in Section 2.
Once the two-fluid interpretation is assumed, the ‘H-equation of motion’ is independent of the particular expression of the potential. Nevertheless, an expression for needs to be given, and the scalar field solution properly derived.
Inspired by the derived expression (13) for , let us discuss the potential contributions emulating the different cosmic phases, starting from the primeval de Sitter state.
5.3. From de Sitter to the Radiation-Vacuum Dominated Era
To begin with, let us consider . The energy density and pressure of the non-canonical scalar field becomes
with the kinetic component emulating the radiation EoS. Now, in order to describe the initial de Sitter configuration and its transition to a radiation dominated phase, let us also assume the following scalar field potential:
where and the constant is a dimensional parameter, [. Its value is calculated in Appendix C
In order to obtain the expression for the radiation energy density, let us assume the ansatz . Inserting this into Equation (51), we obtain
and
Now, by inserting the expression for above into Equations (53) and (55), one can show that
thereby recovering the expressions (19) and (21) shown in Section 4. Hence, the proposed potential Equation (53) emulates completely the cosmological dynamics of the vacuum-radiation dominated era Equation (17). In particular, we see that there is no a thermal bath for since, in this case, .
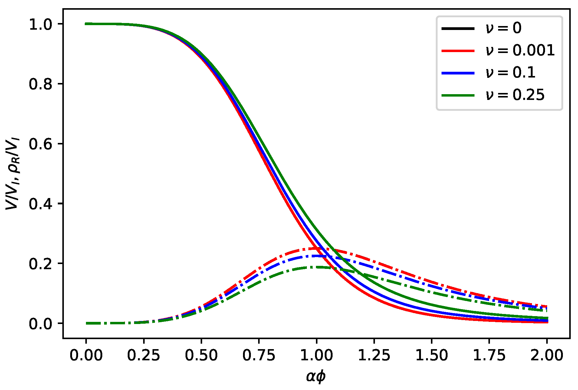
In Figure 2, we display the evolution of the basic dimensionless quantities, namely the potential scalar field and the kinetic term . The latter one describes the created component forming the thermal bath of effectively massless particles (). As one may check, the transition from vacuum to the radiation-vacuum phase is also determined by the condition [see discussion below Equation (24)].
Figure 2.
Dimensionless potential and kinetic energy (radiation) density. The solid lines describe the evolution of the potential with respect to and some selected values of the parameter , depicted in the inner rectangle. The dashed lines display the same behaviour for the radiation energy density. In the beginning of the classical evolution, we have only an emergent de Sitter universe for all values of (). Notice that all of the created particles are the leftover of the primeval de Sitter vacuum state () for and . For , , , and inflation ends [see also Equation (23) and Figure 1].
5.4. From Matter-Vacuum to the Final de Sitter Era
In this case, , which means that in Equation (47). Now, based on the expression (13) for , we propose the following potential to the matter dominated era:
where , and is also a dimensional parameter as before, . As a function of the scales and M, and the parameter , it is given by (see Appendix C)
In order to obtain the expression for the matter energy density, we will again consider a similar ansatz of the transition from de Sitter () to the radiation-vacuum dominated phase, namely . Now, keeping this in mind, it is easy to show that
and
By substituting the expression for above in both Equations (59) and (61), one can show that
recovering the expressions (27) and (28) shown in Section 4. As it happens for the early universe, the potential (59) recovers the cosmological dynamics of the matter-vacuum era (25). Figure 3 shows the time behaviour of the basic dimensionless quantities as defined in Figure 2.
Figure 3.
Dimensionless potential and matter energy density. As in Figure 2, different solid lines describe the evolution of the potential with respect to for some selected values of the parameter , depicted in the inner rectangle. The dashed lines display the same behaviour for the dimensionless matter energy density. Notice that, for all allowed values of , the model evolves in the long run to a de Sitter spacetime, described by the scale [see also Equation (59) and Figure 1].
6. Final Remarks and Conclusions
Entropy is the quantity which allows us to describe the progress of non-equilibrium dissipative processes. A special ingredient of our scenario discussed here is that it takes into account the second law of thermodynamics from the very beginning. For instance, the non-equilibrium thermodynamics was explicitly used to establish an integral relation uniting and the particle creation rate . The running vacuum emerges from an unknown quantum gravity regime as a primeval de Sitter vacuum. Due to a structural thermal instability, it transfers irreversibly energy, particles, and entropy to the spacetime, forming the primeval thermal bath at the expenses of its own energy density at scale, which is initially defined by , which is smaller than the reduced Planck mass. In this connection, see also [45], where the dynamic evolution of this phase forming the thermal bath was investigated for .
Subsequently, the evolution departs slightly from the standard radiation- and matter-dominated phases sustained by a softer generation of entropy. Since the scale is incredibly low, for all practical purposes, the final vacuum state will be eternal.
There are also two interesting aspects of the scenario proposed here. Firstly, the irreversible evolution of the running vacuum generating a complete cosmology can also be described by a single minimally coupled non-canonical scalar field when it is interpreted as a mixture of two interacting perfect fluids, as suggested long ago (see Section 5). Secondly, all of the energy scales appearing in the potential, and also in the non-canonical kinetic term, are sub-Planckian with no fine-tuning.
Finally, we stress that the mild deviation from the rigid (i.e., non-dynamical) vacuum model (CDM) may also provide an explanation to the current and tensions, perhaps simpler than other phenomenological dark energy interacting models. Studies along these lines are in progress and, naturally, still deserves a closer scrutiny.
Author Contributions
P.E.M.A. Investigation, calculations and Figures 2 and 3. R.C.S. Investigation, calculations and Figure 1. J.A.S.L. Conceptualization, methodology and writing. All authors have read and agreed to the published version of the manuscript.
Funding
This research received no external founding.
Data Availability Statement
No data were generated.
Acknowledgments
P.E.M.A. is grateful to a PhD fellowship from CAPES and J.A.S.L. is partially supported by CNPq under grant 310038/2019-7, CAPES (88881.068485/2014), and FAPESP (LLAMA Project No. 11/51676-9).
Conflicts of Interest
The authors declare no conflicts of interest.
Appendix A. “Adiabatic” Creation () and Some Consequences
In this appendix, we demonstrate that the specific entropy (per particle) in our approach remains constant (), and also the validity of Equation (9).
The specific entropy is defined by
Finally, by defining the expressions for the comoving number of particles, , and entropy of the fluid, , it is straightforward to compute the time derivatives:
where the last equality in both equations comes from (A2). Both results were summarised in Equation (9). Note that, although depending on the symmetries of the FLRW geometry, Equation (9) is independent of Einstein’s field equations.
Appendix B. Determination of γ Parameter and the Constant B
Let us now consider a quadratic correction in the creation rate (see Section 3):
where the numerical factors are for mathematical convenience. In this case, a simple integration of (11) provides an expression for in terms of the constant B, and also the set of free parameters () appearing above. We find
At low redshifts (), the last term on the r.h.s. is negligible, and by using the late time boundary condition , a value is obtained. In the opposite extreme, , the constant B is negligible, and using de Sitter condition at early times, , it follows that . Finally, by inserting such values, the result (13) is recovered.
Appendix C. Determination of α and σ Parameters
In this appendix, we determine the values of and parameters appearing in the expressions of the scalar field potential to the vacuum-radiation and matter-vacuum phases. To begin with, we first consider the part of the derivation that is common for both quantities. From Einstein field Equations (48) and (49), the kinetic term of the non-canonical scalar field energy density can be written as
where the equality is also a consequence of the kinetic equation of state (47). Let us now consider each case separately.
(i) parameter. By taking , and using the definition of from (51), the above equation implies that can be written as
and replacing from the cosmological ‘H-equation of motion’ (50), we obtain
where we have discarded . Actually, and its value is always increasing. Now, remembering that (56), the above equation can be rewritten as
Hence, recalling that , and that at the end of inflation the Hubble parameter is , the above equation at becomes
so that the expression for is given by
Note that beyond the reduced Planck mass, depends on the relevant free scales of the two vacuum-radiation phase (). This means that a large class of sub-Planckian values are accessible, even assuming .
(ii) parameter: In this case, and while the expression of in the matter phase is given by (59). Now, following the same procedure of the previous case, we see from (A7) that
Let us rewrite using the fact that (47):
Substituting the cosmological ‘H-equation of motion’ for the matter dominated phase (25) in the expression above, one can write
In the same way we performed for the determination of , we now utilise the relation between H and , and evaluate the resulting expression at
From Equation (62) one can see that . Thus, the expression for is given by
In the limit , we obtain
which, differently from , does not depend on the initial de Sitter scale .
Notes
| 1 | Such a result is not surprising because, from EFE, one finds . Thus, for , implies while for , one finds . |
| 2 | This kind of single-fluid EoS can also be obtained from a k-essence field with Lagrangian [52]. However, as remarked in [53], a two-fluid description with dissipation is possible only if another interacting k-essence is considered. |
References
- Gliner, E.B. Algebraic Properties of the Energy-momentum Tensor and Vacuum-like States of Matter. Sov. J. Exp. Theor. Phys. 1966, 22, 378. [Google Scholar]
- Sakharov, A.D. The Initial Stage of an Expanding Universe and the Appearance of a Nonuniform Distribution of Matter. Sov. J. Exp. Theor. Phys. 1966, 22, 241. [Google Scholar]
- Murphy, G.L. Big-Bang Model without Singularities. Phys. Rev. D 1973, 8, 4231–4233. [Google Scholar] [CrossRef]
- Starobinsky, A.A. A new type of isotropic cosmological models without singularity. Phys. Lett. B 1980, 91, 99–102. [Google Scholar] [CrossRef]
- Anderson, P. Effects of quantum fields on singularities and particle horizons in the early universe. Phys. Rev. D 1983, 28, 271–285. [Google Scholar] [CrossRef]
- Anderson, P.R. Effects of quantum fields on singularities and particle horizons in the early universe. II. Phys. Rev. D 1984, 29, 615–627. [Google Scholar] [CrossRef]
- Birrell, N.D.; Davies, P.C.W. Quantum Fields in Curved Space; Cambridge Monographs on Mathematical Physics; Cambridge University Press: Cambridge, UK, 1982. [Google Scholar] [CrossRef]
- Vilenkin, A. Quantum origin of the universe. Nucl. Phys. B 1985, 252, 141–152. [Google Scholar] [CrossRef]
- Mottola, E. Thermodynamic instability of de Sitter space. Phys. Rev. D 1986, 33, 1616–1621. [Google Scholar] [CrossRef]
- Prigogine, I.; Geheniau, J.; Gunzig, E.; Nardone, P. Thermodynamics of cosmological matter creation. Proc. Natl. Acad. Sci. USA 1988, 85, 7428–7432. [Google Scholar] [CrossRef]
- Prigogine, I.; Geheniau, J.; Gunzig, E.; Nardone, P. Thermodynamics and cosmology. Gen. Relat. Gravit. 1989, 21, 767–776. [Google Scholar] [CrossRef]
- Calvão, M.O.; Lima, J.A.S.; Waga, I. On the thermodynamics of matter creation in cosmology. Phys. Lett. A 1992, 162, 223–226. [Google Scholar] [CrossRef]
- Lima, J.A.S.; Calvao, M.O.; Waga, I. Cosmology, Thermodynamics and Matter Creation. arXiv 2007, arXiv:0708.3397. [Google Scholar]
- Lima, J.A.S.; Germano, A. On the equivalence of bulk viscosity and matter creation. Phys. Lett. A 1992, 170, 373–378. [Google Scholar] [CrossRef]
- Weinberg, S. The cosmological constant problem. Rev. Mod. Phys. 1989, 61, 1–23. [Google Scholar] [CrossRef]
- Velten, H.E.S.; vom Marttens, R.F.; Zimdahl, W. Aspects of the cosmological “coincidence problem”. Eur. Phys. J. C 2014, 74, 3160. [Google Scholar] [CrossRef]
- Riess, A.G.; Casertano, S.; Yuan, W.; Macri, L.M.; Scolnic, D. Large Magellanic Cloud Cepheid Standards Provide a 1% Foundation for the Determination of the Hubble Constant and Stronger Evidence for Physics beyond ΛCDM. Astrophys. J. 2019, 876, 85. [Google Scholar] [CrossRef]
- Cunha, J.V.; Marassi, L.; Lima, J.A.S. Constraining H0 from the Sunyaev–Zel’dovich effect, galaxy cluster X-ray data and baryon oscillations. Mon. Not. R. Astron. Soc. Lett. 2007, 379, L1–L5. [Google Scholar] [CrossRef]
- Lima, J.A.S.; Cunha, J.V. A 3% Determination of H0 at Intermediate Redshifts. Astrophys. J. Lett. 2014, 781, L38. [Google Scholar] [CrossRef]
- Birrer, S.; Treu, T.; Rusu, C.E.; Bonvin, V.; Fassnacht, C.D.; Chan, J.H.H.; Agnello, A.; Shajib, A.J.; Chen, G.C.; Auger, M.; et al. H0LiCOW—IX. Cosmographic analysis of the doubly imaged quasar SDSS 1206+4332 and a new measurement of the Hubble constant. Mon. Not. R. Astron. Soc. 2019, 484, 4726–4753. [Google Scholar] [CrossRef]
- Aghanim, N.; Akrami, Y.; Ashdown, M.; Aumont, J.; Baccigalupi, C.; Ballardini, M.; Banday, A.J.; Barreiro, R.B.; Bartolo, N.; Basak, S.; et al. Planck 2018 results: VI. Cosmological parameters. Astron. Astrophys. 2020, 641, A6. [Google Scholar] [CrossRef]
- Hildebrandt, H.; Köhlinger, F.; Van den Busch, J.L.; Joachimi, B.; Heymans, C.; Kannawadi, A.; Wright, A.H.; Asgari, M.; Blake, C.; Hoekstra, H.; et al. KiDS+VIKING-450: Cosmic shear tomography with optical and infrared data. Astron. Astrophys. 2020, 633, A69. [Google Scholar] [CrossRef]
- Di Valentino, E.; Anchordoqui, L.A.; Akarsu, O.; Ali-Haimoud, Y.; Amendola, L.; Arendse, N.; Asgari, M.; Ballardini, M.; Basilakos, S.; Battistelli, E.; et al. Cosmology Intertwined III: Fσ8 and S8. Astropart. Phys. 2021, 131, 102604. [Google Scholar] [CrossRef]
- Lucca, M. Multi-interacting dark energy and its cosmological implications. Phys. Rev. D 2021, 104, 083510. [Google Scholar] [CrossRef]
- Carneiro, S.; Tavakol, R. On vacuum density, the initial singularity and dark energy. Gen. Relat. Gravit. 2009, 41, 2287. [Google Scholar] [CrossRef]
- Lima, J.A.S.; Basilakos, S.; Solà, J. Expansion history with decaying vacuum: A complete cosmological scenario. Mon. Not. R. Astron. Soc. 2013, 431, 923–929. [Google Scholar] [CrossRef]
- Perico, E.L.D.; Lima, J.A.S.; Basilakos, S.; Solà, J. Complete cosmic history with a dynamical Λ(H) term. Phys. Rev. D 2013, 88, 063531. [Google Scholar] [CrossRef]
- Lima, J.A.S.; Basilakos, S.; Solà, J. Nonsingular decaying vacuum cosmology and entropy production. Gen. Relat. Gravit. 2015, 47, 40. [Google Scholar] [CrossRef]
- Solà, J.; Gómez-Valent, A.; de Cruz Pérez, J. Hints of dynamical vacuum energy in the expanding universe. Astrophys. J. 2015, 811, L14. [Google Scholar] [CrossRef]
- Gómez-Valent, A.; Solà, J. Relaxing the σ8 tension through running vacuum in the Universe. EPL (Europhys. Lett.) 2017, 120, 39001. [Google Scholar] [CrossRef]
- Solà, J.; Gómez-Valent, A.; de Cruz Pérez, J. The H0 tension in light of vacuum dynamics in the universe. Phys. Lett. B 2017, 774, 317–324. [Google Scholar] [CrossRef]
- Zilioti, G.J.M.; Santos, R.C.; Lima, J.A.S. From de Sitter to de Sitter: Decaying vacuum models as a possible solution to the main cosmological problems. Adv. High Energy Phys. 2018, 2018, 6980486. [Google Scholar] [CrossRef]
- Özer, M.; Taha, M.O. A possible solution to the main cosmological problems. Phys. Lett. B 1986, 171, 363–365. [Google Scholar] [CrossRef]
- Özer, M.; Taha, M.O. A model of the universe free of cosmological problems. Nucl. Phys. B 1987, 287, 776–796. [Google Scholar] [CrossRef]
- Freese, K.; Adams, F.C.; Frieman, J.A.; Mottola, E. Cosmology with decaying vacuum energy. Nucl. Phys. B 1987, 287, 797–814. [Google Scholar] [CrossRef]
- Chen, W.; Wu, Y.S. Implications of a cosmological constant varying as R−2. Phys. Rev. D 1990, 41, 695–698. [Google Scholar] [CrossRef]
- Abdel-Rahman, A.M.M. Singularity-free decaying-vacuum cosmologies. Phys. Rev. D 1992, 45, 3497–3511. [Google Scholar] [CrossRef] [PubMed]
- Carvalho, J.C.; Lima, J.A.S.; Waga, I. Cosmological consequences of a time-dependent Λ term. Phys. Rev. D 1992, 46, 2404–2407. [Google Scholar] [CrossRef]
- Waga, I. Decaying Vacuum Flat Cosmological Models: Expressions for Some Observable Quantities and Their Properties. Astrophys. J. 1993, 414, 436. [Google Scholar] [CrossRef]
- Silveira, V.; Waga, I. Decaying Lambda cosmologies and power spectrum. Phys. Rev. D 1994, 50, 4890–4894. [Google Scholar] [CrossRef]
- Lima, J.A.S. Thermodynamics of decaying vacuum cosmologies. Phys. Rev. D 1996, 54, 2571–2577. [Google Scholar] [CrossRef]
- Lima, J.A.S.; Silva, A.I.; Viegas, S.M. Is the radiation temperature-redshift relation of the standard cosmology in accordance with the data? Mon. Not. R. Astron. Soc. 2000, 312, 747–752. [Google Scholar] [CrossRef]
- Lima, J.A.S.; Trevisani, S.; Santos, R. Cosmic “adiabatic” photon creation: Temperature law and blackbody spectrum. Phys. Lett. B 2021, 820, 136575. [Google Scholar] [CrossRef]
- Landau, L.D.; Lifshitz, E.M. Fluid Mechanics, 2nd ed.; Course of Theoretical Physics; Pergamon: Oxford, UK, 1987; Volume 6. [Google Scholar]
- Lima, J.A.S.; Almeida, P.E.M. Noncanonical scalar fields and the primeval thermal bath. Int. J. Mod. Phys. D 2021, 30, 2142025. [Google Scholar] [CrossRef]
- Shapiro, I.L.; Solà, J. The scaling evolution of the cosmological constant. J. High Energy Phys. 2002, 2002, 006. [Google Scholar] [CrossRef]
- Basilakos, S.; Plionis, M.; Solà, J. Hubble expansion and structure formation in time varying vacuum models. Phys. Rev. D 2009, 80, 083511. [Google Scholar] [CrossRef]
- Kamionkowski, M.; Kovetz, E.D. The Quest for B Modes from Inflationary Gravitational Waves. Annu. Rev. Astron. Astrophys. 2016, 54, 227–269. [Google Scholar] [CrossRef]
- Unnikrishnan, S.; Sahni, V.; Toporensky, A. Refining inflation using non-canonical scalars. J. Cosmol. Astropart. Phys. 2012, 2012, 018. [Google Scholar] [CrossRef]
- Zel’dovich, Y.B. The equation of state at ultrahigh densities and its relativistic limitations. Zh. Eksp. Teor. Fiz. 1961, 41, 1609–1615. [Google Scholar]
- Chimento, L.P. Symmetry and inflation. Phys. Rev. D 2002, 65, 063517. [Google Scholar] [CrossRef]
- Socorro, J.; Rosales, J.J. Quantum Fractionary Cosmology: K-Essence Theory. Universe 2023, 9, 185. [Google Scholar] [CrossRef]
- Arroja, F.; Sasaki, M. Note on the equivalence of a barotropic perfect fluid with a k-essence scalar field. Phys. Rev. D 2010, 81, 107301. [Google Scholar] [CrossRef]
- Berera, A.; Fang, L.Z. Thermally Induced Density Perturbations in the Inflation Era. Phys. Rev. Lett. 1995, 74, 1912–1915. [Google Scholar] [CrossRef] [PubMed]
- Berera, A. Warm Inflation. Phys. Rev. Lett. 1995, 75, 3218–3221. [Google Scholar] [CrossRef] [PubMed]
- Berera, A. Thermal properties of an inflationary universe. Phys. Rev. D 1996, 54, 2519–2534. [Google Scholar] [CrossRef]
- Maia, J.M.F.; Lima, J.A.S. Extended warm inflation. Phys. Rev. D 1999, 60, 101301. [Google Scholar] [CrossRef]
Disclaimer/Publisher’s Note: The statements, opinions and data contained in all publications are solely those of the individual author(s) and contributor(s) and not of MDPI and/or the editor(s). MDPI and/or the editor(s) disclaim responsibility for any injury to people or property resulting from any ideas, methods, instructions or products referred to in the content. |
© 2024 by the authors. Licensee MDPI, Basel, Switzerland. This article is an open access article distributed under the terms and conditions of the Creative Commons Attribution (CC BY) license (https://creativecommons.org/licenses/by/4.0/).


