Metabolic Heterogeneity in High-Grade Glioma Assessed by Multi-Tracer PET and Ex Vivo Metabolomics: A Systematic Review and Meta-Analysis
Abstract
1. Introduction
2. Materials and Methods
2.1. Study Design and Registration
2.2. Eligibility
2.3. Information Sources and Search
2.4. Data Extraction
2.5. Risk of Bias
2.6. Effect Measures and Synthesis
3. Results
3.1. PsP vs. True Progression—Per-Patient (HGG)
3.2. Recurrence/Progression vs. Treatment-Related Change (TRC)—Per-Patient, HGG-Only (Main Analysis)
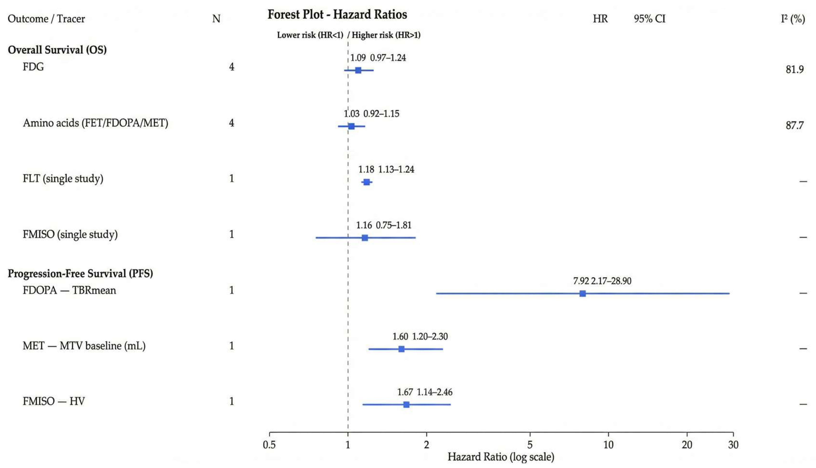
3.3. Overall Survival (OS) and Progression-Free Survival (PFS)
| Outcome | Tracer/Class | Studies (Years) | k | Model | HR | 95% CI | I2 (%) |
|---|---|---|---|---|---|---|---|
| OS | FDG | Colavolpe (2012) [32]; Leiva-Salinas (2017) [33]; Chiang (2017) [34]; Graham (2020) [35] | 4 | Random-effects (HK-REML) * | 1.09 | 0.97–1.24 | 81.9 |
| OS | Amino acid (FET/FDOPA/MET) | Jansen (2015) [28]; Suchorska (2015) [36]; Bauer (2020) [37]; Wirsching (2021) [38] | 4 | Random-effects (HK-REML) * | 1.03 | 0.92–1.15 | 87.7 |
| OS | FLT | Zhao (2014) [39] | 1 | — | 1.18 | 1.13–1.24 | — |
| OS | FMISO | Gerstner (2016) [11] | 1 | — | 1.16 | 0.75–1.81 | — |
| PFS | FDOPA—TBRmean | Rozenblum (2023) [29] | 1 | — | 7.92 | 2.17–28.90 | — |
| PFS | MET—MTV (per 10 mL) | Miller 2020 [30] | 1 | — | 1.60 | 1.20–2.30 | — |
| PFS | FMISO—hypoxic volume | Huang 2021 [31] | 1 | — | 1.67 | 1.14–2.45 | — |
3.4. Molecular Markers (Study-Level Synthesis)
| Marker | First Author (Year) | Tracer | Endpoint | N_Total | Se | Sp | Acc | AUC | Cutoff/Model |
|---|---|---|---|---|---|---|---|---|---|
| IDH | Bai (2025) [40] | 18F-FET (PET/MR) | IDH mutation (prediction) | 29 | 1.000 | 0.824 | 0.900 | 0.970 | — |
| IDH | Kaiser (2024) [41] | 18F-FET + 18F-GE-180 + MRI | IDH prediction (radiomics) | 87 | — | — | — | 0.960 | Multimodal model |
| IDH | Lohmeier (2023) [42] | 18F-FET (static) | IDH mutation (prediction) | 26 | 0.910 | 0.870 | 0.880 | 0.896 | Volumetric CU ratio > 5.43 |
| IDH | Zaragori (2022) [43] | 18F-FDOPA (radiomics) | IDH mutation (prediction) | 72 | — | — | — | 0.831 | — |
| IDH | Zaragori (2021) [44] | 18F-FDOPA (dynamic) | IDH mutation (prediction) | 37 | — | — | — | 0.733 | — |
| IDH | Zhou (2021) [45] | 11C-MET (PET/CT radiomics) | IDH mutation (prediction) | 72 | — | — | — | 0.866 | — |
| IDH | Nakajo (2021) [46] | 11C-MET | IDH mutation (prediction) | 68 | 0.692 | 0.762 | — | 0.725 | Mean L/N = 2.05 |
| IDH | Song (2021) [47] | 18F-FET + DSC-PWI | IDH mutation (prediction) | 52 | 0.920 | 0.857 | — | 0.903 | TBRmax 3.806 + nCBVmean 1.035 |
| MGMT | Bai (2025) [40] | 18F-FET (PET/MR) | MGMT promoter methylation | 29 | 0.684 | 1.000 | 0.793 | 0.900 | — |
| MGMT | Lohmeier (2023) [42] | 18F-FET (static) | MGMT methylation | 45 | — | — | 0.640 | 0.706 | Volumetric CU ratio |
| ATRX | Lohmeier (2023) [42] | 18F-FET (static) | ATRX loss | 46 | — | — | 0.740 | 0.736 | Volumetric CU ratio |
| TERT | Bai (2025) [40] | 18F-FET (PET/MR) | TERT promoter mutation | 29 | 0.714 | 0.875 | 0.759 | 0.860 | — |
| TERT | Nakajo (2021) [46] | 11C-MET | TERT promoter mutation | 68 | 0.500 | 0.893 | — | 0.674 | Mean L/N = 1.88 |
| Marker | k (AUC Available) | Median AUC | IQR | Min–Max |
|---|---|---|---|---|
| IDH | 8 | 0.881 | 0.807–0.917 | 0.725–0.970 |
| MGMT | 2 | 0.803 | 0.706–0.900 | 0.706–0.900 |
| ATRX | 1 | 0.736 | 0.736–0.736 | 0.736–0.736 |
| TERT | 2 | 0.767 | 0.674–0.860 | 0.674–0.860 |
3.5. Ex Vivo Spectrometry (HR-MAS NMR Spectroscopy, MALDI-MSI) and PET Map Concordance
| First Author (Year) | Platform | Cohort (HGG Included) | Tissue Sampling (Multi-Region?) | In Vivo PET in Cohort | PET ↔ Ex Vivo Co-Registration (Map) | Spatial Metric (Dice/Jaccard/Corr) | Main Finding(s) |
|---|---|---|---|---|---|---|---|
| Cheng (2000) [15] | HR-MAS | GBM (Yes) | Yes (multi-region) | Not reported | No | — | Lactate and mobile lipids with necrosis; PCho/Cho with cellularity; intra-tumoral micro-heterogeneity |
| Chen (2011) [49] | HR-MAS | Neuroepithelial (including. grade III–IV: 8 AA + 3 GBM) | Yes | Not reported | No | — | HR-MAS NMR spectroscopy + pattern recognition → accuracy 87% for HGG vs. LGG |
| Longuespée (2018) [50] | MALDI-TOF | Gliomas IDH mut/wt | Yes | Not reported | No | — | Rapid detection of 2-HG on tissue (≤5 min), correlated with biochemical assay |
| Lan (2021) [48] | MALDI-MSI (quant.) | Gliomas (n = 34) | Yes | Not reported | No | — | Absolute quantification of 2-HG (cutoff ≈ 0.81 pmol/µg, Se/Sp 100% for IDH) |
| Kampa (2020) [16] | MALDI-MSI | GBM | Yes | Not reported | No | — | Spatial maps of lipides/metabolites; Registration workflows: MSI ↔ MRI (transferable to PET) |
3.6. Risk of Bias
4. Discussion
4.1. Key Findings—Concise Summary
4.2. Principal Findings and Integration with Prior Work
4.3. Molecular Stratification and Metabolic Phenotypes
4.4. Amino Acid PET and Radiomics
4.5. Hypoxia and Receptor-Targeted Tracers Delineate Therapeutic Niches
4.6. Multimodal Validation with HR-MAS NMR Spectroscopy and MALDI-MSI
4.7. What the Ex Vivo Evidence Means for Hybrid PET/MR
4.8. Metabolic Guidance for Stereotactic Biopsy
4.9. Meta-Analytic Heterogeneity and Health-Economic Context
4.10. Strengths and Limitations
4.11. Clinical Implications
4.12. Research Agenda to Guide Future Hybrid Imaging
- (1)
- Align endpoints with RANO 2.0; predefine AA-PET algorithms for PsP/TRC; and report per-patient 2 × 2 tables and a single primary cutoff for pooling [76].
- (2)
- (3)
- (4)
- For radiomics/AI, mandate TRIPOD-AI reporting with external validation and code sharing; build IBSI-compliant features stress-tested on brain PET [74].
- (5)
- Couple in vivo PET hotspots with ex vivo mapping (HR-MAS, MALDI-MSI) using pre-registered stereotactic sampling and standard spatial metrics (Dice/Jaccard; Fisher-z) to validate biopsy/dose painting/theranostic targets [21].
- (6)
- Translate these elements into consensus policy and implementation frameworks to accelerate adoption and reimbursement of biologically coherent, multi-tracer hybrid imaging [76].
4.13. Implementation Barriers and Outreach
4.14. Research Roadmap
5. Conclusions
Supplementary Materials
Author Contributions
Funding
Institutional Review Board Statement
Informed Consent Statement
Data Availability Statement
Conflicts of Interest
Abbreviations
| AA-PET | Amino acid positron emission tomography |
| ATRX | Alpha thalassemia syndrome X-linked |
| AUC | Area under the receiver operating characteristic curve |
| BTV | Biological tumor volume |
| CRT | Chemoradiotherapy |
| CXCR4 | C-X-C chemokine receptor type 4 |
| DL | DerSimonian–Laird (random-effects model) |
| DSC-PWI | Dynamic susceptibility contrast perfusion-weighted imaging |
| EANM | European Association of Nuclear Medicine |
| EANO | European Association of Neuro-Oncology |
| EARL | EANM Research Ltd. (PET harmonization initiative) |
| EGFRvIII | Epidermal growth factor receptor variant III |
| FACBC | (18F-fluciclovine) Anti-1-amino-3-18F-fluorocyclobutane-1-carboxylic acid |
| FAZA | (18F-FAZA) Fluoroazomycin arabinoside PET tracer |
| FDG | (18F-FDG) 2-Deoxy-2-[18F]fluoro-D-glucose |
| FDOPA | (18F-FDOPA) 6-[18F]fluoro-L-3,4-dihydroxyphenylalanine |
| FET | (18F-FET) O-(2-[18F]fluoroethyl)-L-tyrosine |
| FGln | (18F-FGln) (2S,4R)-4-[18F]-fluoroglutamine |
| FMISO | (18F-FMISO) Fluoromisonidazole |
| FSPG | (18F-FSPG) 4-[18F]-fluoropropyl-L-glutamate (system x_c− (xCT/SLC7A11)) |
| GBM | Glioblastoma |
| HGG | High-grade glioma (WHO grade III–IV) |
| HK | Hartung–Knapp adjustment (random-effects) |
| HK2 | Hexokinase-2 |
| HR | Hazard ratio |
| HR-MAS | High-resolution magic-angle spinning (1H-NMR spectroscopy) |
| HSROC | Hierarchical summary receiver operating characteristic |
| IBSI | Image Biomarker Standardisation Initiative |
| IDH | Isocitrate dehydrogenase |
| IQR | Interquartile range |
| L/N ratio | Lesion-to-normal brain uptake ratio |
| LAT1 | L-type amino acid transporter 1 |
| MALDI-MSI | Matrix-assisted laser desorption/ionization mass-spectrometry imaging |
| MGMT | O6-methylguanine-DNA methyltransferase |
| MRI | Magnetic resonance imaging |
| MSI | Mass-spectrometry imaging |
| MTV | Metabolic tumor volume |
| nCBV | Normalized cerebral blood volume |
| OS | Overall survival |
| PET | Positron emission tomography |
| PET/CT | Positron emission tomography/computed tomography |
| PET/MR | Positron emission tomography/magnetic resonance |
| PFS | Progression-free survival |
| PI | Prediction interval |
| PSMA | Prostate-specific membrane antigen |
| PsP | Pseudoprogression |
| QUADAS-2 | Quality Assessment of Diagnostic Accuracy Studies tool (version 2) |
| QUIPS | Quality in Prognosis Studies tool |
| RANO | Response Assessment in Neuro-Oncology |
| REML | Restricted maximum likelihood (random-effects estimator) |
| RN | Radiation necrosis |
| ROI | Region of interest |
| Se | Sensitivity |
| SNMMI | Society of Nuclear Medicine and Molecular Imaging |
| Sp | Specificity |
| SPECT | Single-photon emission computed tomography |
| SSTR | Somatostatin receptor |
| SUV | Standardized uptake value |
| SUVmax | Maximum standardized uptake value |
| TBR | Tumor-to-background ratio |
| TBRmean | Mean tumor-to-background ratio |
| TERT | Telomerase reverse transcriptase |
| TLG | Total lesion glycolysis |
| TRC | Treatment-related change(s) |
| TRIPOD-AI | Transparent Reporting of a multivariable prediction model for Individual Prognosis Or Diagnosis—Artificial Intelligence extension |
| TTP | Time-to-peak (dynamic PET) |
| WHO | World Health Organization |
References
- Miller, K.D.; Ostrom, Q.T.; Kruchko, C.; Patil, N.; Tihan, T.; Cioffi, G.; Fuchs, H.E.; Waite, K.A.; Jemal, A.; Siegel, R.L.; et al. Brain and other central nervous system tumor statistics, 2021. CA Cancer J. Clin. 2021, 71, 381–406. [Google Scholar] [CrossRef] [PubMed]
- Brandsma, D.; van den Bent, M.J. Pseudoprogression and pseudoresponse in the treatment of gliomas. Curr. Opin. Neurol. 2009, 22, 633–638. [Google Scholar] [CrossRef]
- Binneboese, A.; Covington, M.F.; Horn, K.P.; Archibald, Z.G.; Boucher, K.M.; Morton, K.A.; Hoffman, J.M. Correlation between FDG-PET uptake and survival in patients with primary brain tumors. Am. J. Nucl. Med. Mol. Imaging 2021, 11, 196–206. [Google Scholar]
- Tralins, K.S.; Douglas, J.G.; Stelzer, K.J.; Mankoff, D.A.; Silbergeld, D.L.; Rostomily, R.C.; Hummel, S.; Scharnhorst, J.; Krohn, K.A.; Spence, A.M. Volumetric analysis of 18F-FDG PET in glioblastoma multiforme: Prognostic information and possible role in definition of target volumes in radiation dose escalation. J. Nucl. Med. 2002, 43, 1667–1673. [Google Scholar]
- Habermeier, A.; Graf, J.; Sandhofer, B.F.; Boissel, J.P.; Roesch, F.; Closs, E.I. System L amino acid transporter LAT1 accumulates O-(2-fluoroethyl)-L-tyrosine (FET). Amino Acids 2015, 47, 335–344. [Google Scholar] [CrossRef]
- Todeschi, J.; Bund, C.; Cebula, H.; Chibbaro, S.; Lhermitte, B.; Pin, Y.; Lefebvre, F.; Namer, I.J.; Proust, F. Diagnostic value of fusion of metabolic and structural images for stereotactic biopsy of brain tumors without enhancement after contrast medium injection. Neurochirurgie 2019, 65, 357–364. [Google Scholar] [CrossRef]
- Kunz, M.; Thon, N.; Eigenbrod, S.; Hartmann, C.; Egensperger, R.; Herms, J.; Geisler, J.; la Fougere, C.; Lutz, J.; Linn, J.; et al. Hot spots in dynamic (18)FET-PET delineate malignant tumor parts within suspected WHO grade II gliomas. Neuro Oncol. 2011, 13, 307–316. [Google Scholar] [CrossRef]
- Piroth, M.D.; Pinkawa, M.; Holy, R.; Klotz, J.; Nussen, S.; Stoffels, G.; Coenen, H.H.; Kaiser, H.J.; Langen, K.J.; Eble, M.J. Prognostic value of early [18F]fluoroethyltyrosine positron emission tomography after radiochemotherapy in glioblastoma multiforme. Int. J. Radiat. Oncol. Biol. Phys. 2011, 80, 176–184. [Google Scholar] [CrossRef]
- Mapelli, P.; Callea, M.; Fallanca, F.; Castellano, A.; Bailo, M.; Scifo, P.; Bettinardi, V.; Conte, G.M.; Monterisi, C.; Rancoita, P.M.V.; et al. 18F-FAZA PET/CT in pretreatment assessment of hypoxic status in high-grade glioma: Correlation with hypoxia immunohistochemical biomarkers. Nucl. Med. Commun. 2021, 42, 763–771. [Google Scholar] [CrossRef] [PubMed]
- Mapelli, P.; Picchio, M. 18F-FAZA PET imaging in tumor hypoxia: A focus on high-grade glioma. Int. J. Biol. Markers 2020, 35, 42–46. [Google Scholar] [CrossRef] [PubMed]
- Gerstner, E.R.; Zhang, Z.; Fink, J.R.; Muzi, M.; Hanna, L.; Greco, E.; Prah, M.; Schmainda, K.M.; Mintz, A.; Kostakoglu, L.; et al. ACRIN 6684: Assessment of Tumor Hypoxia in Newly Diagnosed Glioblastoma Using 18F-FMISO PET and MRI. Clin. Cancer Res. 2016, 22, 5079–5086. [Google Scholar] [CrossRef]
- Lapa, C.; Luckerath, K.; Kleinlein, I.; Monoranu, C.M.; Linsenmann, T.; Kessler, A.F.; Rudelius, M.; Kropf, S.; Buck, A.K.; Ernestus, R.I.; et al. (68)Ga-Pentixafor-PET/CT for Imaging of Chemokine Receptor 4 Expression in Glioblastoma. Theranostics 2016, 6, 428–434. [Google Scholar] [CrossRef] [PubMed]
- Verma, P.; Singh, B.K.; Sudhan, M.D.; Singh, R.K.; Bagul, S.D.; Chandak, A.R.; Soni, B.K.; Shelly, D.; Basu, S. 68 Ga-PSMA-11 PET/CT Imaging in Brain Gliomas and Its Correlation With Clinicopathological Prognostic Parameters. Clin. Nucl. Med. 2023, 48, e559–e563. [Google Scholar] [CrossRef]
- Holzgreve, A.; Biczok, A.; Ruf, V.C.; Liesche-Starnecker, F.; Steiger, K.; Kirchner, M.A.; Unterrainer, M.; Mittlmeier, L.; Herms, J.; Schlegel, J.; et al. PSMA Expression in Glioblastoma as a Basis for Theranostic Approaches: A Retrospective, Correlational Panel Study Including Immunohistochemistry, Clinical Parameters and PET Imaging. Front. Oncol. 2021, 11, 646387. [Google Scholar] [CrossRef] [PubMed]
- Cheng, L.L.; Anthony, D.C.; Comite, A.R.; Black, P.M.; Tzika, A.A.; Gonzalez, R.G. Quantification of microheterogeneity in glioblastoma multiforme with ex vivo high-resolution magic-angle spinning (HRMAS) proton magnetic resonance spectroscopy. Neuro Oncol. 2000, 2, 87–95. [Google Scholar] [CrossRef] [PubMed]
- Kampa, J.M.; Kellner, U.; Marsching, C.; Ramallo Guevara, C.; Knappe, U.J.; Sahin, M.; Giampa, M.; Niehaus, K.; Bednarz, H. Glioblastoma multiforme: Metabolic differences to peritumoral tissue and IDH-mutated gliomas revealed by mass spectrometry imaging. Neuropathology 2020, 40, 546–558. [Google Scholar] [CrossRef]
- Elkhaled, A.; Jalbert, L.E.; Phillips, J.J.; Yoshihara, H.A.I.; Parvataneni, R.; Srinivasan, R.; Bourne, G.; Berger, M.S.; Chang, S.M.; Cha, S.; et al. Magnetic resonance of 2-hydroxyglutarate in IDH1-mutated low-grade gliomas. Sci. Transl. Med. 2012, 4, 116ra5. [Google Scholar] [CrossRef]
- Song, S.; Cheng, Y.; Ma, J.; Wang, L.; Dong, C.; Wei, Y.; Xu, G.; An, Y.; Qi, Z.; Lin, Q.; et al. Simultaneous FET-PET and contrast-enhanced MRI based on hybrid PET/MR improves delineation of tumor spatial biodistribution in gliomas: A biopsy validation study. Eur. J. Nucl. Med. Mol. Imaging 2020, 47, 1458–1467. [Google Scholar] [CrossRef]
- Mauler, J.; Lohmann, P.; Maudsley, A.A.; Sheriff, S.; Hoevels, M.; Meissner, A.K.; Hamisch, C.; Brunn, A.; Deckert, M.; Filss, C.P.; et al. Diagnostic Accuracy of MR Spectroscopic Imaging and (18)F-FET PET for Identifying Glioma: A Biopsy-Controlled Hybrid PET/MRI Study. J. Nucl. Med. 2024, 65, 16–21. [Google Scholar] [CrossRef]
- Galldiks, N.; Lohmann, P.; Aboian, M.; Barajas, R.F., Jr.; Breen, W.G.; Ivanidze, J.; Johnson, D.R.; Kaufmann, T.J.; Kim, M.M.; Mair, M.J.; et al. Update to the RANO working group and EANO recommendations for the clinical use of PET imaging in gliomas. Lancet Oncol. 2025, 26, e436–e447. [Google Scholar] [CrossRef]
- Law, I.; Albert, N.L.; Arbizu, J.; Boellaard, R.; Drzezga, A.; Galldiks, N.; la Fougere, C.; Langen, K.J.; Lopci, E.; Lowe, V.; et al. Joint EANM/EANO/RANO practice guidelines/SNMMI procedure standards for imaging of gliomas using PET with radiolabelled amino acids and [(18)F]FDG: Version 1.0. Eur. J. Nucl. Med. Mol. Imaging 2019, 46, 540–557. [Google Scholar] [CrossRef] [PubMed]
- Shahzadi, I.; Seidlitz, A.; Beuthien-Baumann, B.; Zwanenburg, A.; Platzek, I.; Kotzerke, J.; Baumann, M.; Krause, M.; Troost, E.G.C.; Lock, S. Radiomics for residual tumour detection and prognosis in newly diagnosed glioblastoma based on postoperative [(11)C] methionine PET and T1c-w MRI. Sci. Rep. 2024, 14, 4576. [Google Scholar] [CrossRef]
- Pellerin, A.; Khalife, M.; Sanson, M.; Rozenblum-Beddok, L.; Bertaux, M.; Soret, M.; Galanaud, D.; Dormont, D.; Kas, A.; Pyatigorskaya, N. Simultaneously acquired PET and ASL imaging biomarkers may be helpful in differentiating progression from pseudo-progression in treated gliomas. Eur. Radiol. 2021, 31, 7395–7405. [Google Scholar] [CrossRef]
- Nabavizadeh, A.; Bagley, S.J.; Doot, R.K.; Ware, J.B.; Young, A.J.; Ghodasara, S.; Zhao, C.; Anderson, H.; Schubert, E.; Carpenter, E.L.; et al. Distinguishing Progression from Pseudoprogression in Glioblastoma Using (18)F-Fluciclovine PET. J. Nucl. Med. 2023, 64, 852–858. [Google Scholar] [CrossRef]
- Herrmann, K.; Czernin, J.; Cloughesy, T.; Lai, A.; Pomykala, K.L.; Benz, M.R.; Buck, A.K.; Phelps, M.E.; Chen, W. Comparison of visual and semiquantitative analysis of 18F-FDOPA-PET/CT for recurrence detection in glioblastoma patients. Neuro Oncol. 2014, 16, 603–609. [Google Scholar] [CrossRef]
- Karunanithi, S.; Sharma, P.; Kumar, A.; Khangembam, B.C.; Bandopadhyaya, G.P.; Kumar, R.; Goenka, A.; Gupta, D.K.; Malhotra, A.; Bal, C. Comparative diagnostic accuracy of contrast-enhanced MRI and (18)F-FDOPA PET-CT in recurrent glioma. Eur. Radiol. 2013, 23, 2628–2635. [Google Scholar] [CrossRef]
- Khangembam, B.C.; Karunanithi, S.; Sharma, P.; Kc, S.S.; Kumar, R.; Julka, P.K.; Kumar, R.; Bal, C. Perfusion-metabolism coupling in recurrent gliomas: A prospective validation study with 13N-ammonia and 18F-fluorodeoxyglucose PET/CT. Neuroradiology 2014, 56, 893–902. [Google Scholar] [CrossRef] [PubMed]
- Jansen, N.L.; Suchorska, B.; Wenter, V.; Schmid-Tannwald, C.; Todica, A.; Eigenbrod, S.; Niyazi, M.; Tonn, J.C.; Bartenstein, P.; Kreth, F.W.; et al. Prognostic significance of dynamic 18F-FET PET in newly diagnosed astrocytic high-grade glioma. J. Nucl. Med. 2015, 56, 9–15. [Google Scholar] [CrossRef] [PubMed]
- Rozenblum, L.; Zaragori, T.; Tran, S.; Morales-Martinez, A.; Taillandier, L.; Blonski, M.; Rech, F.; Galanaud, D.; Kas, A.; Verger, A. Differentiating high-grade glioma progression from treatment-related changes with dynamic [(18)F]FDOPA PET: A multicentric study. Eur. Radiol. 2023, 33, 2548–2560. [Google Scholar] [CrossRef]
- Miller, S.; Li, P.; Schipper, M.; Junck, L.; Piert, M.; Lawrence, T.S.; Tsien, C.; Cao, Y.; Kim, M.M. Metabolic Tumor Volume Response Assessment Using (11)C-Methionine Positron Emission Tomography Identifies Glioblastoma Tumor Subregions That Predict Progression Better Than Baseline or Anatomic Magnetic Resonance Imaging Alone. Adv. Radiat. Oncol. 2020, 5, 53–61. [Google Scholar] [CrossRef]
- Huang, S.; Michalek, J.E.; Reardon, D.A.; Wen, P.Y.; Floyd, J.R.; Fox, P.T.; Clarke, G.D.; Jerabek, P.A.; Schmainda, K.M.; Muzi, M.; et al. Assessment of tumor hypoxia and perfusion in recurrent glioblastoma following bevacizumab failure using MRI and (18)F-FMISO PET. Sci. Rep. 2021, 11, 7632. [Google Scholar] [CrossRef]
- Colavolpe, C.; Chinot, O.; Metellus, P.; Mancini, J.; Barrie, M.; Bequet-Boucard, C.; Tabouret, E.; Mundler, O.; Figarella-Branger, D.; Guedj, E. FDG-PET predicts survival in recurrent high-grade gliomas treated with bevacizumab and irinotecan. Neuro Oncol. 2012, 14, 649–657. [Google Scholar] [CrossRef]
- Leiva-Salinas, C.; Schiff, D.; Flors, L.; Patrie, J.T.; Rehm, P.K. FDG PET/MR Imaging Coregistration Helps Predict Survival in Patients with Glioblastoma and Radiologic Progression after Standard of Care Treatment. Radiology 2017, 283, 508–514. [Google Scholar] [CrossRef] [PubMed]
- Chiang, G.C.; Galla, N.; Ferraro, R.; Kovanlikaya, I. The Added Prognostic Value of Metabolic Tumor Size on FDG-PET at First Suspected Recurrence of Glioblastoma Multiforme. J. Neuroimaging 2017, 27, 243–247. [Google Scholar] [CrossRef] [PubMed]
- Graham, M.S.; Krebs, S.; Bale, T.; Domfe, K.; Lobaugh, S.M.; Zhang, Z.; Dunphy, M.P.; Kaley, T.; Young, R.J. Value of [(18)F]-FDG positron emission tomography in patients with recurrent glioblastoma receiving bevacizumab. Neurooncol Adv. 2020, 2, vdaa050. [Google Scholar] [CrossRef] [PubMed]
- Suchorska, B.; Jansen, N.L.; Linn, J.; Kretzschmar, H.; Janssen, H.; Eigenbrod, S.; Simon, M.; Popperl, G.; Kreth, F.W.; la Fougere, C.; et al. Biological tumor volume in 18FET-PET before radiochemotherapy correlates with survival in GBM. Neurology 2015, 84, 710–719. [Google Scholar] [CrossRef]
- Bauer, E.K.; Stoffels, G.; Blau, T.; Reifenberger, G.; Felsberg, J.; Werner, J.M.; Lohmann, P.; Rosen, J.; Ceccon, G.; Tscherpel, C.; et al. Prediction of survival in patients with IDH-wildtype astrocytic gliomas using dynamic O-(2-[(18)F]-fluoroethyl)-L-tyrosine PET. Eur. J. Nucl. Med. Mol. Imaging 2020, 47, 1486–1495. [Google Scholar] [CrossRef]
- Wirsching, H.G.; Roelcke, U.; Weller, J.; Hundsberger, T.; Hottinger, A.F.; von Moos, R.; Caparrotti, F.; Conen, K.; Remonda, L.; Roth, P.; et al. MRI and (18)FET-PET Predict Survival Benefit from Bevacizumab Plus Radiotherapy in Patients with Isocitrate Dehydrogenase Wild-type Glioblastoma: Results from the Randomized ARTE Trial. Clin. Cancer Res. 2021, 27, 179–188. [Google Scholar] [CrossRef]
- Zhao, F.; Cui, Y.; Li, M.; Fu, Z.; Chen, Z.; Kong, L.; Yang, G.; Yu, J. Prognostic value of 3′-deoxy-3′-18F-fluorothymidine ([(18)F] FLT PET) in patients with recurrent malignant gliomas. Nucl. Med. Biol. 2014, 41, 710–715. [Google Scholar] [CrossRef]
- Bai, J.; Cui, B.; Li, F.; Han, X.; Yang, H.; Lu, J. Multiparametric radiomics signature for predicting molecular genotypes in adult-type diffuse gliomas utilizing (18)F-FET PET/MRI. BMC Med. Imaging 2025, 25, 187. [Google Scholar] [CrossRef]
- Kaiser, L.; Quach, S.; Zounek, A.J.; Wiestler, B.; Zatcepin, A.; Holzgreve, A.; Bollenbacher, A.; Bartos, L.M.; Ruf, V.C.; Boning, G.; et al. Enhancing predictability of IDH mutation status in glioma patients at initial diagnosis: A comparative analysis of radiomics from MRI, [(18)F]FET PET, and TSPO PET. Eur. J. Nucl. Med. Mol. Imaging 2024, 51, 2371–2381. [Google Scholar] [CrossRef]
- Lohmeier, J.; Radbruch, H.; Brenner, W.; Hamm, B.; Tietze, A.; Makowski, M.R. Predictive IDH Genotyping Based on the Evaluation of Spatial Metabolic Heterogeneity by Compartmental Uptake Characteristics in Preoperative Glioma Using (18)F-FET PET. J. Nucl. Med. 2023, 64, 1683–1689. [Google Scholar] [CrossRef] [PubMed]
- Zaragori, T.; Oster, J.; Roch, V.; Hossu, G.; Chawki, M.B.; Grignon, R.; Pouget, C.; Gauchotte, G.; Rech, F.; Blonski, M.; et al. (18)F-FDOPA PET for the Noninvasive Prediction of Glioma Molecular Parameters: A Radiomics Study. J. Nucl. Med. 2022, 63, 147–157. [Google Scholar] [CrossRef]
- Zaragori, T.; Doyen, M.; Rech, F.; Blonski, M.; Taillandier, L.; Imbert, L.; Verger, A. Dynamic (18)F-FDopa PET Imaging for Newly Diagnosed Gliomas: Is a Semiquantitative Model Sufficient? Front. Oncol. 2021, 11, 735257. [Google Scholar] [CrossRef]
- Zhou, W.; Wen, J.; Huang, Q.; Zeng, Y.; Zhou, Z.; Zhu, Y.; Chen, L.; Guan, Y.; Xie, F.; Zhuang, D.; et al. Development and validation of clinical-radiomics analysis for preoperative prediction of IDH mutation status and WHO grade in diffuse gliomas: A consecutive L-[methyl-11C] methionine cohort study with two PET scanners. Eur. J. Nucl. Med. Mol. Imaging 2024, 51, 1423–1435. [Google Scholar] [CrossRef]
- Nakajo, K.; Uda, T.; Kawashima, T.; Terakawa, Y.; Ishibashi, K.; Tsuyuguchi, N.; Tanoue, Y.; Nagahama, A.; Uda, H.; Koh, S.; et al. Diagnostic Performance of [(11)C]Methionine Positron Emission Tomography in Newly Diagnosed and Untreated Glioma Based on the Revised World Health Organization 2016 Classification. World Neurosurg. 2021, 148, e471–e481. [Google Scholar] [CrossRef] [PubMed]
- Song, S.; Wang, L.; Yang, H.; Shan, Y.; Cheng, Y.; Xu, L.; Dong, C.; Zhao, G.; Lu, J. Static (18)F-FET PET and DSC-PWI based on hybrid PET/MR for the prediction of gliomas defined by IDH and 1p/19q status. Eur. Radiol. 2021, 31, 4087–4096. [Google Scholar] [CrossRef]
- Lan, C.; Li, H.; Wang, L.; Zhang, J.; Wang, X.; Zhang, R.; Yuan, X.; Wu, T.; Wu, J.; Lu, M.; et al. Absolute quantification of 2-hydroxyglutarate on tissue by matrix-assisted laser desorption/ionization mass spectrometry imaging for rapid and precise identification of isocitrate dehydrogenase mutations in human glioma. Int. J. Cancer 2021, 149, 2091–2098. [Google Scholar] [CrossRef] [PubMed]
- Chen, W.; Lou, H.; Zhang, H.; Nie, X.; Lan, W.; Yang, Y.; Xiang, Y.; Qi, J.; Lei, H.; Tang, H.; et al. Grade classification of neuroepithelial tumors using high-resolution magic-angle spinning proton nuclear magnetic resonance spectroscopy and pattern recognition. Sci. China Life Sci. 2011, 54, 606–616. [Google Scholar] [CrossRef]
- Longuespee, R.; Wefers, A.K.; De Vita, E.; Miller, A.K.; Reuss, D.E.; Wick, W.; Herold-Mende, C.; Kriegsmann, M.; Schirmacher, P.; von Deimling, A.; et al. Rapid detection of 2-hydroxyglutarate in frozen sections of IDH mutant tumors by MALDI-TOF mass spectrometry. Acta Neuropathol. Commun. 2018, 6, 21. [Google Scholar] [CrossRef]
- Poulsen, S.H.; Urup, T.; Grunnet, K.; Christensen, I.J.; Larsen, V.A.; Jensen, M.L.; Af Rosenschold, P.M.; Poulsen, H.S.; Law, I. The prognostic value of FET PET at radiotherapy planning in newly diagnosed glioblastoma. Eur. J. Nucl. Med. Mol. Imaging 2017, 44, 373–381. [Google Scholar] [CrossRef]
- Rosen, J.; Stoffels, G.; Lohmann, P.; Bauer, E.K.; Werner, J.M.; Wollring, M.; Rapp, M.; Felsberg, J.; Kocher, M.; Fink, G.R.; et al. Prognostic value of pre-irradiation FET PET in patients with not completely resectable IDH-wildtype glioma and minimal or absent contrast enhancement. Sci. Rep. 2021, 11, 20828. [Google Scholar] [CrossRef]
- Zhang, Q.; Gao, X.; Wei, G.; Qiu, C.; Qu, H.; Zhou, X. Prognostic Value of MTV, SUVmax and the T/N Ratio of PET/CT in Patients with Glioma: A Systematic Review and Meta-Analysis. J. Cancer 2019, 10, 1707–1716. [Google Scholar] [CrossRef]
- Mauler, J.; Maudsley, A.A.; Langen, K.J.; Nikoubashman, O.; Stoffels, G.; Sheriff, S.; Lohmann, P.; Filss, C.; Galldiks, N.; Kops, E.R.; et al. Spatial Relationship of Glioma Volume Derived from (18)F-FET PET and Volumetric MR Spectroscopy Imaging: A Hybrid PET/MRI Study. J. Nucl. Med. 2018, 59, 603–609. [Google Scholar] [CrossRef]
- Gandia-Gonzalez, M.L.; Cerdan, S.; Barrios, L.; Lopez-Larrubia, P.; Feijoo, P.G.; Palpan, A., Jr.; Roda, J.M.; Solivera, J. Assessment of Overall Survival in Glioma Patients as Predicted by Metabolomic Criteria. Front. Oncol. 2019, 9, 328. [Google Scholar] [CrossRef]
- Liu, H.; Liu, N.; Cheng, Y.; Jin, W.; Zhang, P.; Wang, X.; Yang, H.; Xu, X.; Wang, Z.; Tu, Y. Hexokinase 2 (HK2), the tumor promoter in glioma, is downregulated by miR-218/Bmi1 pathway. PLoS ONE 2017, 12, e0189353. [Google Scholar] [CrossRef] [PubMed]
- Vartanian, A.; Agnihotri, S.; Wilson, M.R.; Burrell, K.E.; Tonge, P.D.; Alamsahebpour, A.; Jalali, S.; Taccone, M.S.; Mansouri, S.; Golbourn, B.; et al. Targeting hexokinase 2 enhances response to radio-chemotherapy in glioblastoma. Oncotarget 2016, 7, 69518–69535. [Google Scholar] [CrossRef]
- Pucci, G.; Minafra, L.; Bravata, V.; Calvaruso, M.; Turturici, G.; Cammarata, F.P.; Savoca, G.; Abbate, B.; Russo, G.; Cavalieri, V.; et al. Glut-3 Gene Knockdown as a Potential Strategy to Overcome Glioblastoma Radioresistance. Int. J. Mol. Sci. 2024, 25, 2079. [Google Scholar] [CrossRef] [PubMed]
- Liu, X.; Cao, Z.; Wang, W.; Zou, C.; Wang, Y.; Pan, L.; Jia, B.; Zhang, K.; Zhang, W.; Li, W.; et al. Engineered Extracellular Vesicle-Delivered CRISPR/Cas9 for Radiotherapy Sensitization of Glioblastoma. ACS Nano 2023, 17, 16432–16447. [Google Scholar] [CrossRef] [PubMed]
- Zhu, G.D.; Yu, J.; Sun, Z.Y.; Chen, Y.; Zheng, H.M.; Lin, M.L.; Ou-Yang, S.; Liu, G.L.; Zhang, J.W.; Shao, F.M. Genome-wide CRISPR/Cas9 screening identifies CARHSP1 responsible for radiation resistance in glioblastoma. Cell Death Dis. 2021, 12, 724. [Google Scholar] [CrossRef]
- Dev, I.D.; Puranik, A.D.; Purandare, N.C.; Gupta, T.; Sridhar, E.; Shetty, P.; Moiyadi, A.; Agrawal, A.; Shah, S.; Rangarajan, V. Prognostic significance of 18F-FDG PET/CT parameters in IDH-1 wild-type GBM and correlation with molecular markers. Nucl. Med. Commun. 2021, 42, 1233–1238. [Google Scholar] [CrossRef] [PubMed]
- Izquierdo-Garcia, J.L.; Viswanath, P.; Eriksson, P.; Cai, L.; Radoul, M.; Chaumeil, M.M.; Blough, M.; Luchman, H.A.; Weiss, S.; Cairncross, J.G.; et al. IDH1 Mutation Induces Reprogramming of Pyruvate Metabolism. Cancer Res. 2015, 75, 2999–3009. [Google Scholar] [CrossRef]
- Masui, K.; Tanaka, K.; Ikegami, S.; Villa, G.R.; Yang, H.; Yong, W.H.; Cloughesy, T.F.; Yamagata, K.; Arai, N.; Cavenee, W.K.; et al. Glucose-dependent acetylation of Rictor promotes targeted cancer therapy resistance. Proc. Natl. Acad. Sci. USA 2015, 112, 9406–9411. [Google Scholar] [CrossRef] [PubMed]
- Mashimo, T.; Pichumani, K.; Vemireddy, V.; Hatanpaa, K.J.; Singh, D.K.; Sirasanagandla, S.; Nannepaga, S.; Piccirillo, S.G.; Kovacs, Z.; Foong, C.; et al. Acetate is a bioenergetic substrate for human glioblastoma and brain metastases. Cell 2014, 159, 1603–1614. [Google Scholar] [CrossRef] [PubMed]
- Ahrari, S.; Zaragori, T.; Bros, M.; Oster, J.; Imbert, L.; Verger, A. Implementing the Point Spread Function Deconvolution for Better Molecular Characterization of Newly Diagnosed Gliomas: A Dynamic (18)F-FDOPA PET Radiomics Study. Cancers 2022, 14, 5765. [Google Scholar] [CrossRef]
- Ouyang, Z.Q.; Zheng, G.R.; Duan, X.R.; Zhang, X.R.; Ke, T.F.; Bao, S.S.; Yang, J.; He, B.; Liao, C.D. Diagnostic accuracy of glioma pseudoprogression identification with positron emission tomography imaging: A systematic review and meta-analysis. Quant. Imaging Med. Surg. 2023, 13, 4943–4959. [Google Scholar] [CrossRef]
- Yu, P.; Wang, Y.; Su, F.; Chen, Y. Comparing [18F]FET PET and [18F]FDOPA PET for glioma recurrence diagnosis: A systematic review and meta-analysis. Front. Oncol. 2023, 13, 1346951. [Google Scholar] [CrossRef]
- Lo Greco, M.C.; Milazzotto, R.; Liardo, R.L.E.; Acquaviva, G.; La Rocca, M.; Altieri, R.; Certo, F.; Barbagallo, G.M.; Basile, A.; Foti, P.V.; et al. Relapsing High-Grade Glioma from Peritumoral Zone: Critical Review of Radiotherapy Treatment Options. Brain Sci. 2022, 12, 416. [Google Scholar] [CrossRef]
- Zwanenburg, A.; Vallieres, M.; Abdalah, M.A.; Aerts, H.; Andrearczyk, V.; Apte, A.; Ashrafinia, S.; Bakas, S.; Beukinga, R.J.; Boellaard, R.; et al. The Image Biomarker Standardization Initiative: Standardized Quantitative Radiomics for High-Throughput Image-based Phenotyping. Radiology 2020, 295, 328–338. [Google Scholar] [CrossRef]
- Jacobs, S.M.; Wesseling, P.; de Keizer, B.; Tolboom, N.; Ververs, F.F.T.; Krijger, G.C.; Westerman, B.A.; Snijders, T.J.; Robe, P.A.; van der Kolk, A.G. CXCR4 expression in glioblastoma tissue and the potential for PET imaging and treatment with [(68)Ga]Ga-Pentixafor /[(177)Lu]Lu-Pentixather. Eur. J. Nucl. Med. Mol. Imaging 2022, 49, 481–491. [Google Scholar] [CrossRef]
- Dunphy, M.P.S.; Harding, J.J.; Venneti, S.; Zhang, H.; Burnazi, E.M.; Bromberg, J.; Omuro, A.M.; Hsieh, J.J.; Mellinghoff, I.K.; Staton, K.; et al. In Vivo PET Assay of Tumor Glutamine Flux and Metabolism: In-Human Trial of (18)F-(2S,4R)-4-Fluoroglutamine. Radiology 2018, 287, 667–675. [Google Scholar] [CrossRef]
- Wardak, M.; Sonni, I.; Fan, A.P.; Minamimoto, R.; Jamali, M.; Hatami, N.; Zaharchuk, G.; Fischbein, N.; Nagpal, S.; Li, G.; et al. (18)F-FSPG PET/CT Imaging of System x(C)(-) Transporter Activity in Patients with Primary and Metastatic Brain Tumors. Radiology 2022, 303, 620–631. [Google Scholar] [CrossRef]
- de Zwart, P.L.; van Dijken, B.R.J.; Holtman, G.A.; Stormezand, G.N.; Dierckx, R.; Jan van Laar, P.; van der Hoorn, A. Diagnostic Accuracy of PET Tracers for the Differentiation of Tumor Progression from Treatment-Related Changes in High-Grade Glioma: A Systematic Review and Metaanalysis. J. Nucl. Med. 2020, 61, 498–504. [Google Scholar] [CrossRef] [PubMed]
- Collins, G.S.; Moons, K.G.M.; Dhiman, P.; Riley, R.D.; Beam, A.L.; Van Calster, B.; Ghassemi, M.; Liu, X.; Reitsma, J.B.; van Smeden, M.; et al. TRIPOD+AI statement: Updated guidance for reporting clinical prediction models that use regression or machine learning methods. BMJ 2024, 385, e078378. [Google Scholar] [CrossRef] [PubMed]
- Aide, N.; Lasnon, C.; Veit-Haibach, P.; Sera, T.; Sattler, B.; Boellaard, R. EANM/EARL harmonization strategies in PET quantification: From daily practice to multicentre oncological studies. Eur. J. Nucl. Med. Mol. Imaging 2017, 44, 17–31. [Google Scholar] [CrossRef]
- Wen, P.Y.; van den Bent, M.; Youssef, G.; Cloughesy, T.F.; Ellingson, B.M.; Weller, M.; Galanis, E.; Barboriak, D.P.; de Groot, J.; Gilbert, M.R.; et al. RANO 2.0: Update to the Response Assessment in Neuro-Oncology Criteria for High- and Low-Grade Gliomas in Adults. J. Clin. Oncol. 2023, 41, 5187–5199. [Google Scholar] [CrossRef] [PubMed]
- Albert, N.L.; Galldiks, N.; Ellingson, B.M.; van den Bent, M.J.; Chang, S.M.; Cicone, F.; de Groot, J.; Koh, E.S.; Law, I.; Le Rhun, E.; et al. PET-based response assessment criteria for diffuse gliomas (PET RANO 1.0): A report of the RANO group. Lancet Oncol. 2024, 25, e29–e41. [Google Scholar] [CrossRef]
- Azimi, M.S.; Cheraghi, M.; MahdiMaleki, F.; MahdiMaleki, F.; Sanaat, A.; Hoilund-Carlsen, P.F.; Alavi, A.; Zaidi, H. Toward standardization: Assessing the reproducibility of radiomics features in partial volume-corrected brain PET images. Neuroimage 2025, 318, 121398. [Google Scholar] [CrossRef]
- Heinzel, A.; Stock, S.; Langen, K.J.; Muller, D. Cost-effectiveness analysis of amino acid PET-guided surgery for supratentorial high-grade gliomas. J. Nucl. Med. 2012, 53, 552–558. [Google Scholar] [CrossRef]
- Rosen, J.; Ceccon, G.; Bauer, E.K.; Werner, J.M.; Tscherpel, C.; Dunkl, V.; Rapp, M.; Sabel, M.; Herrlinger, U.; Heinzel, A.; et al. Cost Effectiveness of (18)F-FET PET for Early Treatment Response Assessment in Glioma Patients After Adjuvant Temozolomide Chemotherapy. J. Nucl. Med. 2022, 63, 1677–1682. [Google Scholar] [CrossRef]
- Okano, N.; Naruge, D.; Kawai, K.; Kobayashi, T.; Nagashima, F.; Endou, H.; Furuse, J. First-in-human phase I study of JPH203, an L-type amino acid transporter 1 inhibitor, in patients with advanced solid tumors. Investig. New Drugs 2020, 38, 1495–1506. [Google Scholar] [CrossRef] [PubMed]
- Chen, Z.; Liu, H.; Yang, A.; Liao, J.; Wu, Z.; Chen, J.; Miao, W. 68 Ga-Pentixafor PET in Combination With MRI Improves the Differential Diagnosis of Glioblastoma and Primary Central Nervous System Lymphoma. Clin. Nucl. Med. 2025, 50, 324–331. [Google Scholar] [CrossRef] [PubMed]
- Mair, M.J.; Lohmann, P.; Galldiks, N.; Belting, M.; Brandal, P.; Broen, M.P.G.; Cicone, F.; Daisne, J.F.; Ducray, F.; Ehret, F.; et al. Availability and use of PET in patients with brain tumours—A European Organisation for Research and Treatment of Cancer—Brain Tumour Group (EORTC-BTG) survey. Eur. J. Nucl. Med. Mol. Imaging 2025, 52, 4627–4638. [Google Scholar] [CrossRef]
- Heinzel, A.; Stock, S.; Langen, K.J.; Muller, D. Cost-effectiveness analysis of FET PET-guided target selection for the diagnosis of gliomas. Eur. J. Nucl. Med. Mol. Imaging 2012, 39, 1089–1096. [Google Scholar] [CrossRef] [PubMed]


| First Author (Year) | Tracer | Endpoint | N | TP | FP | FN | TN | Sensitivity | Specificity |
|---|---|---|---|---|---|---|---|---|---|
| Pellerin (2021) [23] | 18F-FDOPA | PsP vs. progression (HGG, per-patient) | 48 | 29 | 3 | 2 | 14 | 0.935 | 0.824 |
| Nabavizadeh (2023) [24] | 18F-FACBC | PsP vs. progression (HGG/GBM, per-patient) | 28 | 21 | 1 | 1 | 5 | 0.955 | 0.833 |
| AA-PET pooled | FDOPA + FACBC | PsP vs. progression (per-patient) | 76 | 50 | 4 | 3 | 19 | 0.943 | 0.826 |
| First Author (Year) | Tracer | Endpoint | N | TP | FP | FN | TN | Sensitivity | Specificity |
|---|---|---|---|---|---|---|---|---|---|
| Herrmann (2014) [25] | 18F-FDOPA | Recurrence/progression vs. TRC (HGG, per-patient) | 110 | 69 | 8 | 12 | 21 | 0.852 | 0.724 |
| Karunanithi (2013) [26] | 18F-FDOPA | Recurrence/progression vs. TRC (HGG, per-patient) | 24 | 18 | 0 | 0 | 6 | 1.0 | 1.0 |
| Khangembam (2014) [27] | 18F-FDG | Recurrence/progression vs. TRC (HGG, per-patient) | 18 | 7 | 3 | 2 | 6 | 0.778 | 0.667 |
| Khangembam (2014) [27] | 13N–NH3 | Recurrence/progression vs. TRC (HGG, per-patient) | 18 | 7 | 3 | 2 | 6 | 0.778 | 0.667 |
| FDOPA pooled | 18F-FDOPA | Recurrence/progression vs. TRC (HGG, per-patient) | 134 | 87 | 8 | 12 | 27 | 0.879 | 0.771 |
Disclaimer/Publisher’s Note: The statements, opinions and data contained in all publications are solely those of the individual author(s) and contributor(s) and not of MDPI and/or the editor(s). MDPI and/or the editor(s) disclaim responsibility for any injury to people or property resulting from any ideas, methods, instructions or products referred to in the content. |
© 2025 by the authors. Licensee MDPI, Basel, Switzerland. This article is an open access article distributed under the terms and conditions of the Creative Commons Attribution (CC BY) license.
Share and Cite
Todeschi, J.; Cebula, H.; Bund, C.; Namer, I.-J. Metabolic Heterogeneity in High-Grade Glioma Assessed by Multi-Tracer PET and Ex Vivo Metabolomics: A Systematic Review and Meta-Analysis. Metabolites 2026, 16, 17. https://doi.org/10.3390/metabo16010017
Todeschi J, Cebula H, Bund C, Namer I-J. Metabolic Heterogeneity in High-Grade Glioma Assessed by Multi-Tracer PET and Ex Vivo Metabolomics: A Systematic Review and Meta-Analysis. Metabolites. 2026; 16(1):17. https://doi.org/10.3390/metabo16010017
Chicago/Turabian StyleTodeschi, Julien, Hélène Cebula, Caroline Bund, and Izzie-Jacques Namer. 2026. "Metabolic Heterogeneity in High-Grade Glioma Assessed by Multi-Tracer PET and Ex Vivo Metabolomics: A Systematic Review and Meta-Analysis" Metabolites 16, no. 1: 17. https://doi.org/10.3390/metabo16010017
APA StyleTodeschi, J., Cebula, H., Bund, C., & Namer, I.-J. (2026). Metabolic Heterogeneity in High-Grade Glioma Assessed by Multi-Tracer PET and Ex Vivo Metabolomics: A Systematic Review and Meta-Analysis. Metabolites, 16(1), 17. https://doi.org/10.3390/metabo16010017

