Surveying the Onset and Evolution of Supermassive Black Holes at High-z with AXIS
Abstract
1. Introduction
2. The Role of X-ray Surveys in Understanding the Nature and the Evolution of SMBHs
2.1. Obscuration as a Challenge to Understand SMBH Growth
2.2. High Angular Resolution X-ray Surveys to Unveil the Elusive Nature of High-z AGN
2.3. The Power of Combining AXIS and JWST Surveys

2.4. SMBH and Host Galaxy Coevolution over Cosmic Time with AXIS
3. AXIS Pillar 1: Determining the Nature of SMBH Seeds with AXIS at z = 6–10 X-ray Luminosity Function (XLF)
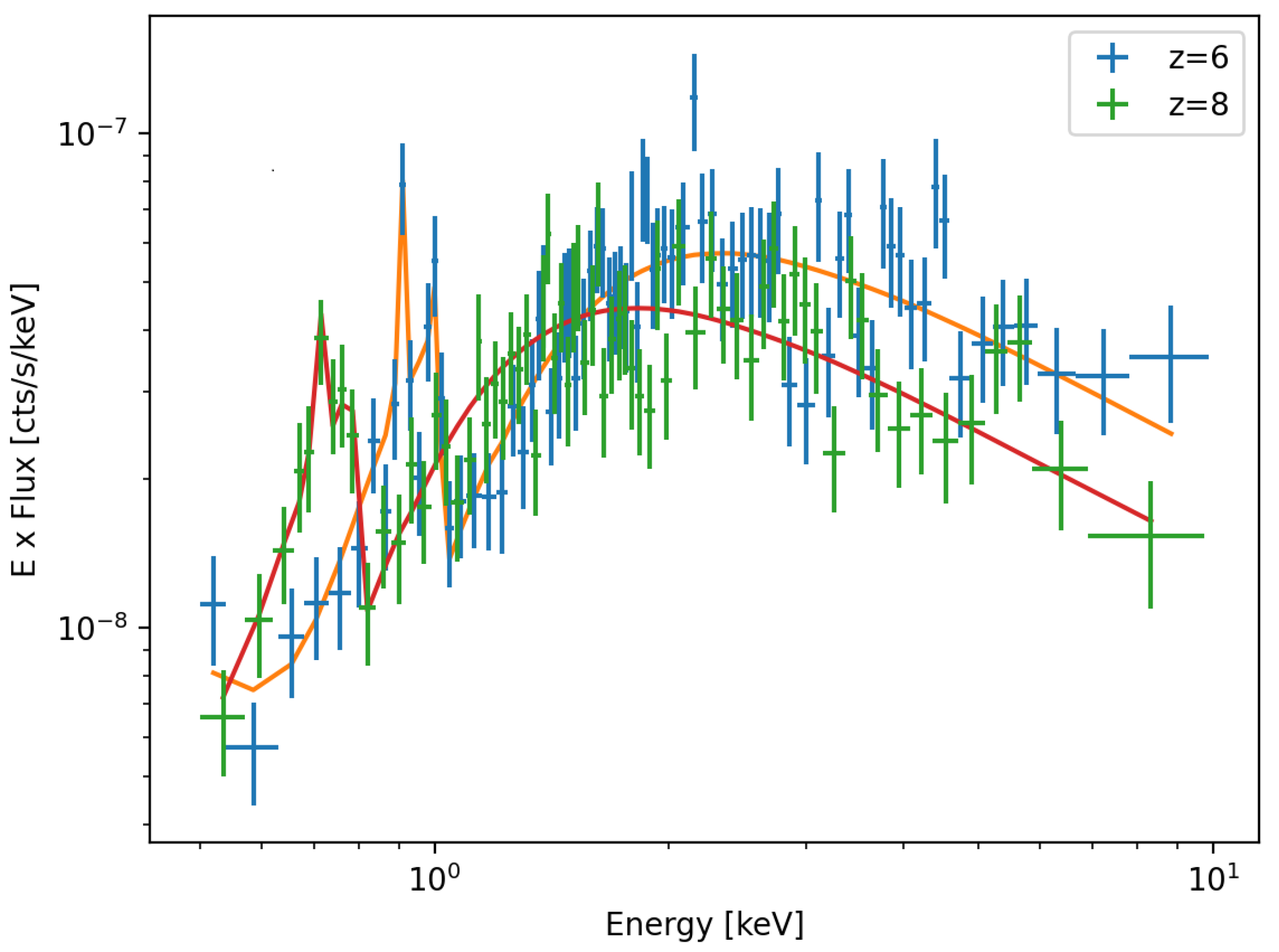
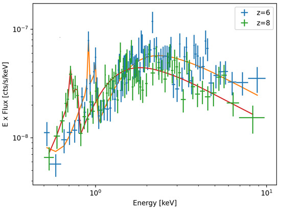
Accretion Mode and Signatures of the First SMBHs
4. Assembly of Black Holes with Large-Scale Structures as Traced by High-z AGN Clustering
5. AXIS Survey of the First AGN
5.1. The AXIS Wedding Cake Survey
- A deep, pencil-beam survey; that is, a 7 Ms observation of a single AXIS pointing (∼0.13 deg2).
- An intermediate-area and intermediate-depth survey, which would cover 2 deg2 with a uniform, 360 ks exposure, for an overall time request of 6 Ms.
- Finally, while no wide-area survey is currently planned, it would be possible to obtain an AXIS Serendipitous field by combining Guest Observer observations. Assuming 20 Ms of GO (Guest Observer) non-galactic plane time, with a median of 50 ks per pointing, it would be possible to cover 50 deg2 with a sensitivity ∼10−16 erg s−1 cm−2.
5.2. Synergies
5.2.1. Optical Identifications
5.2.2. Photometric and Spectroscopic Redshifts
5.3. Stacking Analysis of JWST Detected High-z Galaxies
6. Conclusions
- AXIS will measure the XLF of AGN up to redshifts around 10, providing crucial insights into their evolution over cosmic time with its deep and intermediate surveys in combination with ancillary information from the JWST, Roman, Euclid, LSST–Rubin, and the ELT. With the XLF, AXIS will inform and constrain models of SMBH seeding, potentially helping to distinguish between scenarios where they grow from light or heavy seeds.
- AXIS will significantly expand the current flux–area parameter space of X-ray surveys, covering a range of 0.13–2.5 deg2 and reaching much fainter fluxes. This, coupled with the constant PSF across the field of view, will result in a leap forward in survey grasp, achieving a two-order-of-magnitude improvement compared to Chandra.
- AXIS will play a crucial role in determining the nature of high-redshift galaxies observed by the JWST that exhibit characteristics typical of star-forming galaxies (SFGs), aiding in their classification as AGN in particular in the case of highly obscured and low-metallicity sources.
- The excellent angular resolution of AXIS will facilitate the clear identification of X-ray sources with NIR detections, enabling comprehensive studies of their Spectral Energy Distributions (SEDs) and spectral features.
- With access to a wealth of ancillary data, AXIS will enable the study of the onset and evolution of galaxy–SMBH coevolution.
- The high source surface density observed by AXIS will allow for the characterization of the coevolution of early AGN with their environments through clustering studies. It will also enable investigations into the environment of individual high-redshift quasars.
- Leveraging the low background and exceptional angular resolution, stacking AXIS images at the positions of very faint JWST sources will facilitate the study and constraint of the AGN population, potentially extending to redshifts beyond 10 and probing low-luminosity (black hole mass) sources at lower redshifts.
Author Contributions
Funding
Data Availability Statement
Acknowledgments
Conflicts of Interest
| 1 | |
| 2 | The wide Serendipitous is not an official AXIS program but it is an estimate of the extragalatic survey sensitivity obtained by grouping all the expected GO observations over the 5 year of mission lifetime. |
| 3 | https://www.stsci.edu/hst, accessed on 15 July 2023 |
| 4 | https://www.stsci.edu/JWST, accessed on 15 July 2023 |
| 5 | https://roman.gsfc.nasa.gov, accessed on 15 July 2023 |
| 6 | https://www.esa.int/Science_Exploration/Space_Science/Euclid, accessed on 15 July 2023 |
| 7 | https://www2.keck.hawaii.edu/inst/mosfire/home.html, accessed on 15 July 2023 |
| 8 | https://pfs.ipmu.jp, accessed on 15 July 2023 |
References
- Mortlock, D.J.; Warren, S.J.; Venemans, B.P.; Patel, M.; Hewett, P.C.; McMahon, R.G.; Simpson, C.; Theuns, T.; Gonzáles-Solares, E.A.; Adamson, A.; et al. A luminous quasar at a redshift of z = 7.085. Nature 2011, 474, 616–619. [Google Scholar] [CrossRef] [PubMed]
- Bañados, E.; Venemans, B.P.; Morganson, E.; Decarli, R.; Walter, F.; Chambers, K.C.; Rix, H.W.; Farina, E.P.; Fan, X.; Jiang, L.; et al. Discovery of Eight z∼6 Quasars from Pan-STARRS1. Astron. J. 2014, 148, 14. [Google Scholar] [CrossRef]
- Wang, F.; Yang, J.; Fan, X.; Hennawi, J.F.; Barth, A.J.; Banados, E.; Bian, F.; Boutsia, K.; Connor, T.; Davies, F.B.; et al. A Luminous Quasar at Redshift 7.642. Astrophys. J. Lett. 2021, 907, L1. [Google Scholar] [CrossRef]
- Bogdan, A.; Goulding, A.; Natarajan, P.; Kovacs, O.; Tremblay, G.; Chadayammuri, U.; Volonteri, M.; Kraft, R.; Forman, W.; Jones, C.; et al. Detection of an X-ray quasar in a gravitationally-lensed z = 10.3 galaxy suggests that early supermassive black holes originate from heavy seeds. arXiv 2023, arXiv:2305.15458. [Google Scholar] [CrossRef]
- Maiolino, R.; Scholtz, J.; Witstok, J.; Carniani, S.; D’Eugenio, F.; de Graaff, A.; Uebler, H.; Tacchella, S.; Curtis-Lake, E.; Arribas, S.; et al. A small and vigorous black hole in the early Universe. arXiv 2023, arXiv:2305.12492. [Google Scholar] [CrossRef] [PubMed]
- Lodato, G.; Natarajan, P. Supermassive black hole formation during the assembly of pre-galactic discs. Mon. Not. R. Astron. Soc. 2006, 371, 1813–1823. [Google Scholar] [CrossRef]
- Begelman, M.C.; Volonteri, M.; Rees, M.J. Formation of supermassive black holes by direct collapse in pre-galactic haloes. Mon. Not. R. Astron. Soc. 2006, 370, 289–298. [Google Scholar] [CrossRef]
- Volonteri, M. Formation of supermassive black holes. Astron. Astrophys. Rev. 2010, 18, 279–315. [Google Scholar] [CrossRef]
- Hawking, S. Gravitationally collapsed objects of very low mass. Mon. Not. R. Astron. Soc. 1971, 152, 75. [Google Scholar] [CrossRef]
- Carr, B.; Kohri, K.; Sendouda, Y.; Yokoyama, J. Constraints on primordial black holes. Rep. Prog. Phys. 2021, 84, 116902. [Google Scholar] [CrossRef]
- Cappelluti, N.; Hasinger, G.; Natarajan, P. Exploring the High-redshift PBH-ΛCDM Universe: Early Black Hole Seeding, the First Stars and Cosmic Radiation Backgrounds. Astrophys. J. 2022, 926, 205. [Google Scholar] [CrossRef]
- García-Bellido, J. Massive Primordial Black Holes as Dark Matter and their detection with Gravitational Waves. J. Phys. Conf. Ser. 2017, 840, 012032. [Google Scholar] [CrossRef]
- Barkana, R.; Loeb, A. In the beginning: The first sources of light and the reionization of the universe. Phys. Rep. 2001, 349, 125–238. [Google Scholar] [CrossRef]
- Fan, X.; Banados, E.; Simcoe, R.A. Quasars and the Intergalactic Medium at Cosmic Dawn. arXiv 2022, arXiv:2212.06907. [Google Scholar] [CrossRef]
- Larson, R.L.; Finkelstein, S.L.; Kocevski, D.D.; Hutchison, T.A.; Trump, J.R.; Arrabal Haro, P.; Bromm, V.; Cleri, N.J.; Dickinson, M.; Fujimoto, S.; et al. A CEERS Discovery of an Accreting Supermassive Black Hole 570 Myr after the Big Bang: Identifying a Progenitor of Massive z > 6 Quasars. arXiv 2023, arXiv:2303.08918. [Google Scholar] [CrossRef]
- Luo, B.; Brandt, W.N.; Xue, Y.Q.; Lehmer, B.; Alexander, D.M.; Bauer, F.E.; Vito, F.; Yang, G.; Basu-Zych, A.R.; Comastri, A.; et al. The Chandra Deep Field-South Survey: 7 Ms Source Catalogs. Astrophys. J. 2017, 228, 2. [Google Scholar] [CrossRef]
- Reynolds, C.S.; Kara, E.A.; Mushotzky, R.F.; Ptak, A.; Koss, M.J.; Williams, B.J.; Allen, S.W.; Bauer, F.E.; Bautz, M.; Bodaghee, A.; et al. Overview of the Advanced X-ray Imaging Satellite (AXIS). arXiv 2023, arXiv:2311.00780. [Google Scholar] [CrossRef]
- Martinez Galarza, J. The Chandra Source Catalog version 2.1: New Avenues for Discovery in X-ray Datasets. AAS High Energy Astrophys. Div. 2023, 20, 404.01. [Google Scholar]
- Webb, N.A.; Coriat, M.; Traulsen, I.; Ballet, J.; Motch, C.; Carrera, F.J.; Koliopanos, F.; Authier, J.; de la Calle, I.; Ceballos, M.T.; et al. The XMM-Newton serendipitous survey. IX. The fourth XMM-Newton serendipitous source catalogue. Astron. Astrophys. 2020, 641, A136. [Google Scholar] [CrossRef]
- Peca, A.; Cappelluti, N.; Urry, C.M.; LaMassa, S.; Marchesi, S.; Ananna, T.T.; Baloković, M.; Sanders, D.; Auge, C.; Treister, E.; et al. On the Cosmic Evolution of AGN Obscuration and the X-Ray Luminosity Function: XMM-Newton and Chandra Spectral Analysis of the 31.3 deg2 Stripe 82X. Astrophys. J. 2023, 943, 162. [Google Scholar] [CrossRef]
- Yang, G.; Caputi, K.I.; Papovich, C.; Arrabal Haro, P.; Bagley, M.B.; Behroozi, P.; Bell, E.F.; Bisigello, L.; Buat, V.; Burgarella, D.; et al. CEERS Key Paper. VI. JWST/MIRI Uncovers a Large Population of Obscured AGN at High Redshifts. Astrophys. J. 2023, 950, L5. [Google Scholar] [CrossRef]
- Vito, F.; Gilli, R.; Vignali, C.; Comastri, A.; Brusa, M.; Cappelluti, N.; Iwasawa, K. The hard X-ray luminosity function of high-redshift (3 < z ≲ 5) active galactic nuclei. Mon. Not. R. Astron. Soc. 2014, 445, 3557–3574. [Google Scholar] [CrossRef]
- Lyu, J.; Alberts, S.; Rieke, G.H.; Shivaei, I.; Pérez-González, P.G.; Sun, F.; Hainline, K.N.; Baum, S.; Bonaventura, N.; Bunker, A.J.; et al. Active Galactic Nuclei Selection and Demographics: A New Age with JWST/MIRI. Astrophys. J. 2024, 966, 229. [Google Scholar] [CrossRef]
- Vito, F.; Brandt, W.N.; Bauer, F.E.; Calura, F.; Gilli, R.; Luo, B.; Shemmer, O.; Vignali, C.; Zamorani, G.; Brusa, M.; et al. The X-ray properties of z > 6 quasars: No evident evolution of accretion physics in the first Gyr of the Universe. Astron. Astrophys. 2019, 630, A118. [Google Scholar] [CrossRef]
- Zappacosta, L.; Piconcelli, E.; Fiore, F.; Saccheo, I.; Valiante, R.; Vignali, C.; Vito, F.; Volonteri, M.; Bischetti, M.; Comastri, A.; et al. HYPerluminous quasars at the Epoch of ReionizatION (HYPERION). A new regime for the X-ray nuclear properties of the first quasars. arXiv 2023, arXiv:2305.02347. [Google Scholar] [CrossRef]
- Maiolino, R.; Risaliti, G.; Signorini, M.; Trefoloni, B.; Juodzbalis, I.; Scholtz, J.; Uebler, H.; D’Eugenio, F.; Carniani, S.; Fabian, A.; et al. JWST meets Chandra: A large population of Compton thick, feedback-free, and X-ray weak AGN, with a sprinkle of SNe. arXiv 2024, arXiv:2405.00504. [Google Scholar] [CrossRef]
- Natarajan, P.; Pacucci, F.; Ferrara, A.; Agarwal, B.; Ricarte, A.; Zackrisson, E.; Cappelluti, N. Unveiling the First Black Holes With JWST:Multi-wavelength Spectral Predictions. Astrophys. J. 2017, 838, 117. [Google Scholar] [CrossRef]
- Gilli, R.; Comastri, A.; Hasinger, G. The synthesis of the cosmic X-ray background in the Chandra and XMM-Newton era. Astron. Astrophys. 2007, 463, 79–96. [Google Scholar] [CrossRef]
- Treister, E.; Urry, C.M.; Virani, S. The Space Density of Compton-Thick Active Galactic Nucleus and the X-Ray Background. Astrophys. J. 2009, 696, 110–120. [Google Scholar] [CrossRef]
- Ananna, T.T.; Salvato, M.; LaMassa, S.; Urry, C.M.; Cappelluti, N.; Cardamone, C.; Civano, F.; Farrah, D.; Gilfanov, M.; Glikman, E.; et al. AGN Populations in Large-volume X-Ray Surveys: Photometric Redshifts and Population Types Found in the Stripe 82X Survey. Astrophys. J. 2017, 850, 66. [Google Scholar] [CrossRef]
- Terao, K.; Nagao, T.; Onishi, K.; Matsuoka, K.; Akiyama, M.; Matsuoka, Y.; Yamashita, T. Multiline Assessment of Narrow-line Regions in z 3 Radio Galaxies. Astrophys. J. 2022, 929, 51. [Google Scholar] [CrossRef]
- Harikane, Y.; Zhang, Y.; Nakajima, K.; Ouchi, M.; Isobe, Y.; Ono, Y.; Hatano, S.; Xu, Y.; Umeda, H. JWST/NIRSpec First Census of Broad-Line AGNs at z = 4–7: Detection of 10 Faint AGNs with M_BH~106–107 M_sun and Their Host Galaxy Properties. arXiv 2023, arXiv:2303.11946. [Google Scholar] [CrossRef]
- Ricarte, A.; Natarajan, P. The observational signatures of supermassive black hole seeds. Mon. Not. R. Astron. Soc. 2018, 481, 3278–3292. [Google Scholar] [CrossRef]
- Baloković, M.; Comastri, A.; Harrison, F.A.; Alexander, D.M.; Ballantyne, D.R.; Bauer, F.E.; Boggs, S.E.; Brandt, W.N.; Brightman, M.; Christensen, F.E.; et al. The NuSTAR View of Nearby Compton-thick Active Galactic Nuclei: The Cases of NGC 424, NGC 1320, and IC 2560. Astrophys. J. 2014, 794, 111. [Google Scholar] [CrossRef]
- Hickox, R.C.; Mullaney, J.R.; Alexander, D.M.; Chen, C.T.J.; Civano, F.M.; Goulding, A.D.; Hainline, K.N. Black Hole Variability and the Star Formation-Active Galactic Nucleus Connection: Do All Star-forming Galaxies Host an Active Galactic Nucleus? Astrophys. J. 2014, 782, 9. [Google Scholar] [CrossRef]
- Pacucci, F.; Nguyen, B.; Carniani, S.; Maiolino, R.; Fan, X. JWST CEERS and JADES Active Galaxies at z = 4–7 Violate the Local M•-M🟉 Relation at >3σ: Implications for Low-mass Black Holes and Seeding Models. Astrophys. J. 2023, 957, L3. [Google Scholar] [CrossRef]
- Li, J.; Silverman, J.D.; Shen, Y.; Volonteri, M.; Jahnke, K.; Zhuang, M.Y.; Scoggins, M.T.; Ding, X.; Harikane, Y.; Onoue, M.; et al. Tip of the iceberg: Overmassive black holes at 4 < z < 7 found by JWST are not inconsistent with the local MBH-M🟉 relation. arXiv 2024, arXiv:2403.00074. [Google Scholar] [CrossRef]
- Ananna, T.T.; Urry, C.M.; Ricci, C.; Natarajan, P.; Hickox, R.C.; Trakhtenbrot, B.; Treister, E.; Weigel, A.K.; Ueda, Y.; Koss, M.J.; et al. Probing the Structure and Evolution of BASS Active Galactic Nuclei through Eddington Ratios. Astrophys. J. 2022, 939, L13. [Google Scholar] [CrossRef]
- Powell, M.C.; Cappelluti, N.; Urry, C.M.; Koss, M.; Finoguenov, A.; Ricci, C.; Trakhtenbrot, B.; Allevato, V.; Ajello, M.; Oh, K.; et al. The Swift/BAT AGN Spectroscopic Survey. IX. The Clustering Environments of an Unbiased Sample of Local AGNs. Astrophys. J. 2018, 858, 110. [Google Scholar] [CrossRef]
- Powell, M.C.; Urry, C.M.; Cappelluti, N.; Johnson, J.T.; LaMassa, S.M.; Ananna, T.T.; Kollmann, K.E. The Clustering of X-Ray Luminous Quasars. Astrophys. J. 2020, 891, 41. [Google Scholar] [CrossRef]
- Habouzit, M.; Somerville, R.S.; Li, Y.; Genel, S.; Aird, J.; Anglés-Alcázar, D.; Davé, R.; Georgiev, I.Y.; McAlpine, S.; Rosas-Guevara, Y.; et al. Supermassive black holes in cosmological simulations - II: The AGN population and predictions for upcoming X-ray missions. Mon. Not. R. Astron. Soc. 2022, 509, 3015–3042. [Google Scholar] [CrossRef]
- Dubois, Y.; Peirani, S.; Pichon, C.; Devriendt, J.; Gavazzi, R.; Welker, C.; Volonteri, M. The HORIZON-AGN simulation: Morphological diversity of galaxies promoted by AGN feedback. Mon. Not. R. Astron. Soc. 2016, 463, 3948–3964. [Google Scholar] [CrossRef]
- Genel, S.; Vogelsberger, M.; Springel, V.; Sijacki, D.; Nelson, D.; Snyder, G.; Rodriguez-Gomez, V.; Torrey, P.; Hernquist, L. Introducing the Illustris project: The evolution of galaxy populations across cosmic time. Mon. Not. R. Astron. Soc. 2014, 445, 175–200. [Google Scholar] [CrossRef]
- Schaye, J.; Crain, R.A.; Bower, R.G.; Furlong, M.; Schaller, M.; Theuns, T.; Dalla Vecchia, C.; Frenk, C.S.; McCarthy, I.G.; Helly, J.C.; et al. The EAGLE project: Simulating the evolution and assembly of galaxies and their environments. Mon. Not. R. Astron. Soc. 2015, 446, 521–554. [Google Scholar] [CrossRef]
- Pillepich, A.; Springel, V.; Nelson, D.; Genel, S.; Naiman, J.; Pakmor, R.; Hernquist, L.; Torrey, P.; Vogelsberger, M.; Weinberger, R.; et al. Simulating galaxy formation with the IllustrisTNG model. Mon. Not. R. Astron. Soc. 2018, 473, 4077–4106. [Google Scholar] [CrossRef]
- Davé, R.; Anglés-Alcázar, D.; Narayanan, D.; Li, Q.; Rafieferantsoa, M.H.; Appleby, S. SIMBA: Cosmological simulations with black hole growth and feedback. Mon. Not. R. Astron. Soc. 2019, 486, 2827–2849. [Google Scholar] [CrossRef]
- Ni, Y.; Di Matteo, T.; Bird, S.; Croft, R.; Feng, Y.; Chen, N.; Tremmel, M.; DeGraf, C.; Li, Y. The ASTRID simulation: The evolution of supermassive black holes. Mon. Not. R. Astron. Soc. 2022, 513, 670–692. [Google Scholar] [CrossRef]
- Duras, F.; Bongiorno, A.; Ricci, F.; Piconcelli, E.; Shankar, F.; Lusso, E.; Bianchi, S.; Fiore, F.; Maiolino, R.; Marconi, A.; et al. Universal bolometric corrections for active galactic nuclei over seven luminosity decades. Astron. Astrophys. 2020, 636, A73. [Google Scholar] [CrossRef]
- Juodžbalis, I.; Conselice, C.J.; Singh, M.; Adams, N.; Ormerod, K.; Harvey, T.; Austin, D.; Volonteri, M.; Cohen, S.H.; Jansen, R.A.; et al. EPOCHS VII: Discovery of high redshift (6.5 < z < 12) AGN candidates in JWST ERO and PEARLS data. arXiv 2023, arXiv:2307.07535. [Google Scholar]
- Euclid Collaboration; Barnett, R.; Warren, S.J.; Mortlock, D.J.; Cuby, J.G.; Conselice, C.; Hewett, P.C.; Willott, C.J.; Auricchio, N.; Balaguera-Antolínez, A.; et al. Euclid preparation. V. Predicted yield of redshift 7 < z < 9 quasars from the wide survey. Astron. Astrophys. 2019, 631, A85. [Google Scholar] [CrossRef]
- Pacucci, F.; Loeb, A. The search for the farthest quasar: Consequences for black hole growth and seed models. Mon. Not. R. Astron. Soc. 2022, 509, 1885–1891. [Google Scholar] [CrossRef]
- Natarajan, P.; Pacucci, F.; Ricarte, A.; Bogdán, Á.; Goulding, A.D.; Cappelluti, N. First Detection of an Overmassive Black Hole Galaxy UHZ1: Evidence for Heavy Black Hole Seed Formation from Direct Collapse. Astrophys. J. 2024, 960, L1. [Google Scholar] [CrossRef]
- Pacucci, F.; Ferrara, A.; Volonteri, M.; Dubus, G. Shining in the dark: The spectral evolution of the first black holes. Mon. Not. R. Astron. Soc. 2015, 454, 3771–3777. [Google Scholar] [CrossRef]
- Valiante, R.; Schneider, R.; Zappacosta, L.; Graziani, L.; Pezzulli, E.; Volonteri, M. Chasing the observational signatures of seed black holes at z > 7: Candidate observability. Mon. Not. R. Astron. Soc. 2018, 476, 407–420. [Google Scholar] [CrossRef]
- Pacucci, F.; Baldassare, V.; Cappelluti, N.; Fan, X.; Ferrara, A.; Haiman, Z.; Natarajan, P.; Ozel, F.; Schneider, R.; Tremblay, G.R.; et al. Detecting the Birth of Supermassive Black Holes Formed from Heavy Seeds. Bull. Am. Astron. Soc. 2019, 51, 117. [Google Scholar] [CrossRef]
- Pacucci, F.; Natarajan, P.; Volonteri, M.; Cappelluti, N.; Urry, C.M. Conditions for Optimal Growth of Black Hole Seeds. Astrophys. J. 2017, 850, L42. [Google Scholar] [CrossRef]
- Visbal, E.; Haiman, Z. Identifying Direct Collapse Black Hole Seeds through Their Small Host Galaxies. Astrophys. J. 2018, 865, L9. [Google Scholar] [CrossRef]
- Naidu, R.P.; Oesch, P.A.; van Dokkum, P.; Nelson, E.J.; Suess, K.A.; Brammer, G.; Whitaker, K.E.; Illingworth, G.; Bouwens, R.; Tacchella, S.; et al. Two Remarkably Luminous Galaxy Candidates at z ≈ 10-12 Revealed by JWST. Astrophys. J. 2022, 940, L14. [Google Scholar] [CrossRef]
- Adams, N.J.; Conselice, C.J.; Ferreira, L.; Austin, D.; Trussler, J.A.A.; Juodžbalis, I.; Wilkins, S.M.; Caruana, J.; Dayal, P.; Verma, A.; et al. Discovery and properties of ultra-high redshift galaxies (9 < z < 12) in the JWST ERO SMACS 0723 Field. Mon. Not. R. Astron. Soc. 2023, 518, 4755–4766. [Google Scholar] [CrossRef]
- Marchesi, S.; Gilli, R.; Lanzuisi, G.; Dauser, T.; Ettori, S.; Vito, F.; Cappelluti, N.; Comastri, A.; Mushotzky, R.; Ptak, A.; et al. Mock catalogs for the extragalactic X-ray sky: Simulating AGN surveys with ATHENA and with the AXIS probe. Astron. Astrophys. 2020, 642, A184. [Google Scholar] [CrossRef]
- Dauser, T.; Falkner, S.; Lorenz, M.; Kirsch, C.; Peille, P.; Cucchetti, E.; Schmid, C.; Brand, T.; Oertel, M.; Smith, R.; et al. SIXTE: A generic X-ray instrument simulation toolkit. Astron. Astrophys. 2019, 630, A66. [Google Scholar] [CrossRef]
- Vito, F.; Brandt, W.N.; Yang, G.; Gilli, R.; Luo, B.; Vignali, C.; Xue, Y.Q.; Comastri, A.; Koekemoer, A.M.; Lehmer, B.D.; et al. High-redshift AGN in the Chandra Deep Fields: The obscured fraction and space density of the sub-L🟉 population. Mon. Not. R. Astron. Soc. 2018, 473, 2378–2406. [Google Scholar] [CrossRef]
- Ivezić, Ž.; Kahn, S.M.; Tyson, J.A.; Abel, B.; Acosta, E.; Allsman, R.; Alonso, D.; AlSayyad, Y.; Anderson, S.F.; Andrew, J.; et al. LSST: From Science Drivers to Reference Design and Anticipated Data Products. Astrophys. J. 2019, 873, 111. [Google Scholar] [CrossRef]
- Bourke, T.; Braun, R.; Bonaldi, A.; Garcia-Miro, C.; Keane, E.; Wagg, J.; SKAO Science Team. Expected Science Performance of the Square Kilometre Array Phase 1 (SKA1). Am. Astron. Soc. Meet. Abstr. 2018, 231, 152.07. [Google Scholar]
- Civano, F.; Marchesi, S.; Comastri, A.; Urry, M.C.; Elvis, M.; Cappelluti, N.; Puccetti, S.; Brusa, M.; Zamorani, G.; Hasinger, G.; et al. The Chandra Cosmos Legacy Survey: Overview and Point Source Catalog. Astrophys. J. 2016, 819, 62. [Google Scholar] [CrossRef]
- Ochsenbein, F.; Bauer, P.; Marcout, J. The VizieR database of astronomical catalogues. Astron. Astrophys. 2000, 143, 23–32. [Google Scholar] [CrossRef]
- Iye, M.; Karoji, H.; Ando, H.; Kaifu, N.; Kodaira, K.; Aoki, K.; Aoki, W.; Chikada, Y.; Doi, Y.; Ebizuka, N.; et al. Current Performance and On-Going Improvements of the 8.2 m Subaru Telescope. Publ. Astron. Soc. Jpn. 2004, 56, 381–397. [Google Scholar] [CrossRef]
- Salvato, M.; Buchner, J.; Budavári, T.; Dwelly, T.; Merloni, A.; Brusa, M.; Rau, A.; Fotopoulou, S.; Nandra, K. Finding counterparts for all-sky X-ray surveys with NWAY: A Bayesian algorithm for cross-matching multiple catalogues. Mon. Not. R. Astron. Soc. 2018, 473, 4937–4955. [Google Scholar] [CrossRef]
- Buchner, J.; Salvato, M.; BudavaÌri, T.; Fotopoulou, S. nway: Bayesian cross-matching of astronomical catalogs. arXiv 2021, arXiv:2102.014. [Google Scholar]
- Finkelstein, S.L.; Bagley, M.B.; Ferguson, H.C.; Wilkins, S.M.; Kartaltepe, J.S.; Papovich, C.; Yung, L.Y.A.; Arrabal Haro, P.; Behroozi, P.; Dickinson, M.; et al. CEERS Key Paper. I. An Early Look into the First 500 Myr of Galaxy Formation with JWST. Astrophys. J. 2023, 946, L13. [Google Scholar] [CrossRef]
- Salvato, M.; Ilbert, O.; Hasinger, G.; Rau, A.; Civano, F.; Zamorani, G.; Brusa, M.; Elvis, M.; Vignali, C.; Aussel, H.; et al. Dissecting Photometric Redshift for Active Galactic Nucleus Using XMM- and Chandra-COSMOS Samples. Astrophys. J. 2011, 742, 61. [Google Scholar] [CrossRef]




| Survey | Area deg2 | Tile Exposure ks | Total Exposure Ms | Flux Limit (0.5–2 keV) erg s−1 cm−2 | Number of AGN Detections | ||
|---|---|---|---|---|---|---|---|
| 1 % | 20 % | 80 % | |||||
| Deep | 0.13 | 5800 | 7 | 4.5 × 10−19 | 1.9 × 10−18 | 4.3 × 10−18 | 2800 |
| Intermediate | 2 | 360 | 6 | 4.5 × 10−18 | 1.1 × 10−17 | 2.6 × 10−17 | 21,000 |
Disclaimer/Publisher’s Note: The statements, opinions and data contained in all publications are solely those of the individual author(s) and contributor(s) and not of MDPI and/or the editor(s). MDPI and/or the editor(s) disclaim responsibility for any injury to people or property resulting from any ideas, methods, instructions or products referred to in the content. |
© 2024 by the authors. Licensee MDPI, Basel, Switzerland. This article is an open access article distributed under the terms and conditions of the Creative Commons Attribution (CC BY) license (https://creativecommons.org/licenses/by/4.0/).
Share and Cite
Cappelluti, N.; Foord, A.; Marchesi, S.; Pacucci, F.; Ricarte, A.; Habouzit, M.; Vito, F.; Powell, M.; Koss, M.; Mushotzky, R. Surveying the Onset and Evolution of Supermassive Black Holes at High-z with AXIS. Universe 2024, 10, 276. https://doi.org/10.3390/universe10070276
Cappelluti N, Foord A, Marchesi S, Pacucci F, Ricarte A, Habouzit M, Vito F, Powell M, Koss M, Mushotzky R. Surveying the Onset and Evolution of Supermassive Black Holes at High-z with AXIS. Universe. 2024; 10(7):276. https://doi.org/10.3390/universe10070276
Chicago/Turabian StyleCappelluti, Nico, Adi Foord, Stefano Marchesi, Fabio Pacucci, Angelo Ricarte, Melanie Habouzit, Fabio Vito, Meredith Powell, Michael Koss, and Richard Mushotzky. 2024. "Surveying the Onset and Evolution of Supermassive Black Holes at High-z with AXIS" Universe 10, no. 7: 276. https://doi.org/10.3390/universe10070276
APA StyleCappelluti, N., Foord, A., Marchesi, S., Pacucci, F., Ricarte, A., Habouzit, M., Vito, F., Powell, M., Koss, M., & Mushotzky, R. (2024). Surveying the Onset and Evolution of Supermassive Black Holes at High-z with AXIS. Universe, 10(7), 276. https://doi.org/10.3390/universe10070276

