Current Density Induced by a Cosmic String in de Sitter Spacetime in the Presence of Two Flat Boundaries
Abstract
1. Introduction
2. Background Geometry and Matter Field Content
Bosonic Modes
3. Wightman Function
4. VEV of the Current Density
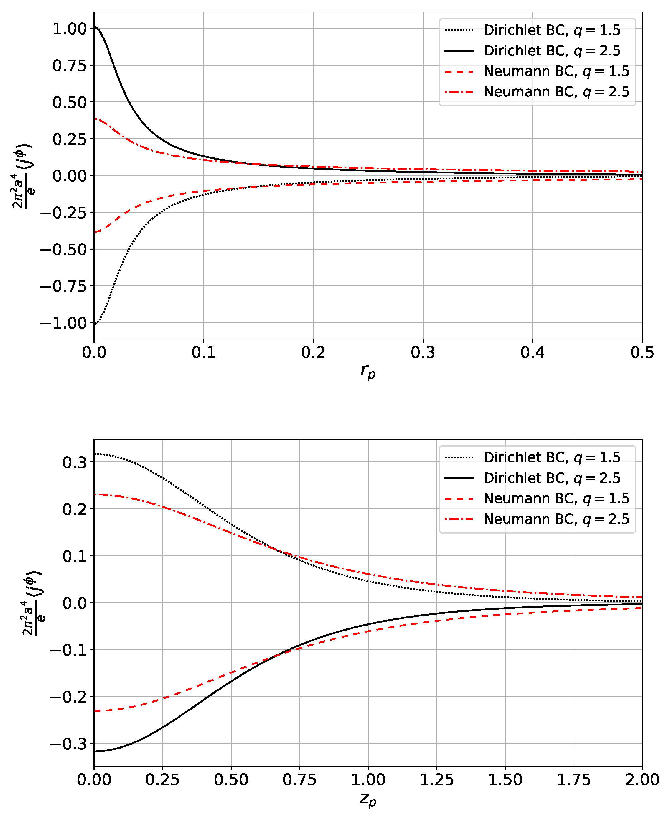
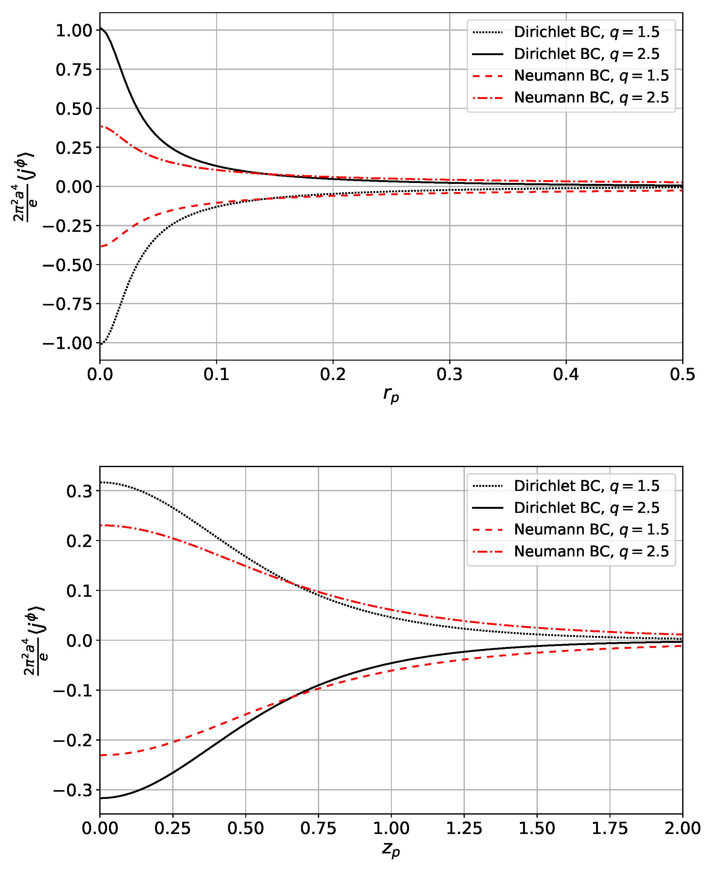
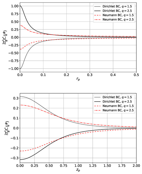
4.1. Azimuthal Current in the Presence of a Single Plate
4.2. Azimuthal Current in the Region Between the Plates
5. Conclusions
Author Contributions
Funding
Data Availability Statement
Acknowledgments
Conflicts of Interest
References
- Birrell, N.D.; Davies, P.C.W. Quantum Fields in Curved Space; Cambridge University Press: Cambridge, UK, 1982. [Google Scholar]
- Linde, A.D. Particle Physics and Inflationary Cosmology; Harwood Academic Publishers: Chur, Switzerland, 1990. [Google Scholar]
- Mottola, E. Particle creation in de Sitter space. Phys. Rev. D 1985, 31, 754. [Google Scholar] [CrossRef] [PubMed]
- Vilenkin, A.; Shellard, E.P.S. Cosmic Strings and Other Topological Defects; Cambridge monographs on mathematical physics; Cambridge University Press: Cambridge, UK, 1994. [Google Scholar]
- Hindmarsh, M.; Kibble, T. Cosmic strings. Rept. Prog. Phys. 1995, 58, 477–562. [Google Scholar] [CrossRef]
- Hyde, J.M.; Long, A.J.; Vachaspati, T. Dark Strings and their Couplings to the Standard Model. Phys. Rev. D 2014, 89, 065031. [Google Scholar] [CrossRef]
- Damour, T.; Vilenkin, A. Gravitational Wave Bursts from Cosmic Strings. Phys. Rev. Lett. 2000, 85, 3761. [Google Scholar] [CrossRef] [PubMed]
- Battacharjee, P.; Sigl, G. Origin and propagation of extremely high-energy cosmic rays. Phys. Rep. 2000, 327, 109. [Google Scholar] [CrossRef]
- Berezinski, V.; Hnatyk, B.; Vilenkin, A. Gamma ray bursts from superconducting cosmic strings. Phys. Rev. D 2001, 64, 043004. [Google Scholar] [CrossRef]
- Nielsen, H.B.; Olesen, P. Vortex Line Models for Dual Strings. Nucl. Phys. B 1973, 61, 45–61. [Google Scholar] [CrossRef]
- Garfinkle, D. General Relativistic Strings. Phys. Rev. D 1985, 32, 1323–1329. [Google Scholar] [CrossRef] [PubMed]
- Linet, B. A Vortex Line Model for Infinite Straight Cosmic Strings. Phys. Lett. A 1987, 124, 240. [Google Scholar] [CrossRef]
- Gott, J.R., III. Gravitational lensing effects of vacuum strings-Exact solutions. Astrophys. J. 1985, 288, 422–427. [Google Scholar] [CrossRef]
- Linet, B. Force on a charge in the space-time of a cosmic string. Phys. Rev. D 1986, 33, 1833–1834. [Google Scholar] [CrossRef] [PubMed]
- Smith, A.G. The Formation and Evolution of Cosmic Strings; Gibbons, G.W., Hawking, S.W., Vachaspati, T., Eds.; Cambridge University Press: Cambridge, UK, 1990. [Google Scholar]
- Bragança, E.A.F.; Bezerra De Mello, E.R.; Mohammadi, A. Vacuum bosonic currents induced by a compactified cosmic string in dS background. Int. J. Mod. Phys. 2020, 29, 2050103. [Google Scholar] [CrossRef]
- dos Santos, W.O.; Bezerra de Mello, E.R. Vacuum effects induced by a plate in de Sitter spacetime in the presence of a cosmic string. Universe 2024, 10, 20. [Google Scholar] [CrossRef]
- Elizalde, E.; Saharian, A.A.; Vardanyan, T.A. Casimir effect for parallel plates in de Sitter spacetime. Phys. Rev. D 2010, 81, 124003. [Google Scholar] [CrossRef]
- Gradshteyn, I.S.; Ryzhik, I.M. Table of Integrals, Series and Products; Academic Press: New York, NY, USA, 1980. [Google Scholar]
- Abramowitz, M.; Stegun, I.A. Handbook of Mathematical Functions; Dover: New York, NY, USA, 1972. [Google Scholar]
- Bezerra de Mello, E.R.; Bezerra, V.B.; Saharian, A.A.; Harutyunyan, H.H. Vacuum currents induced by a magnetic flux around a cosmic string with finite core. Phys. Rev. D 2015, 91, 064034. [Google Scholar] [CrossRef]
- Bragança, E.A.F.; Santana Mota, H.F.; Bezerra de Mello, E.R. Induced vacuum bosonic current by magnetic flux in a higher dimensional compactified cosmic string spacetime. Int. J. Mod. Phys. D 2015, 24, 1550055. [Google Scholar] [CrossRef]
- Balogh, C.B. Asymptotic expansions of the modified Bessel function of the third kind of imaginary order. SIAM J. Appl. Math. 1967, 15, 1315–1323. [Google Scholar] [CrossRef]



| Disclaimer/Publisher’s Note: The statements, opinions and data contained in all publications are solely those of the individual author(s) and contributor(s) and not of MDPI and/or the editor(s). MDPI and/or the editor(s) disclaim responsibility for any injury to people or property resulting from any ideas, methods, instructions or products referred to in the content. | 
© 2024 by the authors. Licensee MDPI, Basel, Switzerland. This article is an open access article distributed under the terms and conditions of the Creative Commons Attribution (CC BY) license (https://creativecommons.org/licenses/by/4.0/).
Share and Cite
Oliveira dos Santos, W.; Santana Mota, H.F.; Bezerra de Mello, E.R. Current Density Induced by a Cosmic String in de Sitter Spacetime in the Presence of Two Flat Boundaries. Universe 2024, 10, 428. https://doi.org/10.3390/universe10110428
Oliveira dos Santos W, Santana Mota HF, Bezerra de Mello ER. Current Density Induced by a Cosmic String in de Sitter Spacetime in the Presence of Two Flat Boundaries. Universe. 2024; 10(11):428. https://doi.org/10.3390/universe10110428
Chicago/Turabian StyleOliveira dos Santos, Wagner, Herondy F. Santana Mota, and Eugênio R. Bezerra de Mello. 2024. "Current Density Induced by a Cosmic String in de Sitter Spacetime in the Presence of Two Flat Boundaries" Universe 10, no. 11: 428. https://doi.org/10.3390/universe10110428
APA StyleOliveira dos Santos, W., Santana Mota, H. F., & Bezerra de Mello, E. R. (2024). Current Density Induced by a Cosmic String in de Sitter Spacetime in the Presence of Two Flat Boundaries. Universe, 10(11), 428. https://doi.org/10.3390/universe10110428
 
        


