Post-Newtonian Effects in Compact Binaries with a Dark Matter Spike: A Lagrangian Approach
Abstract
1. Introduction
2. Dark Matter Halo
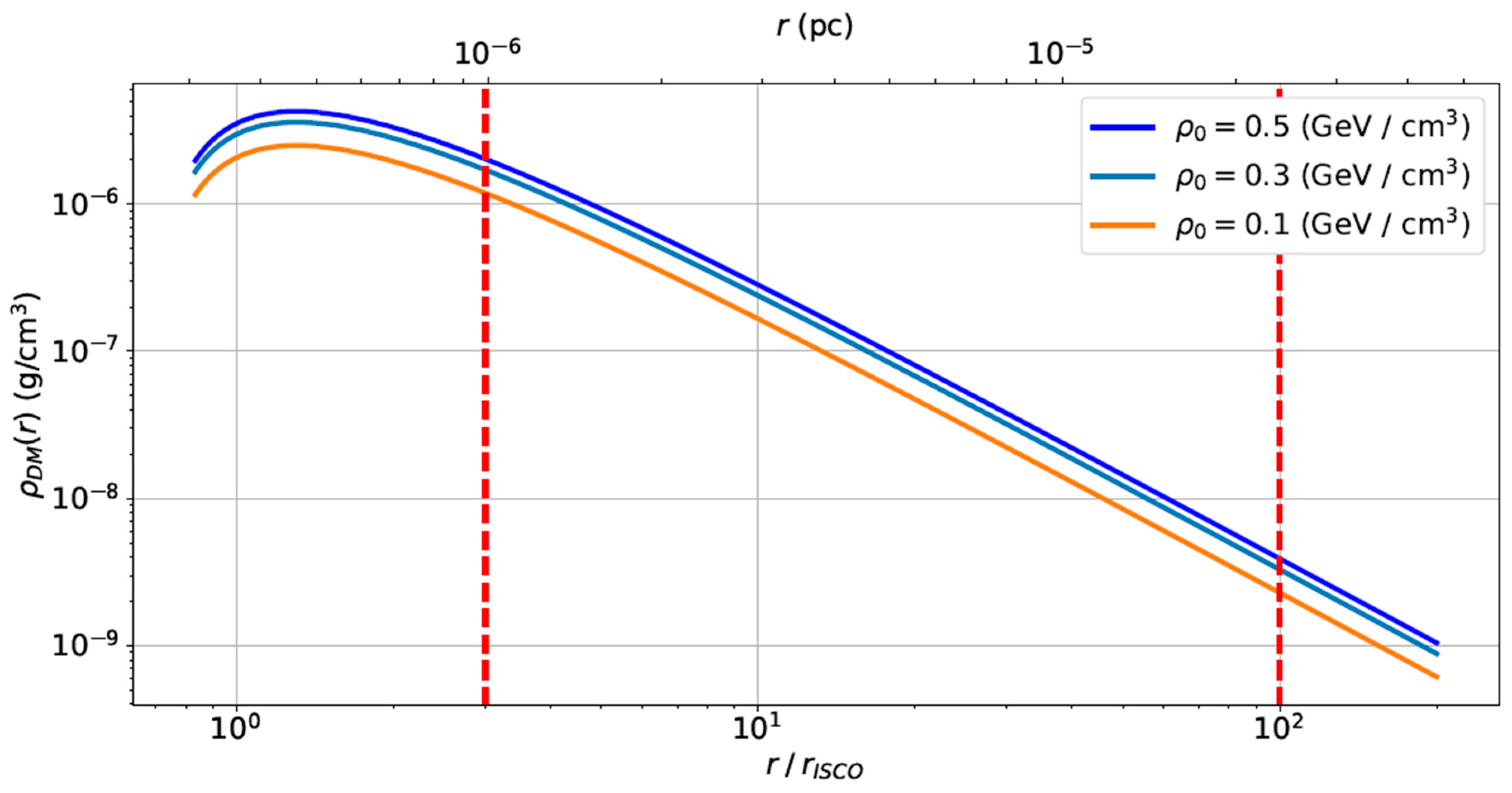
2.1. Spike Profile
2.2. System Parameters
3. Lagrangian Formulation and Equations of Motion
3.1. Newtonian Part of the Euler–Lagrange Equations
3.2. Generalized Forces
3.3. Specific Form of Generalized Forces
3.3.1. Post-Newtonian Corrections
3.3.2. Dissipation Due to Dynamical Friction
3.4. Lagrangian Equations of Motion
4. Orbits and Gravitational Waves
4.1. Orbital Evolution
4.2. Gravitational Wave Analysis
5. Discussion and Conclusions
Author Contributions
Funding
Institutional Review Board Statement
Informed Consent Statement
Data Availability Statement
Acknowledgments
Conflicts of Interest
Abbreviations
| GW | Gravitational waves |
| BH | Black hole |
| DM | Dark matter |
| CDM | Cold dark matter |
| EMRI | Extreme mass ratio inspirals |
| IMRI | Intermediate mass ratio inspirals |
| LISA | Laser Interferometer Space Observatory |
| LIGO | Laser Interferometer Gravitational-Wave Observatory |
| IMBH | Intermediate mass black holes |
| PN | post-Newtonian |
| NFW | Navarro–Frenk–White |
| E-L | Euler–Lagrange |
| DF | Dynamical friction |
| CM | Center of mass |
| ISCO | Innermost stable circular orbit |
Appendix A. Analytical Approximation of the Characteristic Strain
| 1 | Note that is a valid fit when and . |
| 2 | Which matches with the scale in Equation (1) |
| 3 | Corresponding to the three DM scale densities tested in Ref. [32]. |
| 4 | We use Einstein’s summation notation and the indices are raised and lowered with the flat Euclidean metric . |
| 5 | Note that when , . |
References
- Abbott, B.P.; Abbott, R.; Abbott, T.D.; Abernathy, M.R.; Acernese, F.; Ackley, K.; Adams, C.; Adams, T.; Addesso, P.; Adhikari, R.X.; et al. Tests of general relativity with GW150914. Phys. Rev. Lett. 2016, 116, 221101, Erratum in Phys. Rev. Lett. 2018, 121, 129902. [Google Scholar] [CrossRef] [PubMed]
- Amaro-Seoane, P.; Audley, H.; Babak, S.; Baker, J.; Barausse, E.; Bender, P.; Berti, E.; Binetruy, P.; Born, M.; Bortoluzzi, D. Laser interferometer space antenna. arXiv 2017, arXiv:1702.00786. [Google Scholar]
- Hu, W.R.; Wu, Y.L. The Taiji Program in Space for gravitational wave physics and the nature of gravity. Natl. Sci. Rev. 2017, 4, 685–686. [Google Scholar] [CrossRef]
- Luo, J.; Chen, L.S.; Duan, H.Z.; Gong, Y.G.; Hu, S.; Ji, J.; Liu, Q.; Mei, J.; Milyukov, V.; Sazhin, M.; et al. TianQin: A space-borne gravitational wave detector. Class. Quant. Grav. 2016, 33, 035010. [Google Scholar] [CrossRef]
- Arun, K.G.; Belgacem, E.; Benkel, R.; Bernard, L.; Berti, E.; Bertone, G.; Besancon, M.; Blas, D.; Böhmer, C.G.; Brito, R.; et al. New horizons for fundamental physics with LISA. Living Rev. Rel. 2022, 25, 4. [Google Scholar] [CrossRef]
- Auclair, P.; Bacon, D.; Baker, T.; Barreiro, T.; Bartolo, N.; Belgacem, E.; Bellomo, N.; Ben-Dayan, I.; Bertacca, D.; Besancon, M.; et al. Cosmology with the Laser Interferometer Space Antenna. Living Rev. Rel. 2023, 26, 5. [Google Scholar] [CrossRef]
- Addazi, A.; Alvarez-Muniz, J.; Batista, R.A.; Amelino-Camelia, G.; Antonelli, V.; Arzano, M.; Asorey, M.; Atteia, J.L.; Bahamonde, S.; Bajardi, F.; et al. Quantum gravity phenomenology at the dawn of the multi-messenger era—A review. Prog. Part. Nucl. Phys. 2022, 125, 103948. [Google Scholar] [CrossRef]
- Batista, R.A.; Amelino-Camelia, G.; Boncioli, D.; Carmona, J.M.; Di Matteo, A.; Gubitosi, G.; Lobo, I.; Mavromatos, N.E.; Pfeifer, C.; Rubiera-Garcia, D.; et al. White Paper and Roadmap for Quantum Gravity Phenomenology in the Multi-Messenger Era. arXiv 2023, arXiv:2312.00409. [Google Scholar]
- Garcia-Chung, A.; Carney, M.F.; Mertens, J.B.; Parvizi, A.; Rastgoo, S.; Tavakoli, Y. Constraining the quantum gravity polymer scale using LIGO data. Class. Quantum Gravity 2023, 41, 015011. [Google Scholar] [CrossRef]
- Garcia-Chung, A.; Carney, M.F.; Mertens, J.B.; Parvizi, A.; Rastgoo, S.; Tavakoli, Y. What do gravitational wave detectors say about polymer quantum effects? JCAP 2022, 11, 054. [Google Scholar] [CrossRef]
- Garcia-Chung, A.; Mertens, J.B.; Rastgoo, S.; Tavakoli, Y.; Vargas Moniz, P. Propagation of quantum gravity-modified gravitational waves on a classical FLRW spacetime. Phys. Rev. D 2021, 103, 084053. [Google Scholar] [CrossRef]
- Bertone, G.; Hooper, D.; Silk, J. Particle dark matter: Evidence, candidates and constraints. Phys. Rept. 2005, 405, 279–390. [Google Scholar] [CrossRef]
- Bertone, G.; Tait, T.M. A new era in the search for dark matter. Nature 2018, 562, 51–56. [Google Scholar] [CrossRef] [PubMed]
- Gondolo, P.; Silk, J. Dark matter annihilation at the galactic center. Phys. Rev. Lett. 1999, 83, 1719–1722. [Google Scholar] [CrossRef]
- Sadeghian, L.; Ferrer, F.; Will, C.M. Dark matter distributions around massive black holes: A general relativistic analysis. Phys. Rev. D 2013, 88, 063522. [Google Scholar] [CrossRef]
- Maeda, K.i.; Cardoso, V.; Wang, A. Einstein Cluster as Central Spiky Distribution of Galactic Dark Matter. arXiv 2024, arXiv:2410.04175. [Google Scholar]
- Shen, Z.; Wang, A.; Gong, Y.; Yin, S. Analytical Models of Supermassive Black Holes in Galaxies Surrounded by Dark Matter Halos. Phys. Lett. B 2024, 855, 138797. [Google Scholar] [CrossRef]
- Shen, Z.; Wang, A.; Yin, S. A Clas of Analytical Models for Black Holes Surrounded by Dark Matter Halos. arXiv 2024, arXiv:2408.05417. [Google Scholar] [CrossRef]
- Cardoso, V.; Destounis, K.; Duque, F.; Macedo, R.P.; Maselli, A. Black holes in galaxies: Environmental impact on gravitational-wave generation and propagation. Phys. Rev. D 2022, 105, L061501. [Google Scholar] [CrossRef]
- Eda, K.; Itoh, Y.; Kuroyanagi, S.; Silk, J. New Probe of Dark-Matter Properties: Gravitational Waves from an Intermediate-Mass Black Hole Embedded in a Dark-Matter Minispike. Phys. Rev. Lett. 2013, 110, 221101. [Google Scholar] [CrossRef]
- Eda, K.; Itoh, Y.; Kuroyanagi, S.; Silk, J. Gravitational waves as a probe of dark matter minispikes. Phys. Rev. D 2015, 91, 044045. [Google Scholar] [CrossRef]
- Barrau, A.; Bojowald, M.; Calcagni, G.; Grain, J.; Kagan, M. Anomaly-free cosmological perturbations in effective canonical quantum gravity. JCAP 2015, 5, 051. [Google Scholar] [CrossRef]
- Coogan, A.; Bertone, G.; Gaggero, D.; Kavanagh, B.J.; Nichols, D.A. Measuring the dark matter environments of black hole binaries with gravitational waves. Phys. Rev. D 2022, 105, 043009. [Google Scholar] [CrossRef]
- Macedo, C.F.B.; Pani, P.; Cardoso, V.; Crispino, L.C.B. Into the lair: Gravitational-wave signatures of dark matter. Astrophys. J. 2013, 774, 48. [Google Scholar] [CrossRef]
- Yue, X.J.; Han, W.B. Gravitational waves with dark matter minispikes: The combined effect. Phys. Rev. D 2018, 97, 064003. [Google Scholar] [CrossRef]
- Yue, X.J.; Cao, Z. Dark matter minispike: A significant enhancement of eccentricity for intermediate-mass-ratio inspirals. Phys. Rev. D 2019, 100, 043013. [Google Scholar] [CrossRef]
- Cardoso, V.; Macedo, C.F.B.; Vicente, R. Eccentricity evolution of compact binaries and applications to gravitational-wave physics. Phys. Rev. D 2021, 103, 023015. [Google Scholar] [CrossRef]
- Becker, N.; Sagunski, L.; Prinz, L.; Rastgoo, S. Circularization versus eccentrification in intermediate mass ratio inspirals inside dark matter spikes. Phys. Rev. D 2022, 105, 063029. [Google Scholar] [CrossRef]
- Becker, N.; Sagunski, L. Comparing accretion disks and dark matter spikes in intermediate mass ratio inspirals. Phys. Rev. D 2023, 107, 083003. [Google Scholar] [CrossRef]
- Dai, N.; Gong, Y.; Jiang, T.; Liang, D. Intermediate Mass-Ratio Inspirals with Dark Matter Minispike. Phys. Rev. D 2021, 106, 064003. [Google Scholar] [CrossRef]
- Kavanagh, B.J.; Nichols, D.A.; Bertone, G.; Gaggero, D. Detecting dark matter around black holes with gravitational waves: Effects of dark-matter dynamics on the gravitational waveform. Phys. Rev. D 2020, 102, 083006. [Google Scholar] [CrossRef]
- Speeney, N.; Antonelli, A.; Baibhav, V.; Berti, E. Impact of relativistic corrections on the detectability of dark-matter spikes with gravitational waves. Phys. Rev. D 2022, 106, 044027. [Google Scholar] [CrossRef]
- Cole, P.S.; Coogan, A.; Kavanagh, B.J.; Bertone, G. Measuring dark matter spikes around primordial black holes with Einstein Telescope and Cosmic Explorer. Phys. Rev. D 2022, 107, 083006. [Google Scholar] [CrossRef]
- Arnaud, K.A.; Babak, S.; Baker, J.G.; Benacquista, M.J.; Cornish, N.J.; Cutler, C.; Larson, S.L.; Sathyaprakash, B.S.; Vallisneri, M.; Vecchio, A.; et al. The Mock LISA Data Challenges: An overview. AIP Conf. Proc. 2006, 873, 619–624. [Google Scholar] [CrossRef]
- Navarro, J.F.; Frenk, C.S.; White, S.D.M. A Universal Density Profile from Hierarchical Clustering. Astrophys. J. 1997, 490, 493–508. [Google Scholar] [CrossRef]
- Maggiore, M. Gravitational Waves. Volume 2: Astrophysics and Cosmology; Oxford University Press: Oxford, UK, 2018. [Google Scholar]
- Will, C.M. On the unreasonable effectiveness of the post-Newtonian approximation in gravitational physics. Proc. Nat. Acad. Sci. USA 2011, 108, 5938. [Google Scholar] [CrossRef]
- Blanchet, L. Gravitational Radiation from Post-Newtonian Sources and Inspiralling Compact Binaries. Living Rev. Relativ. 2014, 17, 2. [Google Scholar] [CrossRef]
- Traykova, D.; Clough, K.; Helfer, T.; Berti, E.; Ferreira, P.G.; Hui, L. Dynamical friction from scalar dark matter in the relativistic regime. Phys. Rev. D 2021, 104, 103014. [Google Scholar] [CrossRef]
- Maggiore, M. Gravitational Waves: Volume 1: Theory and Experiments; Oxford University Press: Oxford, UK, 2007. [Google Scholar]
- Blanchet, L.; Faye, G.; Henry, Q.; Larrouturou, F.; Trestini, D. Gravitational waves from compact binaries to the fourth post-Newtonian order. arXiv 2023, arXiv:2304.13647. [Google Scholar]
- Bertone, G.; Wierda, A.R.A.C.; Gaggero, D.; Kavanagh, B.J.; Volonteri, M.; Yoshida, N. Dark Matter Mounds: Towards a Realistic Description of Dark Matter Overdensities around Black Holes. arXiv 2024, arXiv:2404.08731. [Google Scholar]






Disclaimer/Publisher’s Note: The statements, opinions and data contained in all publications are solely those of the individual author(s) and contributor(s) and not of MDPI and/or the editor(s). MDPI and/or the editor(s) disclaim responsibility for any injury to people or property resulting from any ideas, methods, instructions or products referred to in the content. |
© 2024 by the authors. Licensee MDPI, Basel, Switzerland. This article is an open access article distributed under the terms and conditions of the Creative Commons Attribution (CC BY) license (https://creativecommons.org/licenses/by/4.0/).
Share and Cite
Montalvo, D.; Smith-Orlik, A.; Rastgoo, S.; Sagunski, L.; Becker, N.; Khan, H. Post-Newtonian Effects in Compact Binaries with a Dark Matter Spike: A Lagrangian Approach. Universe 2024, 10, 427. https://doi.org/10.3390/universe10110427
Montalvo D, Smith-Orlik A, Rastgoo S, Sagunski L, Becker N, Khan H. Post-Newtonian Effects in Compact Binaries with a Dark Matter Spike: A Lagrangian Approach. Universe. 2024; 10(11):427. https://doi.org/10.3390/universe10110427
Chicago/Turabian StyleMontalvo, Diego, Adam Smith-Orlik, Saeed Rastgoo, Laura Sagunski, Niklas Becker, and Hazkeel Khan. 2024. "Post-Newtonian Effects in Compact Binaries with a Dark Matter Spike: A Lagrangian Approach" Universe 10, no. 11: 427. https://doi.org/10.3390/universe10110427
APA StyleMontalvo, D., Smith-Orlik, A., Rastgoo, S., Sagunski, L., Becker, N., & Khan, H. (2024). Post-Newtonian Effects in Compact Binaries with a Dark Matter Spike: A Lagrangian Approach. Universe, 10(11), 427. https://doi.org/10.3390/universe10110427

