Effects of Leucine Supplementation on Athletic Performance, Central Fatigue, and Serum Metabolism in Endurance Athletes: A Randomized Controlled Trial and Targeted Metabolomics Study
Abstract
1. Introduction
2. Materials and Methods
2.1. Participants
2.2. Study Design
2.3. Leucine Supplementation Procedure
2.4. Trial Discontinuation Criteria
2.4.1. Voluntary Withdrawal of Informed Consent
2.4.2. Occurrence of a Serious Adverse Event
2.4.3. Onset of a Medical Condition Meeting Withdrawal Criteria
2.4.4. Poor Compliance
2.5. Standardization and Control of Training, Diet, and Supplementation
2.5.1. Training Control
2.5.2. Diet Control
2.5.3. Supplementation Control
2.6. Outcome Measures
2.6.1. Body Composition
2.6.2. Muscle Strength
- (1)
- Isokinetic Muscle strength
- (2)
- Vertical Jump Test
2.6.3. Aerobic Capacity Assessment (Maximal Oxygen Uptake, VO2max)
2.6.4. Neural Response Accuracy Assessment
2.6.5. Blood Samples Collection and Measurements
2.6.6. Serum Amino Acid Content
2.6.7. Metabolomic Analysis of Blood
2.7. Statistical Analysis
3. Results
3.1. Primary Outcomes
3.1.1. Muscle Strength
3.1.2. Serum Branched-Chain Amino Acid Content
3.1.3. Targeted Metabolomics
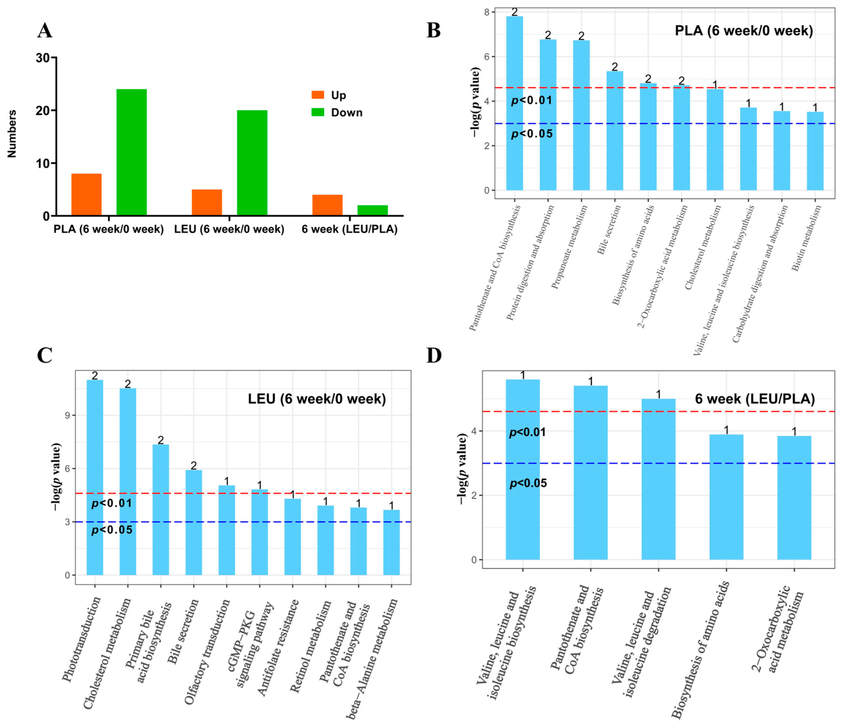
Overview of Targeted Metabolomic Analysis
Metabolic Pathway Enrichment Analysis of Differential Metabolites
Differential Metabolites Between the LEU and PLA Group
3.2. Secondary Outcomes
3.2.1. Body Composition
3.2.2. Aerobic Capacity
3.2.3. Neural Response Accuracy
4. Discussion
4.1. LEU Supplementation Improves Ankle Strength via Reducing BCAA Catabolism
4.2. LEU Supplementation Enhances Aerobic Capacity
4.3. LEU Supplementation Improves Neural Response Accuracy
4.4. Limitations
5. Conclusions
Supplementary Materials
Author Contributions
Funding
Institutional Review Board Statement
Informed Consent Statement
Data Availability Statement
Acknowledgments
Conflicts of Interest
Abbreviations
| LEU | Leucine |
| BCAAs | Branched-Chain Amino Acids |
| TE | Training Effects |
| TRIMP | Training IMPulse |
| HRR | Heart Rate Reserve |
| VO2max | Maximal Oxygen Consumption |
| RER | Respiratory Exchange Ratio |
| RPE | Rating of Perceived Exertion |
| Rejection S | Mean Correct Rejection Time |
| Hit S | Mean Hit Time |
| Rejections T | Total Correct Rejections |
| Hits T | Total Hits |
| Hits PR | Percentile Rank of HIts |
| LA | Lactic Acid |
| TC | Total Cholesterol |
| TG | Triglycerides |
| HDL-C | High-Density Lipoprotein Cholesterol |
| LDL-C | Low-Density Lipoprotein Cholesterol |
| CK | Creatine Kinase |
Appendix A
Appendix A.1. Blood Biochemical Indicators Related to Lipid Metabolism
| Index | PLA | LEU | p (6-Week (LEU/PLA)) | ||||
|---|---|---|---|---|---|---|---|
| Before | After | p | Before | After | p | ||
| TC (mmol/L) | 3.89 ± 0.45 | 3.84 ± 0.23 | 0.78 | 3.93 ± 0.49 | 3.87 ± 0.43 | 0.80 | 0.84 |
| TG (mmol/L) | 0.75 ± 0.38 | 1.01 ± 0.65 | 0.32 | 0.68 ± 0.22 | 0.74 ± 0.12 | 0.40 | 0.22 |
| HDL-C (mmol/L) | 1.422 ± 0.17 | 1.30 ± 0.13 | 0.11 | 1.47 ± 0.28 | 1.41 ± 0.26 | 0.62 | 0.27 |
| LDL-C (mmol/L) | 2.00 ± 0.30 | 1.93 ± 0.27 | 0.62 | 1.98 ± 0.44 | 1.85 ± 0.35 | 0.46 | 0.57 |
| VLDL-C (mmol/L) | 0.34 ± 0.17 | 0.46 ± 0.30 | 0.32 | 0.31 ± 0.10 | 0.34 ± 0.05 | 0.40 | 0.22 |
Appendix A.2. Hematological–Biochemical Indicators
| Index | PLA | LEU | p (6-Week (LEU/PLA)) | ||||
|---|---|---|---|---|---|---|---|
| 0-Week | 6-Week | p | 0-Week | 6-Week | p | ||
| 0-LA (mmol/L) | 13.68 ± 2.62 | 14.96 ± 5.40 | 0.78 | 9.93 ± 2.60 # | 13.60 ± 4.50 * | 0.04 | 0.58 |
| 5-LA (mmol/L) | 12.02 ± 5.02 | 9.34 ± 2.91 | 0.08 | 9.92 ± 4.03 | 11.40 ± 3.54 | 0.39 | 0.23 |
| 10-LA (mmol/L) | 10.03 ± 5.64 | 8.40 ± 3.90 | 0.31 | 8.82 ± 4.19 | 8.46 ± 1.43 | 0.80 | 0.97 |
| CK (U/L) | 807.67 ± 726.77 | 148.22 ± 25.62 * | 0.03 | 734.10 ± 474.28 | 238.40 ± 125.63 ** | 0.01 | 0.05 |
| C (µg/dL) | 14.82 ± 2.85 | 18.09 ± 3.18 * | 0.04 | 12.92 ± 2.60 | 18.94 ± 4.09 ** | 0.00 | 0.62 |
| T (ng/dL) | 468.63 ± 141.42 | 570.16 ± 105.94 | 0.10 | 479.78 ± 134.69 | 521.21 ± 103.05 | 0.45 | 0.32 |
| T/C | 33.51 ± 14.64 | 32.14 ± 7.78 | 0.81 | 38.21 ± 11.55 | 28.92 ± 8.67 | 0.06 | 0.41 |
| UA (µmol/L) | 414.31 ± 95.68 | 318.62 ± 35.08 * | 0.01 | 442.62 ± 78.91 | 346.33 ± 68.90 ** | 0.01 | 0.29 |
| Cr (µmol/L) | 67.17 ± 10.23 | 76.11 ± 10.72 | 0.09 | 67.81 ± 8.42 | 76.41 ± 10.87 | 0.06 | 0.95 |
| BUN (mmol/L) | 4.98 ± 1.35 | 6.07 ± 1.08 | 0.08 | 5.12 ± 0.89 | 6.05 ± 0.80 * | 0.03 | 0.96 |
Appendix A.3. Serum Antioxidant INDICATORS
| Index | PLA | LEU | p (6-Week (LEU/PLA)) | ||||
|---|---|---|---|---|---|---|---|
| 0-Week | 6-Week | p | 0-Week | 6-Week | p | ||
| GSH (µmol/L) | 6.75 ± 3.15 | 1.99 ± 0.94 ** | 0.00 | 6.91 ± 2.35 | 3.11 ± 1.94 ** | 0.00 | 0.13 |
| MDA (nmol/mL) | 13.70 ± 8.33 | 27.19 ± 10.34 * | 0.01 | 21.80 ± 20.74 | 24.80 ± 13.75 | 0.71 | 0.68 |
| SOD (U/mL) | 68.90 ± 1.69 | 62.67 ± 8.45 | 0.06 | 67.65 ± 3.27 | 63.42 ± 4.24 * | 0.02 | 0.81 |
| TBIL (µmol/L) | 23.99 ± 8.31 | 15.23 ± 5.60 * | 0.02 | 24.66 ± 11.05 | 16.37 ± 3.57 * | 0.05 | 0.60 |
Appendix A.4. Serum Amino Acid Levels
| Index | PLA | LEU | p (6-Week (LEU/PLA)) | ||||
|---|---|---|---|---|---|---|---|
| 0-Week | 6-Week | p | 0-Week | 6-Week | p | ||
| Citrulline | 4.87 ± 0.63 | 5.33 ± 0.57 | 0.31 | 4.96 ± 0.31 | 5.39 ± 0.44 | 0.10 | 0.85 |
| Glutamic acid | 12.62 ± 1.02 | 12.48 ± 0.64 | 0.81 | 12.83 ± 0.68 | 12.92 ± 0.64 | 0.84 | 0.33 |
| Glutamine | 76.48 ± 6.02 | 94.38 ± 4.28 ** | 0.00 | 77.19 ± 5.39 | 89.11 ± 3.44 ** | 0.00 | 0.07 |
| Histidine | 14.71 ± 1.17 | 15.30 ± 0.42 | 0.39 | 14.45 ± 0.78 | 14.87 ± 0.26 | 0.29 | 0.09 |
| Leucine | 13.29 ± 0.81 | 17.18 ± 0.73 ** | 0.00 | 14.20 ± 0.57 | 17.01 ± 0.81 ** | 0.00 | 0.75 |
| Isoleucine | 11.38 ± 0.44 | 28.16 ± 5.15 ** | 0.00 | 12.48 ± 0.41 ** | 26.50 ± 3.83 ** | 0.00 | 0.59 |
| Lysine | 26.43 ± 1.90 | 28.06 ± 2.09 | 0.28 | 25.40 ± 0.97 | 27.89 ± 2.32 | 0.06 | 0.91 |
| Methionine | 5.06 ± 0.41 | 5.61 ± 0.30 | 0.06 | 4.95 ± 0.48 | 5.36 ± 0.55 | 0.24 | 0.44 |
| Ornithine | 10.78 ± 0.82 | 12.58 ± 0.89 * | 0.02 | 10.26 ± 0.86 | 11.80 ± 0.58 ** | 0.00 | 0.15 |
| Phenylalanine | 13.03 ± 0.64 | 17.46 ± 0.74 ** | 0.00 | 13.06 ± 0.88 | 17.75 ± 0.52 ** | 0.00 | 0.51 |
| Proline | 18.94 ± 4.24 | 8.89 ± 2.95 * | 0.01 | 20.38 ± 2.06 | 8.96 ± 1.73 ** | 0.00 | 0.96 |
| Serine | 17.37 ± 1.82 | 19.37 ± 0.44 | 0.09 | 16.55 ± 0.91 | 18.33 ± 1.24 * | 0.03 | 0.14 |
| Tryptophan | 11.62 ± 0.50 | 17.20 ± 0.87 ** | 0.00 | 12.69 ± 0.43 ** | 17.32 ± 0.67 ** | 0.00 | 0.82 |
| Tyrosine | 10.42 ± 0.56 | 13.51 ± 0.62 ** | 0.00 | 10.62 ± 0.99 | 13.36 ± 0.87 ** | 0.00 | 0.78 |
| Valine | 30.45 ± 0.65 | 36.70 ± 1.34 ** | 0.00 | 32.40 ± 1.70 | 39.30 ± 1.68 **# | 0.00 | 0.03 |
| Arginine | 16.13 ± 2.31 | 23.87 ± 2.67 ** | 0.00 | 16.27 ± 2.04 | 21.95 ± 1.81 ** | 0.00 | 0.10 |
| Alanine | 36.97 ± 5.33 | 46.69 ± 7.68 * | 0.01 | 37.01 ± 7.39 | 43.09 ± 7.41 | 0.10 | 0.34 |
| Glycine | 29.99 ± 5.17 | 39.86 ± 4.65 ** | 0.00 | 27.70 ± 4.31 | 36.71 ± 3.04 ** | 0.00 | 0.11 |
| Threonine | 15.09 ± 1.56 | 21.33 ± 1.79 ** | 0.00 | 14.17 ± 2.22 | 18.95 ± 3.40 ** | 0.00 | 0.09 |
| Asparagine | 6.82 ± 0.60 | 7.17 ± 0.23 | 0.33 | 6.07 ± 0.66 | 6.65 ± 0.51 | 0.15 | 0.09 |
| Aspartic acid | 3.15 ± 0.26 | 4.96 ± 0.57 ** | 0.00 | 3.29 ± 0.31 | 4.93 ± 0.32 ** | 0.00 | 0.94 |
Appendix A.5. Correlation Analysis Between Differential Metabolites and Routine Indicators
| Group | Name | Vertical Jump | 60° Ankle Plantar Peak Torque | 60° Ankle Dorsiflex Peak Torque | VO2max | Hits T | Hits TR |
|---|---|---|---|---|---|---|---|
| PLA (6-week/0-week) | Glycodeoxycholic acid | 0.33 | 0.29 | 0.41 | −0.50 | 0.36 | 0.37 |
| Glycochenodeoxycholic acid | 0.19 | 0.22 | 0.48 * | −0.58 * | 0.38 | 0.40 | |
| Murocholic acid | 0.18 | −0.01 | −0.00 | −0.16 | 0.13 | 0.11 | |
| Choleic Acid | 0.17 | −0.01 | −0.01 | −0.15 | 0.12 | 0.11 | |
| Deoxycholic acid | 0.21 | −0.02 | 0.07 | −0.20 | 0.16 | 0.13 | |
| Undecylenic acid | 0.02 | −0.50 * | −0.06 | 0.77 ** | −0.38 | −0.33 | |
| Phthalic acid | −0.31 | −0.52 * | −0.28 | 0.73 ** | −0.39 | −0.36 | |
| Dodecanoic acid | −0.17 | −0.46 | −0.16 | 0.30 | −0.54 * | −0.46 | |
| Diethyl oxalpropionate | −0.10 | −0.53 * | −0.11 | 0.33 | −0.56 * | −0.46 | |
| β-Alanine | −0.25 | −0.49 * | −0.33 | 0.70 ** | −0.49 | −0.48 | |
| LEU (6-week/0-week) | 5β-CHOLANIC ACID METHYL ESTER | 0.55 * | 0.21 | 0.26 | −0.42 | −0.66 * | −0.48 |
| Glycochenodeoxycholic acid | 0.39 | 0.51 * | 0.23 | −0.25 | 0.15 | 0.07 | |
| Glycocholic acid | 0.49 * | 0.61 ** | 0.30 | −0.25 | 0.04 | 0.00 | |
| Citramalic acid | 0.29 | 0.38 | 0.38 | −0.43 | −0.05 | −0.01 | |
| Retinal | 0.34 | 0.49 * | 0.39 | −0.55 * | 0.03 | −0.09 | |
| Sebacic acid | −0.37 | −0.38 | −0.06 | 0.29 | 0.10 | 0.05 | |
| 3,6-Diketocholanic Acid Methyl Ester | −0.38 | −0.50 * | −0.12 | 0.36 | −0.21 | −0.29 | |
| Guanosine monophosphate | −0.32 | −0.30 | −0.38 | 0.13 | 0.37 | 0.45 | |
| β-Alanine | −0.61 ** | −0.55 * | −0.41 | 0.60 ** | 0.13 | 0.13 | |
| Phthalic acid | −0.58 ** | −0.51 * | −0.27 | 0.51 * | 0.13 | 0.12 | |
| 6 week (LEU/PLA) | β-Hyodeoxycholic Acid | −0.22 | −0.41 | −0.07 | −0.12 | −0.25 | −0.27 |
| 23-Norcholic Acid | −0.23 | −0.42 | −0.03 | −0.05 | −0.22 | −0.22 | |
| α-ketoisovaleric acid | −0.38 | −0.44 | −0.09 | 0.42 | 0.11 | 0.06 | |
| Glycylleucine | −0.18 | 0.09 | 0.30 | 0.07 | −0.09 | −0.10 | |
| Desaminotyrosine | 0.03 | 0.21 | 0.03 | 0.09 | 0.01 | −0.09 | |
| β-(m-Hydroxyphenyl)hydracrylic Acid | 0.21 | 0.06 | −0.03 | −0.03 | 0.34 | 0.34 |
References
- Alghannam, A.F.; Ghaith, M.M.; Alhussain, M.H. Regulation of Energy Substrate Metabolism in Endurance Exercise. Int. J. Environ. Res. Public Health 2021, 18, 4963. [Google Scholar] [CrossRef]
- Hawley, J.A. Effect of increased fat availability on metabolism and exercise capacity. Med. Sci. Sports Exerc. 2002, 34, 1485–1491. [Google Scholar] [CrossRef]
- Alghannam, A.F.; Gonzalez, J.T.; Betts, J.A. Restoration of Muscle Glycogen and Functional Capacity: Role of Post-Exercise Carbohydrate and Protein Co-Ingestion. Nutrients 2018, 10, 253. [Google Scholar] [CrossRef]
- Hawley, J.A.; Leckey, J.J. Carbohydrate Dependence During Prolonged, Intense Endurance Exercise. Sports Med. 2015, 45, S5–S12. [Google Scholar] [CrossRef] [PubMed]
- Bird, S.P.; Tarpenning, K.M.; Marino, F.E. Effects of liquid carbohydrate/essential amino acid ingestion on acute hormonal response during a single bout of resistance exercise in untrained men. Nutrition 2006, 22, 367–375. [Google Scholar] [CrossRef]
- Burke, L.M.; Whitfield, J.; Heikura, I.A.; Ross, M.L.R.; Tee, N.; Forbes, S.F.; Hall, R.; McKay, A.K.A.; Wallett, A.M.; Sharma, A.P. Adaptation to a low carbohydrate high fat diet is rapid but impairs endurance exercise metabolism and performance despite enhanced glycogen availability. J. Physiol. 2021, 599, 771–790. [Google Scholar] [CrossRef] [PubMed]
- Romijn, J.A.; Coyle, E.F.; Sidossis, L.S.; Gastaldelli, A.; Horowitz, J.F.; Endert, E.; Wolfe, R.R. Regulation of endogenous fat and carbohydrate metabolism in relation to exercise intensity and duration. Am. J. Physiol. 1993, 265, E380–E391. [Google Scholar] [CrossRef]
- Jahan-Mihan, A.; El Khoury, D.; Brewer, G.J.; Chapleau, A. Current Perspectives on Protein Supplementation in Athletes: General Guidance and Special Considerations for Diabetes-A Narrative Review. Nutrients 2025, 17, 3528. [Google Scholar] [CrossRef] [PubMed]
- Jäger, R.; Kerksick, C.M.; Campbell, B.I.; Cribb, P.J.; Wells, S.D.; Skwiat, T.M.; Purpura, M.; Ziegenfuss, T.N.; Ferrando, A.A.; Arent, S.M.; et al. International Society of Sports Nutrition Position Stand: Protein and exercise. J. Int. Soc. Sports Nutr. 2017, 14, 20. [Google Scholar] [CrossRef]
- Neinast, M.; Murashige, D.; Arany, Z. Branched Chain Amino Acids. Annu. Rev. Physiol. 2019, 81, 139–164. [Google Scholar] [CrossRef]
- Phillips, S.M. The impact of protein quality on the promotion of resistance exercise-induced changes in muscle mass. Nutr. Metab. 2016, 13, 64. [Google Scholar] [CrossRef]
- Anthony, J.C.; Anthony, T.G.; Layman, D.K. Leucine supplementation enhances skeletal muscle recovery in rats following exercise. J. Nutr. 1999, 129, 1102–1106. [Google Scholar] [CrossRef]
- Higashida, K.; Inoue, S.; Nakai, N. Iron deficiency attenuates protein synthesis stimulated by branched-chain amino acids and insulin in myotubes. Biochem. Biophys. Res. Commun. 2020, 531, 112–117. [Google Scholar] [CrossRef]
- Gawedzka, A.; Grandys, M.; Duda, K.; Zapart-Bukowska, J.; Zoladz, J.A.; Majerczak, J. Plasma BCAA concentrations during exercise of varied intensities in young healthy men-the impact of endurance training. PeerJ 2020, 8, e10491. [Google Scholar] [CrossRef] [PubMed]
- Bassit, R.A.; Sawada, L.A.; Bacurau, R.F.; Navarro, F.; Martins, E., Jr.; Santos, R.V.; Caperuto, E.C.; Rogeri, P.; Costa Rosa, L.F. Branched-chain amino acid supplementation and the immune response of long-distance athletes. Nutrition 2002, 18, 376–379. [Google Scholar] [CrossRef]
- Waskiw-Ford, M.; Hannaian, S.; Duncan, J.; Kato, H.; Abou Sawan, S.; Locke, M.; Kumbhare, D.; Moore, D. Leucine-Enriched Essential Amino Acids Improve Recovery from Post-Exercise Muscle Damage Independent of Increases in Integrated Myofibrillar Protein Synthesis in Young Men. Nutrients 2020, 12, 1061. [Google Scholar] [CrossRef] [PubMed]
- Yoshimura, Y.; Bise, T.; Shimazu, S.; Tanoue, M.; Tomioka, Y.; Araki, M.; Nishino, T.; Kuzuhara, A.; Takatsuki, F. Effects of a leucine-enriched amino acid supplement on muscle mass, muscle strength, and physical function in post-stroke patients with sarcopenia: A randomized controlled trial. Nutrition 2019, 58, 1–6. [Google Scholar] [CrossRef] [PubMed]
- Negro, M.; Giardina, S.; Marzani, B.; Marzatico, F. Branched-chain amino acid supplementation does not enhance athletic performance but affects muscle recovery and the immune system. J. Sports Med. Phys. Fit. 2008, 48, 347–351. [Google Scholar]
- Aguiar, A.F.; Grala, A.P.; da Silva, R.A.; Soares-Caldeira, L.F.; Pacagnelli, F.L.; Ribeiro, A.S.; da Silva, D.K.; de Andrade, W.B.; Balvedi, M.C.W. Free leucine supplementation during an 8-week resistance training program does not increase muscle mass and strength in untrained young adult subjects. Amino Acids 2017, 49, 1255–1262. [Google Scholar] [CrossRef]
- Adeva-Andany, M.M.; López-Maside, L.; Donapetry-García, C.; Fernández-Fernández, C.; Sixto-Leal, C. Enzymes involved in branched-chain amino acid metabolism in humans. Amino Acids 2017, 49, 1005–1028. [Google Scholar] [CrossRef]
- Goto, M.; Shinno, H.; Ichihara, A. Isozyme patterns of branched-chain amino acid transaminase in human tissues and tumors. GANN Jpn. J. Cancer Res. 1977, 68, 663–667. [Google Scholar]
- Lehmann, M.; Huonker, M.; Dimeo, F.; Heinz, N.; Gastmann, U.; Treis, N.; Steinacker, J.M.; Keul, J.; Kajewski, R.; Häussinger, D. Serum amino acid concentrations in nine athletes before and after the 1993 Colmar ultra triathlon. Int. J. Sports Med. 1995, 16, 155–159. [Google Scholar] [CrossRef] [PubMed]
- Kim, D.H.; Kim, S.H.; Jeong, W.S.; Lee, H.Y. Effect of BCAA intake during endurance exercises on fatigue substances, muscle damage substances, and energy metabolism substances. J. Exerc. Nutr. Biochem. 2013, 17, 169–180. [Google Scholar] [CrossRef]
- Watson, P.; Shirreffs, S.M.; Maughan, R.J. The effect of acute branched-chain amino acid supplementation on prolonged exercise capacity in a warm environment. Eur. J. Appl. Physiol. 2004, 93, 306–314. [Google Scholar] [CrossRef]
- Luan, C.; Wang, Y.; Li, J.; Zhou, N.; Song, G.; Ni, Z.; Xu, C.; Tang, C.; Fu, P.; Wang, X.; et al. Branched-Chain Amino Acid Supplementation Enhances Substrate Metabolism, Exercise Efficiency and Reduces Post-Exercise Fatigue in Active Young Males. Nutrients 2025, 17, 1290. [Google Scholar] [CrossRef]
- Salem, A.; Ben Maaoui, K.; Jahrami, H.; AlMarzooqi, M.A.; Boukhris, O.; Messai, B.; Clark, C.C.T.; Glenn, J.M.; Ghazzaoui, H.A.; Bragazzi, N.L.; et al. Attenuating Muscle Damage Biomarkers and Muscle Soreness After an Exercise-Induced Muscle Damage with Branched-Chain Amino Acid (BCAA) Supplementation: A Systematic Review and Meta-analysis with Meta-regression. Sports Med. Open 2024, 10, 42. [Google Scholar] [CrossRef]
- Li, T.; Rui, Z.; Mao, L.; Chang, Y.; Shao, J.; Chen, Y.; Han, Q.; Sui, X.; An, N.; Li, H.; et al. Eight Weeks of Bifidobacterium lactis BL-99 Supplementation Improves Lipid Metabolism and Sports Performance through Short-Chain Fatty Acids in Cross-Country Skiers: A Preliminary Study. Nutrients 2023, 15, 4554. [Google Scholar] [CrossRef] [PubMed]
- Martinho, D.V.; Nobari, H.; Faria, A.; Field, A.; Duarte, D.; Sarmento, H. Oral Branched-Chain Amino Acids Supplementation in Athletes: A Systematic Review. Nutrients 2022, 14, 4002. [Google Scholar] [CrossRef]
- Plotkin, D.L.; Delcastillo, K.; Van Every, D.W.; Tipton, K.D.; Aragon, A.A.; Schoenfeld, B.J. Isolated Leucine and Branched-Chain Amino Acid Supplementation for Enhancing Muscular Strength and Hypertrophy: A Narrative Review. Int. J. Sport. Nutr. Exerc. Metab. 2021, 31, 292–301. [Google Scholar] [CrossRef] [PubMed]
- Gasparini Neto, V.H.; Santos Neves, L.N.; Kalva-Filho, C.A.; Schwingel, P.A.; Leite, R.D.; Carletti, L. Cardiopulmonary Exercise Testing with Elastic Resistance: A New Reproducible Proposal for Determination of Ventilatory Thresholds and Maximum Oxygen Consumption. J. Sports Sci. Med. 2022, 21, 426–434. [Google Scholar] [CrossRef]
- Veliks, V.; Porozovs, J.; Klavina, A.; Zusa, A. Adolescents’ Cognitive Abilities, Reaction Time, and Working Memory Performance by Vienna Test Systems. Int. J. Online Biomed. Eng. (iJOE) 2023, 19, 82–92. [Google Scholar] [CrossRef]
- Kiss, B.; Balogh, L. A study of key cognitive skills in handball using the Vienna Test System. J. Phys. Educ. Sport 2019, 19, 733–741. [Google Scholar]
- Achison, M.; Adamson, S.; Akpan, A.; Aspray, T.; Avenell, A.; Band, M.M.; Bashir, T.; Burton, L.A.; Cvoro, V.; Donnan, P.T.; et al. Effect of perindopril or leucine on physical performance in older people with sarcopenia: The LACE randomized controlled trial. J. Cachexia Sarcopenia Muscle 2022, 13, 858–871. [Google Scholar] [CrossRef]
- Terzis, G.; Stattin, B.; Holmberg, H.C. Upper body training and the triceps brachii muscle of elite cross country skiers. Scand. J. Med. Sci. Sports 2006, 16, 121–126. [Google Scholar] [CrossRef]
- Behm, D.G.; Konrad, A.; Nakamura, M.; Alizadeh, S.; Culleton, R.; Anvar, S.H.; Pearson, L.T.; Ramirez-Campillo, R.; Sale, D.G. A narrative review of velocity-based training best practice: The importance of contraction intent versus movement speed. Appl. Physiol. Nutr. Metab. 2025, 50, 1–9. [Google Scholar] [CrossRef] [PubMed]
- Howatson, G.; Hoad, M.; Goodall, S.; Tallent, J.; Bell, P.G.; French, D.N. Exercise-induced muscle damage is reduced in resistance-trained males by branched chain amino acids: A randomized, double-blind, placebo controlled study. J. Int. Soc. Sports Nutr. 2012, 9, 20. [Google Scholar] [CrossRef] [PubMed]
- Kirby, T.J.; Triplett, N.T.; Haines, T.L.; Skinner, J.W.; Fairbrother, K.R.; McBride, J.M. Effect of leucine supplementation on indices of muscle damage following drop jumps and resistance exercise. Amino Acids 2012, 42, 1987–1996. [Google Scholar] [CrossRef]
- Morton, R.W.; Murphy, K.T.; McKellar, S.R.; Schoenfeld, B.J.; Henselmans, M.; Helms, E.; Aragon, A.A.; Devries, M.C.; Banfield, L.; Krieger, J.W.; et al. A systematic review, meta-analysis and meta-regression of the effect of protein supplementation on resistance training-induced gains in muscle mass and strength in healthy adults. Br. J. Sports Med. 2018, 52, 376–384. [Google Scholar] [CrossRef] [PubMed]
- Wretlind, K.A. Replacement of valine in the diet by alpha-ketoisovaleric acid. Acta Physiol. Scand. 1952, 27, 183–188. [Google Scholar] [CrossRef]
- Crowell, P.L.; Block, K.P.; Repa, J.J.; Torres, N.; Nawabi, M.D.; Buse, M.G.; Harper, A.E. High branched-chain alpha-keto acid intake, branched-chain alpha-keto acid dehydrogenase activity, and plasma and brain amino acid and plasma keto acid concentrations in rats. Am. J. Clin. Nutr. 1990, 52, 313–319. [Google Scholar] [CrossRef]
- Costa Júnior, J.M.; Rosa, M.R.; Protzek, A.O.; De Paula, F.M.; Ferreira, S.M.; Rezende, L.F.; Vanzela, E.C.; Zoppi, C.C.; Silveira, L.R.; Kettelhut, I.C.; et al. Leucine supplementation does not affect protein turnover and impairs the beneficial effects of endurance training on glucose homeostasis in healthy mice. Amino Acids 2015, 47, 745–755. [Google Scholar] [CrossRef]
- Matsumoto, K.; Koba, T.; Hamada, K.; Tsujimoto, H.; Mitsuzono, R. Branched-chain amino acid supplementation increases the lactate threshold during an incremental exercise test in trained individuals. J. Nutr. Sci. Vitaminol. 2009, 55, 52–58. [Google Scholar] [CrossRef]
- Kainulainen, H.; Hulmi, J.J.; Kujala, U.M. Potential role of branched-chain amino acid catabolism in regulating fat oxidation. Exerc. Sport. Sci. Rev. 2013, 41, 194–200. [Google Scholar] [CrossRef]
- Davis, J.M.; Bailey, S.P. Possible mechanisms of central nervous system fatigue during exercise. Med. Sci. Sports Exerc. 1997, 29, 45–57. [Google Scholar] [CrossRef]
- Kapur, S.; Joshi, G.M. Acute and chronic effects of exercise intensity on cognitive functions of fastball athletes. Cogn. Neurodyn 2024, 18, 2289–2298. [Google Scholar] [CrossRef]
- Goudini, R.; Zahiri, A.; Alizaheh, S.; Drury, B.; Anvar, S.H.; Daneshjoo, A.; Behm, D.G. The Effects of Physical and Mental Fatigue on Time Perception. bioRxiv 2023. [Google Scholar] [CrossRef]
- Wilczyńska, D.M.; Abrahamsen, F.; Popławska, A.; Aschenbrenner, P.; Dornowski, M. Level of anxiety and results of psychomotor tests in young soccer players of different performance levels. Biol. Sport. 2022, 39, 571–577. [Google Scholar] [CrossRef] [PubMed]
- Chen, X.; Xiang, L.; Jia, G.; Liu, G.; Zhao, H.; Huang, Z. Effects of dietary leucine on antioxidant activity and expression of antioxidant and mitochondrial-related genes in longissimus dorsi muscle and liver of piglets. Anim. Sci. J. 2019, 90, 990–998. [Google Scholar] [CrossRef] [PubMed]
- Hopewell, S.; Chan, A.W.; Collins, G.S.; Hróbjartsson, A.; Moher, D.; Schulz, K.F.; Tunn, R.; Aggarwal, R.; Berkwits, M.; Berlin, J.A.; et al. CONSORT 2025 Statement: Updated guideline for reporting randomised trials. BMJ 2025, 388, e081123. [Google Scholar] [CrossRef] [PubMed]



| Characteristic | PLA (n = 10) | LEU (n = 10) | p |
|---|---|---|---|
| Age | 16.55 | 16.76 | 0.76 |
| Height (cm) | 173.5 | 174.89 | 0.72 |
| Body mass (kg) | 61.82 ± 5.61 | 64.97 ± 8.36 | 0.06 |
| BMI (kg/m2) | 20.09 ± 1.24 | 21.10 ± 1.68 | 0.06 |
| Fat mass (kg) | 6.62 ± 1.91 | 7.97 ± 2.75 | 0.09 |
| Body fat (%) | 10.63 ± 2.74 | 11.97 ± 2.85 | 0.61 |
| VO2max (L/min) | 3.48 ± 0.49 | 3.60 ± 0.87 | 0.73 |
| Index | Group | Week1 | Week2 | Week3 | Week4 | Week5 | Week6 |
|---|---|---|---|---|---|---|---|
| Training effect: Aerobic (0.0–5.0) | PLA | 3.24 ± 0.84 | 3.8 ± 0.82 | 3.04 ± 1.25 | 3.37 ± 1.04 | 2.71 ± 1.3 | 2.94 ± 1.22 |
| LEU | 3.18 ± 0.89 | 3.69 ± 0.88 | 3.1 ± 1.06 | 3.13 ± 1.04 | 2.65 ± 1.07 | 3.12 ± 1.21 | |
| p | 0.78 | 0.60 | 0.81 | 0.36 | 0.87 | 0.63 | |
| Training effect: Anaerobic (0.0–5.0) | PLA | 1.8 ± 1.05 | 1.98 ± 0.93 | 1.78 ± 0.99 | 1.92 ± 1.23 | 1.29 ± 1.25 | 1.48 ± 1.2 |
| LEU | 1.89 ± 0.96 | 1.97 ± 0.95 | 2.04 ± 0.77 | 1.75 ± 1.22 | 1.6 ± 1.03 | 1.63 ± 1.11 | |
| p | 0.70 | 0.96 | 0.21 | 0.56 | 0.40 | 0.66 | |
| TRIMP | PLA | 216.55 ± 103.25 | 277.53 ± 91.36 | 241.52 ± 140.34 | 232.74 ± 110 | 174.15 ± 112.52 | 198.89 ± 110.09 |
| LEU | 206.48 ± 105.19 | 254.64 ± 103.72 | 222.32 ± 127.9 | 208.42 ± 111.28 | 168.43 ± 103.2 | 209.97 ± 98.61 | |
| p | 0.65 | 0.33 | 0.53 | 0.38 | 0.87 | 0.73 | |
| Energy Expenditure (kcal) | PLA | 1597.74 ± 677.03 | 1863.13 ± 355.4 | 1739.76 ± 657.16 | 1593.91 ± 602.77 | 1135.95 ± 668.17 | 1156.01 ± 469.59 |
| LEU | 1606.62 ± 773.79 | 1825.86 ± 620.55 | 1651.61 ± 753.72 | 1359.45 ± 539.4 | 1248.2 ± 630.3 | 1348.56 ± 529.62 | |
| p | 0.95 | 0.76 | 0.59 | 0.10 | 0.59 | 0.22 |
| Index | PLA | LEU | p (6-Week (LEU/PLA)) | ||||||
|---|---|---|---|---|---|---|---|---|---|
| 0-Week | 6-Week | p | 0-Week | 6-Week | p | ||||
| Vertical Jump (m) | 0.36 ± 0.09 | 0.43 ± 0.10 | 0.17 | 0.32 ± 0.06 | 0.43 ± 0.09 ** | 0.01 | 0.86 | ||
| 60° | Ankle | P peak torque | 56.89 ± 10.62 | 67.11 ± 12.63 | 0.08 | 44.00 ± 16.78 | 56.20 ± 14.04 # | 0.09 | 0.01 |
| D peak torque | 159.67 ± 57.69 | 185.56 ± 62.04 | 0.37 | 167.30 ± 59.24 | 189.20 ± 45.01 | 0.36 | 0.76 | ||
| Knee | F peak torque | 185.00 ± 45.01 | 178.00 ± 43.30 | 0.74 | 183.50 ± 62.36 | 185.10 ± 53.72 | 0.95 | 0.87 | |
| E peak torque | 316.78 ± 63.91 | 292.67 ± 60.91 | 0.43 | 304.70 ± 89.70 | 300.10 ± 75.09 | 0.90 | 0.92 | ||
| 180° | Ankle | P peak torque | 40.44 ± 7.91 | 43.33 ± 5.24 | 0.38 | 31.50 ± 9.36 | 43.40 ± 10.06 * | 0.01 | 0.12 |
| D peak torque | 120.11 ± 27.90 | 133.00 ± 27.31 | 0.34 | 119.40 ± 40.00 | 129.40 ± 27.21 | 0.52 | 0.83 | ||
| Knee | F peak torque | 158.22 ± 51.37 | 148.89 ± 39.48 | 0.67 | 153.10 ± 40.64 | 154.80 ± 31.55 | 0.92 | 0.98 | |
| E peak torque | 258.78 ± 67.88 | 251.89 ± 62.02 | 0.83 | 250.30 ± 58.96 | 255.30 ± 55.44 | 0.85 | 0.90 | ||
| Index | PLA | LEU | p (6-Week (LEU/PLA)) | ||||
|---|---|---|---|---|---|---|---|
| 0-Week | 6-Week | p | 0-Week | 6-Week | p | ||
| Leucine | 13.29 ± 0.81 | 17.18 ± 0.73 ** | 0.00 | 14.20 ± 0.57 | 17.01 ± 0.81 ** | 0.00 | 0.75 |
| Isoleucine | 11.38 ± 0.44 | 28.16 ± 5.15 ** | 0.00 | 12.48 ± 0.41 ** | 26.50 ± 3.83 ** | 0.00 | 0.59 |
| Valine | 30.45 ± 0.65 | 36.7 ± 1.34 ** | 0.00 | 32.40 ± 1.70 | 39.30 ± 1.68 **# | 0.00 | 0.03 |
| Name | Class | Fold Change | p | VIP | |
|---|---|---|---|---|---|
| Up-regulated metabolites | β-Hyodeoxycholic acid | Bile acids | 4.06 | <0.001 | 2.79 |
| 23-Norcholic acid | Bile acids | 3.30 | <0.001 | 2.73 | |
| α-ketoisovaleric acid | Organic acids | 1.41 | 0.03 | 1.38 | |
| Glycylleucine | Amino acids and Peptides | 1.32 | 0.03 | 1.33 | |
| Down-regulated metabolites | Desaminotyrosine | Phenylpropanoids and polyketides | 0.57 | 0.03 | 1.77 |
| β-(m-Hydroxyphenyl) hydracrylic acid | Phenylpropanoids and polyketides | 0.55 | 0.01 | 1.86 |
| Index | PLA | LEU | p (6-Week (LEU/PLA)) | ||||
|---|---|---|---|---|---|---|---|
| 0-Week | 6-Week | p | 0-Week | 6-Week | p | ||
| Body mass (kg) | 61.82 ± 5.61 | 61.93 ± 5.42 | 0.97 | 64.97 ± 8.36 | 63.73 ± 7.18 | 0.73 | 0.55 |
| BMI (kg/m2) | 20.09 ± 1.24 | 20.12 ± 1.22 | 0.96 | 21.10 ± 1.68 | 21.13 ± 1.57 | 0.97 | 0.14 |
| Fat mass (kg) | 6.62 ± 1.91 | 6.21 ± 2.14 | 0.67 | 7.97 ± 2.75 | 8.10 ± 2.84 | 0.92 | 0.12 |
| Body fat (%) | 10.63 ± 2.74 | 9.91 ± 3.10 | 0.61 | 11.97 ± 2.85 | 12.19 ± 3.13 | 0.87 | 0.13 |
| Index | PLA | LEU | p (6-Week (LEU/PLA)) | ||||
|---|---|---|---|---|---|---|---|
| 0-Week | 6-Week | p | 0-Week | 6-Week | p | ||
| RER | 1.10 ± 0.05 | 1.15 ± 0.05 | 0.05 | 1.05 ± 0.09 | 1.14 ± 0.05 * | 0.02 | 0.57 |
| VO2max (L/min) | 3.48 ± 0.49 | 3.47 ± 0.53 | 0.52 | 3.60 ± 0.87 | 4.19 ± 0.54 # | 0.08 | 0.01 |
| Index | PLA | LEU | p (6-Week (LEU/PLA)) | ||||
|---|---|---|---|---|---|---|---|
| 0-Week | 6-Week | p | 0-Week | 6-Week | p | ||
| 0-RPE | 14.33 ± 1.12 | 14.43 ± 1.90 | 0.74 | 14.70 ± 1.77 | 15.50 ± 1.78 | 0.33 | 0.25 |
| 5-RPE | 10.89 ± 0.60 | 11.71 ± 2.06 | 0.41 | 11.00 ± 1.25 | 11.20 ± 1.32 | 0.73 | 0.54 |
| 10-RPE | 8.78 ± 0.83 | 9.143 ± 2.19 | 0.76 | 8.8 ± 0.92 | 8.40 ± 1.075 | 0.38 | 0.37 |
| Correct Rejection S | 2.02 ± 0.54 | 1.87 ± 0.44 | 0.64 | 1.80 ± 0.18 | 1.68 ± 0.15 | 0.18 | 0.27 |
| Correct Rejections T | 113.83 ± 2.64 | 114.33 ± 2.66 | 0.75 | 114.25 ± 3.73 | 115.13 ± 2.85 | 0.61 | 0.61 |
| Hit S | 1.95 ± 0.70 | 1.86 ± 0.67 | 0.84 | 1.63 ± 0.17 | 1.58 ± 0.13 | 0.57 | 0.27 |
| Hits T | 73.67 ± 2.88 | 73.00 ± 2.83 | 0.69 | 74.25 ± 4.46 | 76.50 ± 1.93 # | 0.21 | 0.02 |
| Hits PR | 31.00 ± 25.04 | 25.17 ± 17.13 | 0.65 | 42.38 ± 35.17 | 57.00 ± 21.90 # | 0.34 | 0.01 |
Disclaimer/Publisher’s Note: The statements, opinions and data contained in all publications are solely those of the individual author(s) and contributor(s) and not of MDPI and/or the editor(s). MDPI and/or the editor(s) disclaim responsibility for any injury to people or property resulting from any ideas, methods, instructions or products referred to in the content. |
© 2026 by the authors. Licensee MDPI, Basel, Switzerland. This article is an open access article distributed under the terms and conditions of the Creative Commons Attribution (CC BY) license.
Share and Cite
Li, T.; Xu, W.; Chen, J.; Kan, Z.; Sui, X.; Zhao, Z.; Wang, Q. Effects of Leucine Supplementation on Athletic Performance, Central Fatigue, and Serum Metabolism in Endurance Athletes: A Randomized Controlled Trial and Targeted Metabolomics Study. Metabolites 2026, 16, 94. https://doi.org/10.3390/metabo16020094
Li T, Xu W, Chen J, Kan Z, Sui X, Zhao Z, Wang Q. Effects of Leucine Supplementation on Athletic Performance, Central Fatigue, and Serum Metabolism in Endurance Athletes: A Randomized Controlled Trial and Targeted Metabolomics Study. Metabolites. 2026; 16(2):94. https://doi.org/10.3390/metabo16020094
Chicago/Turabian StyleLi, Tieying, Wei Xu, Jun Chen, Zhaobo Kan, Xuemei Sui, Zhiguang Zhao, and Qirong Wang. 2026. "Effects of Leucine Supplementation on Athletic Performance, Central Fatigue, and Serum Metabolism in Endurance Athletes: A Randomized Controlled Trial and Targeted Metabolomics Study" Metabolites 16, no. 2: 94. https://doi.org/10.3390/metabo16020094
APA StyleLi, T., Xu, W., Chen, J., Kan, Z., Sui, X., Zhao, Z., & Wang, Q. (2026). Effects of Leucine Supplementation on Athletic Performance, Central Fatigue, and Serum Metabolism in Endurance Athletes: A Randomized Controlled Trial and Targeted Metabolomics Study. Metabolites, 16(2), 94. https://doi.org/10.3390/metabo16020094

