Effects of Two Quantum Correction Parameters on Chaotic Dynamics of Particles near Renormalized Group Improved Schwarzschild Black Holes
Abstract
1. Introduction
2. Dynamical Model of Charged Particles
2.1. RGI Schwarzschild Black Hole Metric
2.2. Electromagnetic Four-Potential
2.3. Hamiltonian System
3. Numerical Investigations
3.1. Setup of an Explicit Symplectic Integrator
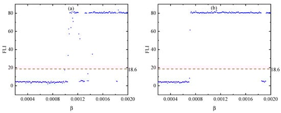
3.2. Contributions of the Parameters to Chaotic Dynamics
4. Summary
Author Contributions
Funding
Data Availability Statement
Acknowledgments
Conflicts of Interest
References
- Akiyama, K. et al. [Event Horizon Telescope Collaboration] First M87 event horizon telescope results. I. The shadow of the supermassive black hole. Astrophys. J. Lett. 2019, 875, L1. [Google Scholar]
- Akiyama, K. et al. [Event Horizon Telescope Collaboration] First Sagittarius A* Event Horizon Telescope results. I. The shadow of the supermassive black hole in the center of the Milky Way. Astrophys. J. Lett. 2022, 930, L12. [Google Scholar]
- Faraoni, V.; Capozziello, S. Beyond Einstein gravity: A survey of gravitational theories for cosmology and astrophysics. Fundam. Theor. Phys. 2010, 170, 1–428. [Google Scholar]
- Sotiriou, T.P.; Faraoni, V. f(R) theories of gravity. Rev. Mod. Phys. 2010, 82, 451. [Google Scholar] [CrossRef]
- Cliftona, T.; Ferreira, P.G.; Padilla, A.; Skordis, C. Modified gravity and cosmology. Phys. Rep. 2012, 513, 1–189. [Google Scholar]
- Nojiri, S.; Odintsov, S.D.; Oikonomou, V.K. Modified gravity theories on a nutshell: Inflation, bounce and late-time evolution. Phys. Rep. 2017, 692, 1–104. [Google Scholar] [CrossRef]
- Borde, A. Regular black holes and topology change. Phys. Rev. D 1997, 55, 7615. [Google Scholar] [CrossRef]
- Ayón-Beato, E.; García, A. Regular black hole in general relativity coupled to nonlinear electrodynamics. Phys. Rev. Lett. 1998, 80, 5056. [Google Scholar] [CrossRef]
- Bonanno, A.; Reuter, M. Renormalization group improved black hole spacetimes. Phys. Rev. D 2000, 62, 043008. [Google Scholar]
- Huang, L.; Deng, X.-M. Can a particle’s motion distinguish scale-dependent Planck stars from renormalization group improved Schwarzschild black holes? Phys. Rev. D 2024, 109, 124005. [Google Scholar]
- Lu, X.; Xie, Y. Weak and strong deflection gravitational lensing by a renormalization group improved Schwarzschild black hole. Eur. Phys. J. C 2019, 79, 1016. [Google Scholar] [CrossRef]
- Rayimbaev, J.; Abdujabbarov, A.; Jamil, M.; Ahmedov, B.; Han, W.B. Dynamics of test particles around renormalization group improved Schwarzschild black holes. Phys. Rev. D 2020, 102, 084016. [Google Scholar] [CrossRef]
- Lin, H.Y.; Deng, X.M. Bound orbits and epicyclic motions around renormalization group improved Schwarzschild black holes. Universe 2022, 8, 278. [Google Scholar] [CrossRef]
- Abramowicz, M.A.; Kluźniak, W. A precise determination of black hole spin in GRO J1655-40. Astron. Astrophys. 2001, 374, L19–L20. [Google Scholar] [CrossRef]
- Abramowicz, M.A.; Kluźniak, W.; McClintock, J.E.; Remillard, R.A. The importance of discovering a 3:2 twin-peak quasi-periodic oscillation in an ultetraluminous X-ray source, or how to solve the puzzle of intermediate-mass black holes. Astrophys. J. 2004, 609, L63–L65. [Google Scholar] [CrossRef]
- Stuchlík, Z.; Kotrlová, A.; Török, G. Multi-resonance orbital model of high-frequency quasi-periodic oscillations: Possible high-precision determination of black hole and neutron star spin. Astron. Astrophys. 2001, 552, A10. [Google Scholar] [CrossRef]
- Gao, B.; Deng, X.M. Dynamics of charged test particles around quantum-corrected Schwarzschild black holes. Eur. Phys. J. C 2021, 81, 983. [Google Scholar] [CrossRef]
- Gao, B.; Deng, X.M. Bound orbits around modified Hayward black holes. Mod. Phys. Lett. A 2021, 36, 2150237. [Google Scholar] [CrossRef]
- Deng, X.-M. Geodesics and periodic orbits around quantum-corrected black holes. Phys. Dark Universe 2020, 30, 100629. [Google Scholar] [CrossRef]
- Takahashi, M.; Koyama, H. Chaotic Motion of Charged Particles in an Electromagnetic Field Surrounding a Rotating Black Hole. Astrophys. J. 2009, 693, 472. [Google Scholar] [CrossRef]
- Kopáček, O.; Karas, V.; Kovář, J.; Stuchlík, Z. Transition from Regular to Chaotic Circulation in Magnetized Coronae near Compact Objects. Astrophys. J. 2010, 722, 1240. [Google Scholar] [CrossRef]
- Kopáček, O.; Karas, V. Inducing Chaos by Breaking Axil Symmetry in a Black Hole Magenetosphere. Astrophys. J. 2014, 787, 117. [Google Scholar] [CrossRef]
- Kopáček, O.; Karas, V. Near-horizon Structure of Escape Zones of Electrically Charged Particles around Weakly Magnetized Rotating Black Hole. Astrophys. J. 2018, 853, 53. [Google Scholar] [CrossRef]
- Pánis, R.; Kološ, M.; Stuchlík, Z. Determination of chaotic behaviour in time series generated by charged particle motion around magnetized Schwarzschild black holes. Eur. Phys. J. C 2019, 79, 479. [Google Scholar] [CrossRef]
- Stuchlík, Z.; Kološ, M.; Kovář, J.; Tursunov, A. Influence of Cosmic Repulsion and Magnetic Fields on Accretion Disks Rotating around Kerr Black Holes. Universe 2020, 6, 26. [Google Scholar] [CrossRef]
- Stuchlík, Z.; Kološ, M. Acceleration of the charged particles due to chaotic scattering in the combined black hole gravitational field and asymptotically uniform magnetic field. Eur. Phys. J. C 2016, 76, 32. [Google Scholar] [CrossRef]
- Cunha, P.V.P.; Herdeiro, C.A.R.; Radu, E.; Rúnarsson, H.F. Shadows of Kerr Black Holes with Scalar Hair. Phys. Rev. Lett. 2015, 115, 211102. [Google Scholar] [CrossRef] [PubMed]
- Wang, M.; Chen, S.; Jing, J. Kerr black hole shadows in Melvin magnetic field with stable photon orbits. Phys. Rev. D 2021, 104, 084021. [Google Scholar] [CrossRef]
- Wald, R.M. Black hole in a uniform magnetic field. Phys. Rev. D 1974, 10, 1680–1685. [Google Scholar] [CrossRef]
- Azreg-Aïnou, M. Vacuum and nonvacuum black holes in a uniform magnetic field. Eur. Phys. J. C 2016, 76, 414. [Google Scholar] [CrossRef]
- Cao, W.; Wu, X.; Lyu, J. Electromagnetic field and chaotic charged-particle motion around hairy black holes in Horndeski gravity. Eur. Phys. J. C 2024, 84, 435. [Google Scholar] [CrossRef]
- Wang, Y.; Sun, W.; Liu, F.; Wu, X. Construction of Explicit Symplectic Integrators in General Relativity. I. Schwarzschild Black Holes. Astrophys. J. 2021, 907, 66. [Google Scholar] [CrossRef]
- Wu, X.; Wang, Y.; Sun, W.; Liu, F. Construction of Explicit Symplectic Integrators in General Relativity. IV. Kerr Black Holes. Astrophys. J. 2021, 914, 63. [Google Scholar] [CrossRef]
- Wu, X.; Wang, Y.; Sun, W.; Liu, F.-Y.; Han, W.-B. Explicit Symplectic Methods in Black Hole Spacetimes. Astrophys. J. 2022, 940, 166. [Google Scholar] [CrossRef]
- Wu, X.; Huang, T.Y. Computation of Lyapunov exponents in general relativity. Phys. Lett. A 2003, 313, 77–81. [Google Scholar] [CrossRef]
- Froeschlé, C.; Lega, E. On the Structure of Symplectic Mappings. The Fast Lyapunov Indicator: A Very Sensitive Tool. Celest. Mech. Dyn. Astron. 2000, 78, 167. [Google Scholar] [CrossRef]
- Wu, X.; Huang, T.Y.; Zhang, H. Lyapunov indices with two nearby trajectories in a curved spacetime. Phys. Rev. D 2006, 74, 083001. [Google Scholar] [CrossRef]
- Hashimoto, K.; Tanahashi, N. Universality in chaos of particle motion near black hole horizon. Phys. Rev. D 2017, 95, 024007. [Google Scholar] [CrossRef]
- Dalui, S.; Majhi, B.R.; Mishra, P. Presence of horizon makes particle motion chaotic. Phys. Lett. B 2019, 788, 486–493. [Google Scholar] [CrossRef]










Disclaimer/Publisher’s Note: The statements, opinions and data contained in all publications are solely those of the individual author(s) and contributor(s) and not of MDPI and/or the editor(s). MDPI and/or the editor(s) disclaim responsibility for any injury to people or property resulting from any ideas, methods, instructions or products referred to in the content. |
© 2024 by the authors. Licensee MDPI, Basel, Switzerland. This article is an open access article distributed under the terms and conditions of the Creative Commons Attribution (CC BY) license (https://creativecommons.org/licenses/by/4.0/).
Share and Cite
Lu, J.; Wu, X. Effects of Two Quantum Correction Parameters on Chaotic Dynamics of Particles near Renormalized Group Improved Schwarzschild Black Holes. Universe 2024, 10, 277. https://doi.org/10.3390/universe10070277
Lu J, Wu X. Effects of Two Quantum Correction Parameters on Chaotic Dynamics of Particles near Renormalized Group Improved Schwarzschild Black Holes. Universe. 2024; 10(7):277. https://doi.org/10.3390/universe10070277
Chicago/Turabian StyleLu, Junjie, and Xin Wu. 2024. "Effects of Two Quantum Correction Parameters on Chaotic Dynamics of Particles near Renormalized Group Improved Schwarzschild Black Holes" Universe 10, no. 7: 277. https://doi.org/10.3390/universe10070277
APA StyleLu, J., & Wu, X. (2024). Effects of Two Quantum Correction Parameters on Chaotic Dynamics of Particles near Renormalized Group Improved Schwarzschild Black Holes. Universe, 10(7), 277. https://doi.org/10.3390/universe10070277

