Anthropometric Indices and Markers of Atherothrombotic Risk in Subjects with Primary Hyperparathyroidism
Abstract
1. Introduction
2. Materials and Methods
2.1. Study Design
2.2. Ethics Approval and Consent to Participate
2.3. Participants
2.4. Procedures
2.4.1. Clinical Evaluation
2.4.2. Biochemical Analysis
2.4.3. Blood Sample Collection
2.4.4. Flow-Mediated Vasodilation
2.4.5. Carotid Intima–Media Thickness
2.4.6. Statistical Analysis
3. Results
3.1. Clinical and Biochemical Features
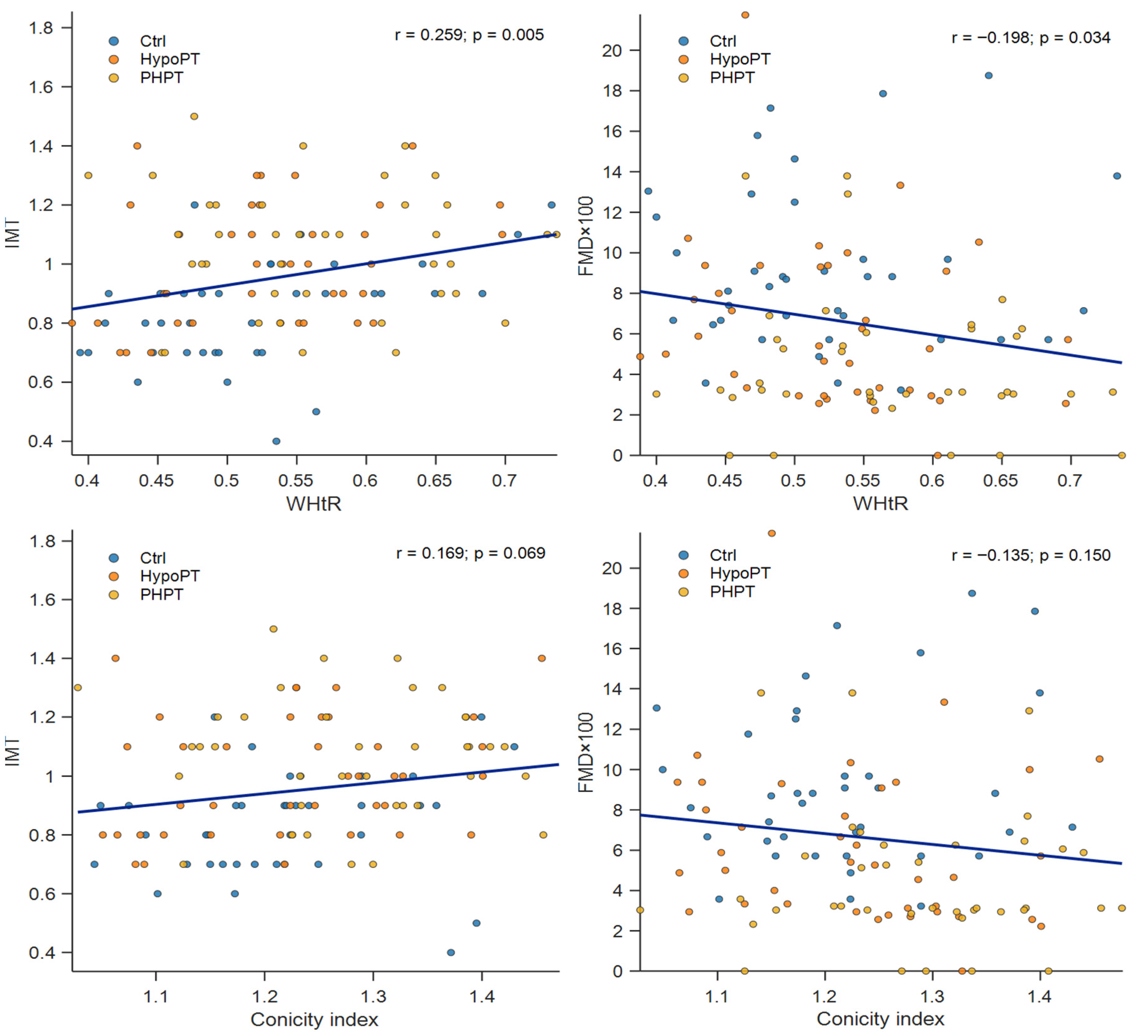
3.2. Anthropometric Parameters and Derived Indices of Adiposity and Cardiometabolic Risk
4. Discussion
Supplementary Materials
Author Contributions
Funding
Institutional Review Board Statement
Informed Consent Statement
Data Availability Statement
Conflicts of Interest
References
- Bilezikian, J.P.; Khan, A.A.; Silverberg, S.J.; Fuleihan, G.E.-H.; Marcocci, C.; Minisola, S.; Perrier, N.; Sitges-Serra, A.; Thakker, R.V.; Guyatt, G.; et al. Evaluation and Management of Primary Hyperparathyroidism: Summary Statement and Guidelines from the Fifth International Workshop. J. Bone Miner. Res. 2022, 37, 2293–2314. [Google Scholar] [CrossRef]
- Bolland, M.J.; Grey, A.B.; Gamble, G.D.; Reid, I.R. Association between Primary Hyperparathyroidism and Increased Body Weight: A Meta-Analysis. J. Clin. Endocrinol. Metab. 2005, 90, 1525–1530. [Google Scholar] [CrossRef]
- Bollerslev, J.; Buch, O.; Cardoso, L.M.; Gittoes, N.; Houillier, P.; van Hulsteijn, L.; Makay, O.; Marcocci, C.; Pallais, J.C.; Pilz, S.; et al. Revised European Society of Endocrinology Clinical Practice Guideline: Treatment of Chronic Hypoparathyroidism in Adults. Eur. J. Endocrinol. 2025, 193, G83–G112. [Google Scholar] [CrossRef] [PubMed]
- Bollerslev, J.; Sjöstedt, E.; Rejnmark, L. Cardiovascular Consequences of Parathyroid Disorders in Adults. Ann. D’endocrinologie 2021, 82, 151–157. [Google Scholar] [CrossRef] [PubMed]
- Bots, M.L.; Hoes, A.W.; Koudstaal, P.J.; Hofman, A.; Grobbee, D.E. Common Carotid Intima-Media Thickness and Risk of Stroke and Myocardial Infarction: The Rotterdam Study. Circulation 1997, 96, 1432–1437. [Google Scholar] [CrossRef] [PubMed]
- Cansu, G.B.; Yılmaz, N.; Özdem, S.; Balcı, M.K.; Süleymanlar, G.; Arıcı, C.; Boz, A.; Sarı, R.; Altunbaş, H.A. Parathyroidectomy in Asymptomatic Primary Hyperparathyroidism Reduces Carotid Intima-Media Thickness and Arterial Stiffness. Clin. Endocrinol. 2016, 84, 39–47. [Google Scholar] [CrossRef] [PubMed]
- Carnevale, V.; Pugliese, F.; Eller-Vainicher, C.; Salcuni, A.S.; Nieddu, L.; Chiodini, I.; Scillitani, A. Carotid Intima-Media Thickness in Surgically or Conservatively Managed Patients With Primary Hyperparathyroidism. J. Clin. Endocrinol. Metab. 2024, 109, e2342–47. [Google Scholar] [CrossRef]
- Costo-Muriel, C.; Calderón-García, J.F.; Rico-Martín, S.; Galán-González, J.; Escudero-Sánchez, G.; Sánchez-Bacaicoa, C.; Rodríguez-Velasco, F.J.; Santano-Mogena, E.; Fonseca, C.; Muñoz-Torrero, J.F.S. Relationship between the Novel and Traditional Anthropometric Indices and Subclinical Atherosclerosis Evaluated by Carotid Intima-Media Thickness (c-IMT). Front. Nutr. 2023, 10, 1170450. [Google Scholar] [CrossRef]
- CCotoi, L.; Amzar, D.; Sporea, I.; Borlea, A.; Navolan, D.; Varcus, F.; Stoian, D. Shear Wave Elastography versus Strain Elastography in Diagnosing Parathyroid Adenomas. Int. J. Endocrinol. 2020, 2020. [Google Scholar] [CrossRef]
- Cusano, N.E.; Bilezikian, J.P. Update on Hypoparathyroidism. Curr. Opin. Rheumatol. 2019, 31, 381–387. [Google Scholar] [CrossRef]
- D’AMico, A.; Tabacco, G.; Nocella, C.; Naciu, A.M.; Nusca, A.; Piccirillo, F.; Viscusi, M.M.; Bernardini, F.; Valenti, V.; Leonardo, A.; et al. PTH-Driven Modulation of Platelet Activity via the NOX2 Pathway in Postsurgical Hypoparathyroidism. Redox Biol. 2025, 87, 103896. [Google Scholar] [CrossRef]
- Feng, Q.; Bešević, J.; Conroy, M.; Omiyale, W.; Woodward, M.; Lacey, B.; Allen, N. Waist-to-Height Ratio and Body Fat Percentage as Risk Factors for Ischemic Cardiovascular Disease: A Prospective Cohort Study from UK Biobank. Am. J. Clin. Nutr. 2024, 119, 1386. [Google Scholar] [CrossRef] [PubMed]
- Frey, S.; Mirallié, É.; Cariou, B.; Blanchard, C. Impact of Parathyroidectomy on Cardiovascular Risk in Primary Hyperparathyroidism: A Narrative Review. Nutr. Metab. Cardiovasc. Dis. 2021, 31, 981–996. [Google Scholar] [CrossRef] [PubMed]
- Grillo, A.; Barbato, V.; Antonello, R.M.; Cola, M.F.; Parati, G.; Salvi, P.; Fabris, B.; Bernardi, S. Arterial Stiffness in Thyroid and Parathyroid Disease: A Review of Clinical Studies. J. Clin. Med. 2022, 11, 3146. [Google Scholar] [CrossRef]
- Jayawardena, R.; Ranasinghe, P.; Ranathunga, T.; Mathangasinghe, Y.; Wasalathanththri, S.; Hills, A.P. Novel Anthropometric Parameters to Define Obesity and Obesity-Related Disease in Adults: A Systematic Review. Nutr. Rev. 2020, 78, 498–513. [Google Scholar] [CrossRef]
- Khan, A.A.; Guyatt, G.; Ali, D.S.; Bilezikian, J.P.; Collins, M.T.; Dandurand, K.; Mannstadt, M.; Murphy, D.; M’HIri, I.; Rubin, M.R.; et al. Management of Hypoparathyroidism. J. Bone Miner. Res. 2022, 37, 2663–2677. [Google Scholar] [CrossRef] [PubMed]
- A Lear, S.; James, P.T.; Ko, G.T.; Kumanyika, S. Appropriateness of Waist Circumference and Waist-to-Hip Ratio Cutoffs for Different Ethnic Groups. Eur. J. Clin. Nutr. 2010, 64, 42–61. [Google Scholar] [CrossRef]
- Lumachi, F.; Ermani, M.; Frego, M.; Pilon, F.; Filosa, T.; Di Cristofaro, L.; De Lotto, F.; Fallo, F. Intima-Media Thickness Measurement of the Carotid Artery in Patients with Primary Hyperparathyroidism. A Prospective Case-Control Study and Long-Term Follow-Up. In Vivo 2006, 20, 887–890. [Google Scholar]
- Mansoori, A.; Allahyari, M.; Mirvahabi, M.S.; Tanbakuchi, D.; Ghoflchi, S.; Derakhshan-Nezhad, E.; Azarian, F.; Ferns, G.; Esmaily, H.; Ghayour-Mobarhan, M. Predictive Properties of Novel Anthropometric and Biochemical Indexes for Prediction of Cardiovascular Risk. Diabetol. Metab. Syndr. 2024, 16, 304. [Google Scholar] [CrossRef]
- Jensen, M.D.; Ryan, D.H.; Apovian, C.M.; Ard, J.D.; Comuzzie, A.G.; Donato, K.A.; Hu, F.B.; Hubbard, V.S.; Jakicic, J.M.; Kushner, R.F.; et al. Reprint: 2013 AHA/ACC/TOS Guideline for the Management of Overweight and Obesity in Adults. J. Am. Pharm. Assoc. 2013, 129, e3. [Google Scholar] [CrossRef]
- Prakash, M.; Meena, D.; Gupta, Y.; Bhadada, S.; Khandelwal, N. Carotid, Aorta and Renal Arteries Intima-Media Thickness in Patients with Sporadic Idiopathic Hypoparathyroidism. Indian J. Endocrinol. Metab. 2015, 19, 262–266. [Google Scholar] [CrossRef]
- Minisola, S.; Arnold, A.; Belaya, Z.; Brandi, M.L.; Clarke, B.L.; Hannan, F.M.; Hofbauer, L.C.; Insogna, K.L.; Lacroix, A.; Liberman, U.; et al. Epidemiology, Pathophysiology and Genetics of Primary Hyperparathyroidism. J. Bone Miner. Res. 2022, 37, 2315–2329. [Google Scholar] [CrossRef]
- Modica, R.; Liccardi, A.; Minotta, R.; Benevento, E.; Cannavale, G.; Colao, A. Parathyroid Diseases and Metabolic Syndrome. J. Endocrinol. Investig. 2023, 46, 1065–1077. [Google Scholar] [CrossRef]
- Naciu, A.M.; Nusca, A.; Palermo, A.; Piccirillo, F.; Tabacco, G.; D’aMico, A.; Di Tommaso, A.M.; Sterpetti, G.; Viscusi, M.M.; Bernardini, F.; et al. Platelet Function and Markers of Atherothrombotic Risk in Individuals with Parathyroid Disorders. J. Clin. Endocrinol. Metab. 2025, 110, e3745–55. [Google Scholar] [CrossRef]
- O’Leary, D.H.; Polak, J.F.; Kronmal, R.A.; Manolio, T.A.; Burke, G.L.; Wolfson, S.K.J. Carotid-Artery Intima and Media Thickness as a Risk Factor for Myocardial Infarction and Stroke in Older Adults. N. Engl. J. Med. 1999, 340, 14–22. [Google Scholar] [CrossRef]
- Palermo, A.; Tabacco, G.; Makras, P.; Zavatta, G.; Trimboli, P.; Castellano, E.; Yavropoulou, M.P.; Naciu, A.M.; Anastasilakis, A.D. Primary Hyperparathyroidism: From Guidelines to Outpatient Clinic. Rev. Endocr. Metab. Disord. 2024, 25, 875–896. [Google Scholar] [CrossRef] [PubMed]
- Papageorgiou, S.N. On Correlation Coefficients and Their Interpretation. J. Orthod. 2022, 49, 359–361. [Google Scholar] [CrossRef] [PubMed]
- Pepe, J.; Cipriani, C.; Sonato, C.; Raimo, O.; Biamonte, F.; Minisola, S. Cardiovascular Manifestations of Primary Hyperparathyroidism: A Narrative Review. Eur. J. Endocrinol. 2017, 177, R297–R308. [Google Scholar] [CrossRef]
- Pepe, J.; Colangelo, L.; Sonato, C.; Occhiuto, M.; Ferrara, C.; del Fattore, A.; Santori, R.; Mastrantonio, M.; Sgreccia, A.; Minisola, S.; et al. Echocardiographic Findings in Patients with Normocalcemic Primary Hyperparathyroidism Compared with Findings in Hypercalcemic Primary Hyperparathyroid Patients and Control Subjects. Endocr. Pract. 2020, 27, 21–26. [Google Scholar] [CrossRef]
- Pepe, J.; Minisola, S.; Ettorre, E.; Desideri, G.; Cipriani, C. Cardiovascular Involvement In Primary Hyperparathyroidism. J. Clin. Endocrinol. Metab. 2025, 111, 603–614. [Google Scholar] [CrossRef] [PubMed]
- Rashid, G.; Bernheim, J.; Green, J.; Benchetrit, S. Parathyroid Hormone Stimulates Endothelial Expression of Atherosclerotic Parameters through Protein Kinase Pathways. Am. J. Physiol. Ren. Physiol. 2007, 292, F1215–F1218. [Google Scholar] [CrossRef]
- Reid, L.J.; Muthukrishnan, B.; Patel, D.; Seckl, J.R.; Gibb, F.W. Predictors of Nephrolithiasis, Osteoporosis, and Mortality in Primary Hyperparathyroidism. J. Clin. Endocrinol. Metab. 2019, 104, 3692–3700. [Google Scholar] [CrossRef]
- Reyes, J.L.; Decker, J.J.; Parikh, R.; Zhang, M.; Eaton, A.; Inciardi, R.M.; Ndumele, C.; Hof, J.V.; Alonso, A.; Shah, A.M.; et al. Greater Central Adiposity Is Associated with Poorer Left Atrial Function: The Atherosclerosis Risk in Communities (ARIC) Study. Mayo Clin. Proc. Innov. Qual. Outcomes 2025, 9, 100611. [Google Scholar] [CrossRef] [PubMed]
- Roumpou, A.; Palermo, A.; Tournis, S.; Hasenmajer, V.; Pasieka, J.L.; Kaltsas, G.; Isidori, A.; Kassi, E. Bone in Parathyroid Diseases Revisited: Evidence From Epidemiological, Surgical and New Drug Outcomes. Endocr. Rev. 2025, 46, 576–620. [Google Scholar] [CrossRef] [PubMed]
- Saponaro, F.; Cetani, F.; Repaci, A.; Pagotto, U.; Cipriani, C.; Pepe, J.; Minisola, S.; Cipri, C.; Vescini, F.; Scillitani, A.; et al. Clinical Presentation and Management of Patients with Primary Hyperparathyroidism in Italy. J. Endocrinol. Investig. 2018, 41, 1339–1348. [Google Scholar] [CrossRef]
- Tabacco, G.; Naciu, A.M.; Maggi, D.; Santonati, A.; Pedone, C.; Cesareo, R.; Bosco, D.; Gaspa, G.; Napoli, N.; Pozzilli, P.; et al. Cardiovascular Autonomic Neuropathy as a New Complication of Postsurgical Chronic Hypoparathyroidism. J. Bone Miner. Res. 2019, 34, 475–481. [Google Scholar] [CrossRef] [PubMed]
- Thijssen, D.H.J.; Bruno, R.M.; Van Mil, A.C.C.M.; Holder, S.M.; Faita, F.; Greyling, A.; Zock, P.L.; Taddei, S.; Deanfield, J.E.; Luscher, T.; et al. Expert Consensus and Evidence-Based Recommendations for the Assessment of Flow-Mediated Dilation in Humans. Eur. Heart J. 2019, 40, 2534–2547. [Google Scholar] [CrossRef]
- Tran, H.; Grange, J.S.; Adams-Huet, B.; Nwariaku, F.E.; Rabaglia, J.L.; Woodruff, S.L.; Holt, S.A.; Maalouf, N.M. The Impact of Obesity on the Presentation of Primary Hyperparathyroidism. J. Clin. Endocrinol. Metab. 2014, 99, 2359–2364. [Google Scholar] [CrossRef]
- Vescini, F.; Attanasio, R.; Balestrieri, A.; Bandeira, F.; Bonadonna, S.; Camozzi, V.; Cassibba, S.; Cesareo, R.; Chiodini, I.; Francucci, C.M.; et al. Italian Association of Clinical Endocrinologists (AME) Position Statement: Drug Therapy of Osteoporosis. J. Endocrinol. Investig. 2016, 39, 807–834. [Google Scholar] [CrossRef]
- Vescini, F.; Borretta, G.; Chiodini, I.; Boniardi, M.; Carotti, M.; Castellano, E.; Cipriani, C.; Eller-Vainicher, C.; Giannini, S.; Iacobone, M.; et al. Italian Guidelines for the Management of Sporadic Primary Hyperparathyroidism. Endocr. Metab. Immune Disord. Drug Targets 2023, 24, 991–1006. [Google Scholar] [CrossRef]
- Visseren, F.L.J.; Mach, F.; Smulders, Y.M.; Carballo, D.; Koskinas, K.C.; Bäck, M.; Benetos, A.; Biffi, A.; Boavida, J.-M.; Capodanno, D.; et al. 2021 ESC Guidelines on Cardiovascular Disease Prevention in Clinical Practice. Eur. Heart J. 2021, 42, 3227–3337. [Google Scholar] [CrossRef] [PubMed]
- Yuan, T.-J.; Chen, L.-P.; Pan, Y.-L.; Lu, Y.; Sun, L.-H.; Zhao, H.-Y.; Wang, W.-Q.; Tao, B.; Liu, J.-M. An Inverted U-Shaped Relationship between Parathyroid Hormone and Body Weight, Body Mass Index, Body Fat. Endocrine 2021, 72, 844–851. [Google Scholar] [CrossRef] [PubMed]
- Zhang, Y.; Yang, M.; Wu, Y.; Wang, Q. Characteristics of Lipid Metabolism and Fat Distribution in Patients with Primary Hyperparathyroidism and Their Mendelian Randomization Study. Endocrine 2024, 88, 295–303. [Google Scholar] [CrossRef] [PubMed]


| Variable | Ctrl (n = 40) | HypoPT (n = 40) | PHPT (n = 40) | p for Trend |
|---|---|---|---|---|
| Age [years] | 52.50 (10.60) | 53.52 (12.30) | 56.67 (8.23) | 0.185 |
| Weight [kg] | 69.44 (13.44) | 74.60 (16.86) | 72.13 (15.16) | 0.373 |
| Height [m] | 1.66 (0.07) | 1.68 (0.07) | 1.64 (0.08) | 0.148 |
| BMI [kg/m2] | 25.30 (4.77) | 26.43 (5.24) | 26.73 (5.64) | 0.500 |
| Calcium (mg/dL) | 9.51 (0.33) | 8.53 (0.57) | 10.78 (0.55) | <0.001 |
| Phosphate (mg/dL) | 3.22 (0.48) | 4.05 (0.89) | 2.62 (0.62) | <0.001 |
| PTH (pg/mL) | 64.58 (22.55) | 13.15 (10.47) | 185.87 (100.53) | <0.001 |
| TSH (mlU/L) | 1.43 (0.73) | 1.87 (1.6) | 2.1 (3.97) | 0.872 |
| WC [cm] | 85.60 (13.01) | 88.69 (13.69) | 92.70 (13.51) | 0.066 |
| HC [cm] | 101.53 (10.48) | 104.66 (11.15) | 107.08 (13.42) | 0.113 |
| NC [cm] | 33.64 (3.44) | 34.16 (4.31) | 34.96 (3.69) | 0.306 |
| Cwrist [cm] | 15.70 (1.60) | 15.96 (1.95) | 16.26 (2.27) | 0.453 |
| WHR | 0.84 (0.07) | 0.84 (0.07) | 0.86 (0.07) | 0.258 |
| WHtR | 0.52 (0.08) | 0.53 (0.07) | 0.56 (0.09) | 0.0028 |
| Conicity index | 1.21 (0.10) | 1.22 (0.11) | 1.28 (0.11) | 0.008 |
| IMT [mm] | 0.81 (0.22) | 1.00 (0.20) | 1.05 (0.21) | <0.001 |
| FMD × 100 [%] | 9.12 (4.01) | 6.20 (4.03) | 4.58 (3.44) | <0.001 |
| Outcome | F (2,116) | p (ANOVA) | η2 | Ctrl vs. HypoPT p † | Ctrl vs. PHPT p † | HypoPT vs. PHPT p † |
|---|---|---|---|---|---|---|
| WC | 2.79 | 0.066 | 0.046 | 0.560 | 0.052 | 0.381 |
| HC | 2.23 | 0.113 | 0.037 | 0.458 | 0.094 | 0.632 |
| NC | 1.20 | 0.306 | 0.020 | 0.813 | 0.278 | 0.624 |
| CWrist | 0.80 | 0.453 | 0.014 | 0.821 | 0.419 | 0.783 |
| WHR | 1.37 | 0.258 | 0.023 | 0.957 | 0.269 | 0.412 |
| WHtR | 3.67 | 0.028 | 0.060 | 0.826 | 0.029 | 0.116 |
| Conicity index | 5.07 | 0.008 | 0.080 | 0.890 | 0.010 | 0.036 |
| Anthropometric Variable | IMT | FMD × 100 | ||||
|---|---|---|---|---|---|---|
| Ctrl | HypoPT | PHPT | Ctrl | HypoPT | PHPT | |
| WC | 0.300 (0.067) | 0.287 (0.077) | −0.016 (0.921) | 0.137 (0.413) | −0.202 (0.219) | −0.174 (0.295) |
| HC | 0.304 (0.063) | 0.123 (0.457) | 0.115 (0.487) | 0.019 (0.912) | −0.274 (0.091) | −0.156 (0.349) |
| NC | 0.029 (0.864) | 0.165 (0.316) | 0.147 (0.372) | 0.288 (0.080) | −0.059 (0.720) | −0.210 (0.206) |
| CWrist | 0.057 (0.735) | 0.119 (0.469) | −0.023 (0.891) | 0.109 (0.513) | 0.047 (0.775) | −0.310 (0.058) |
| WHR | 0.152 (0.361) | 0.372 (0.020) | −0.241 (0.140) | 0.222 (0.180) | −0.024 (0.887) | −0.079 (0.637) |
| WHtR | 0.381 (0.018) | 0.301 (0.062) | −0.054 (0.746) | 0.011 (0.948) | −0.237 (0.146) | −0.157 (0.348) |
| Conicity index | 0.165 (0.322) | 0.257 (0.114) | −0.035 (0.835) | 0.161 (0.334) | −0.188 (0.250) | −0.135 (0.150) |
| Predictor | IMT | FMD × 100 | ||||
|---|---|---|---|---|---|---|
| B (SE) | β | p | B (SE) | β | p | |
| Intercept | 0.789 (0.287) | — | 0.007 | 5.140 (5.364) | — | 0.340 |
| WHtR | 0.940 (0.423) | 0.335 | 0.028 | −13.706 (8.178) | −0.269 | 0.097 |
| Conicity index | −0.425 (0.377) | −0.196 | 0.262 | 1.940 (7.673) | 0.049 | 0.801 |
| Wrist circumference | −0.012 (0.013) | −0.104 | 0.360 | −0.079 (0.243) | −0.037 | 0.747 |
| WHR | 0.224 (0.469) | 0.067 | 0.633 | 6.715 (8.924) | 0.111 | 0.453 |
| NC | 0.002 (0.007) | 0.027 | 0.826 | 0.129 (0.135) | 0.118 | 0.342 |
| Group: HypoPT (vs. Ctrl) | 0.184 (0.048) | — | <0.001 | −2.924 (0.875) | — | 0.001 |
| Group: PHPT (vs. Ctrl) | 0.224 (0.050) | — | <0.001 | −4.488 (0.917) | — | <0.001 |
Disclaimer/Publisher’s Note: The statements, opinions and data contained in all publications are solely those of the individual author(s) and contributor(s) and not of MDPI and/or the editor(s). MDPI and/or the editor(s) disclaim responsibility for any injury to people or property resulting from any ideas, methods, instructions or products referred to in the content. |
© 2026 by the authors. Licensee MDPI, Basel, Switzerland. This article is an open access article distributed under the terms and conditions of the Creative Commons Attribution (CC BY) license.
Share and Cite
Naciu, A.M.; Sargentini, E.; Bravi, M.; Nusca, A.; Grigioni, F.; Bonifazi Meffe, L.; Napoli, N.; Palermo, A.; Tabacco, G. Anthropometric Indices and Markers of Atherothrombotic Risk in Subjects with Primary Hyperparathyroidism. Metabolites 2026, 16, 166. https://doi.org/10.3390/metabo16030166
Naciu AM, Sargentini E, Bravi M, Nusca A, Grigioni F, Bonifazi Meffe L, Napoli N, Palermo A, Tabacco G. Anthropometric Indices and Markers of Atherothrombotic Risk in Subjects with Primary Hyperparathyroidism. Metabolites. 2026; 16(3):166. https://doi.org/10.3390/metabo16030166
Chicago/Turabian StyleNaciu, Anda Mihaela, Eleonora Sargentini, Marco Bravi, Annunziata Nusca, Francesco Grigioni, Luigi Bonifazi Meffe, Nicola Napoli, Andrea Palermo, and Gaia Tabacco. 2026. "Anthropometric Indices and Markers of Atherothrombotic Risk in Subjects with Primary Hyperparathyroidism" Metabolites 16, no. 3: 166. https://doi.org/10.3390/metabo16030166
APA StyleNaciu, A. M., Sargentini, E., Bravi, M., Nusca, A., Grigioni, F., Bonifazi Meffe, L., Napoli, N., Palermo, A., & Tabacco, G. (2026). Anthropometric Indices and Markers of Atherothrombotic Risk in Subjects with Primary Hyperparathyroidism. Metabolites, 16(3), 166. https://doi.org/10.3390/metabo16030166

