Probing Dark Sectors with Neutron Stars
Abstract
1. Introduction
1.1. Low-Energy Experimental Anomalies in Beta Decay
1.2. From Anomalies to Dark Matter and the Cosmic Baryon Asymmetry
1.3. Constraints from Neutron Star Structure and Dynamics
2. Stellar Constraints on Dark Sectors
2.1. Dark Matter’s Role in Stellar Evolution
2.1.1. Impact on First Stars and Population I Stars
2.1.2. Influence on Supernovae Dynamics
2.2. Neutron Stars as Dark Matter Laboratories
2.2.1. Static Effects of Dark Matter on Neutron Stars
2.2.2. Dark Dynamics of Neutron Stars
2.3. Quasi-Equilibrium Dynamics of Baryon Loss in Neutron Stars
- Production dominance () leads to static effects via EoS modifications, thus incorporating dark particles.
- Depletion dominance () results in no observable effects.
- I.
- The star is in both chemical and hydrostatic quasi-equilibrium if . This state warrants a quasi-equilibrium analysis, as developed in [36].
- II.
- The star remains only in hydrostatic quasi-equilibrium if . A hydrostatic equilibrium description is valid on short timescales (). However, a complete reaction chain must be considered, as chemical equilibrium is absent in the EoS.
- III.
- The absence of both equilibria when requires comprehensive simulations of the star’s hydrodynamic and chemical evolution.
- Standard Baryon-Conserving Spin-Down Rate of a Pulsar:
- Formation of a Dark Core without Depletion:
- Configuration Space: This is defined by , which represents the central energy densities of the visible (V) and dark (D) sectors at the star’s core. The formation rate is generally assumed to be comparable to or slower than the star’s age. This rate does not result in thermalization between the two sectors. Consequently, the sectors are characterized by distinct energy densities and pressures, thereby interacting primarily through gravitational influence.
- Constraints: The total baryon number conservation () acts as a constraint, thereby ensuring a balanced rate of baryon conversion between the dark and visible sectors. The conversion rate from visible to dark baryons () is derived from the specifics of the particle physics governing the decay or conversion processes.
- Baryon Dark Decays Followed by Efficient Depletion:
- Configuration Space: This space, also known as the single-parameter sequence (illustrated in Figure 5), is singularly defined by (if the star is not rapidly rotating). Here, denotes the central energy density of the neutron star. This simplified configuration space reflects the scenario where baryon dark decays and subsequent depletion processes dominantly influence the neutron star’s structure.
- Constraints: The evolution is primarily governed by the total baryon loss rate . This rate is instrumental in dictating the evolution of the star’s core composition and overall structure, as indicated by the green arrow in Figure 5, which represents the quasi-equilibrium evolution along the single-parameter sequence.
2.4. Illustrative Dark Sector Models
3. Neutron Stars and Particle Decays in Dense Matter
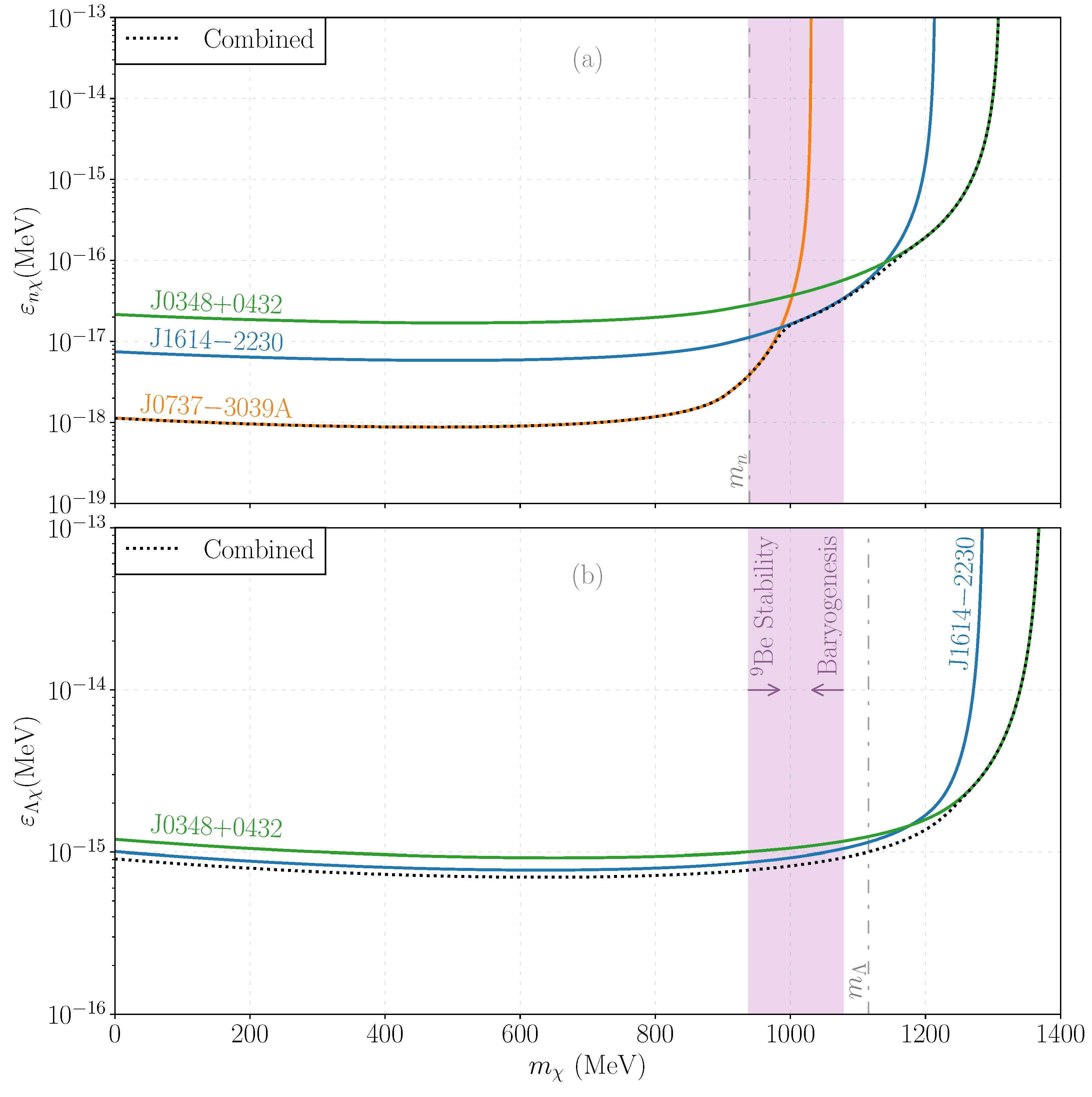
4. Baryon Loss Constraints from Energy Loss Limits in Pulsar Binaries
- We ultimately selected PSR J0348+0432 and PSR J1614-2230, which offer the advantages of smaller errors in and , thus ensuring more precise constraints. Complementing this selection, we also considered pulsar systems that are renowned for their high-precision measurements. Among these, the double pulsar J0737-3039A/B [179] and the Hulse–Taylor pulsar system [176] stand out. Since both are characterized by similar mass profiles, we focused on the double pulsar J0737-3039A/B, which was chosen for its superior precision.
5. Perspectives on the Neutron Lifetime Anomaly and Dark Cogenesis
6. Summary
Author Contributions
Funding
Data Availability Statement
Acknowledgments
Conflicts of Interest
References
- Zwicky, F. Die Rotverschiebung von extragalaktischen Nebeln. Helv. Phys. Acta 1933, 6, 110–127. [Google Scholar]
- Zwicky, F. On the Masses of Nebulae and of Clusters of Nebulae. Astrophys. J. 1937, 86, 217. [Google Scholar] [CrossRef]
- Peebles, P.J.E.; Yu, J.T. Primeval Adiabatic Perturbation in an Expanding Universe. Astrophys. J. 1970, 162, 815. [Google Scholar] [CrossRef]
- Press, W.H.; Schechter, P. Formation of Galaxies and Clusters of Galaxies by Self-Similar Gravitational Condensation. Astrophys. J. 1974, 187, 425–438. [Google Scholar] [CrossRef]
- White, S.D.M.; Rees, M.J. Core condensation in heavy halos: A two-stage theory for galaxy formation and clustering. Mon. Not. R. Astron. Soc. 1978, 183, 341–358. [Google Scholar] [CrossRef]
- Peebles, P.J.E. Large-scale background temperature and mass fluctuations due to scale-invariant primeval perturbations. Astrophys. J. 1982, 263, L1–L5. [Google Scholar] [CrossRef]
- Blumenthal, G.R.; Faber, S.M.; Primack, J.R.; Rees, M.J. Formation of galaxies and large-scale structure with cold dark matter. Nature 1984, 311, 517–525. [Google Scholar] [CrossRef]
- Davis, M.; Efstathiou, G.; Frenk, C.S.; White, S.D.M. The evolution of large-scale structure in a universe dominated by cold dark matter. Astrophys. J. 1985, 292, 371–394. [Google Scholar] [CrossRef]
- Rubin, V.C.; Ford, W.K.J.; Thonnard, N. Extended rotation curves of high-luminosity spiral galaxies. IV. Systematic dynamical properties, Sa -> Sc. Astrophys. J. Lett. 1978, 225, L107–L111. [Google Scholar] [CrossRef]
- Faber, S.M.; Gallagher, J.S. Masses and mass-to-light ratios of galaxies. Annu. Rev. Astron. Astrophys. 1979, 17, 135–187. [Google Scholar] [CrossRef]
- Rubin, V.C.; Ford, W.K.J.; Thonnard, N. Rotational properties of 21 SC galaxies with a large range of luminosities and radii, from NGC 4605 (R = 4kpc) to UGC 2885 (R = 122kpc). Astrophys. J. 1980, 238, 471–487. [Google Scholar] [CrossRef]
- Hu, W.; Dodelson, S. Cosmic Microwave Background Anisotropies. Annu. Rev. Astron. Astrophys. 2002, 40, 171–216. [Google Scholar] [CrossRef]
- Aghanim, N. et al. [Planck Collaboration] Planck 2018 results. I. Overview and the cosmological legacy of Planck. Astron. Astrophys. 2020, 641, A1. [Google Scholar] [CrossRef]
- Eisenstein, D.J.; Zehavi, I.; Hogg, D.W.; Scoccimarro, R.; Blanton, M.R.; Nichol, R.C.; Scranton, R.; Seo, H.J.; Tegmark, M.; Zheng, Z.; et al. Detection of the Baryon Acoustic Peak in the Large-Scale Correlation Function of SDSS Luminous Red Galaxies. Astrophys. J. 2005, 633, 560–574. [Google Scholar] [CrossRef]
- Riess, A.G.; Filippenko, A.V.; Challis, P.; Clocchiatti, A.; Diercks, A.; Garnavich, P.M.; Gilliland, R.L.; Hogan, C.J.; Jha, S.; Kirshner, R.P.; et al. Observational Evidence from Supernovae for an Accelerating Universe and a Cosmological Constant. Astron. J. 1998, 116, 1009–1038. [Google Scholar] [CrossRef]
- Perlmutter, S.; Aldering, G.; Goldhaber, G.; Knop, R.A.; Nugent, P.; Castro, P.G.; Deustua, S.; Fabbro, S.; Goobar, A.; Groom, D.E.; et al. Measurements of Ω and Λ from 42 High-Redshift Supernovae. Astrophys. J. 1999, 517, 565–586. [Google Scholar] [CrossRef]
- Davis, R., Jr.; Harmer, D.S.; Hoffman, K.C. Search for neutrinos from the sun. Phys. Rev. Lett. 1968, 20, 1205–1209. [Google Scholar] [CrossRef]
- Fukuda, Y. et al. [Super-Kamiokande Collaboration] Evidence for oscillation of atmospheric neutrinos. Phys. Rev. Lett. 1998, 81, 1562–1567. [Google Scholar] [CrossRef]
- Ahmad, Q.R. et al. [SNO Collaboration] Direct evidence for neutrino flavor transformation from neutral current interactions in the Sudbury Neutrino Observatory. Phys. Rev. Lett. 2002, 89, 011301. [Google Scholar] [CrossRef] [PubMed]
- Sakharov, A.D. Violation of CP Invariance, C asymmetry, and baryon asymmetry of the universe. Pisma Zh. Eksp. Teor. Fiz. 1967, 5, 32–35. [Google Scholar] [CrossRef]
- Aghanim, N. et al. [Planck Collaboration] Planck 2018 results. VI. Cosmological parameters. Astron. Astrophys. 2020, 641, A6, Erratum in Astron. Astrophys. 2021, 652, C4. [Google Scholar] [CrossRef]
- Kajantie, K.; Laine, M.; Rummukainen, K.; Shaposhnikov, M.E. Is there a hot electroweak phase transition at mH≳mW? Phys. Rev. Lett. 1996, 77, 2887–2890. [Google Scholar] [CrossRef] [PubMed]
- Csikor, F.; Fodor, Z.; Heitger, J. Endpoint of the hot electroweak phase transition. Phys. Rev. Lett. 1999, 82, 21–24. [Google Scholar] [CrossRef]
- Aad, G. et al. [ATLAS Collaboration] Observation of a new particle in the search for the Standard Model Higgs boson with the ATLAS detector at the LHC. Phys. Lett. B 2012, 716, 1–29. [Google Scholar] [CrossRef]
- Chatrchyan, S. et al. [CMS Collaboration] Observation of a New Boson at a Mass of 125 GeV with the CMS Experiment at the LHC. Phys. Lett. B 2012, 716, 30–61. [Google Scholar] [CrossRef]
- Serebrov, A.P.; Aleksandrov, E.B.; Dovator, N.A.; Dmitriev, S.P.; Fomin, A.K.; Geltenbort, P.; Kharitonov, A.G.; Krasnoschekova, I.A.; Lasakov, M.S.; Murashkin, A.N.; et al. Search for neutron-mirror neutron oscillations in a laboratory experiment with ultracold neutrons. Nucl. Instrum. Meth. A 2009, 611, 137–140. [Google Scholar] [CrossRef]
- Wietfeldt, F.E.; Greene, G.L. Colloquium: The neutron lifetime. Rev. Mod. Phys. 2011, 83, 1173–1192. [Google Scholar] [CrossRef]
- Fornal, B.; Grinstein, B. Dark Matter Interpretation of the Neutron Decay Anomaly. Phys. Rev. Lett. 2018, 120, 191801. [Google Scholar] [CrossRef]
- Berezhiani, Z. Neutron lifetime puzzle and neutron–mirror neutron oscillation. Eur. Phys. J. C 2019, 79, 484. [Google Scholar] [CrossRef]
- Barducci, D.; Fabbrichesi, M.; Gabrielli, E. Neutral Hadrons Disappearing into the Darkness. Phys. Rev. D 2018, 98, 035049. [Google Scholar] [CrossRef]
- Rajendran, S.; Ramani, H. Composite solution to the neutron lifetime anomaly. Phys. Rev. D 2021, 103, 035014. [Google Scholar] [CrossRef]
- Nelson, A.; Reddy, S.; Zhou, D. Dark halos around neutron stars and gravitational waves. J. Cosmol. Astropart. Phys. 2019, 7, 012. [Google Scholar] [CrossRef]
- Baym, G.; Beck, D.H.; Geltenbort, P.; Shelton, J. Testing Dark Decays of Baryons in Neutron Stars. Phys. Rev. Lett. 2018, 121, 061801. [Google Scholar] [CrossRef] [PubMed]
- Motta, T.F.; Guichon, P.A.M.; Thomas, A.W. Implications of Neutron Star Properties for the Existence of Light Dark Matter. J. Phys. G 2018, 45, 05LT01. [Google Scholar] [CrossRef]
- Berezhiani, Z.; Biondi, R.; Mannarelli, M.; Tonelli, F. Neutron-mirror neutron mixing and neutron stars. Eur. Phys. J. C 2021, 81, 1036. [Google Scholar] [CrossRef]
- Berryman, J.M.; Gardner, S.; Zakeri, M. Neutron Stars with Baryon Number Violation, Probing Dark Sectors. Symmetry 2022, 14, 518. [Google Scholar] [CrossRef]
- Berryman, J.M.; Gardner, S.; Zakeri, M. How Macroscopic Limits on Neutron Star Baryon Loss Yield Microscopic Limits on Non-Standard-Model Baryon Decay. arXiv 2023, arXiv:2305.13377. [Google Scholar] [CrossRef]
- Coutinho, A.M.; Crivellin, A.; Manzari, C.A. Global Fit to Modified Neutrino Couplings and the Cabibbo-Angle Anomaly. Phys. Rev. Lett. 2020, 125, 071802. [Google Scholar] [CrossRef]
- Crivellin, A.; Mellado, B. Anomalies in Particle Physics. arXiv 2023, arXiv:2309.03870. [Google Scholar]
- Moulson, M. Experimental determination of Vus from kaon decays. PoS 2017, CKM2016, 033. [Google Scholar] [CrossRef][Green Version]
- Seng, C.Y.; Galviz, D.; Marciano, W.J.; Meißner, U.G. Update on |Vus| and |Vus/Vud| from semileptonic kaon and pion decays. Phys. Rev. D 2022, 105, 013005. [Google Scholar] [CrossRef]
- Cirigliano, V.; Crivellin, A.; Hoferichter, M.; Moulson, M. Scrutinizing CKM unitarity with a new measurement of the Kμ3/Kμ2 branching fraction. Phys. Lett. B 2023, 838, 137748. [Google Scholar] [CrossRef]
- Czarnecki, A.; Marciano, W.J.; Sirlin, A. Precision measurements and CKM unitarity. Phys. Rev. D 2004, 70, 093006. [Google Scholar] [CrossRef]
- Marciano, W.J.; Sirlin, A. Improved calculation of electroweak radiative corrections and the value of Vud. Phys. Rev. Lett. 2006, 96, 032002. [Google Scholar] [CrossRef] [PubMed]
- Seng, C.Y.; Gorchtein, M.; Ramsey-Musolf, M.J. Dispersive evaluation of the inner radiative correction in neutron and nuclear β decay. Phys. Rev. D 2019, 100, 013001. [Google Scholar] [CrossRef]
- Towner, I.S.; Hardy, J.C. Calculated corrections to superallowed Fermi beta decay: New evaluation of the nuclear structure dependent terms. Phys. Rev. C 2002, 66, 035501. [Google Scholar] [CrossRef]
- Gorchtein, M.; Seng, C.Y. The Standard Model Theory of Neutron Beta Decay. Universe 2023, 9, 422. [Google Scholar] [CrossRef]
- Czarnecki, A.; Marciano, W.J.; Sirlin, A. Radiative Corrections to Neutron and Nuclear Beta Decays Revisited. Phys. Rev. D 2019, 100, 073008. [Google Scholar] [CrossRef]
- Gorchtein, M.; Seng, C.Y. Dispersion relation analysis of the radiative corrections to gA in the neutron β-decay. J. High Energy Phys. 2021, 10, 053. [Google Scholar] [CrossRef]
- Jackson, J.D.; Treiman, S.B.; Wyld, H.W. Possible tests of time reversal invariance in Beta decay. Phys. Rev. 1957, 106, 517–521. [Google Scholar] [CrossRef]
- Abele, H. The neutron. Its properties and basic interactions. Prog. Part. Nucl. Phys. 2008, 60, 1–81. [Google Scholar] [CrossRef]
- Mathews, G.J.; Kajino, T.; Shima, T. Big Bang nucleosynthesis with a new neutron lifetime. Phys. Rev. D 2005, 71, 021302. [Google Scholar] [CrossRef]
- Yeh, T.H.; Olive, K.A.; Fields, B.D. The Neutron Mean Life and Big Bang Nucleosynthesis. Universe 2023, 9, 183. [Google Scholar] [CrossRef]
- Fornal, B. Neutron Dark Decay. Universe 2023, 9, 449. [Google Scholar] [CrossRef]
- A New Era of Discovery: The 2023 Long Range Plan for Nuclear Science. Available online: https://nuclearsciencefuture.org/#:~:text=The%20plan%2C%20released%20in%20October,leadership%20and%20training%20the%20workforce (accessed on 15 November 2023).
- Workman, R.L. et al. [Particle Data Group] Review of Particle Physics. PTEP 2022, 2022, 083C01. [Google Scholar] [CrossRef]
- Dubbers, D.; Schmidt, M.G. The Neutron and Its Role in Cosmology and Particle Physics. Rev. Mod. Phys. 2011, 83, 1111–1171. [Google Scholar] [CrossRef]
- Cirigliano, V.; Gardner, S.; Holstein, B. Beta Decays and Non-Standard Interactions in the LHC Era. Prog. Part. Nucl. Phys. 2013, 71, 93–118. [Google Scholar] [CrossRef]
- Dubbers, D.; Märkisch, B. Precise Measurements of the Decay of Free Neutrons. Ann. Rev. Nucl. Part. Sci. 2021, 71, 139–163. [Google Scholar] [CrossRef]
- Czarnecki, A.; Marciano, W.J.; Sirlin, A. Neutron Lifetime and Axial Coupling Connection. Phys. Rev. Lett. 2018, 120, 202002. [Google Scholar] [CrossRef] [PubMed]
- Dubbers, D.; Saul, H.; Märkisch, B.; Soldner, T.; Abele, H. Exotic decay channels are not the cause of the neutron lifetime anomaly. Phys. Lett. B 2019, 791, 6–10. [Google Scholar] [CrossRef]
- Märkisch, B.; Mest, H.; Saul, H.; Wang, X.; Abele, H.; Dubbers, D.; Klopf, M.; Petoukhov, A.; Roick, C.; Soldner, T.; et al. Measurement of the Weak Axial-Vector Coupling Constant in the Decay of Free Neutrons Using a Pulsed Cold Neutron Beam. Phys. Rev. Lett. 2019, 122, 242501. [Google Scholar] [CrossRef] [PubMed]
- Mund, D.; Maerkisch, B.; Deissenroth, M.; Krempel, J.; Schumann, M.; Abele, H.; Petoukhov, A.; Soldner, T. Determination of the Weak Axial Vector Coupling from a Measurement of the Beta-Asymmetry Parameter A in Neutron Beta Decay. Phys. Rev. Lett. 2013, 110, 172502. [Google Scholar] [CrossRef] [PubMed]
- Brown, M.A.P. et al. [UCNA Collaboration] New result for the neutron β-asymmetry parameter A0 from UCNA. Phys. Rev. C 2018, 97, 035505. [Google Scholar] [CrossRef]
- Beck, M.; Ayala Guardia, F.; Baeßler, S.; Borg, M.; Glück, F.; Heil, W.; Kahlenberg, J.; Klopf, M.; Konrad, G.; Maisonobe, R.; et al. Improved determination of the β-ν¯e angular correlation coefficient a in free neutron decay with the aSPECT spectrometer. Phys. Rev. C 2020, 101, 055506. [Google Scholar] [CrossRef]
- Beck, M.; Heil, W.; Schmidt, C.; Baeßler, S.; Glück, F.; Konrad, G.; Schmidt, U. Reanalysis of the angular correlation measurement aSPECT with new constrains on Fierz interference. arXiv 2023, arXiv:2308.16170. [Google Scholar]
- Wietfeldt, F.E.; Byron, W.A.; Collett, B.; Dewey, M.S.; Gentile, T.R.; Hassan, M.T.; Jones, G.L.; Komives, A.; Nico, J.S.; Stephenson, E.J. Recoil-Order and Radiative Corrections to the aCORN Experiment. arXiv 2023, arXiv:2306.15042. [Google Scholar]
- Aoki, Y. et al. [Flavour Lattice Averaging Group (FLAG)] FLAG Review 2021. Eur. Phys. J. C 2022, 82, 869. [Google Scholar] [CrossRef]
- Chang, C.C.; Nicholson, A.N.; Rinaldi, E.; Berkowitz, E.; Garron, N.; Brantley, A.D.; Monge-Camacho, H.; Monahan, C.J.; Bouchard, C.; Clark, M.A.; et al. A per-cent-level determination of the nucleon axial coupling from quantum chromodynamics. Nature 2018, 558, 91–94. [Google Scholar] [CrossRef]
- Walker-Loud, A.; Walker-Loud, A.; Berkowitz, E.; Gambhir, A.S.; Brantley, D.; Vranas, P.; Bouchard, C.; Clark, M.A.; Garron, N.; Chang, C.C.; et al. Lattice QCD Determination of gA. PoS 2020, CD2018, 020. [Google Scholar] [CrossRef]
- Clowe, D.; Bradac, M.; Gonzalez, A.H.; Markevitch, M.; Randall, S.W.; Jones, C.; Zaritsky, D. A direct empirical proof of the existence of dark matter. Astrophys. J. Lett. 2006, 648, L109–L113. [Google Scholar] [CrossRef]
- Battaglieri, M.; Belloni, A.; Chou, A.; Cushman, P.; Echenard, B.; Essig, R.; Estrada, J.; Feng, J.L.; Flaugher, B.; Fox, P.J.; et al. US Cosmic Visions: New Ideas in Dark Matter 2017: Community Report. In Proceedings of the U.S. Cosmic Visions: New Ideas in Dark Matter, College Park, MD, USA, 23–25 March 2017. [Google Scholar]
- Chou, A.S.; Soares-Santos, M.; Tait, T.M.P.; Adhikari, R.X.; Anchordoqui, L.A.; Annis, J.; Chang, C.L.; Cooley, J.; Drlica-Wagner, A.; Fang, K.; et al. Snowmass Cosmic Frontier Report. arXiv 2022, arXiv:2211.09978. [Google Scholar]
- Gardner, S.; McDermott, S.D.; Yanny, B. The Milky Way, coming into focus: Precision astrometry probes its evolution and its dark matter. Prog. Part. Nucl. Phys. 2021, 121, 103904. [Google Scholar] [CrossRef]
- Nussinov, S. Technocosmology—Could a technibaryon excess provide a “natural” missing mass candidate? Phys. Lett. B 1985, 165, 55–58. [Google Scholar] [CrossRef]
- Barr, S.M.; Chivukula, R.S.; Farhi, E. Electroweak Fermion Number Violation and the Production of Stable Particles in the Early Universe. Phys. Lett. B 1990, 241, 387–391. [Google Scholar] [CrossRef]
- Davoudiasl, H.; Mohapatra, R.N. On Relating the Genesis of Cosmic Baryons and Dark Matter. New J. Phys. 2012, 14, 095011. [Google Scholar] [CrossRef]
- Elor, G.; Escudero, M.; Nelson, A. Baryogenesis and Dark Matter from B Mesons. Phys. Rev. D 2019, 99, 035031. [Google Scholar] [CrossRef]
- Alonso-Álvarez, G.; Elor, G.; Escudero, M.; Fornal, B.; Grinstein, B.; Martin Camalich, J. Strange physics of dark baryons. Phys. Rev. D 2022, 105, 115005. [Google Scholar] [CrossRef]
- Morrissey, D.E.; Ramsey-Musolf, M.J. Electroweak baryogenesis. New J. Phys. 2012, 14, 125003. [Google Scholar] [CrossRef]
- Elahi, F.; Mohammadi Najafabadi, M. Neutron Decay to a Non-Abelian Dark Sector. Phys. Rev. D 2020, 102, 035011. [Google Scholar] [CrossRef]
- Elor, G.; McGehee, R. Making the Universe at 20 MeV. Phys. Rev. D 2021, 103, 035005. [Google Scholar] [CrossRef]
- Alonso-Álvarez, G.; Elor, G.; Escudero, M. Collider signals of baryogenesis and dark matter from B mesons: A roadmap to discovery. Phys. Rev. D 2021, 104, 035028. [Google Scholar] [CrossRef]
- Elahi, F.; Elor, G.; McGehee, R. Charged B mesogenesis. Phys. Rev. D 2022, 105, 055024. [Google Scholar] [CrossRef]
- Barrow, J.L.; Golubeva, E.S.; Paryev, E.; Richard, J.M. Progress and simulations for intranuclear neutron-antineutron transformations in 1840Ar. Phys. Rev. D 2020, 101, 036008. [Google Scholar] [CrossRef]
- Elor, G.; Guerrera, A.W.M. Branching fractions of B meson decays in Mesogenesis. J. High Energy Phys. 2023, 2, 100. [Google Scholar] [CrossRef]
- Lees, J.P. et al. [The BaBaR Collaboration] Search for B mesogenesis at BaBar. Phys. Rev. D 2023, 107, 092001. [Google Scholar] [CrossRef]
- Fajfer, S.; Susič, D. Colored scalar mediated nucleon decays to an invisible fermion. Phys. Rev. D 2021, 103, 055012. [Google Scholar] [CrossRef]
- McKeen, D.; Nelson, A.E.; Reddy, S.; Zhou, D. Neutron Stars Exclude Light Dark Baryons. Phys. Rev. Lett. 2018, 121, 061802. [Google Scholar] [CrossRef]
- Cline, J.M.; Cornell, J.M. Dark decay of the neutron. J. High Energy Phys. 2018, 7, 81. [Google Scholar] [CrossRef]
- Husain, W.; Sengupta, D.; Thomas, A.W. Constraining Dark Boson Decay Using Neutron Stars. Universe 2023, 9, 307. [Google Scholar] [CrossRef]
- Strumia, A. Dark Matter interpretation of the neutron decay anomaly. J. High Energy Phys. 2022, 2, 67. [Google Scholar] [CrossRef]
- Ciardi, B.; Ferrara, A. The First cosmic structures and their effects. Space Sci. Rev. 2005, 116, 625–705. [Google Scholar] [CrossRef]
- Maiolino, R.; Uebler, H.; Perna, M.; Scholtz, J.; D’Eugenio, F.; Witten, C.; Laporte, N.; Witstok, J.; Carniani, S.; Tacchella, S.; et al. JWST-JADES. Possible Population III signatures at z=10.6 in the halo of GN-z11. arXiv 2023, arXiv:2306.00953. [Google Scholar]
- Spolyar, D.; Freese, K.; Gondolo, P. Dark matter and the first stars: A new phase of stellar evolution. Phys. Rev. Lett. 2008, 100, 051101. [Google Scholar] [CrossRef]
- Iocco, F.; Bressan, A.; Ripamonti, E.; Schneider, R.; Ferrara, A.; Marigo, P. Dark matter annihilation effects on the first stars. Mon. Not. Roy. Astron. Soc. 2008, 390, 1655–1669. [Google Scholar] [CrossRef]
- Freese, K.; Ilie, C.; Spolyar, D.; Valluri, M.; Bodenheimer, P. Supermassive Dark Stars: Detectable in JWST. Astrophys. J. 2010, 716, 1397–1407. [Google Scholar] [CrossRef]
- Zackrisson, E.; Scott, P.; Rydberg, C.E.; Iocco, F.; Edvardsson, B.; Östlin, G.; Sivertsson, S.; Zitrin, A.; Broadhurst, T.; Gondolo, P. Finding High-redshift Dark Stars with the James Webb Space Telescope. Astrophys. J. 2010, 717, 257–267. [Google Scholar] [CrossRef]
- Robertson, B.E.; Tacchella, S.; Johnson, B.D.; Hainline, K.; Whitler, L.; Eisenstein, D.J.; Endsley, R.; Rieke, M.; Stark, D.P.; Alberts, S.; et al. Identification and properties of intense star-forming galaxies at redshifts z > 10. Nat. Astron. 2023, 7, 611–621. [Google Scholar] [CrossRef]
- Curtis-Lake, E.; Carniani, S.; Cameron, A.; Charlot, S.; Jakobsen, P.; Maiolino, R.; Bunker, A.; Witstok, J.; Smit, R.; Chevallard, J.; et al. Spectroscopic confirmation of four metal-poor galaxies at z = 10.3-13.2. arXiv 2023, arXiv:2212.04568. [Google Scholar] [CrossRef]
- Ilie, C.; Paulin, J.; Freese, K. Supermassive Dark Star candidates seen by JWST. Proc. Nat. Acad. Sci. USA 2023, 120, e2305762120. [Google Scholar] [CrossRef] [PubMed]
- Ilie, C.; Zhang, S. Multiscatter capture of superheavy dark matter by Pop. III stars. J. Cosmol. Astropart. Phys. 2019, 12, 51, Erratum in J. Cosmol. Astropart. Phys. 2020, 10, E01. [Google Scholar] [CrossRef]
- Aprile, E.; Aalbers, J.; Agostini, F.; Alfonsi, M.; Althueser, L.; Amaro, F.D.; Anthony, M.; Arneodo, F.; Baudis, L.; Bauermeister, B.; et al. Dark Matter Search Results from a One Ton-Year Exposure of XENON1T. Phys. Rev. Lett. 2018, 121, 111302. [Google Scholar] [CrossRef]
- Croon, D.; McDermott, S.D.; Sakstein, J. Missing in axion: Where are XENON1T’s big black holes? Phys. Dark Univ. 2021, 32, 100801. [Google Scholar] [CrossRef]
- Haxton, W.C.; Hamish Robertson, R.G.; Serenelli, A.M. Solar Neutrinos: Status and Prospects. Ann. Rev. Astron. Astrophys. 2013, 51, 21–61. [Google Scholar] [CrossRef]
- Redondo, J.; Raffelt, G. Solar constraints on hidden photons re-visited. J. Cosmol. Astropart. Phys. 2013, 08, 34. [Google Scholar] [CrossRef]
- Raffelt, G. Stars as Laboratories for Fundamental Physics: The Astrophysics of Neutrinos, Axions, and Other Weakly Interacting Particles; Theoretical Astrophysics, University of Chicago Press: Chicago, IL, USA, 1996. [Google Scholar]
- Capozzi, F.; Raffelt, G. Axion and neutrino bounds improved with new calibrations of the tip of the red-giant branch using geometric distance determinations. Phys. Rev. D 2020, 102, 083007. [Google Scholar] [CrossRef]
- An, H.; Pospelov, M.; Pradler, J. New stellar constraints on dark photons. Phys. Lett. B 2013, 725, 190–195. [Google Scholar] [CrossRef]
- Davidson, S.; Campbell, B.; Bailey, D. Limits on particles of small electric charge. Phys. Rev. D 1991, 43, 2314–2321. [Google Scholar] [CrossRef] [PubMed]
- Lopes, J.; Lopes, I. Dark matter capture and annihilation in stars: Impact on the red giant branch tip. Astron. Astrophys. 2021, 651, A101. [Google Scholar] [CrossRef]
- Martins, A.; Lopes, I.; Casanellas, J. Asteroseismic constraints on asymmetric dark matter: Light particles with an effective spin-dependent coupling. Phys. Rev. D 2017, 95, 023507. [Google Scholar] [CrossRef]
- Rato, J.a.; Lopes, J.; Lopes, I. On asymmetric dark matter constraints from the asteroseismology of a subgiant star. Mon. Not. Roy. Astron. Soc. 2021, 507, 3434–3443. [Google Scholar] [CrossRef]
- Ayala, A. Looking into dark matter with asteroseismology. Front. Astron. Space Sci. 2022, 9, 958502. [Google Scholar] [CrossRef]
- Zurek, K.M. Asymmetric Dark Matter: Theories, signatures, and constraints. Phys. Rep. 2014, 537, 91–121. [Google Scholar] [CrossRef]
- Spergel, D.N.; Press, W.H. Effect of hypothetical, weakly interacting, massive particles on energy transport in the solar interior. Astrophys. J. 1985, 294, 663–673. [Google Scholar] [CrossRef]
- Iocco, F.; Taoso, M.; Leclercq, F.; Meynet, G. Main sequence stars with asymmetric dark matter. Phys. Rev. Lett. 2012, 108, 061301. [Google Scholar] [CrossRef] [PubMed]
- Banks, H.; Ansari, S.; Vincent, A.C.; Scott, P. Simulation of energy transport by dark matter scattering in stars. J. Cosmol. Astropart. Phys. 2022, 4, 2. [Google Scholar] [CrossRef]
- Raen, T.J.; Martínez-Rodríguez, H.; Hurst, T.J.; Zentner, A.R.; Badenes, C.; Tao, R. The Effects of Asymmetric Dark Matter on Stellar Evolution I: Spin-Dependent Scattering. Mon. Not. R. Astron. Soc. 2021, 503, 5611–5623. [Google Scholar] [CrossRef]
- Hirata, K.; Kajita, T.; Koshiba, M.; Nakahata, M.; Oyama, Y.; Sato, N.; Suzuki, A.; Takita, M.; Totsuka, Y.; Kifune, T.; et al. Observation of a neutrino burst from the supernova SN1987A. Phys. Rev. Lett. 1987, 58, 1490–1493. [Google Scholar] [CrossRef] [PubMed]
- Bionta, R.M.; Blewitt, G.; Bratton, C.B.; Casper, D.; Ciocio, A.; Claus, R.; Cortez, B.; Crouch, M.; Dye, S.T.; Errede, S.; et al. Observation of a neutrino burst in coincidence with supernova 1987A in the Large Magellanic Cloud. Phys. Rev. Lett. 1987, 58, 1494–1496. [Google Scholar] [CrossRef] [PubMed]
- Raffelt, G.G. Astrophysical methods to constrain axions and other novel particle phenomena. Phys. Rep. 1990, 198, 1–113. [Google Scholar] [CrossRef]
- Raffelt, G.; Seckel, D. Bounds on exotic-particle interactions from SN1987A. Phys. Rev. Lett. 1988, 60, 1793–1796. [Google Scholar] [CrossRef] [PubMed]
- Dent, J.B.; Ferrer, F.; Krauss, L.M. Constraints on Light Hidden Sector Gauge Bosons from Supernova Cooling. arXiv 2012, arXiv:1201.2683. [Google Scholar]
- Croon, D.; Elor, G.; Leane, R.K.; McDermott, S.D. Supernova Muons: New Constraints on Z’ Bosons, Axions and ALPs. J. High Energy Phys. 2021, 1, 107. [Google Scholar] [CrossRef]
- Manzari, C.A.; Martin Camalich, J.; Spinner, J.; Ziegler, R. Supernova Limits on Muonic Dark Forces. arXiv 2023, arXiv:2307.03143. [Google Scholar] [CrossRef]
- He, X.G.; Joshi, G.C.; Lew, H.; Volkas, R.R. New-Z′ phenomenology. Phys. Rev. D 1991, 43, R22–R24. [Google Scholar] [CrossRef]
- Ma, E.; Roy, D.P.; Roy, S. Gauged L(mu)–L(tau) with large muon anomalous magnetic moment and the bimaximal mixing of neutrinos. Phys. Lett. B 2002, 525, 101–106. [Google Scholar] [CrossRef]
- Aoyama, T.; Asmussen, N.; Benayoun, M.; Bijnens, J.; Blum, T.; Bruno, M.; Caprini, I.; Carloni Calame, C.M.; Cè, M.; Colangelo, G.; et al. The anomalous magnetic moment of the muon in the Standard Model. Phys. Rept. 2020, 887, 1–166. [Google Scholar] [CrossRef]
- Abi, B. et al. [Muon g − 2 Collaboration] Measurement of the Positive Muon Anomalous Magnetic Moment to 0.46 ppm. Phys. Rev. Lett. 2021, 126, 141801. [Google Scholar] [CrossRef] [PubMed]
- Escudero, M.; Hooper, D.; Krnjaic, G.; Pierre, M. Cosmology with A Very Light Lμ − Lτ Gauge Boson. J. High Energy Phys. 2019, 03, 071. [Google Scholar] [CrossRef]
- Di Valentino, E.; Mena, O.; Pan, S.; Visinelli, L.; Yang, W.; Melchiorri, A.; Mota, D.F.; Riess, A.G.; Silk, J. In the realm of the Hubble tension—a review of solutions. Class. Quant. Grav. 2021, 38, 153001. [Google Scholar] [CrossRef]
- Camalich, J.M.; Terol-Calvo, J.; Tolos, L.; Ziegler, R. Supernova Constraints on Dark Flavored Sectors. Phys. Rev. D 2021, 103, L121301. [Google Scholar] [CrossRef]
- Baryakhtar, M.; Caputo, R.; Croon, D.; Perez, K.; Berti, E.; Bramante, J.; Buschmann, M.; Brito, R.; Chen, T.Y.; Cole, P.S.; et al. Dark Matter In Extreme Astrophysical Environments. arXiv 2022, arXiv:2203.07984. [Google Scholar]
- Bramante, J.; Raj, N. Dark matter in compact stars. arXiv 2023, arXiv:2307.14435. [Google Scholar] [CrossRef]
- Berryman, J.M.; Gardner, S. Neutron star structure with a new force between quarks. Phys. Rev. C 2021, 104, 045802. [Google Scholar] [CrossRef]
- Oppenheimer, J.R.; Volkoff, G.M. On massive neutron cores. Phys. Rev. 1939, 55, 374–381. [Google Scholar] [CrossRef]
- Tolman, R.C. Static solutions of Einstein’s field equations for spheres of fluid. Phys. Rev. 1939, 55, 364–373. [Google Scholar] [CrossRef]
- Romani, R.W.; Kandel, D.; Filippenko, A.V.; Brink, T.G.; Zheng, W. PSR J0952-0607: The Fastest and Heaviest Known Galactic Neutron Star. Astrophys. J. Lett. 2022, 934, L17. [Google Scholar] [CrossRef]
- Fonseca, E.; Cromartie, H.T.; Pennucci, T.T.; Ray, P.S.; Kirichenko, A.Y.; Ransom, S.M.; Demorest, P.B.; Stairs, I.H.; Arzoumanian, Z.; Guillemot, L.; et al. Refined Mass and Geometric Measurements of the High-mass PSR J0740+6620. Astrophys. J. Lett. 2021, 915, L12. [Google Scholar] [CrossRef]
- Antoniadis, J.; Freire, P.C.C.; Wex, N.; Tauris, T.M.; Lynch, R.S.; Van Kerkwijk, M.H.; Kramer, M.; Bassa, C.; Dhillon, V.S.; Driebe, T.; et al. A Massive Pulsar in a Compact Relativistic Binary. Science 2013, 340, 6131. [Google Scholar] [CrossRef]
- Grinstein, B.; Kouvaris, C.; Nielsen, N.G. Neutron Star Stability in Light of the Neutron Decay Anomaly. Phys. Rev. Lett. 2019, 123, 091601. [Google Scholar] [CrossRef]
- Zhou, D. Neutron Star Constraints on Neutron Dark Decays. Universe 2023, 9, 484. [Google Scholar] [CrossRef]
- Balkin, R.; Serra, J.; Springmann, K.; Weiler, A. The QCD axion at finite density. J. High Energy Phys. 2020, 07, 221. [Google Scholar] [CrossRef]
- Balkin, R.; Serra, J.; Springmann, K.; Stelzl, S.; Weiler, A. Heavy neutron stars from light scalars. arXiv 2023, arXiv:2307.14418. [Google Scholar]
- Goldman, I.; Nussinov, S. Weakly interacting massive particles and neutron stars. Phys. Rev. D 1989, 40, 3221–3230. [Google Scholar] [CrossRef] [PubMed]
- Chandrasekhar, S. The Maximum Mass of Ideal White Dwarfs. Astrophys. J. 1931, 74, 81. [Google Scholar] [CrossRef]
- De Lavallaz, A.; Fairbairn, M. Neutron Stars as Dark Matter Probes. Phys. Rev. D 2010, 81, 123521. [Google Scholar] [CrossRef]
- McDermott, S.D.; Yu, H.B.; Zurek, K.M. Constraints on Scalar Asymmetric Dark Matter from Black Hole Formation in Neutron Stars. Phys. Rev. D 2012, 85, 023519. [Google Scholar] [CrossRef]
- Bhattacharya, S.; Dasgupta, B.; Laha, R.; Ray, A. Can LIGO Detect Nonannihilating Dark Matter? Phys. Rev. Lett. 2023, 131, 091401. [Google Scholar] [CrossRef]
- Bramante, J.; Fukushima, K.; Kumar, J. Constraints on bosonic dark matter from observation of old neutron stars. Phys. Rev. D 2013, 87, 055012. [Google Scholar] [CrossRef]
- Bell, N.F.; Melatos, A.; Petraki, K. Realistic neutron star constraints on bosonic asymmetric dark matter. Phys. Rev. D 2013, 87, 123507. [Google Scholar] [CrossRef]
- Gould, A.; Draine, B.T.; Romani, R.W.; Nussinov, S. Neuton stars: Graveyard of charged dark matter. Phys. Lett. B 1990, 238, 337–343. [Google Scholar] [CrossRef]
- Yakovlev, D.G.; Gnedin, O.Y.; Gusakov, M.E.; Kaminker, A.D.; Levenfish, K.P.; Potekhin, A.Y. Neutron star cooling. Nucl. Phys. A 2005, 752, 590–599. [Google Scholar] [CrossRef]
- Rangelov, B.; Pavlov, G.G.; Kargaltsev, O.; Reisenegger, A.; Guillot, S.; Reyes, C.; van Kerkwijk, M.H. Hubble Space Telescope Detection of the Millisecond Pulsar J2124-3358 and its Far-ultraviolet Bow Shock Nebula. Astrophys. J. 2017, 835, 264. [Google Scholar] [CrossRef]
- Durant, M.; Kargaltsev, O.; Pavlov, G.G.; Kowalski, P.M.; Posselt, B.; van Kerkwijk, M.H.; Kaplan, D.L. The Spectrum of the Recycled PSR J0437-4715 and Its White Dwarf Companion. Astrophys. J. 2012, 746, 6. [Google Scholar] [CrossRef]
- Gonzalez, D.; Reisenegger, A. Internal heating of old neutron stars: Contrasting different mechanisms. Astron. Astrophys. 2010, 522, A16. [Google Scholar] [CrossRef]
- Köpp, F.; Horvath, J.E.; Hadjimichef, D.; Vasconcellos, C.A.Z.; Hess, P.O. Internal heating mechanisms in neutron stars. Int. J. Mod. Phys. D 2023, 32, 2350046. [Google Scholar] [CrossRef]
- Yanagi, K.; Nagata, N.; Hamaguchi, K. Cooling Theory Faced with Old Warm Neutron Stars: Role of Non-Equilibrium Processes with Proton and Neutron Gaps. Mon. Not. R. Astron. Soc. 2020, 492, 5508–5523. [Google Scholar] [CrossRef]
- Reisenegger, A. Deviations from chemical equilibrium due to spindown as an internal heat source in neutron stars. Astrophys. J. 1995, 442, 749. [Google Scholar] [CrossRef][Green Version]
- Baryakhtar, M.; Bramante, J.; Li, S.W.; Linden, T.; Raj, N. Dark Kinetic Heating of Neutron Stars and An Infrared Window On WIMPs, SIMPs, and Pure Higgsinos. Phys. Rev. Lett. 2017, 119, 131801. [Google Scholar] [CrossRef]
- Bell, N.F.; Busoni, G.; Robles, S. Heating up Neutron Stars with Inelastic Dark Matter. J. Cosmol. Astropart. Phys. 2018, 9, 18. [Google Scholar] [CrossRef]
- Bell, N.F.; Busoni, G.; Robles, S.; Virgato, M. Improved Treatment of Dark Matter Capture in Neutron Stars. J. Cosmol. Astropart. Phys. 2020, 9, 28. [Google Scholar] [CrossRef]
- Kouvaris, C. WIMP Annihilation and Cooling of Neutron Stars. Phys. Rev. D 2008, 77, 023006. [Google Scholar] [CrossRef]
- Zhitnitsky, A. Neutron Stars as the Dark Matter detectors. arXiv 2023, arXiv:2312.12500. [Google Scholar]
- Balkin, R.; Serra, J.; Springmann, K.; Stelzl, S.; Weiler, A. Runaway relaxion from finite density. J. High Energy Phys. 2022, 6, 23. [Google Scholar] [CrossRef]
- Balkin, R.; Serra, J.; Springmann, K.; Stelzl, S.; Weiler, A. Density induced vacuum instability. SciPost Phys. 2023, 14, 071. [Google Scholar] [CrossRef]
- Acevedo, J.F.; Bramante, J.; Leane, R.K.; Raj, N. Warming Nuclear Pasta with Dark Matter: Kinetic and Annihilation Heating of Neutron Star Crusts. J. Cosmol. Astropart. Phys. 2020, 3, 38. [Google Scholar] [CrossRef]
- Alvarez, G.; Joglekar, A.; Phoroutan-Mehr, M.; Yu, H.B. Heating neutron stars with inelastic dark matter and relativistic targets. Phys. Rev. D 2023, 107, 103024. [Google Scholar] [CrossRef]
- Cigan, P.; Matsuura, M.; Gomez, H.L.; Indebetouw, R.; Abellán, F.; Gabler, M.; Richards, A.; Alp, D.; Davis, T.A.; Janka, H.-T.; et al. High angular resolution ALMA images of dust and molecules in the SN 1987A ejecta. Astrophys. J. 2019, 886, 51. [Google Scholar] [CrossRef]
- Page, D.; Beznogov, M.V.; Garibay, I.; Lattimer, J.M.; Prakash, M.; Janka, H.T. NS 1987A in SN 1987A. Astrophys. J. 2020, 898, 125. [Google Scholar] [CrossRef]
- Hong, D.K.; Shin, C.S.; Yun, S. Cooling of young neutron stars and dark gauge bosons. Phys. Rev. D 2021, 103, 123031. [Google Scholar] [CrossRef]
- Shin, C.S.; Yun, S. Dark gauge boson production from neutron stars via nucleon-nucleon bremsstrahlung. J. High Energy Phys. 2022, 02, 133. [Google Scholar] [CrossRef]
- Freire, P.C.C.; Wex, N.; Esposito-Farèse, G.; Verbiest, J.P.W.; Bailes, M.; Jacoby, B.A.; Kramer, M.; Stairs, I.H.; Antoniadis, J.; Janssen, G.H.; et al. The relativistic pulsar-white dwarf binary PSR J1738+0333—II. The most stringent test of scalar-tensor gravity. Mon. Not. R. Astron. Soc. 2012, 423, 3328–3343. [Google Scholar] [CrossRef]
- Stairs, I.H. Testing general relativity with pulsar timing. Living Rev. Relativ. 2003, 6, 5. [Google Scholar] [CrossRef]
- Hulse, R.A.; Taylor, J.H. Discovery of a pulsar in a binary system. Astrophys. J. Lett. 1975, 195, L51–L53. [Google Scholar] [CrossRef]
- Weisberg, J.M.; Huang, Y. Relativistic Measurements from Timing the Binary Pulsar PSR B1913+16. Astrophys. J. 2016, 829, 55. [Google Scholar] [CrossRef]
- Lyne, A.G.; Burgay, M.; Kramer, M.; Possenti, A.; Manchester, R.N.; Camilo, F.; Mclaughlin, M.A.; Lorimer, D.R.; D’Amico, N.; Joshi, B.C.; et al. A double-pulsar system: A rare laboratory for relativistic gravity and plasma physics. Science 2004, 303, 1153–1157. [Google Scholar] [CrossRef]
- Kramer, M.; Stairs, I.H.; Manchester, R.N.; Wex, N.; Deller, A.T.; Coles, W.A.; Ali, M.; Burgay, M.; Camilo, F.; Cognard, I.; et al. Strong-Field Gravity Tests with the Double Pulsar. Phys. Rev. X 2021, 11, 041050. [Google Scholar] [CrossRef]
- Peters, P.C. Gravitational Radiation and the Motion of Two Point Masses. Phys. Rev. 1964, 136, B1224–B1232. [Google Scholar] [CrossRef]
- Peters, P.C.; Mathews, J. Gravitational Radiation from Point Masses in a Keplerian Orbit. Phys. Rev. 1963, 131, 435–440. [Google Scholar] [CrossRef]
- Huang, S.S. Modes of Mass Ejection by Binary Stars and the Effect on Their Orbital Periods. Astrophys. J. 1963, 138, 471. [Google Scholar] [CrossRef]
- Jeans, J.H. Cosmogonic Problems associated with a Secular Decrease of Mass. Mon. Not. R. Astron. Soc. 1924, 85, 2–11. [Google Scholar] [CrossRef]
- Jeans, J.H. The Effect of Varying Mass on a Binary System. Mon. Not. R. Astron. Soc. 1925, 85, 912–914. [Google Scholar] [CrossRef]
- Goldman, I.; Nussinov, S. Limit on Continuous Neutrino Emission from Neutron Stars. J. High Energy Phys. 2010, 8, 91. [Google Scholar] [CrossRef]
- Blas, D.; Nacir, D.L.; Sibiryakov, S. Ultralight Dark Matter Resonates with Binary Pulsars. Phys. Rev. Lett. 2017, 118, 261102. [Google Scholar] [CrossRef]
- Armaleo, J.M.; López Nacir, D.; Urban, F.R. Binary pulsars as probes for spin-2 ultralight dark matter. J. Cosmol. Astropart. Phys. 2020, 1, 53. [Google Scholar] [CrossRef]
- Kumar Poddar, T.; Mohanty, S.; Jana, S. Vector gauge boson radiation from compact binary systems in a gauged Lμ − Lτ scenario. Phys. Rev. D 2019, 100, 123023. [Google Scholar] [CrossRef]
- Dror, J.A.; Laha, R.; Opferkuch, T. Probing muonic forces with neutron star binaries. Phys. Rev. D 2020, 102, 023005. [Google Scholar] [CrossRef]
- Goldman, I.; Mohapatra, R.N.; Nussinov, S. Bounds on neutron-mirror neutron mixing from pulsar timing. Phys. Rev. D 2019, 100, 123021. [Google Scholar] [CrossRef]
- Agazie, G.; Anumarlapudi, A.; Archibald, A.M.; Arzoumanian, Z.; Baker, P.T.; Bécsy, B.; Blecha, L.; Brazier, A.; Brook, P.R.; Burke-Spolaor, S.; et al. The NANOGrav 15 yr Data Set: Evidence for a Gravitational-wave Background. Astrophys. J. Lett. 2023, 951, L8. [Google Scholar] [CrossRef]
- Antoniadis, J.; Arumugam, P.; Arumugam, S.; Babak, S.; Bagchi, M.; Bak Nielsen, A.-S.; Bassa, C.G.; Bathula, A.; Berthereau, A.; Bonetti, M.; et al. The second data release from the European Pulsar Timing Array III. Search for gravitational wave signals. Astron. Astrophys. 2023, 678, A50. [Google Scholar] [CrossRef]
- Reardon, D.J.; Zic, A.; Shannon, R.M.; Hobbs, G.B.; Bailes, M.; Marco, V.D.; Kapur, A.; Rogers, A.F.; Thrane, E.; Askew, J.; et al. Search for an Isotropic Gravitational-wave Background with the Parkes Pulsar Timing Array. Astrophys. J. Lett. 2023, 951, L6. [Google Scholar] [CrossRef]
- Xu, H.; Chen, S.; Guo, Y.; Jiang, J.; Wang, B.; Xu, J.; Xue, Z.; Caballero, R.N.; Yuan, J.; Xu, Y.; et al. Searching for the Nano-Hertz Stochastic Gravitational Wave Background with the Chinese Pulsar Timing Array Data Release I. Res. Astron. Astrophys. 2023, 23, 075024. [Google Scholar] [CrossRef]
- Khmelnitsky, A.; Rubakov, V. Pulsar timing signal from ultralight scalar dark matter. J. Cosmol. Astropart. Phys. 2014, 2, 19. [Google Scholar] [CrossRef]
- Porayko, N.K.; Zhu, X.; Levin, Y.; Hui, L.; Hobbs, G.; Grudskaya, A.; Postnov, K.; Bailes, M.; Bhat, N.D.R.; Coles, W.; et al. Parkes Pulsar Timing Array constraints on ultralight scalar-field dark matter. Phys. Rev. D 2018, 98, 102002. [Google Scholar] [CrossRef]
- Smarra, C.; Goncharov, B.; Barausse, E.; Antoniadis, J.; Babak, S.; Nielsen, A.S.B.; Bassa, C.G.; Berthereau, A.; Bonetti, M.; Bortolas, E.; et al. Second Data Release from the European Pulsar Timing Array: Challenging the Ultralight Dark Matter Paradigm. Phys. Rev. Lett. 2023, 131, 171001. [Google Scholar] [CrossRef]
- Dror, J.A.; Ramani, H.; Trickle, T.; Zurek, K.M. Pulsar Timing Probes of Primordial Black Holes and Subhalos. Phys. Rev. D 2019, 100, 023003. [Google Scholar] [CrossRef]
- Zakeri, M. Pulsar Timing Anomalies: A Window into Baryon Number Violation. arXiv 2023, arXiv:2311.05586. [Google Scholar]
- Glendenning, N.K. Compact Stars: Nuclear Physics, Particle Physics, and General Relativity; Springer: New York, NY, USA, 1997. [Google Scholar]
- Hartle, J.B. Slowly rotating relativistic stars. 1. Equations of structure. Astrophys. J. 1967, 150, 1005–1029. [Google Scholar] [CrossRef]
- Dexheimer, V. The Relativistic SU(3) Chiral Mean Field (CMF) Equation of State. (DS(CMF)-1). 2021. Available online: https://compose.obspm.fr/eos/180 (accessed on 22 April 2023).
- Takhistov, V. et al. [The Super-Kamiokande Collaboration] Search for Nucleon and Dinucleon Decays with an Invisible Particle and a Charged Lepton in the Final State at the Super-Kamiokande Experiment. Phys. Rev. Lett. 2015, 115, 121803. [Google Scholar] [CrossRef] [PubMed]
- Araki, T. et al. [KamLAND Collaboration] Search for the invisible decay of neutrons with KamLAND. Phys. Rev. Lett. 2006, 96, 101802. [Google Scholar] [CrossRef] [PubMed]
- Walecka, J.D. A Theory of highly condensed matter. Ann. Phys. 1974, 83, 491–529. [Google Scholar] [CrossRef]
- Serot, B.D.; Walecka, J.D. The Relativistic Nuclear Many Body Problem. Adv. Nucl. Phys. 1986, 16, 1–327. [Google Scholar]
- Serot, B.D.; Walecka, J.D. Recent progress in quantum hadrodynamics. Int. J. Mod. Phys. E 1997, 6, 515–631. [Google Scholar] [CrossRef]
- Dexheimer, V.; Schramm, S. Proto-Neutron and Neutron Stars in a Chiral SU(3) Model. Astrophys. J. 2008, 683, 943–948. [Google Scholar] [CrossRef]
- Alford, M.G.; Brodie, L.; Haber, A.; Tews, I. Relativistic mean-field theories for neutron-star physics based on chiral effective field theory. Phys. Rev. C 2022, 106, 055804. [Google Scholar] [CrossRef]
- Ambartsumyan, V.A.; Saakyan, G.S. The Degenerate Superdense Gas of Elementary Particles. Sov. Astron. 1960, 4, 187. [Google Scholar]
- Rawley, L.A.; Taylor, J.H.; Davis, M.M. Period derivative and orbital eccentricity of binary pulsar 1953+29. Nature 1986, 319, 383–384. [Google Scholar] [CrossRef]
- Arzoumanian, Z.; Brazier, A.; Burke-Spolaor, S.; Chamberlin, S.; Chatterjee, S.; Christy, B.; Cordes, J.M.; Cornish, N.J.; Crawford, F.; Cromartie, H.T.; et al. The NANOGrav 11-year Data Set: High-precision timing of 45 Millisecond Pulsars. Astrophys. J. Suppl. 2018, 235, 37. [Google Scholar] [CrossRef]
- Gulminelli, F.; Raduta, A.R. Unified treatment of subsaturation stellar matter at zero and finite temperature. Phys. Rev. C 2015, 92, 055803. [Google Scholar] [CrossRef]
- Typel, S. et al. [CompOSE Core Team] CompOSE Reference Manual. Eur. Phys. J. A 2022, 58, 221. [Google Scholar] [CrossRef]
- Dexheimer, V. The Relativistic SU(3) Chiral Mean Field (CMF) Equation of State. (DS(CMF)-8). 2021. Available online: https://compose.obspm.fr/eos/187 (accessed on 20 April 2023).
- Ablikim, M. et al. [BESIII Collaboration] Search for invisible decays of the Λ baryon. Phys. Rev. D 2022, 105, L071101. [Google Scholar] [CrossRef]
- Garching Core-Collapse Supernova Archive. Available online: https://wwwmpa.mpa-garching.mpg.de/ccsnarchive (accessed on 6 November 2023).
- McKeen, D.; Pospelov, M. How long does the hydrogen atom live? arXiv 2020, arXiv:2003.02270. [Google Scholar] [CrossRef]
- Berlin, A.; Blinov, N.; Krnjaic, G.; Schuster, P.; Toro, N. Dark Matter, Millicharges, Axion and Scalar Particles, Gauge Bosons, and Other New Physics with LDMX. Phys. Rev. D 2019, 99, 075001. [Google Scholar] [CrossRef]











| Scenario | Configuration Space | Constraints & Model Inputs |
|---|---|---|
| Pulsar Spin-Down | Observed spin-down rate () Baryon conservation () | |
| Dark Core Formation | Baryon conversion rate () Total baryon conservation () | |
| Baryon Dark Decay | Total baryon loss rate () |
Disclaimer/Publisher’s Note: The statements, opinions and data contained in all publications are solely those of the individual author(s) and contributor(s) and not of MDPI and/or the editor(s). MDPI and/or the editor(s) disclaim responsibility for any injury to people or property resulting from any ideas, methods, instructions or products referred to in the content. |
© 2024 by the authors. Licensee MDPI, Basel, Switzerland. This article is an open access article distributed under the terms and conditions of the Creative Commons Attribution (CC BY) license (https://creativecommons.org/licenses/by/4.0/).
Share and Cite
Gardner, S.; Zakeri, M. Probing Dark Sectors with Neutron Stars. Universe 2024, 10, 67. https://doi.org/10.3390/universe10020067
Gardner S, Zakeri M. Probing Dark Sectors with Neutron Stars. Universe. 2024; 10(2):67. https://doi.org/10.3390/universe10020067
Chicago/Turabian StyleGardner, Susan, and Mohammadreza Zakeri. 2024. "Probing Dark Sectors with Neutron Stars" Universe 10, no. 2: 67. https://doi.org/10.3390/universe10020067
APA StyleGardner, S., & Zakeri, M. (2024). Probing Dark Sectors with Neutron Stars. Universe, 10(2), 67. https://doi.org/10.3390/universe10020067

