Prospects for AGN Studies with AXIS: AGN Fueling—Resolving Hot Gas inside Bondi Radius of SMBHs
Abstract
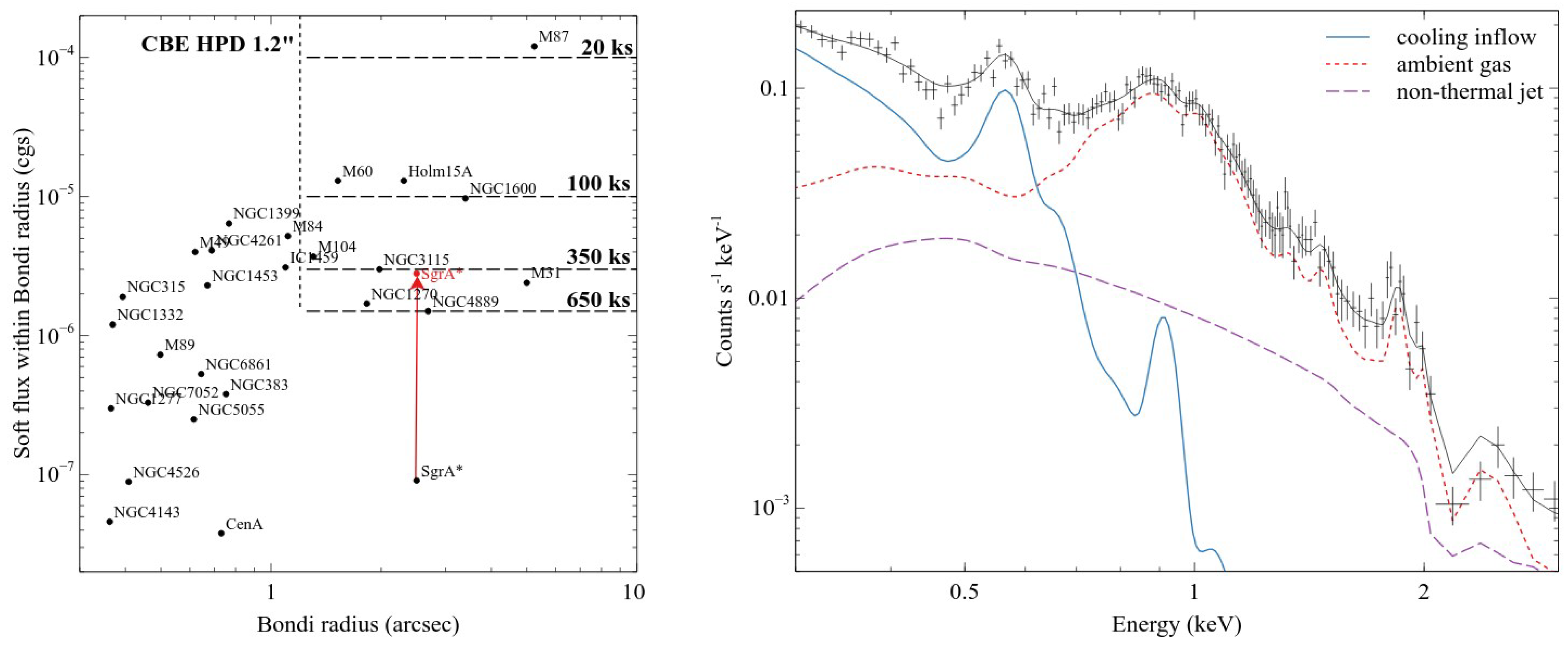
1. Introduction
2. Current Status in Resolving the Hot Gas within the Bondi Radius of SMBHs
3. Prospects for Bondi Radius Studies with AXIS
4. Concluding Remarks
Author Contributions
Funding
Data Availability Statement
Acknowledgments
Conflicts of Interest
| 1 | Chandra X-ray Visionary Projects (XVP) were the largest type of science research proposals issued between Cycle 13 and Cycle 16. They involved new Chandra observations for major, coherent science projects aimed at addressing key questions in current astrophysics that required 1 Msec or more of observing time. |
| 2 | It should be noted that the concept of Bondi radius is not well defined in a realistic system due to the multi-temperature nature of the hot gas and the non-trivial outer boundary condition. Nevertheless, we can still estimate the size of the Bondi radius observationally to characterize the rough size of the accretion region. However, the sizes shown here are only approximate, as we assume the hot gas temperature to be 0.5 keV, which underestimates the Bondi radii for cooler systems. |
References
- Ho, L.C. Nuclear activity in nearby galaxies. Annu. Rev. Astron. Astrophys. 2008, 46, 475–539. [Google Scholar] [CrossRef]
- Fabian, A.C. Observational Evidence of Active Galactic Nuclei Feedback. Annu. Rev. Astron. Astrophys. 2012, 50, 455–489. [Google Scholar] [CrossRef]
- McNamara, B.R.; Nulsen, P.E.J. Heating Hot Atmospheres with Active Galactic Nuclei. Annu. Rev. Astron. Astrophys. 2007, 45, 117–175. [Google Scholar] [CrossRef]
- Bondi, H. On spherically symmetrical accretion. Mon. Not. R. Astron. Soc. 1952, 112, 195. [Google Scholar] [CrossRef]
- Allen, S.W.; Dunn, R.J.H.; Fabian, A.C.; Taylor, G.B.; Reynolds, C.S. The relation between accretion rate and jet power in X-ray luminous elliptical galaxies. Mon. Not. R. Astron. Soc. 2006, 372, 21–30. [Google Scholar] [CrossRef]
- Russell, H.R.; McNamara, B.R.; Edge, A.C.; Hogan, M.T.; Main, R.A.; Vantyghem, A.N. Radiative efficiency, variability and Bondi accretion on to massive black holes: The transition from radio AGN to quasars in brightest cluster galaxies. Mon. Not. R. Astron. Soc. 2013, 432, 530–553. [Google Scholar] [CrossRef]
- Pillepich, A.; Springel, V.; Nelson, D.; Genel, S.; Naiman, J.; Pakmor, R.; Hernquist, L.; Torrey, P.; Vogelsberger, M.; Weinberger, R.; et al. Simulating galaxy formation with the IllustrisTNG model. Mon. Not. R. Astron. Soc. 2018, 473, 4077–4106. [Google Scholar] [CrossRef]
- Brighenti, F.; Mathews, W.G. Chandra Detection of Massive Black Holes in Galactic Cooling Flows. Astrophys. J. 1999, 527, L89–L92. [Google Scholar] [CrossRef] [PubMed][Green Version]
- Quataert, E.; Narayan, R. The Cooling Flow to Accretion Flow Transition. Astrophys. J. 2000, 528, 236–242. [Google Scholar] [CrossRef][Green Version]
- Baganoff, F.K.; Maeda, Y.; Morris, M.; Bautz, M.W.; Brandt, W.N.; Cui, W.; Doty, J.P.; Feigelson, E.D.; Garmire, G.P.; Pravdo, S.H.; et al. Chandra X-Ray Spectroscopic Imaging of Sagittarius A* and the Central Parsec of the Galaxy. Astrophys. J. 2003, 591, 891–915. [Google Scholar] [CrossRef]
- Garcia, M.R.; Hextall, R.; Baganoff, F.K.; Galache, J.; Melia, F.; Murray, S.S.; Primini, F.A.; Sjouwerman, L.O.; Williams, B. X-ray and Radio Variability of M31*, The Andromeda Galaxy Nuclear Supermassive Black Hole. Astrophys. J. 2010, 710, 755–763. [Google Scholar] [CrossRef]
- Blandford, R.; Globus, N. Ergomagnetosphere, ejection disc, magnetopause in M87 - I. Global flow of mass, angular momentum, energy, and current. Mon. Not. R. Astron. Soc. 2022, 514, 5141–5158. [Google Scholar] [CrossRef]
- Lalakos, A.; Gottlieb, O.; Kaaz, N.; Chatterjee, K.; Liska, M.; Christie, I.M.; Tchekhovskoy, A.; Zhuravleva, I.; Nokhrina, E. Bridging the Bondi and Event Horizon Scales: 3D GRMHD Simulations Reveal X-shaped Radio Galaxy Morphology. Astrophys. J. Lett. 2022, 936, L5. [Google Scholar] [CrossRef]
- Guo, M.; Stone, J.M.; Kim, C.G.; Quataert, E. Toward Horizon-scale Accretion onto Supermassive Black Holes in Elliptical Galaxies. Astrophys. J. 2023, 946, 26. [Google Scholar] [CrossRef]
- Olivares, H.R.; Mościbrodzka, M.A.; Porth, O. General relativistic hydrodynamic simulations of perturbed transonic accretion. Astron. Astrophys. 2023, 678, A141. [Google Scholar] [CrossRef]
- Wong, K.-W.; Irwin, J.A.; Shcherbakov, R.V.; Yukita, M.; Million, E.T.; Bregman, J.N. The Megasecond Chandra X-ray Visionary Project Observation of NGC 3115: Witnessing the Flow of Hot Gas within the Bondi Radius. Astrophys. J. 2014, 780, 9. [Google Scholar] [CrossRef]
- Ichimaru, S. Bimodal behavior of accretion disks: Theory and application to Cygnus X-1 transitions. Astrophys. J. 1977, 214, 840–855. [Google Scholar] [CrossRef]
- Rees, M.J.; Begelman, M.C.; Blandford, R.D.; Phinney, E.S. Ion-supported tori and the origin of radio jets. Nature 1982, 295, 17–21. [Google Scholar] [CrossRef]
- Narayan, R.; Yi, I. Advection-dominated Accretion: A Self-similar Solution. Astrophys. J. Lett. 1994, 428, L13. [Google Scholar] [CrossRef]
- Narayan, R.; Igumenshchev, I.V.; Abramowicz, M.A. Self-similar Accretion Flows with Convection. Astrophys. J. 2000, 539, 798–808. [Google Scholar] [CrossRef]
- Quataert, E.; Gruzinov, A. Convection-dominated Accretion Flows. Astrophys. J. 2000, 539, 809–814. [Google Scholar] [CrossRef]
- Abramowicz, M.A.; Igumenshchev, I.V.; Quataert, E.; Narayan, R. On the Radial Structure of Radiatively Inefficient Accretion Flows with Convection. Astrophys. J. 2002, 565, 1101–1106. [Google Scholar] [CrossRef]
- Blandford, R.D.; Begelman, M.C. On the fate of gas accreting at a low rate on to a black hole. Mon. Not. R. Astron. Soc. 1999, 303, L1–L5. [Google Scholar] [CrossRef]
- Begelman, M.C. Radiatively inefficient accretion: Breezes, winds and hyperaccretion. Mon. Not. R. Astron. Soc. 2012, 420, 2912–2923. [Google Scholar] [CrossRef][Green Version]
- Stone, J.M.; Pringle, J.E.; Begelman, M.C. Hydrodynamical non-radiative accretion flows in two dimensions. Mon. Not. R. Astron. Soc. 1999, 310, 1002–1016. [Google Scholar] [CrossRef]
- Igumenshchev, I.V.; Abramowicz, M.A.; Narayan, R. Numerical Simulations of Convective Accretion Flows in Three Dimensions. Astrophys. J. 2000, 537, L27–L30. [Google Scholar] [CrossRef][Green Version]
- Li, J.; Ostriker, J.; Sunyaev, R. Rotating Accretion Flows: From Infinity to the Black Hole. Astrophys. J. 2013, 767, 105. [Google Scholar] [CrossRef]
- Igumenshchev, I.V.; Narayan, R.; Abramowicz, M.A. Three-dimensional Magnetohydrodynamic Simulations of Radiatively Inefficient Accretion Flows. Astrophys. J. 2003, 592, 1042–1059. [Google Scholar] [CrossRef]
- Igumenshchev, I.V. Magnetically Arrested Disks and the Origin of Poynting Jets: A Numerical Study. Astrophys. J. 2008, 677, 317–326. [Google Scholar] [CrossRef]
- McKinney, J.C.; Tchekhovskoy, A.; Blandford, R.D. General relativistic magnetohydrodynamic simulations of magnetically choked accretion flows around black holes. Mon. Not. R. Astron. Soc. 2012, 423, 3083–3117. [Google Scholar] [CrossRef]
- Tchekhovskoy, A.; McKinney, J.C. Prograde and retrograde black holes: Whose jet is more powerful? Mon. Not. R. Astron. Soc. 2012, 423, L55–L59. [Google Scholar] [CrossRef]
- Gaspari, M.; Brighenti, F.; Temi, P. Chaotic cold accretion on to black holes in rotating atmospheres. Astron. Astrophys. 2015, 579, A62. [Google Scholar] [CrossRef]
- Shcherbakov, R.V.; Baganoff, F.K. Inflow-Outflow Model with Conduction and Self-consistent Feeding for Sgr A*. Astrophys. J. 2010, 716, 504–509. [Google Scholar] [CrossRef]
- Shcherbakov, R.V.; Wong, K.-W.; Irwin, J.A.; Reynolds, C.S. Modeling Hot Gas Flow in the Low-luminosity Active Galactic Nucleus of NGC 3115. Astrophys. J. 2014, 782, 103. [Google Scholar] [CrossRef]
- Yuan, F.; Narayan, R. Hot Accretion Flows Around Black Holes. Annu. Rev. Astron. Astrophys. 2014, 52, 529–588. [Google Scholar] [CrossRef]
- Wang, Q.D.; Nowak, M.A.; Markoff, S.B.; Baganoff, F.K.; Nayakshin, S.; Yuan, F.; Cuadra, J.; Davis, J.; Dexter, J.; Fabian, A.C.; et al. Dissecting X-ray-Emitting Gas Around the Center of Our Galaxy. Science 2013, 341, 981–983. [Google Scholar] [CrossRef]
- Wong, K.-W.; Irwin, J.A.; Yukita, M.; Million, E.T.; Mathews, W.G.; Bregman, J.N. Resolving the Bondi Accretion Flow toward the Supermassive Black Hole of NGC 3115 with Chandra. Astrophys. J. 2011, 736, L23. [Google Scholar] [CrossRef]
- Russell, H.R.; Fabian, A.C.; McNamara, B.R.; Broderick, A.E. Inside the Bondi radius of M87. Mon. Not. R. Astron. Soc. 2015, 451, 588–600. [Google Scholar] [CrossRef]
- Russell, H.R.; Fabian, A.C.; McNamara, B.R.; Miller, J.M.; Nulsen, P.E.J.; Piotrowska, J.M.; Reynolds, C.S. The imprints of AGN feedback within a supermassive black hole’s sphere of influence. Mon. Not. R. Astron. Soc. 2018, 477, 3583–3599. [Google Scholar] [CrossRef]
- Runge, J.; Walker, S.A. Probing within the Bondi radius of the ultramassive black hole in NGC 1600. Mon. Not. R. Astron. Soc. 2021, 502, 5487–5494. [Google Scholar] [CrossRef]
- Bambic, C.J.; Russell, H.R.; Reynolds, C.S.; Fabian, A.C.; McNamara, B.R.; Nulsen, P.E.J. AGN feeding and feedback in M84: From kiloparsec scales to the Bondi radius. Mon. Not. R. Astron. Soc. 2023, 522, 4374–4391. [Google Scholar] [CrossRef]
- Nemmen, R.S.; Storchi-Bergmann, T.; Eracleous, M. Spectral models for low-luminosity active galactic nuclei in LINERs: The role of advection-dominated accretion and jets. Mon. Not. R. Astron. Soc. 2014, 438, 2804–2827. [Google Scholar] [CrossRef]
- Broderick, A.E.; Fish, V.L.; Johnson, M.D.; Rosenfeld, K.; Wang, C.; Doeleman, S.S.; Akiyama, K.; Johannsen, T.; Roy, A.L. Modeling Seven Years of Event Horizon Telescope Observations with Radiatively Inefficient Accretion Flow Models. Astrophys. J. 2016, 820, 137. [Google Scholar] [CrossRef]
- Feng, J.; Wu, Q.; Lu, R.S. An Accretion-jet Model for M87: Interpreting the Spectral Energy Distribution and Faraday Rotation Measure. Astrophys. J. 2016, 830, 6. [Google Scholar] [CrossRef]
- Almeida, I.; Nemmen, R.; Wong, K.-W.; Wu, Q.; Irwin, J.A. The multiwavelength spectrum of NGC 3115: Hot accretion flow properties. Mon. Not. R. Astron. Soc. 2018, 475, 5398–5402. [Google Scholar] [CrossRef]
- Ma, R.Y.; Roberts, S.R.; Li, Y.P.; Wang, Q.D. Spectral energy distribution of the inner accretion flow around Sgr A*–clue for a weak outflow in the innermost region. Mon. Not. R. Astron. Soc. 2019, 483, 5614–5622. [Google Scholar] [CrossRef]
- Prasad, D.; Sharma, P.; Babul, A. AGN jet-driven stochastic cold accretion in cluster cores. Mon. Not. R. Astron. Soc. 2017, 471, 1531–1542. [Google Scholar] [CrossRef]
- Gaspari, M.; Ruszkowski, M.; Oh, S.P. Chaotic cold accretion on to black holes. Mon. Not. R. Astron. Soc. 2013, 432, 3401–3422. [Google Scholar] [CrossRef]
- Yao, Z.; Gan, Z. Hot gas flows on a parsec scale in the low-luminosity active galactic nucleus NGC 3115. Mon. Not. R. Astron. Soc. 2020, 492, 444–455. [Google Scholar] [CrossRef]
- Sun, H.W.; Yang, X.H. Dynamical and thermal properties of the parsec-scale gases spherically accreted on to low luminous active galactic nuclei. Mon. Not. R. Astron. Soc. 2021, 505, 4129–4140. [Google Scholar] [CrossRef]
- Almeida, I.; Nemmen, R. Winds and feedback from supermassive black holes accreting at low rates: Hydrodynamical treatment. Mon. Not. R. Astron. Soc. 2020, 492, 2553–2571. [Google Scholar] [CrossRef]
- Plucinsky, P.P.; Bogdan, A.; Marshall, H.L. The evolution of the ACIS contamination layer on the Chandra X-ray Observatory through 2022. In Proceedings of the Space Telescopes and Instrumentation 2022: Ultraviolet to Gamma Ray; den Herder, J.W.A., Nikzad, S., Nakazawa, K., Eds.; Society of Photo-Optical Instrumentation Engineers (SPIE) Conference Series; SPIE: Bellingham, WA, USA, 2022; Volume 12181, p. 121816X. [Google Scholar] [CrossRef]
- Reynolds, C.S.; Kara, E.A.; Mushotzky, R.F.; Ptak, A.; Koss, M.J.; Williams, B.J.; Allen, S.W.; Bauer, F.E.; Bautz, M.; Bodaghee, A.; et al. Overview of the Advanced X-ray Imaging Satellite (AXIS). arXiv 2023, arXiv:2311.00780. [Google Scholar] [CrossRef]
- Event Horizon Telescope Collaboration; Akiyama, K.; Alberdi, A.; Alef, W.; Asada, K.; Azulay, R.; Baczko, A.K.; Ball, D.; Baloković, M.; Barrett, J.; et al. First M87 Event Horizon Telescope Results. I. The Shadow of the Supermassive Black Hole. Astrophys. J. 2019, 875, L1. [Google Scholar] [CrossRef]
- Event Horizon Telescope Collaboration; Akiyama, K.; Alberdi, A.; Alef, W.; Algaba, J.C.; Anantua, R.; Asada, K.; Azulay, R.; Bach, U.; Baczko, A.K.; et al. First Sagittarius A* Event Horizon Telescope Results. I. The Shadow of the Supermassive Black Hole in the Center of the Milky Way. Astrophys. J. 2022, 930, L12. [Google Scholar] [CrossRef]
- Johnson, M.D.; Akiyama, K.; Blackburn, L.; Bouman, K.L.; Broderick, A.E.; Cardoso, V.; Fender, R.P.; Fromm, C.M.; Galison, P.; Gómez, J.L.; et al. Key Science Goals for the Next-Generation Event Horizon Telescope. Galaxies 2023, 11, 61. [Google Scholar] [CrossRef]
- National Academies of Sciences, Engineering, and Medicine. Pathways to Discovery in Astronomy and Astrophysics for the 2020s; The National Academies Press: Washington, DC, USA, 2021. [Google Scholar] [CrossRef]



Disclaimer/Publisher’s Note: The statements, opinions and data contained in all publications are solely those of the individual author(s) and contributor(s) and not of MDPI and/or the editor(s). MDPI and/or the editor(s) disclaim responsibility for any injury to people or property resulting from any ideas, methods, instructions or products referred to in the content. |
© 2024 by the authors. Licensee MDPI, Basel, Switzerland. This article is an open access article distributed under the terms and conditions of the Creative Commons Attribution (CC BY) license (https://creativecommons.org/licenses/by/4.0/).
Share and Cite
Wong, K.-W.; Russell, H.R.; Irwin, J.A.; Cappelluti, N.; Foord, A. Prospects for AGN Studies with AXIS: AGN Fueling—Resolving Hot Gas inside Bondi Radius of SMBHs. Universe 2024, 10, 278. https://doi.org/10.3390/universe10070278
Wong K-W, Russell HR, Irwin JA, Cappelluti N, Foord A. Prospects for AGN Studies with AXIS: AGN Fueling—Resolving Hot Gas inside Bondi Radius of SMBHs. Universe. 2024; 10(7):278. https://doi.org/10.3390/universe10070278
Chicago/Turabian StyleWong, Ka-Wah, Helen R. Russell, Jimmy A. Irwin, Nico Cappelluti, and Adi Foord. 2024. "Prospects for AGN Studies with AXIS: AGN Fueling—Resolving Hot Gas inside Bondi Radius of SMBHs" Universe 10, no. 7: 278. https://doi.org/10.3390/universe10070278
APA StyleWong, K.-W., Russell, H. R., Irwin, J. A., Cappelluti, N., & Foord, A. (2024). Prospects for AGN Studies with AXIS: AGN Fueling—Resolving Hot Gas inside Bondi Radius of SMBHs. Universe, 10(7), 278. https://doi.org/10.3390/universe10070278

