Radial Oscillations of Dark Matter Stars Admixed with Dark Energy
Abstract
1. Introduction
2. Relativistic Spheres in General Relativity
2.1. Structure Equations
2.2. Equations of State
3. Radial Oscillations
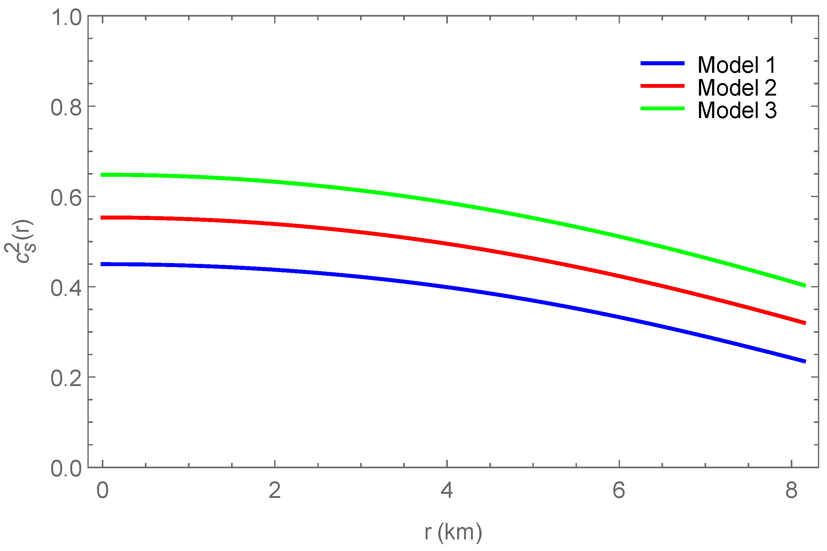
4. Results and Discussion
5. Conclusions
Author Contributions
Funding
Data Availability Statement
Conflicts of Interest
References
- Zwicky, F. The redshift of extragalactic nebulae. Helv. Phys. Acta 1933, 6, 110. [Google Scholar]
- Rubin, V.C.; Ford, W.K., Jr. Rotation of the Andromeda Nebula from a Spectroscopic Survey of Emission Regions. Astrophys. J. 1970, 159, 379–403. [Google Scholar] [CrossRef]
- Munoz, C. Dark matter detection in the light of recent experimental results. Int. J. Mod. Phys. A 2004, 19, 3093–3170. [Google Scholar] [CrossRef]
- Riess, A.G. et al. [Supernova Search Team] Observational evidence from supernovae for an accelerating universe and a cosmological constant. Astron. J. 1998, 116, 1009–1038. [Google Scholar] [CrossRef]
- Perlmutter, S. et al. [Supernova Cosmology Project] Measurements of Ω and Λ from 42 high redshift supernovae. Astrophys. J. 1999, 517, 565–586. [Google Scholar] [CrossRef]
- Freedman, W.L.; Turner, M.S. Measuring and understanding the universe. Rev. Mod. Phys. 2003, 75, 1433–1447. [Google Scholar] [CrossRef]
- Aghanim, N. et al. [Planck] Planck 2018 results. VI. Cosmological parameters. Astron. Astrophys. 2020, 641, A6, Erratum in Astron. Astrophys. 2021, 652, C4. [Google Scholar] [CrossRef]
- Shapiro, S.L.; Teukolsky, S.A. Black Holes, White Dwarfs, and Neutron Stars: The Physics of Compact Objects; Wiley: New York, NY, USA, 1983; p. 645. [Google Scholar]
- Lattimer, J.M.; Prakash, M. Neutron Star Observations: Prognosis for Equation of State Constraints. Phys. Rep. 2007, 442, 109–165. [Google Scholar] [CrossRef]
- Alcock, C.; Farhi, E.; Olinto, A. Strange stars. Astrophys. J. 1986, 310, 261–272. [Google Scholar] [CrossRef]
- Alcock, C.; Olinto, A. Exotic Phases of Hadronic Matter and their Astrophysical Application. Ann. Rev. Nucl. Part. Sci. 1988, 38, 161–184. [Google Scholar] [CrossRef]
- Madsen, J. Physics and astrophysics of strange quark matter. Lect. Notes Phys. 1999, 516, 162–203. [Google Scholar] [CrossRef]
- Weber, F. Strange quark matter and compact stars. Prog. Part. Nucl. Phys. 2005, 54, 193–288. [Google Scholar] [CrossRef]
- Yue, Y.L.; Cui, X.H.; Xu, R.X. Is psr b0943+10 a low-mass quark star? Astrophys. J. Lett. 2006, 649, L95–L98. [Google Scholar] [CrossRef]
- Leahy, D.; Ouyed, R. Supernova SN2006gy as a first ever Quark Nova? Mon. Not. R. Astron. Soc. 2008, 387, 1193. [Google Scholar] [CrossRef]
- Li, X.Y.; Harko, T.; Cheng, K.S. Condensate dark matter stars. J. Cosmol. Astropart. Phys. 2012, 6, 1. [Google Scholar] [CrossRef]
- Maselli, A.; Pnigouras, P.; Nielsen, N.G.; Kouvaris, C.; Kokkotas, K.D. Dark stars: Gravitational and electromagnetic observables. Phys. Rev. D 2017, 96, 023005. [Google Scholar] [CrossRef]
- Panotopoulos, G.; Lopes, I. Dark stars in Starobinsky’s model. Phys. Rev. D 2018, 97, 024025. [Google Scholar] [CrossRef]
- Singh, K.N.; Ali, A.; Rahaman, F.; Nasri, S. Compact stars with exotic matter. Phys. Dark Univ. 2020, 29, 100575. [Google Scholar] [CrossRef]
- Tello-Ortiz, F.; Malaver, M.; Rincón, Á.; Gomez-Leyton, Y. Relativistic anisotropic fluid spheres satisfying a non-linear equation of state. Eur. Phys. J. C 2020, 80, 371. [Google Scholar] [CrossRef]
- Panotopoulos, G.; Rincón, Á.; Lopes, I. Radial oscillations and tidal Love numbers of dark energy stars. Eur. Phys. J. Plus 2020, 135, 856. [Google Scholar] [CrossRef]
- Panotopoulos, G.; Rincón, Á.; Lopes, I. Slowly rotating dark energy stars. Phys. Dark Univ. 2021, 34, 100885. [Google Scholar] [CrossRef]
- Sepúlveda, C.; Panotopoulos, G. On exotic objects made of dark energy and dark matter: Mass-to-radius profiles and tidal Love numbers. Galaxies 2023, 11, 101. [Google Scholar] [CrossRef]
- Boehmer, C.G.; Harko, T. Can dark matter be a Bose-Einstein condensate? J. Cosmol. Astropart. Phys. 2007, 6, 025. [Google Scholar] [CrossRef]
- Fan, J. Ultralight Repulsive Dark Matter and BEC. Phys. Dark Univ. 2016, 14, 84–94. [Google Scholar] [CrossRef]
- Chavanis, P.H. Phase transitions between dilute and dense axion stars. Phys. Rev. D 2018, 98, 023009. [Google Scholar] [CrossRef]
- Pourhassan, B.; Kahya, E.O. Extended Chaplygin gas model. Results Phys. 2014, 4, 101–102. [Google Scholar] [CrossRef]
- Pourhassan, B.; Kahya, E.O. FRW cosmology with the extended Chaplygin gas. Adv. High Energy Phys. 2014, 2014, 231452. [Google Scholar] [CrossRef]
- Freese, K.; Spolyar, D.; Bodenheimer, P.; Gondolo, P. Dark Stars: A New Study of the FIrst Stars in the Universe. New J. Phys. 2009, 11, 105014. [Google Scholar] [CrossRef]
- Spolyar, D.; Bodenheimer, P.; Freese, K.; Gondolo, P. Dark Stars: A new look at the First Stars in the Universe. Astrophys. J. 2009, 705, 1031–1042. [Google Scholar] [CrossRef]
- Turck-Chieze, S.; Couvidat, S. Solar neutrinos, helioseismology and the solar internal dynamics. Rep. Prog. Phys. 2011, 74, 086901. [Google Scholar] [CrossRef]
- Chaplin, W.J.; Miglio, A. Asteroseismology of Solar-Type and Red-Giant Stars. Ann. Rev. Astron. Astrophys. 2013, 51, 353. [Google Scholar] [CrossRef]
- Kokkotas, K.D.; Schmidt, B.G. Quasinormal modes of stars and black holes. Living Rev. Rel. 1999, 2, 2. [Google Scholar] [CrossRef] [PubMed]
- Paschalidis, V.; Stergioulas, N. Rotating Stars in Relativity. Living Rev. Rel. 2017, 20, 7. [Google Scholar] [CrossRef] [PubMed]
- Clemente, F.D.; Mannarelli, M.; Tonelli, F. Reliable description of the radial oscillations of compact stars. Phys. Rev. D 2020, 101, 103003. [Google Scholar] [CrossRef]
- Kain, B. Radial oscillations and stability of multiple-fluid compact stars. Phys. Rev. D 2020, 102, 023001. [Google Scholar] [CrossRef]
- Córsico, A.H.; Althaus, L.G.; Bertolami, M.M.M.; Kepler, S.O. Pulsating white dwarfs: New insights. Astron. Astrophys. Rev. 2019, 27, 7. [Google Scholar] [CrossRef]
- Sagun, V.; Panotopoulos, G.; Lopes, I. Asteroseismology: Radial oscillations of neutron stars with realistic equation of state. Phys. Rev. D 2020, 101, 063025. [Google Scholar] [CrossRef]
- Panotopoulos, G.; Lopes, I. Radial oscillations of strange quark stars admixed with condensed dark matter. Phys. Rev. D 2017, 96, 083013. [Google Scholar] [CrossRef]
- Leung, S.C.; Chu, M.C.; Lin, L.M. Dark-matter admixed neutron stars. Phys. Rev. D 2011, 84, 107301. [Google Scholar] [CrossRef]
- Leung, S.C.; Chu, M.C.; Lin, L.M. Equilibrium Structure and Radial Oscillations of Dark Matter Admixed Neutron Stars. Phys. Rev. D 2012, 85, 103528. [Google Scholar] [CrossRef]
- Lopes, I.P. A New Look at the Eckart-Scuflaire-Osaki Classification Scheme of Stellar Oscillations. Astrophys. J. 2000, 542, 1071–1074. [Google Scholar] [CrossRef][Green Version]
- Lopes, I.P. Nonradial adiabatic oscillations of stars. Astron. Astrophys. 2001, 373, 916–931. [Google Scholar] [CrossRef]
- Kokkotas, K.D.; Ruoff, J. Radial oscillations of relativistic stars. Astron. Astrophys. 2001, 366, 565. [Google Scholar] [CrossRef]
- Miniutti, G.; Pons, J.A.; Berti, E.; Gualtieri, L.; Ferrari, V. Non-radial oscillation modes as a probe of density discontinuities in neutron stars. Mon. Not. R. Astron. Soc. 2003, 338, 389. [Google Scholar] [CrossRef]
- Passamonti, A.; Bruni, M.; Gualtieri, L.; Sopuerta, C.F. Coupling of radial and non-radial oscillations of relativistic stars: Gauge-invariant formalism. Phys. Rev. D 2005, 71, 024022. [Google Scholar] [CrossRef]
- Passamonti, A.; Bruni, M.; Gualtieri, L.; Nagar, A.; Sopuerta, C.F. Coupling of radial and axial non-radial oscillations of compact stars: Gravitational waves from first-order differential rotation. Phys. Rev. D 2006, 73, 084010. [Google Scholar] [CrossRef]
- Savonije, G.J. Non-radial oscillations of the rapidly rotating Be star HD 163868. Astron. Astrophys. 2007, 469, 1057. [Google Scholar] [CrossRef]
- Flores, C.V.; Lugones, G. Radial oscillations of color superconducting self-bound quark stars. Phys. Rev. D 2010, 82, 063006. [Google Scholar] [CrossRef]
- Brillante, A.; Mishustin, I.N. Radial oscillations of neutral and charged hybrid stars. Europhys. Lett. 2014, 105, 39001. [Google Scholar] [CrossRef]
- Franco, L.M.; Link, B.; Epstein, R.I. Quaking neutron stars. Astrophys. J. 2000, 543, 987. [Google Scholar] [CrossRef]
- Andersson, N.; Jones, D.I.; Kokkotas, K.D.; Stergioulas, N. R mode runaway and rapidly rotating neutron stars. Astrophys. J. Lett. 2000, 534, L75. [Google Scholar] [CrossRef]
- Tsang, D.; Read, J.S.; Hinderer, T.; Piro, A.L.; Bondarescu, R. Resonant Shattering of Neutron Star Crusts. Phys. Rev. Lett. 2012, 108, 011102. [Google Scholar] [CrossRef]
- Hinderer, T.; Taracchini, A.; Foucart, F.; Buonanno, A.; Steinhoff, J.; Duez, M.; Kidder, L.E.; Pfeiffer, H.P.; Scheel, M.A.; Szilagyi, B.; et al. Effects of neutron-star dynamic tides on gravitational waveforms within the effective-one-body approach. Phys. Rev. Lett. 2016, 116, 181101. [Google Scholar] [CrossRef] [PubMed]
- Chirenti, C.; Gold, R.; Miller, M.C. Gravitational waves from f-modes excited by the inspiral of highly eccentric neutron star binaries. Astrophys. J. 2017, 837, 67. [Google Scholar] [CrossRef]
- Michel, E.; Baglin, A.; Auvergne, M.; Catala, C.; Samadi, R. CoRoT measures solar-like oscillations and granulation in stars hotter than the Sun. Science 2008, 322, 558–560. [Google Scholar] [CrossRef] [PubMed]
- Mosser, B.; Belkacem, K.; Goupil, M.J.; Miglio, A.; Morel, T.; Barban, C.; Baudin, F.; Hekker, S.; Samadi, R.; Ridder, J.D.; et al. Red-giant seismic properties analyzed with CoRoT. Astron. Astrophys. 2010, 517, A22. [Google Scholar] [CrossRef]
- Mosser, B.; Belkacem, K.; Goupil, M.J.; Michel, E.; Elsworth, Y.; Barban, C.; Kallinger, T.; Hekker, S.; DeRidder, J.; Samadi, R.; et al. The universal red-giant oscillation pattern: An automated determination with CoRoT data. Astron. Astrophys. 2011, 525, L9. [Google Scholar] [CrossRef]
- Bischoff-Kim, A.; Østensen, R.H. Asteroseismology of the Kepler field DBV White Dwarf—It’s a hot one! Astrophys. J. Lett. 2011, 742, L16. [Google Scholar] [CrossRef]
- Corsico, A.H.; Althaus, L.G.; Bertolami, M.M.M.; Bischoff-Kim, A. Asteroseismology of the Kepler V777 Her variable white dwarf with fully evolutionary models. Astron. Astrophys. 2012, 541, A42. [Google Scholar] [CrossRef]
- Hekker, S. CoRoT and Kepler results: Solar-like oscillators. Adv. Space Res. 2013, 52, 1581–1592. [Google Scholar] [CrossRef]
- Evans, M.; Adhikari, R.X.; Afle, C.; Ballmer, S.W.; Biscoveanu, S.; Borhanian, S.; Brown, D.A.; Chen, Y.; Eisenstein, R.; Gruson, A.; et al. A Horizon Study for Cosmic Explorer: Science, Observatories, and Community. arXiv 2021, arXiv:2109.09882. [Google Scholar]
- Punturo, M.; Abernathy, M.; Acernese, F.; Allen, B.; Andersson, N.; Arun, K.; Barone, F.; Barr, B.; Barsuglia, M.; Beker, M.; et al. The Einstein Telescope: A third-generation gravitational wave observatory. Class. Quant. Grav. 2010, 27, 194002. [Google Scholar] [CrossRef]
- Oppenheimer, J.R.; Volkoff, G.M. On massive neutron cores. Phys. Rev. 1939, 55, 374–381. [Google Scholar] [CrossRef]
- Tolman, R.C. Static solutions of Einstein’s field equations for spheres of fluid. Phys. Rev. 1939, 55, 364–373. [Google Scholar] [CrossRef]
- Sandin, F.; Ciarcelluti, P. Effects of mirror dark matter on neutron stars. Astropart. Phys. 2009, 32, 278–284. [Google Scholar] [CrossRef]
- Ciarcelluti, P.; Sandin, F. Have neutron stars a dark matter core? Phys. Lett. B 2011, 695, 19–21. [Google Scholar] [CrossRef]
- Harko, T. Bose-Einstein condensation of dark matter solves the core/cusp problem. J. Cosmol. Astropart. Phys. 2011, 5, 022. [Google Scholar] [CrossRef]
- Markevitch, M.; Gonzalez, A.H.; Clowe, D.; Vikhlinin, A.; David, L.; Forman, W.; Jones, C.; Murray, S.; Tucker, W. Direct constraints on the dark matter self-interaction cross-section from the merging galaxy cluster 1E0657-56. Astrophys. J. 2004, 606, 819–824. [Google Scholar] [CrossRef]
- Robertson, A.; Massey, R.; Eke, V. What does the Bullet Cluster tell us about self-interacting dark matter? Mon. Not. Roy. Astron. Soc. 2017, 465, 569–587. [Google Scholar] [CrossRef]
- Young, B.L. A survey of dark matter and related topics in cosmology. Front. Phys. 2017, 12, 121201, Erratum in Front. Phys. 2017, 12, 121202. [Google Scholar] [CrossRef]
- Meinert, J.; Hofmann, R. Axial Anomaly in Galaxies and the Dark Universe. Universe 2021, 7, 198. [Google Scholar] [CrossRef]
- Bañares-Hernández, A.; Castillo, A.; Camalich, J.M.; Iorio, G. Confronting fuzzy dark matter with the rotation curves of nearby dwarf irregular galaxies. Astron. Astrophys. 2023, 676, A63. [Google Scholar] [CrossRef]
- Kamenshchik, A.Y.; Moschella, U.; Pasquier, V. An Alternative to quintessence. Phys. Lett. B 2001, 511, 265–268. [Google Scholar] [CrossRef]
- Panotopoulos, G.; Lopes, I.; Rincón, Á. Lagrangian formulation for an extended cosmological equation-of-state. Phys. Dark Univ. 2021, 31, 100751. [Google Scholar] [CrossRef]
- Aziz, A.; Ray, S.; Rahaman, F.; Khlopov, M.; Guha, B.K. Constraining values of bag constant for strange star candidates. Int. J. Mod. Phys. D 2019, 28, 1941006. [Google Scholar] [CrossRef]
- Chanmugan, G. Radial oscillations of zero-temperature white dwarfs and neutron stars below nuclear densities. Astrophys. J. 1977, 217, 799. [Google Scholar] [CrossRef]
- Vath, H.M.; Chanmugan, G. Radial oscillations of neutron stars and strange stars. Astron. Astrophys. 1992, 260, 250–254. [Google Scholar]
- Jiménez, J.C.; Fraga, E.S. Radial Oscillations of Quark Stars Admixed with Dark Matter. Universe 2022, 8, 34. [Google Scholar] [CrossRef]
- Kain, B. Dark matter admixed neutron stars. Phys. Rev. D 2021, 103, 043009. [Google Scholar] [CrossRef]
- Panotopoulos, G.; Lopes, I. Radial oscillations of strange quark stars admixed with fermionic dark matter. Phys. Rev. D 2018, 98, 083001. [Google Scholar] [CrossRef]
- Buchdahl, H.A. General Relativistic Fluid Spheres. Phys. Rev. 1959, 116, 1027. [Google Scholar] [CrossRef]
- Moustakidis, C.C. The stability of relativistic stars and the role of the adiabatic index. Gen. Rel. Grav. 2017, 49, 68. [Google Scholar] [CrossRef]
- Mak, M.K.; Harko, T. An Exact Anisotropic Quark Star Model. Chin. J. J. Astron. Astrophys. 2002, 2002, 248. [Google Scholar] [CrossRef]
- Deb, D.; Chowdhury, S.R.; Ray, S.; Rahaman, F.; Guha, B.K. Relativistic model for anisotropic strange stars. Ann. Phys. 2017, 387, 239. [Google Scholar] [CrossRef]
- Deb, D.; Chowdhury, S.R.; Ray, S.; Rahaman, F. A New Model for Strange Stars. Gen. Rel. Grav. 2018, 50, 112. [Google Scholar] [CrossRef]
- Balart, L.; Panotopoulos, G.; Rincón, Á. Regular charged black holes, energy conditions and quasinormal modes. arXiv 2023, arXiv:2309.01910. [Google Scholar] [CrossRef]





| A | B | k | f | |
|---|---|---|---|---|
| Model 1 | 0.60 | |||
| Model 2 | 0.75 | |||
| Model 3 | 0.90 |
| Mode Order n | Model 1 | Model 2 | Model 3 |
|---|---|---|---|
| 0 | 4.56 | 5.50 | 6.25 |
| 1 | 12.03 | 13.81 | 15.28 |
| 2 | 18.74 | 21.39 | 23.61 |
| 3 | 25.30 | 28.83 | 31.79 |
| 4 | 31.81 | 36.21 | 39.91 |
| 5 | 38.29 | 43.57 | 48.01 |
| 6 | 44.76 | 50.92 | 56.09 |
| 7 | 51.21 | 58.25 | 64.16 |
| 8 | 57.66 | 65.58 | 72.23 |
| 9 | 64.11 | 72.90 | 80.29 |
Disclaimer/Publisher’s Note: The statements, opinions and data contained in all publications are solely those of the individual author(s) and contributor(s) and not of MDPI and/or the editor(s). MDPI and/or the editor(s) disclaim responsibility for any injury to people or property resulting from any ideas, methods, instructions or products referred to in the content. |
© 2024 by the authors. Licensee MDPI, Basel, Switzerland. This article is an open access article distributed under the terms and conditions of the Creative Commons Attribution (CC BY) license (https://creativecommons.org/licenses/by/4.0/).
Share and Cite
Sepúlveda, C.; Panotopoulos, G. Radial Oscillations of Dark Matter Stars Admixed with Dark Energy. Universe 2024, 10, 41. https://doi.org/10.3390/universe10010041
Sepúlveda C, Panotopoulos G. Radial Oscillations of Dark Matter Stars Admixed with Dark Energy. Universe. 2024; 10(1):41. https://doi.org/10.3390/universe10010041
Chicago/Turabian StyleSepúlveda, Camila, and Grigoris Panotopoulos. 2024. "Radial Oscillations of Dark Matter Stars Admixed with Dark Energy" Universe 10, no. 1: 41. https://doi.org/10.3390/universe10010041
APA StyleSepúlveda, C., & Panotopoulos, G. (2024). Radial Oscillations of Dark Matter Stars Admixed with Dark Energy. Universe, 10(1), 41. https://doi.org/10.3390/universe10010041

