Two New Pentadepsipeptides from the Mangrove Fungus Aspergillus sp. SCSIO 41443
Abstract
1. Introduction
2. Materials and Methods
2.1. General Experimental Procedures
2.2. Statistical Analysis and Data Processing (Enzyme-Inhibitory Activity)
2.3. Isolation, Cultivation, and Identification of Fungal Aspergillus Strains
2.4. Fermentation, Extraction, Isolation, and Purification
2.5. Amino Acid Hydrolysis and Chiral HPLC Analysis
2.6. Acetylcholinesterase Inhibitory Activity
2.7. Neuraminidase Inhibitory Activity
2.8. Molecular Docking
3. Results
3.1. Spectroscopic Data of Compounds
3.2. Fermentation Yields of Target Compounds
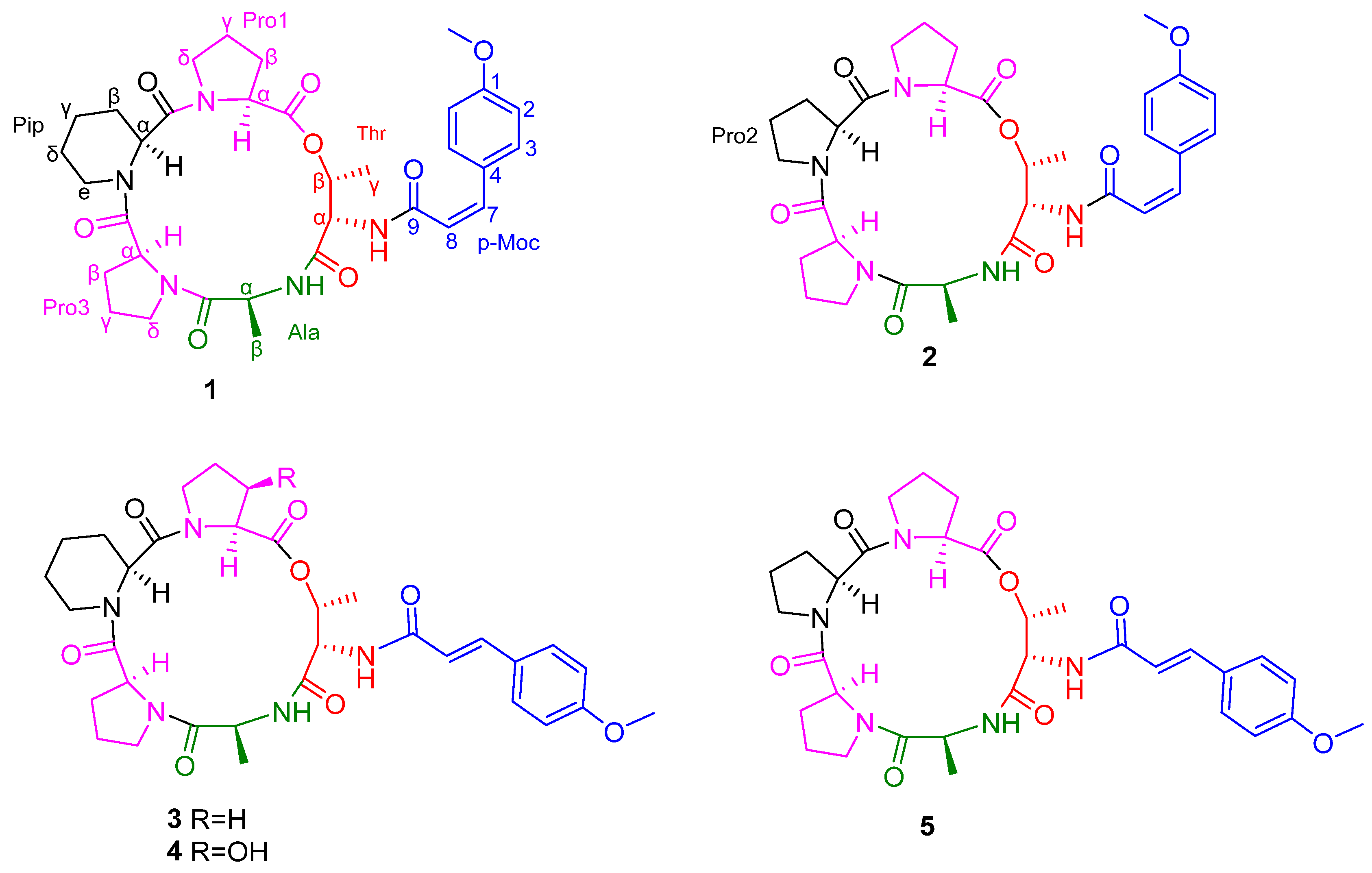
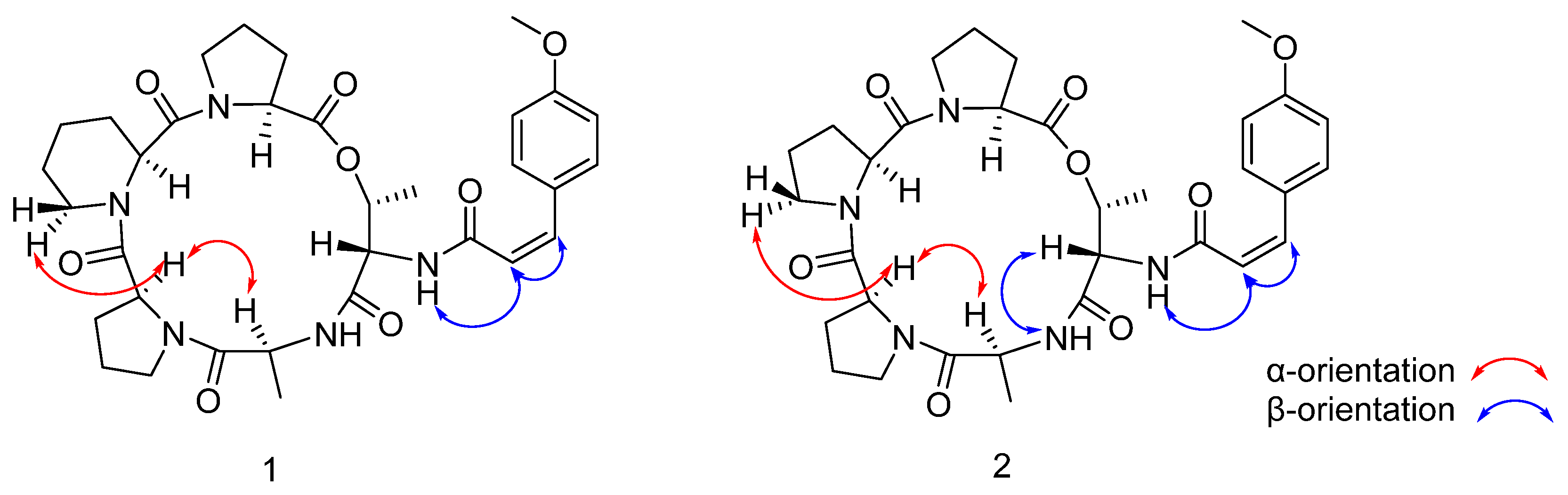
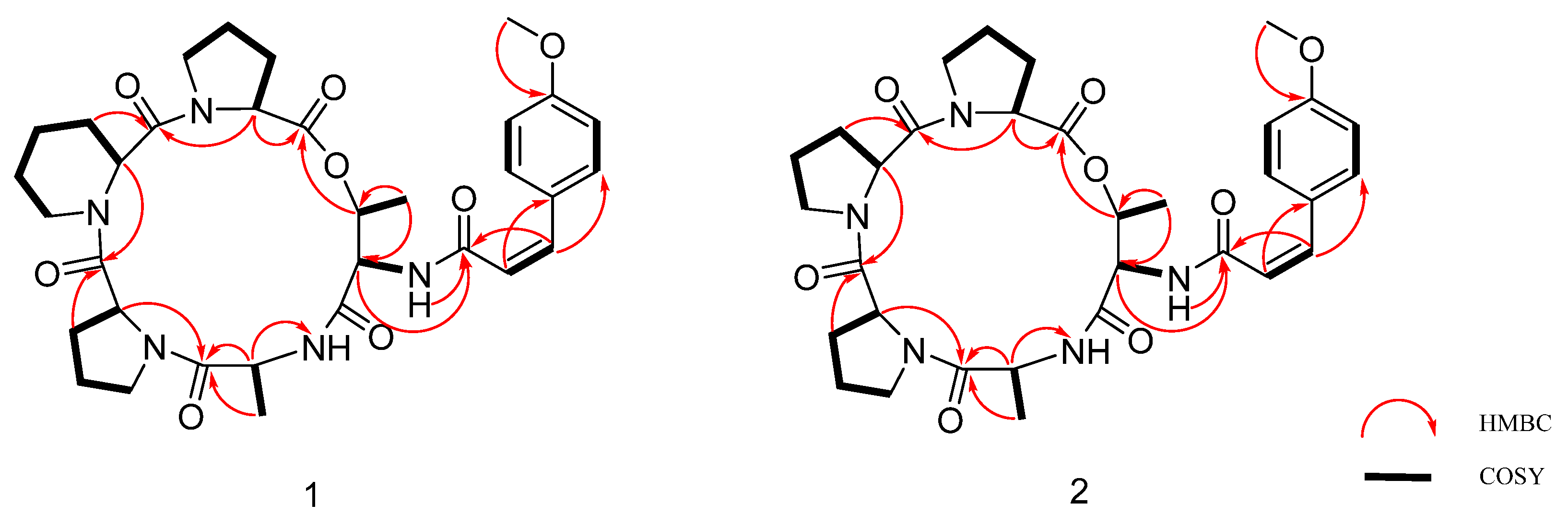
3.3. Structural Elucidation and Identification of Pentadepsipeptides
3.4. Acetylcholinesterase Assay
4. Discussion
5. Conclusions
Supplementary Materials
Author Contributions
Funding
Institutional Review Board Statement
Informed Consent Statement
Data Availability Statement
Acknowledgments
Conflicts of Interest
References
- Hu, D.; Lee, S.M.-Y.; Li, K.; Mok, K.M. Secondary Metabolite Production Potential of Mangrove-Derived Streptomyces Olivaceus. Mar. Drugs 2021, 19, 332. [Google Scholar] [CrossRef]
- Palit, K.; Rath, S.; Chatterjee, S.; Das, S. Microbial Diversity and Ecological Interactions of Microorganisms in the Mangrove Ecosystem: Threats, Vulnerability, and Adaptations. Environ. Sci. Pollut. Res. 2022, 29, 32467–32512. [Google Scholar] [CrossRef] [PubMed]
- Elkhayat, E.S.; Ibrahim, S.R.M.; Mohamed, G.A.; Ross, S.A. Terrenolide S, a New Antileishmanial Butenolide from the Endophytic Fungus Aspergillus terreus. Nat. Prod. Res. 2016, 30, 814–820. [Google Scholar] [CrossRef] [PubMed]
- Gubiani, J.R.; Oliveira, M.C.S.; Neponuceno, R.A.R.; Camargo, M.J.; Garcez, W.S.; Biz, A.R.; Soares, M.A.; Araujo, A.R.; Bolzani, V.D.S.; Lisboa, H.C.F.; et al. Cytotoxic Prenylated Indole Alkaloid Produced by the Endophytic Fungus Aspergillus terreus P63. Phytochem. Lett. 2019, 32, 162–167. [Google Scholar] [CrossRef]
- Tang, Y.; Liu, Y.; Ruan, Q.; Zhao, M.; Zhao, Z.; Cui, H. Aspermeroterpenes A–C: Three Meroterpenoids from the Marine-Derived Fungus Aspergillus terreus GZU-31-1. Org. Lett. 2020, 22, 1336–1339. [Google Scholar] [CrossRef]
- Wu, J.-S.; Shi, X.-H.; Zhang, Y.-H.; Shao, C.-L.; Fu, X.-M.; Li, X.; Yao, G.-S.; Wang, C.-Y. Benzyl Furanones and Pyrones from the Marine-Derived Fungus Aspergillus terreus Induced by Chemical Epigenetic Modification. Molecules 2020, 25, 3927. [Google Scholar] [CrossRef] [PubMed]
- Luo, X.-W.; Lin, Y.; Lu, Y.-J.; Zhou, X.-F.; Liu, Y.-H. Peptides and Polyketides Isolated from the Marine Sponge-Derived Fungus Aspergillus terreus SCSIO 41008. Chin. J. Nat. Med. 2019, 17, 149–154. [Google Scholar] [CrossRef]
- Zaman, K.A.U.; Hu, Z.; Wu, X.; Hou, S.; Saito, J.; Kondratyuk, T.P.; Pezzuto, J.M.; Cao, S. NF-κB Inhibitory and Antibacterial Helvolic and Fumagillin Derivatives from Aspergillus terreus. J. Nat. Prod. 2020, 83, 730–737. [Google Scholar] [CrossRef]
- Ukwatta, K.M.; Lawrence, J.L.; Wijayarathne, C.D. Antimicrobial, Anti-Cancer, Anti-Filarial and Anti-Inflammatory Activities of Cowabenzophenone A Extracted from the Endophytic Fungus Aspergillus terreus Isolated from a Mangrove Plant Bruguiera gymnorrhyza. Mycology 2020, 11, 297–305. [Google Scholar] [CrossRef]
- Yan, S.; Qi, C.; Song, W.; Xu, Q.; Gu, L.; Sun, W.; Zhang, Y. Discovery of GOT1 Inhibitors from a Marine-Derived Aspergillus terreus That Act against Pancreatic Ductal Adenocarcinoma. Mar. Drugs 2021, 19, 588. [Google Scholar] [CrossRef]
- Song, F.; Liu, X.; Guo, H.; Ren, B.; Chen, C.; Piggott, A.M.; Yu, K.; Gao, H.; Wang, Q.; Liu, M.; et al. Brevianamides with Antitubercular Potential from a Marine-Derived Isolate of Aspergillus Versicolor. Org. Lett. 2012, 14, 4770–4773. [Google Scholar] [CrossRef]
- Zhong, W.; Wang, J.; Wei, X.; Chen, Y.; Fu, T.; Xiang, Y.; Huang, X.; Tian, X.; Xiao, Z.; Zhang, W.; et al. Variecolortins A–C, Three Pairs of Spirocyclic Diketopiperazine Enantiomers from the Marine-Derived Fungus Eurotium Sp. SCSIO F452. Org. Lett. 2018, 20, 4593–4596. [Google Scholar] [CrossRef]
- Nagano, M.; Huang, Y.; Obexer, R.; Suga, H. One-Pot In Vitro Ribosomal Synthesis of Macrocyclic Depsipeptides. J. Am. Chem. Soc. 2021, 143, 4741–4750. [Google Scholar] [CrossRef]
- Routhu, S.R.; Ragi, N.C.; Yedla, P.; Shaik, A.B.; Venkataraman, G.; Cheemalamarri, C.; Chityala, G.K.; Amanchy, R.; Sripadi, P.; Kamal, A. Identification, Characterization and Evaluation of Novel Antifungal Cyclic Peptides from Neobacillus drentensis. Bioorganic Chem. 2021, 115, 105180. [Google Scholar] [CrossRef]
- Phyo, M.Y.; Goh, J.X.; Tan, L.T. Triproamide and Pemukainalides, Cyclic Depsipeptides from the Marine Cyanobacterium Symploca hydnoides. J. Nat. Prod. 2022, 85, 485–492. [Google Scholar] [CrossRef]
- Chi, L.-P.; Liu, D.; Li, X.-M.; Wan, Y.; Wang, B.-G.; Li, X. Aspertides A–E: Antimicrobial Pentadepsipeptides with a Unique p-Methoxycinnamoyl Amide Group from the Marine Isolates Aspergillus tamarii MA-21 and Aspergillus insuetus SD-512. J. Agric. Food Chem. 2023, 71, 13316–13324. [Google Scholar] [CrossRef]
- Dai, Y.; Lin, Y.; Pang, X.; Luo, X.; Salendra, L.; Wang, J.; Zhou, X.; Lu, Y.; Yang, B.; Liu, Y. Peptides from the Soft Coral-Associated Fungus simplicillium Sp. SCSIO41209. Phytochemistry 2018, 154, 56–62. [Google Scholar] [CrossRef]
- Dai, Y.; Li, K.; She, J.; Zeng, Y.; Wang, H.; Liao, S.; Lin, X.; Yang, B.; Wang, J.; Tao, H.; et al. Lipopeptide Epimers and a Phthalide Glycerol Ether with AChE Inhibitory Activities from the Marine-Derived Fungus Cochliobolus lunatus SCSIO41401. Mar. Drugs 2020, 18, 547. [Google Scholar] [CrossRef] [PubMed]
- Trott, O.; Olson, A.J. AutoDock Vina: Improving the Speed and Accuracy of Docking with a New Scoring Function, Efficient Optimization, and Multithreading. J. Comput. Chem. 2010, 31, 455–461. [Google Scholar] [CrossRef] [PubMed]
- Cheung, J.; Rudolph, M.J.; Burshteyn, F.; Cassidy, M.S.; Gary, E.N.; Love, J.; Franklin, M.C.; Height, J.J. Structures of Human Acetylcholinesterase in Complex with Pharmacologically Important Ligands. J. Med. Chem. 2012, 55, 10282–10286. [Google Scholar] [CrossRef]
- Bratovanov, S.; Koźmiński, W.; Fässler, J.; Molnar, Z.; Nanz, D.; Bienz, S. Synthesis and Characterization of 1,2-Disubstituted Vinylsilanes and Their Geometric Differentiation with 3J(29Si,1H)-Coupling Constants. Application of a Novel Heteronuclear J-Resolved NMR Experiment. Organometallics 1997, 16, 3128–3134. [Google Scholar] [CrossRef]
- Paggi, J.M.; Pandit, A.; Dror, R.O. The Art and Science of Molecular Docking. Annu. Rev. Biochem. 2024, 93, 389–410. [Google Scholar] [CrossRef] [PubMed]
- Slater, O.; Kontoyianni, M. The Compromise of Virtual Screening and Its Impact on Drug Discovery. Expert Opin. Drug Discov. 2019, 14, 619–637. [Google Scholar] [CrossRef] [PubMed]
- Gu, S.; Shen, C.; Zhang, X.; Sun, H.; Cai, H.; Luo, H.; Zhao, H.; Liu, B.; Du, H.; Zhao, Y.; et al. Benchmarking AI-Powered Docking Methods from the Perspective of Virtual Screening. Nat. Mach. Intell. 2025, 7, 509–520. [Google Scholar] [CrossRef]
- Qiu, S.; Gilani, M.D.S.; Müller, C.; Zarazua-Navarro, R.-M.; Liebal, U.; Eerlings, R.; Blank, L.M. Cultivation Optimization Promotes Ginsenoside and Universal Triterpenoid Production by Engineered Yeast. New Biotechnol. 2024, 83, 219–230. [Google Scholar] [CrossRef]
- Tang, J.; Li, Y.; Zhang, L. Optimization of Fermentation Conditions and Purification of Cordycepin from Cordyceps militaris. Prep. Biochem. Biotechnol. 2014, 44, 90–106. [Google Scholar]





| 1 | 2 | |||
|---|---|---|---|---|
| δC Type | δH (J in Hz) | δC Type | δH (J in Hz) | |
| Pro1 | ||||
| CO | 170.8 | 170.7 | ||
| α | 57.3 | 4.29 (dd, J = 8.4, 1.9 Hz) | 57.7 | 4.30 (dd, J = 8.3, 5.3 Hz) |
| β | 30.7 | 2.18 m;1.91 m | 30.6 | 2.17 m; 1.92 m |
| γ | 21.9 | 2.04 m:1.82 m | 21.9 | 2.07 m; 1.85 m |
| δ | 45.9 | 3.48 m;3.26 m | 46.0 | 3.42 m; 3.37 m |
| Pro2 | ||||
| CO | 171.3 | 168.5 | ||
| α | 51.3 | 4.37 (dd, J = 6.9, 3.8 Hz) | 57.5 | 4.40 (dd, J = 8.3, 1.9 Hz,) |
| β | 24.9 | 1.82 m;1.71 m | 28.4 | 2.09 m; 1.70 m |
| γ | 18.3 | 1.61 m;1.44 m | 25.0 | 2.02 m; 1.92 m |
| δ | 23.9 | 1.71 m;1.54 m | 46.4 | 3.44 m; 3.36 m |
| e | 41.8 | 3.79 m;3.48 m | ||
| Pro3 | ||||
| CO | 170.7 | 170.8 | ||
| α | 57.9 | 4.91 (dd, J = 8.5, 5.2 Hz) | 58.0 | 4.84 (dd, J = 8.4, 3.7 Hz) |
| β | 29.7 | 2.34 m;1.68 m | 29.7 | 2.32 m; 1.76 m |
| γ | 22.7 | 1.82 m;1.71 m | 22.7 | 2.07 m; 1.74 m |
| δ | 46.6 | 3.39 m | 46.3 | 3.44 m; 3.29 m |
| Ala | ||||
| CO | 171.3 | 171.0 | ||
| α | 45.8 | 4.14 (dq, J = 8.4, 6.5 Hz) | 45.6 | 4.23 (dt, J = 8.6, 6.4 Hz) |
| β | 20.0 | 1.08 (d, J = 6.5 Hz) | 20.0 | 1.09 (d, J = 6.5 Hz) |
| NH | 8.16 (d, J = 8.5 Hz) | 8.25 (d, J = 8.5 Hz) | ||
| Thr | ||||
| CO | 167.7 | 167.8 | ||
| α | 54.2 | 4.72 (dd, J = 9.2, 1.4 Hz) | 54.2 | 4.72 (dd, J = 9.3, 1.4 Hz) |
| β | 73.2 | 5.00 (qd, J = 6.3, 1.4 Hz) | 73.0 | 4.95 (q, J = 5.8 Hz) |
| γ | 16.7 | 1.13 (d, J = 6.3 Hz) | 16.7 | 1.11 (d, J = 6.3 Hz) |
| NH | 7.71 (d, J = 9.2 Hz) | 7.85 (d, J = 9.3 Hz) | ||
| p-Moc | ||||
| 1 | 159.5 | 159.5 | ||
| 2,6 | 113.3 | 6.87 (d, J = 8.9 Hz) | 113.2 | 6.87 (d, J = 8.9 Hz) |
| 3,5 | 132.0 | 7.75 (d, J = 8.8 Hz) | 132.1 | 7.75 (d, J = 8.8 Hz) |
| 4 | 127.7 | 127.8 | ||
| 7 | 137.6 | 6.66 (d, J = 13.0 Hz) | 137.6 | 6.66 (d, J = 13.0 Hz) |
| 8 | 121.5 | 6.14 (d, J = 12.9 Hz) | 121.4 | 6.14 (d, J = 12.9 Hz) |
| 9 | 165.9 | 165.9 | ||
| OCH3 | 55.1 | 3.76 (s) | 55.1 | 3.76 (s) |
Disclaimer/Publisher’s Note: The statements, opinions and data contained in all publications are solely those of the individual author(s) and contributor(s) and not of MDPI and/or the editor(s). MDPI and/or the editor(s) disclaim responsibility for any injury to people or property resulting from any ideas, methods, instructions or products referred to in the content. |
© 2026 by the authors. Licensee MDPI, Basel, Switzerland. This article is an open access article distributed under the terms and conditions of the Creative Commons Attribution (CC BY) license.
Share and Cite
Liu, Y.; Chen, Y.; Xiao, J.; Sun, X.; Zhou, X.; Liu, Y.; Yang, B. Two New Pentadepsipeptides from the Mangrove Fungus Aspergillus sp. SCSIO 41443. Metabolites 2026, 16, 159. https://doi.org/10.3390/metabo16030159
Liu Y, Chen Y, Xiao J, Sun X, Zhou X, Liu Y, Yang B. Two New Pentadepsipeptides from the Mangrove Fungus Aspergillus sp. SCSIO 41443. Metabolites. 2026; 16(3):159. https://doi.org/10.3390/metabo16030159
Chicago/Turabian StyleLiu, Ying, Yi Chen, Jiao Xiao, Xin Sun, Xuefeng Zhou, Yonghong Liu, and Bin Yang. 2026. "Two New Pentadepsipeptides from the Mangrove Fungus Aspergillus sp. SCSIO 41443" Metabolites 16, no. 3: 159. https://doi.org/10.3390/metabo16030159
APA StyleLiu, Y., Chen, Y., Xiao, J., Sun, X., Zhou, X., Liu, Y., & Yang, B. (2026). Two New Pentadepsipeptides from the Mangrove Fungus Aspergillus sp. SCSIO 41443. Metabolites, 16(3), 159. https://doi.org/10.3390/metabo16030159

