The Power of Relativistic Jets: A Comparative Study
Abstract
1. Introduction
2. Sample Selection
3. The Blandford and Königl Model
4. Very Long Baseline Array (VLBA) Observations
4.1. All Epochs
4.2. Overlapping Epochs
5. Single-Dish Observations
- from MOJAVE (15 GHz): , , , ;
- from BU (43 GHz): , , , ;
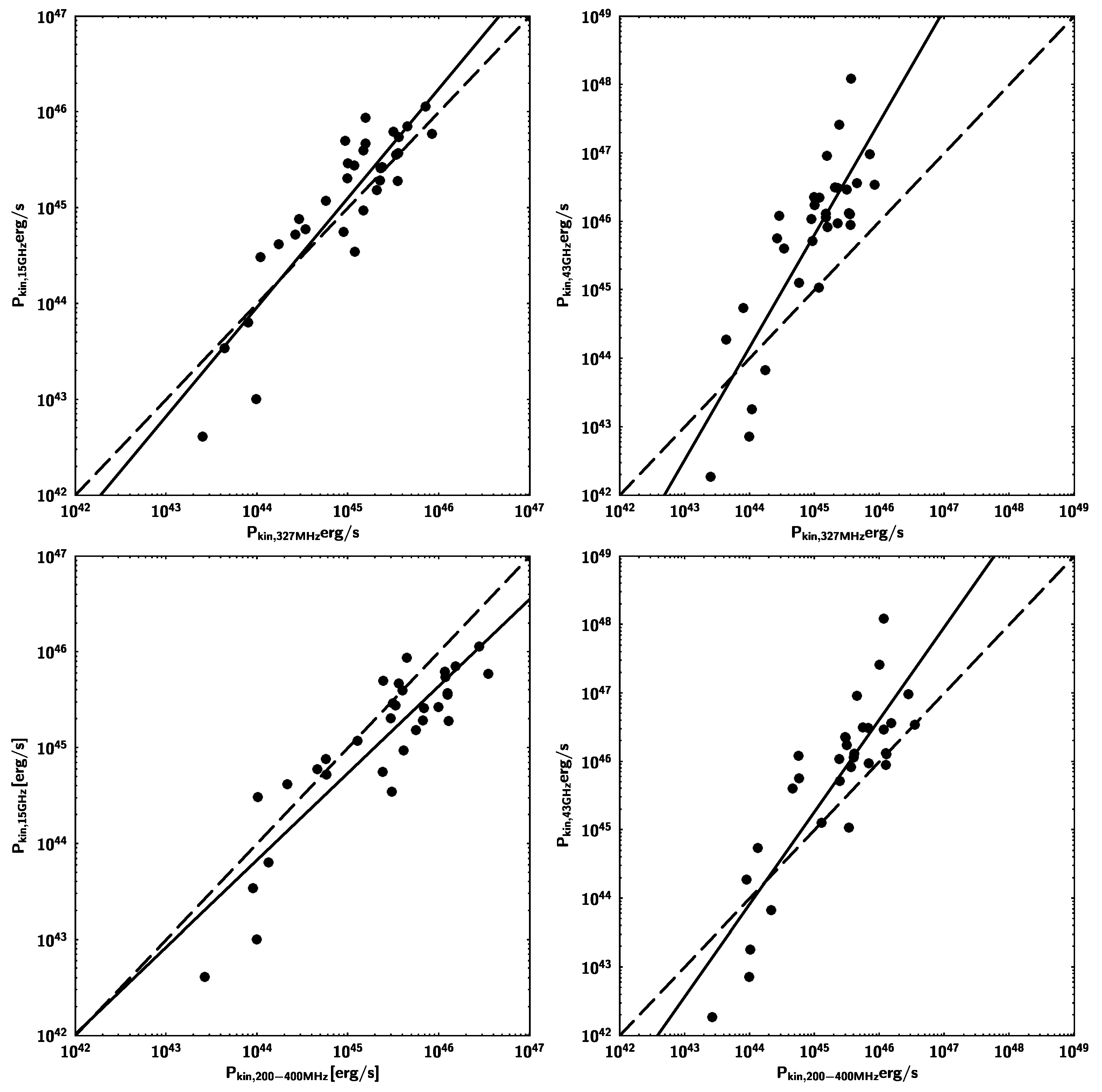
6. Kinetic Power Estimated from the Extended Emission
- 327 MHz vs. 15 GHz: , , , ;
- 327 MHz vs. 43 GHz: , , , ;
- 200–400 MHz vs. 15 GHz: , , , ;
- 200–400 MHz vs. 43 GHz: , , , .
7. Radiative Power
- rays vs. 15 GHz: , , , ;
- rays vs. 43 GHz: , , , .
8. Fudge Factors
- 43 vs. 15 GHz: , , , ;
- 43 vs. 37 GHz: , , , ,
- vs. 15 GHz: , , , ;
- vs. 43 GHz: , , , .
9. Discussion and Conclusions
- The jet power estimates based on the Blandford and Königl model [27] plus VLBA data at 15 and 43 GHz are in good agreement (Section 4). The almost simultaneity of observations does not imply significant changes in the calculated jet power, at least with the present data set (Section 4.2). One source of bias is the measurement of the Doppler factor via the brightness temperature (see Equation (18) and Figure 1). This problem has already been noted by several authors (e.g., [11,13,43], and particularly see the extensive discussion in [26]), and is related to both the physics of the jets (opacity, absorption, activity of the jet, etc.) and the instrumental/observational issues (frequency, cadence of observations, etc.). We do not know the intrinsic brightness temperature for any source and cannot measure it. Therefore, we need either to make theoretical hypotheses [29] or to follow a statistical approach by assuming that every jetted AGN has more or less the same equal to the median or the mean of the sample [26]. The approach proposed by Jorstad et al. [11,43] to calculate (cf. Equation (15)) based on the flux variability is much more reliable, as shown by the excellent agreement with the radiative power measured from high-energy rays (see Section 7, particularly Figure 9, right panel). This approach seems to be not suitable for 15 GHz data, as radio observations at this frequency are sampling the jet downstream, where the flux variability is affected by effects other than radiative losses only [26].
- The kinetic power calculated on the basis of the extended radio emission at MHz frequencies and the relationships by [35,36] (Section 6) gives better results when compared with the power estimated from the Blandford and Königl [27] model and 15 GHz data. However, we noted a systematic disagreement of the power for weak sources ( erg/s).
- The comparison of the radiative power estimated from the Blandford and Königl [27] model and high-energy -ray observations from Fermi/LAT (Section 7) resulted in an excellent agreement, particularly with 43 GHz data, and when taking into account the Compton dominance. The larger dispersion in the comparison with 15 GHz data seems to be due to the above-cited limitations of calculated via (Figure 10). However, a quite good agreement with 15 GHz data is recovered when using a constant value for to estimate the radiative power, even though it is systematically lower than the value from radio observations and is likely to be a chance coincidence (Section 8).
- Searching for an easy-to-use equation to estimate the jet power, we proposed Equation (27), based on the limited range of values of , particularly from 15 GHz data. The comparison of power derived from 15, 37, and 43 GHz data is fairly correlated () with an acceptable dispersion . The use of a constant to estimate the radiative power from the -ray luminosity resulted in a slightly greater dispersion ( 0.6–0.7).
- The sample is composed mostly of blazars (30/32 objects), whose electromagnetic emission is dominated by relativistic beaming, because of the small viewing angle. Only two objects are misaligned AGN (radio galaxies), and there are no jetted Seyferts. It is necessary to expand the sample to cover all types of jetted AGN, beamed or not.
- To convert redshifts into luminosity distances, we employed the simplified Equation (1). This resulted in an overestimation of the luminosity distance of ∼10% for the farthest object (J, ), which quickly decreases to ∼4% for objects at . This is not a problem in the present work, since we compared the jet power of the same object calculated with different methods, but a comparison with values from other works should be dealt with care in the case of high-redshift objects.
- The Blandford and Königl [27] model is for flat-spectrum radio sources. Deviation from a flat radio spectrum, such as in cases of steep spectra of misaligned AGN, might imply large errors. In our sample, we have only two radio galaxies, too few to draw useful conclusions.
- The extended radio emission to estimate the kinetic power (Section 6) should be only due to radio lobes, with a steep spectrum. However, for the sake of simplicity, we considered the whole integrated flux. As a matter of fact, the typical resolution at 200–400 MHz is about one arcminute, which is equivalent to ∼0.1 Mpc at 0.1. Therefore, most of the objects in our sample are pointlike at MHz frequencies, and it is not possible to isolate the steep-spectrum extended emission from the core. Anyway, at MHz frequencies, the core contribution should be less important than the lobes. The low-frequency array (LOFAR) might be a viable solution for a better angular resolution (∼0.21″ at 240 MHz for a 1000 km baseline (https://science.astron.nl/telescopes/lofar/lofar-system-overview/observing-modes/lofar-imaging-capabilities-and-sensitivity/, accessed on 27 March 2024)), but it is necessary to recalibrate Equations (20) and (21) because the maximum frequency of LOFAR is 250 MHz.
- In this work, we always used median or weighted mean values calculated over long periods. The shortest period is 2007–2013, about 5.5 years. Given the strong variability of jetted AGN, the use of values from single-epoch observations or from only one VLBA knot might result in significant deviations. For example, we considered J with VLBA data at 43 GHz: the total jet power with the data used in this work results to be ∼ erg/s. We want to compare with the most recent data from [44], which extended the work in [11] to December 2018. By using the median values, we calculate ∼ erg/s, consistent within a factor 2 with the present work. If we calculate the jet power by using the data, for example, of the component C15 only, we obtain ∼ erg/s, about one order of magnitude smaller.
- We also need to underline that this work was conducted by considering the same physical factors and for all the sources. Therefore, a part of the dispersions in the comparisons is surely due to this assumption. For example, an outburst changing the electron distribution will alter , which in turn will change the coefficient of Equation (8). Therefore, it is necessary to also address the microphysics of the jet and, particularly, the particle content (leptons vs. hadrons), the energy distribution of electrons, the size of the emission region vs. opacity, and the equipartition hypothesis.
Author Contributions
Funding
Data Availability Statement
Acknowledgments
Conflicts of Interest
References
- Blandford, R.; Meier, D.; Readhead, A. Relativistic Jets from Active Galactic Nuclei. Annu. Rev. Astron. Astrophys. 2019, 57, 467–509. [Google Scholar] [CrossRef]
- Foschini, L. Some notes about the current researches on the physics of relativistic jets. Front. Astron. Space Sci. 2022, 8, 794891. [Google Scholar] [CrossRef]
- Pjanka, P.; Zdziarski, A.A.; Sikora, M. The power and production efficiency of blazar jets. Mon. Not. R. Astron. Soc. 2017, 465, 3506–3514. [Google Scholar] [CrossRef]
- Ghisellini, G.; Tavecchio, F. Canonical high-power blazars. Mon. Not. R. Astron. Soc. 2009, 397, 985–1002. [Google Scholar] [CrossRef]
- Ghisellini, G.; Tavecchio, F.; Maraschi, L.; Celotti, A.; Sbarrato, T. The power of relativistic jets is larger than the luminosity of their accretion disks. Nature 2014, 515, 376–378. [Google Scholar] [CrossRef] [PubMed]
- Lobanov, A. Ultracompact jets in active galactic nuclei. Astron. Astrophys. 1998, 330, 79–89. [Google Scholar]
- Zdziarski, A.A.; Sikora, M.; Pjanka, P.; Tchekhovskoy, A. Core shifts, magnetic field and magnetization of extragalactic jets. MNRAS 2015, 451, 927–935. [Google Scholar] [CrossRef]
- Willot, C.J.; Rawlings, S.; Blundell, K.M.; Lacy, M. The emission line-radio correlation for radio sources using the 7C redshift survey. Mon. Not. R. Astron. Soc. 1999, 309, 1017–1033. [Google Scholar] [CrossRef]
- Nemmen, R.S.; Georganopoulos, M.; Guiriec, S.; Meyer, E.T.; Gehrels, N.; Sambruna, R.M. A Universal Scaling for the Energetics of Relativistic Jets from Black Hole Systems. Science 2012, 338, 1445–1448. [Google Scholar] [CrossRef]
- Foschini, L.; Lister, M.; Hovatta, T.; Kovalev, Y.; Romano, P.; Vercellone, S.; Lähteenmäki, A.; Savolainen, T.; Tornikoski, M.; Angelakis, E.; et al. Calibrating The Power Of Relativistic Jets. In Proceedings of the High Energy Phenomena in Relativistic Outflows VII (HEPRO VII), Barcelona, Spain, 9–12 July 2019; Volume 354. [Google Scholar]
- Jorstad, S.G.; Marscher, A.P.; Morozova, D.A.; Troitsky, I.S.; Agudo, I.; Casadio, C.; Foord, A.; Gómez, J.L.; MacDonald, N.R.; Molina, S.N.; et al. Kinematics of parsec-scale jets of gamma-ray blazars at 43 GHz within the VLBA-BU-BLAZAR program. Astrophys. J. 2017, 846, 98. [Google Scholar] [CrossRef]
- Pushkarev, A.B.; Kovalev, Y.Y.; Lister, M.L.; Savolainen, T. MOJAVE—XIV. Shapes and opening angles of AGN jets. Mon. Not. R. Astron. Soc. 2017, 468, 4992–5003. [Google Scholar] [CrossRef]
- Liodakis, I.; Hovatta, T.; Huppenkothen, D.; Kiehlmann, S.; Max-Moerbeck, W.; Readhead, A.C.S. Constraining the Limiting Brightness Temperature and Doppler Factors for the Largest Sample of Radio-bright Blazars. Astrophys. J. 2018, 866, 137. [Google Scholar] [CrossRef]
- Finke, J.D. The properties of parsec-scale blazar jets. Astrophys. J. 2019, 870, 28. [Google Scholar] [CrossRef]
- Paliya, V.S.; Marcotulli, L.; Ajello, M.; Joshi, M.; Sahayanathan, S.; Rao, A.R.; Hartmann, D. General Physical Properties of CGRaBS Blazars. Astrophys. J. 2017, 851, 33. [Google Scholar] [CrossRef]
- Paliya, V.S.; Parker, M.L.; Jiang, J.; Fabian, A.C.; Brenneman, L.; Ajello, M.; Hartmann, D. General Physical Properties of Gamma-Ray-emitting Narrow-line Seyfert 1 Galaxies. Astrophys. J. 2019, 872, 169. [Google Scholar] [CrossRef]
- Meyer, E.T.; Fossati, G.; Georganopoulos, M.; Lister, M.L. From the Blazar Sequence to the Blazar Envelope: Revisiting the Relativistic Jet Dichotomy in Radio-loud Active Galactic Nuclei. Astrophys. J. 2011, 740, 98. [Google Scholar] [CrossRef]
- Nokhrina, E.E.; Beskin, V.S.; Kovalev, Y.Y.; Zheltoukhov, A.A. Intrinsic physical conditions and structure of relativistic jets in active galactic nuclei. Mon. Not. R. Astron. Soc. 2015, 447, 2726–2737. [Google Scholar] [CrossRef]
- Foschini, L. The Unification of Relativistic Jets. Int. J. Mod. Phys. Conf. Ser. 2014, 28, 1460188. [Google Scholar] [CrossRef]
- Riess, A.G.; Yuan, W.; Macri, L.M.; Scolnic, D.; Brout, D.; Casertano, S.; Jones, D.O.; Murakami, Y.; Anand, G.S.; Breuval, L.; et al. A Comprehensive Measurement of the Local Value of the Hubble Constant with 1 km s−1 Mpc−1 Uncertainty from the Hubble Space Telescope and the SH0ES Team. Astrophys. J. 2022, 934, L7. [Google Scholar] [CrossRef]
- Jorstad, S.; Marscher, A. The VLBA-BU-BLAZAR Multi-Wavelength Monitoring Program. Galaxies 2016, 4, 47. [Google Scholar] [CrossRef]
- Foschini, L.; Lister, M.L.; Andernach, H.; Ciroi, S.; Marziani, P.; Antón, S.; Berton, M.; Dalla Bontà, E.; Järvelä, E.; Marchã, M.J.M.; et al. A New Sample of Gamma-Ray Emitting Jetted Active Galactic Nuclei. Universe 2022, 8, 587. [Google Scholar] [CrossRef]
- Matt, G.; Guainazzi, M.; Maiolino, R. Changing look: From Compton-thick to Compton-thin, or the rebirth of fossil active galactic nuclei. Mon. Not. R. Astron. Soc. 2003, 342, 422–426. [Google Scholar] [CrossRef]
- Ricci, C.; Trakhtenbrot, B. Changing-look Active Galactic Nuclei. arXiv 2022, arXiv:2211.05132. [Google Scholar] [CrossRef]
- Lister, M.L.; Aller, M.F.; Aller, H.D.; Hodge, M.A.; Homan, D.C.; Kovalev, Y.Y.; Pushkarev, A.B.; Savolainen, T. MOJAVE XV. VLBA 15 GHz Total Intensity and Polarization Maps of 437 Parsec-scale AGN Jets from 1996 to 2017. Astrophys. J. Suppl. Ser. 2018, 234, 12. [Google Scholar] [CrossRef]
- Homan, D.C.; Cohen, M.H.; Hovatta, T.; Kellermann, K.I.; Kovalev, Y.Y.; Lister, M.L.; Popkov, A.V.; Pushkarev, A.B.; Ros, E.; Savolainen, T. MOJAVE XIX. Brightness Temperatures and Intrinsic Properties of Blazar Jets. Astrophys. J. 2021, 923, 67. [Google Scholar] [CrossRef]
- Blandford, R.D.; Königl, A. Relativistic Jets as Compact Radio Sources. Astrophys. J. 1979, 232, 34–48. [Google Scholar] [CrossRef]
- Clausen-Brown, E.; Savolainen, T.; Pushkarev, A.B.; Kovalev, Y.Y.; Zensus, J.A. Causal connection in parsec-scale relativistic jets: Results from the MOJAVE VLBI survey. Astron. Astrophys. 2013, 558, A144. [Google Scholar] [CrossRef]
- Readhead, A.C.S. Equipartition Brightness Temperature and the Inverse Compton Catastrophe. Astrophys. J. 1994, 426, 51–59. [Google Scholar] [CrossRef]
- Edwards, P.G.; Piner, B.G. The Subluminal Parsec-Scale Jet of Markarian 501. Astrophys. J. 2002, 579, L67–L70. [Google Scholar] [CrossRef]
- Piner, B.G.; Edwards, P.G. The Parsec-Scale Structure and Jet Motions of the TeV Blazars 1ES 1959 + 650, PKS 2155 − 304, and 1ES 2344 + 514. Astrophys. J. 2004, 600, 115–126. [Google Scholar] [CrossRef]
- Hovatta, T.; Valtaoja, E.; Tornikoski, M.; Lähteenmäki, A. Doppler factors, Lorentz factors, and viewing angles for quasars, BL Lacertae objects and radio galaxies. Astron. Astrophys. 2009, 494, 527–537. [Google Scholar] [CrossRef]
- Teräsranta, H.; Tornikoski, M.; Mujunen, A.; Karlamaa, K.; Valtonen, T.; Henelius, N.; Urpo, S.; Lainela, M.; Pursimo, T.; Nilsson, K.; et al. Fifteen years monitoring of extragalactic radio sources at 22, 37 and 87 GHz. Astron. Astrophys. Suppl. 1998, 132, 305–331. [Google Scholar] [CrossRef]
- McNamara, B.R.; Wise, M.; Nulsen, P.E.J.; David, L.P.; Sarazin, C.L.; Bautz, M.; Markevitch, M.; Vikhlinin, A.; Forman, W.R.; Jones, C.; et al. Chandra X-ray Observations of the Hydra A Cluster: An Interaction between the Radio Source and the X-ray-emitting Gas. Astrophys. J. 2000, 534, L135–L138. [Google Scholar] [CrossRef] [PubMed]
- Bîrzan, L.; McNamara, B.R.; Nulsen,, P.E.J.; Carilli, C.L.; Wise, M.W. Radiative efficiency and content of extragalactic radio sources: Toward a universal scaling relation between jet power and radio power. Astrophys. J. 2008, 686, 859–880. [Google Scholar] [CrossRef]
- Cavagnolo, K.W.; McNamara, B.R.; Nulsen, P.E.J.; Carilli, C.L.; Jones, C.; Bîrzan, L. A relationship between AGN jet power and radio power. Astrophys. J. 2010, 720, 1066–1072. [Google Scholar] [CrossRef]
- Verkhodanov, O.V.; Trushkin, S.A.; Andernach, H.; Chernenkov, V.N. Current status of the CATS database. arXiv 2005, arXiv:0705.2959. [Google Scholar]
- Atwood, W.B. et al. [Fermi LAT Collaboration] The Large Area Telescope on the Fermi Gamma-Ray Space Telescope Mission. Astrophys. J. 2009, 697, 1071–1102. [Google Scholar] [CrossRef]
- Abdollahi, S. et al. [Fermi LAT Collaboration] The Fermi-LAT Lightcurve Repository. Astrophys. J. Suppl. 2023, 265, 31. [Google Scholar] [CrossRef]
- Maraschi, L.; Tavecchio, F. The jet-disk connection and blazar unification. Astrophys. J. 2003, 593, 667–675. [Google Scholar] [CrossRef]
- Böttcher, M.; Harris, D.E.; Krawczynski, H. (Eds.) Relativistic Jets from Active Galactic Nuclei; Wiley: Weinheim, Germany, 2012. [Google Scholar]
- Ghisellini, G.; Tavecchio, F.; Foschini, L.; Ghirlanda, G.; Maraschi, L.; Celotti, A. General physical properties of bright Fermi blazars. Mon. Not. R. Astron. Soc. 2010, 402, 497–518. [Google Scholar] [CrossRef]
- Jorstad, S.G.; Marscher, A.P.; Lister, M.L.; Stirling, A.M.; Cawthorne, T.V.; Gear, W.K.; Gómez, J.L.; Stevens, J.A.; Smith, P.S.; Forster, J.R.; et al. Polarimetric Observations of 15 Active Galactic Nuclei at High Frequencies: Jet Kinematics from Bimonthly Monitoring with the Very Long Baseline Array. Astron. J. 2005, 130, 1418–1465. [Google Scholar] [CrossRef]
- Weaver, Z.R.; Jorstad, S.G.; Marscher, A.P.; Morozova, D.A.; Troitsky, I.S.; Agudo, I.; Gómez, J.L.; Lähteenmäki, A.; Tammi, J.; Tornikoski, M. Kinematics of Parsec-scale Jets of Gamma-Ray Blazars at 43 GHz during 10 yr of the VLBA-BU-BLAZAR Program. Astrophys. J. Suppl. Ser. 2022, 260, 12. [Google Scholar] [CrossRef]












| Name | Alias | RA | Dec | Class | z |
|---|---|---|---|---|---|
| (1) | (2) | (3) | (4) | (5) | (6) |
| J | PKS | BLLAC | |||
| J | NGC 1275 | MIS | |||
| J | PKS | FSRQ | |||
| J | PKS | FSRQ | |||
| J | 3C 120 | MIS | |||
| J | PKS | FSRQ | |||
| J | S3 | FSRQ | |||
| J | PKS | BLLAC | |||
| J | 4C | FSRQ | |||
| J | OJ 287 | BLLAC | |||
| J | S4 | BLLAC | |||
| J | 4C | FSRQ | |||
| J | Mkn 421 | BLLAC | |||
| J | PKS | FSRQ | |||
| J | Ton 599 | FSRQ | |||
| J | W Comae | BLLAC | |||
| J | 4C | FSRQ | |||
| J | 3C 273 | FSRQ | |||
| J | 3C 279 | FSRQ | |||
| J | OP 313 | FSRQ | |||
| J | PKS B | FSRQ | |||
| J | PKS | FSRQ | |||
| J | OS 319 | FSRQ | |||
| J | PKS B | FSRQ | |||
| J | 4C | FSRQ | |||
| J | 3C 345 | FSRQ | |||
| J | PKS | FSRQ | |||
| J | OT 081 | CLAGN | |||
| J | BL Lac | BLLAC | |||
| J | 3C 446 | CLAGN | |||
| J | CTA 102 | FSRQ | |||
| J | 3C | FSRQ |
| Name | ||||||||
|---|---|---|---|---|---|---|---|---|
| (1) | (2) | (3) | (4) | (5) | (6) | (7) | (8) | (9) |
| J | 1.33 | 11.70 | 26.27 1 | 1.77 | 10.97 2 | 26.27 | 48.75 | 5.84 3 |
| J | 2.84 | 11.25 | 0.41 | 15.51 | 10.79 | 0.36 | 10.37 | 22.1 |
| J | 1.56 | 12.03 | 24.5 | 1.68 | 11.19 2 | 31.42 | 14.39 | 7.2 |
| J | 4.80 | 12.49 | 5.46 | 4.74 | 11.90 | 15.53 | 15.56 | 23.4 |
| J | 0.958 | 11.36 | 6.28 | 1.67 | 11.46 | 8.7 | 4.33 | 6.6 |
| J | 2.18 | 12.14 | 18.41 | 2.02 | 11.91 | 77.94 | 20.79 | 22.8 |
| J | 1.19 | 11.78 | 19.8 | 1.28 | 11.47 | 18.04 | 21.03 | 24.0 |
| J | 0.525 | 11.39 | 10.2 | 0.57 | 10.97 | 7.23 | 12.33 | 7.9 |
| J | 1.50 | 12.14 | 21.51 | 1.73 | 11.20 | 25.15 | 16.80 | 6.8 |
| J | 2.74 | 12.27 | 15.14 | 4.68 | 11.88 | 8.6 | 7.9 | 33.0 |
| J | 0.903 | 11.76 | 14.8 | 1.05 | 11.45 | 17.58 | 7.78 | 21.0 |
| J | 3.57 | 12.50 | 6.61 | 4.02 | 11.61 | 14.14 | 18.42 | 24.8 |
| J | 0.319 | 11.14 | 0.218 | 0.28 | 10.18 | 1.07 | 23.42 | 55.2 |
| J | 1.12 | 11.80 | 19.8 | 1.76 | 11.36 | 23.37 | 19.68 | 15.4 |
| J | 1.57 | 11.95 | 24.6 | 1.40 | 11.59 | 15.47 | 10.75 | 13.6 |
| J | 0.226 | 11.31 | 8.2 | 0.25 | 10.79 | 4.76 | 8.96 | 9.2 |
| J | 1.40 | 11.83 | 21.8 | 1.19 | 11.66 | 13.81 | 6.72 | 16.2 |
| J | 3.52 | 11.95 | 14.91 | 11.88 | 12.51 | 11.83 | 3.97 | 6.6 |
| J | 11.94 | 12.76 | 20.5 | 18.05 | 11.92 | 16.01 | 16.54 | 47.4 |
| J | 1.55 | 11.99 | 27.5 | 2.14 | 10.95 | 13.73 | 19.37 | 58.4 |
| J | 0.802 | 12.06 | 22.77 | 0.59 | 11.32 | 29.42 | 10.89 | 16.4 |
| J | 1.87 | 11.95 | 28.0 | 2.44 | 11.15 | 29.6 | 31.98 | 11.4 |
| J | 2.73 | 12.25 | 31.1 | 1.53 | 11.09 | 9.82 | 7.29 | 20.8 |
| J | 0.959 | 12.01 | 12.0 | 1.35 | 11.34 | 11.04 | 8.68 | 30.8 |
| J | 2.02 | 12.46 | 30.8 | 2.93 | 11.86 | 10.17 | 12.71 | 41.2 |
| J | 3.27 | 12.29 | 19.37 | 4.47 | 11.63 | 19.45 | 10.77 | 18.6 |
| J | 3.07 | 12.29 | 27.3 | 3.31 | 11.92 | 23.52 | 7.27 | 16.2 |
| J | 3.52 | 12.62 | 6.85 | 3.60 | 11.65 | 17.66 | 15.97 | 26.2 |
| J | 2.28 | 11.87 | 10.0 | 4.21 | 11.99 2 | 11.89 | 7.00 | 6.0 |
| J | 4.75 | 12.30 | 17.7 | 3.82 | 11.62 | 22.20 | 13.19 | 22.0 |
| J | 2.04 | 12.38 | 20.0 | 2.71 | 11.59 | 27.93 | 28.49 | 23.8 |
| J | 3.53 | 12.26 | 17.0 | 14.44 | 12.22 | 9.06 | 22.35 | 22.6 |
| Name | |||
|---|---|---|---|
| (1) | (2) | (3) | (4) |
| J | 3.37 | 12.31 | 1.50 |
| J | 3.26 | 11.27 | 17.34 |
| J | 1.58 | 12.09 | 2.33 |
| J | 4.65 | 12.27 | 5.18 |
| J | 0.675 | 11.22 | 1.95 |
| J | 1.69 | 12.26 | 1.69 |
| J | 1.23 | 11.74 | 1.42 |
| J | 0.434 | 11.32 | 0.724 |
| J | 2.10 | 12.56 | 2.20 |
| J | 3.99 | 12.27 | 5.01 |
| J | 1.07 | 11.72 | 1.19 |
| J | 4.37 | 12.56 | 4.25 |
| J | 0.292 | 11.12 | 0.428 |
| J | 1.32 | 11.94 | − |
| J | 1.53 | 11.79 | 1.61 |
| J | 0.216 | 11.06 | 0.363 |
| J | 1.68 | 12.21 | 1.69 |
| J | 3.66 | 11.86 | 16.49 |
| J | 9.82 | 12.72 | 18.67 |
| J | 2.44 | 12.09 | 2.20 |
| J | 0.708 | 11.75 | 0.812 |
| J | 2.38 | 12.00 | 2.62 |
| J | 1.61 | 12.07 | 2.35 |
| J | 0.959 | 12.02 | − |
| J | 2.27 | 12.26 | 3.62 |
| J | 4.86 | 12.37 | 5.69 |
| J | 3.32 | 12.30 | 3.69 |
| J | 4.70 | 12.72 | 3.38 |
| J | 3.44 | 11.98 | 4.50 |
| J | 4.56 | 11.89 | 3.43 |
| J | 2.11 | 12.46 | 2.79 |
| J | 9.16 | 12.76 | 7.21 |
| Name | ||
|---|---|---|
| (1) | (2) | (3) |
| J | 1.04 | 1.26 |
| J | 42.8 1 | 27.06 |
| J | 0.943 | 1.33 |
| J | 0.820 | 1.20 |
| J | 2.37 | 6.33 |
| J | 1.13 1 | 1.05 |
| J | 0.660 2 | 0.770 |
| J | 1.19 2 | 0.837 |
| J | 5.07 | 5.07 |
| J | 0.790 | 1.15 |
| J | 0.624 1 | 0.742 |
| J | 4.39 | 4.42 |
| J | 0.961 | 1.14 |
| J | 4.51 3 | 5.35 |
| J | 3.52 | 2.71 |
| J | 1.45 | 0.790 |
| J | 3.98 2 | 4.80 |
| J | 62.89 | 64.0 |
| J | 14.79 | 14.58 |
| J | 1.43 | 1.42 |
| J | 0.535 4 | 0.584 |
| J | 2.51 | 2.73 |
| J | 2.55 | 3.11 |
| J | 2.37 4 | 2.46 |
| J | 2.51 | 2.31 |
| J | 9.93 | 8.70 |
| J | 4.66 | 7.61 |
| J | 1.17 2 | 0.720 |
| J | 1.82 1 | 2.77 |
| J | 12.71 | 12.15 |
| J | 6.99 | 7.88 |
| J | 11.67 | 12.44 |
| Name | ||
|---|---|---|
| (1) | (2) | (3) |
| J | 10.0 | 1.20 |
| J | 22.0 | 1.07 |
| J | 4.6 | 1.50 |
| J | 5.5 | 1.40 |
| J | 1.5 | 1.70 |
| J | 3.5 | 1.60 |
| J | 3.2 | 1.70 |
| J | 4.0 | 1.20 |
| J | 3.4 | 1.80 |
| J | 6.4 | 1.20 |
| J | 1.6 | 1.40 |
| J | 8.2 | 1.20 |
| J | 44.0 | 0.73 |
| J | 2.1 | 1.60 |
| J | 8.2 | 1.30 |
| J | 4.0 | 1.20 |
| J | 30.0 | 1.60 |
| J | 18.0 | 2.00 |
| J | 23.0 | 1.40 |
| J | 2.8 | 1.50 |
| J | 2.1 | 1.40 |
| J | 52.0 | 1.46 |
| J | 1.3 | 1.40 |
| J | 2.7 | 1.70 |
| J | 20.0 | 1.40 |
| J | 4.6 | 1.20 |
| J | 6.0 | 1.50 |
| J | 4.4 | 1.30 |
| J | 17.0 | 1.28 |
| J | 2.1 | 1.60 |
| J | 14.0 | 1.50 |
| J | 174 | 1.50 |
| Jet Power | Equation | Notes |
|---|---|---|
| Total | From Equation (11) | |
| Kinetic | From Equation (13) | |
| Radiative (synchrotron) | From Equation (12) | |
| Radiative (Compton) | From Equation (23) |
Disclaimer/Publisher’s Note: The statements, opinions and data contained in all publications are solely those of the individual author(s) and contributor(s) and not of MDPI and/or the editor(s). MDPI and/or the editor(s) disclaim responsibility for any injury to people or property resulting from any ideas, methods, instructions or products referred to in the content. |
© 2024 by the authors. Licensee MDPI, Basel, Switzerland. This article is an open access article distributed under the terms and conditions of the Creative Commons Attribution (CC BY) license (https://creativecommons.org/licenses/by/4.0/).
Share and Cite
Foschini, L.; Dalla Barba, B.; Tornikoski, M.; Andernach, H.; Marziani, P.; Marscher, A.P.; Jorstad, S.G.; Järvelä, E.; Antón, S.; Dalla Bontà, E. The Power of Relativistic Jets: A Comparative Study. Universe 2024, 10, 156. https://doi.org/10.3390/universe10040156
Foschini L, Dalla Barba B, Tornikoski M, Andernach H, Marziani P, Marscher AP, Jorstad SG, Järvelä E, Antón S, Dalla Bontà E. The Power of Relativistic Jets: A Comparative Study. Universe. 2024; 10(4):156. https://doi.org/10.3390/universe10040156
Chicago/Turabian StyleFoschini, Luigi, Benedetta Dalla Barba, Merja Tornikoski, Heinz Andernach, Paola Marziani, Alan P. Marscher, Svetlana G. Jorstad, Emilia Järvelä, Sonia Antón, and Elena Dalla Bontà. 2024. "The Power of Relativistic Jets: A Comparative Study" Universe 10, no. 4: 156. https://doi.org/10.3390/universe10040156
APA StyleFoschini, L., Dalla Barba, B., Tornikoski, M., Andernach, H., Marziani, P., Marscher, A. P., Jorstad, S. G., Järvelä, E., Antón, S., & Dalla Bontà, E. (2024). The Power of Relativistic Jets: A Comparative Study. Universe, 10(4), 156. https://doi.org/10.3390/universe10040156

