Flavonoids and Sesquiterpene Lactones from Lychnophora ericoides (Arnica-Do-Cerrado) and Their In Vitro Effects on Multiple Myeloma and Acute Myeloid Leukemia
Abstract
1. Introduction
2. Materials and Methods
2.1. Plant Material, Reagents and Experimental Procedures
2.2. Extraction and Isolation
2.3. Analysis of Proliferation and Metabolic Activity
2.4. Statistical Analysis
3. Results
3.1. Isolation and Identification
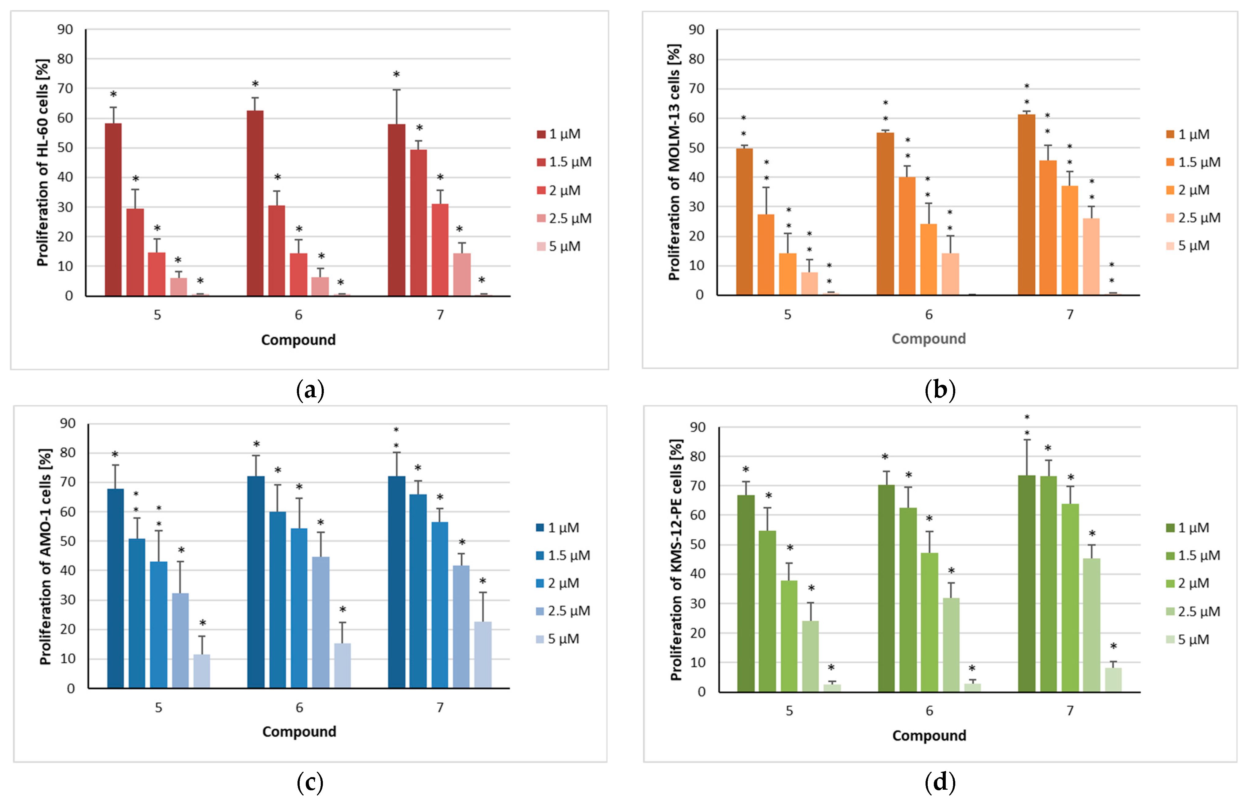
3.2. Antiproliferative Activity
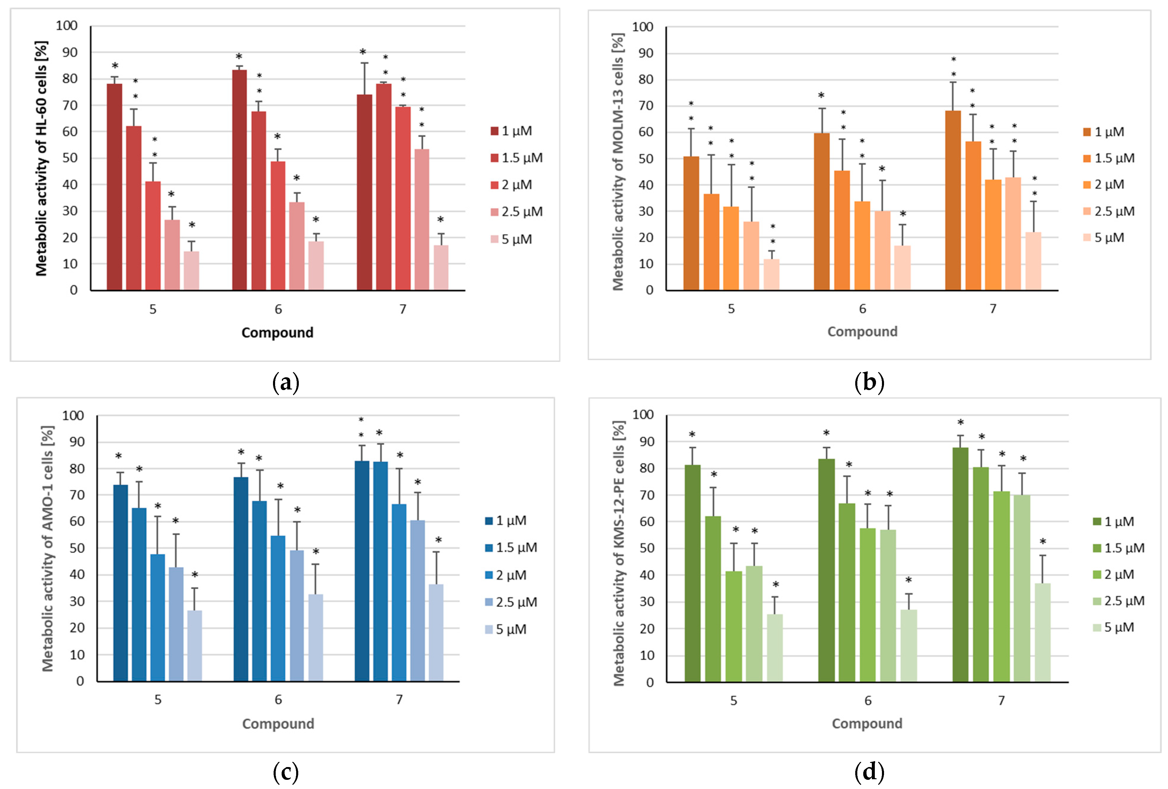
3.3. Metabolic Activity
4. Discussion
5. Conclusions
Author Contributions
Funding
Institutional Review Board Statement
Informed Consent Statement
Data Availability Statement
Acknowledgments
Conflicts of Interest
Appendix A
- Retusin (1): ESIMS (positive) m/z = 739.2 [2M + Na]+ (calcd for C38H36O14Na, 739.2) and m/z = 359.3 [M + H]+ (calcd for C19H19O7, 359.1). 1H NMR (400 MHz, DMSO-d6) δ 7.73 (1H, dd, J = 8.7 and 2.0 Hz, H-6′), 7.66 (1H, d, J = 2.0 Hz, H-5′), 7.17 (1H, d, J = 8.7 Hz, H-2′), 6.81 (1H, d, J = 2.1 Hz, H-8), 6.39 (1H, d, J = 2.1 Hz, H-6), 3.88 (3H, s, OMe-7), 3.86 (3H, s, OMe-4′), 3.86 (3H, s, OMe-3′) 3.83 (3H, s, OMe-3); 13C NMR (100 MHz, DMSO-d6) δ 178.2 (C-4), 165.4 (C-7), 160.9 (C-5), 156.4 (C-9), 155.5 (C-2), 151.3 (C-4′), 148.5 (C-3′), 138.3 (C-3), 122.1 (C-6′), 122.1 (C-1′), 111.6 (C-2′), 111.2 (C-5′), 105.3 (C-10), 97.9 (C-6), 92.5 (C-8), 59.8 (OMe-3), 56.2 (OMe-7) 55.7 (OMe-4′), 55.7 (OMe-3′).
- 7,3′,4′-trimethoxymyricetin (2): ESIMS (positive) m/z = 743.2 [2M + Na]+ (calcd for C36H32O8Na, 743.2) and m/z = 361.3 [M + H]+ (calcd for C18H17O8, 361.1) and ESIMS (negative) m/z = 359.1 [M − H]− (calcd for C18H15O8, 359.1). 1H NMR (400 MHz, DMSO-d6) δ 7.32 (1H, d, J = 2.1 Hz, H-6′), 7.26 (1H, d, J = 2.1 Hz, H-2′), 6.73 (1H, d, J = 2.3 Hz, H-8), 6.36 (1H, J = 2.3 Hz, H-6), 3.86 (3H, s, OMe-7), 3.86 (3H, s, OMe-3′), 3.81 (3H, s, OMe-4′); 13C (100 MHz, DMSO-d6): δ 178.5 (C-4), 165.6 (C-7), 161.4 (C-5), 156.7 (C-9), 156.3 (C-2), 148.6 (C-3′), 146.1 (C-5′), 138.6 (C-4′), 138.4 (C-3), 120.0 (C-1′), 110.2 (C-6′), 105.6 (C-10), 104.6 (C-2′), 98.2 (C-6), 92.8 (C-8), 60.2 (OMe-4′), 56.6 (OMe-7), 56.6 (OMe-3′).
- Diosmetin (3): ESIMS (positive) m/z = 331.2 [M + H]+ (calcd for C17H15O7, 331.1) and ESIMS (negative) m/z = 329.0 [M − H]− (calcd for C17H13O7, 329.1). 1H NMR (400 MHz, DMSO-d6) δ 7.53 (1H, d, J = 2.3 Hz, H-6′), 7.42 (1H, d, J = 2.3 Hz, H-5′), 7.08 (1H, d, J = 8.5 Hz, H-2′), 6.74 (1H, s, H-3), 6.46 (1H, d, J = 2.1 Hz, H-8), 6.20 (1H, d, J = 2.1 Hz, H-6), 3.86 (3H, s, OMe-4′); 13C (100 MHz, DMSO-d6): δ 184.1 (C-4), 164.2 (C-7), 163.5 (C-2), 161.5 (C-9), 157.3 (C-5), 151.1 (C-4′), 146.8 (C-3′), 123.0 (C-1′), 118.7 (C-6′), 113.0 (C-5′), 112.2 (C-2′), 103.5 (C-3), 98.9 (C-6), 93.9 (C-8), 55.8 (OMe-4′).
- 3,7-di-O-methylquercetin (4): ESIMS (positive) m/z = 331.3 [M + H]+ (calcd for C17H15O7, 331.1) and ESIMS (negative) m/z = 329.1 [M − H]− (calcd for C17H13O7, 329.1). 1H NMR (400 MHz, DMSO-d6)δ 7.59 (1H, d, J = 2.3 Hz, H-2′), 7.48 (1H, dd, J = 8.4 and 2.3 Hz, H-6′), 6.91 (1H, d, J = 8.4 Hz, H-5′), 6.70 (1H, d, J = 2.3 Hz, H-8), 6.36 (1H, d, J = 2.3 Hz, H-6), 3.86 (3H, s, OMe-7), 3.80 (3H, s, OMe-3); 13C (100 MHz, DMSO-d6): δ 178.0 (C-4), 165.1 (C-7), 160.9 (C-5), 156.3 (C-9), 156.0 (C-2), 148.9 (C-4′), 145.3 (C-3′), 137.9 (C-3), 120.7 (C-1′), 115.7 (C-5′), 115.5 (C-2′), 105.2 (C-10), 97.7 (C-6), 92.2 (C-8), 59.7 (OMe-3), 56.1 (OMe-7).
- Goyazensolide (5): ESIMS (positive) m/z = 721.2 [2M + H]+ (calcd for C38H41O14, 721.2) and m/z = 361.1 [M + H]+ (calcd for C19H21O7, 721.2) and ESIMS (negative) m/z = 405.3 [M + HCOO]− (calcd for C20H21O9, 405.1) and m/z = 359.0 [M − H]− (calcd for C19H19O7, 359.1). 1H NMR (400 MHz, DMSO-d6) δ 6.14 (1H, d, J = 3.0 Hz, H-5), 6.08 (1H, d, J = 3.0 Hz, Ha-13), 6.01 (1H, s, H-5), 5.99 (1H, bs, Ha-3′), 5.67 (1H, m, Hb-13), 5.67 (1H, m, Hb-3′), 5.39 (1H, t, J = 5.6 Hz, 15-OH) 5.23 (1H, m, H-6), 4.44 (1H, dt, J = 11.2 and 3.0 Hz, H-8), 4.19 (2H, bd, J = 5.6 Hz, H-15), 3.75 (1H, sex, J = 3.0 Hz, H-7), 2.75 (1H, dd, J = 14.0 and 11.2 Hz, Ha-9), 2.13 (1H, dd, J = 14 Hz, Hb-9), 1.43 (3H, s, H-4′), 1.79 (3H, s, H-14); 13C (100 MHz, DMSO-d6): δ 204.7 (C-1), 184.7 (C-3), 168.4 (C-12), 166.3 (C-1′), 136.0 (C-4), 135.1 (C-2′), 133.1 (C-11), 132.7 (C-5), 126.7 (3′), 125.1 (C-13), 105.9 (C-2), 89.3 (C-10), 81.1 (C-6), 73.6 (C-8), 61.2 (C-15), 50.2 (C-7), 42.2 (C-9), 20.0 (C-14), 17.6 (C-4′).
- Centratherin (6): ESIMS (positive) m/z = 749.3 [2M + H]+ (calcd for C40H45O14, 749.3) and m/z = 375.2 [M + H]+ (calcd for C20H23O7, 375.1) and ESIMS (negative) m/z = 419.5 [M + HCOO]− (calcd for C21H23O9, 419.1) and m/z = 373.0 [M − H]− (calcd for C20H21O7, 373.1). 1H NMR (400 MHz, DMSO-d6) δ 6.14 (1H, m, H-18), 6.14 (1H, m, H-5), 6.08 (1H, d, J = 3.0 Hz, Ha-13), 6.01 (1H, s, H-2), 5.64 (1H, d, J = 2.6 Hz, Hb-13), 5.39 (1H, t, J = 5.5 Hz, 15-OH), 5.25 (1H, m, H-6), 4.40 (1H, dt, J = 12.0 Hz, H-8), 4.19 (2H, bd, J = 5.5 Hz, H-15), 3.71 (1H, m, H-7), 2.78 (1H, dd, J = 14.0 and 11.8 Hz, Ha-9), 2.09 (1H, dd, J = 14.0 Hz, Hb-9), 1.82 (3H, m, H-19), 1.75 (3H, bt, H-20), 1.43 (3H, bs, H-14); 13C (100 MHz, DMSO-d6): δ 204.7 (C-1), 184.8 (C-3), 168.4 (C-12), 166.7 (C-16), 139.7 (C-18), 138.0 (C-4), 133.3 (C-11), 132.8 (C-5), 126.3 (C-17), 125.0 (C-13), 106.0 (C-2), 89.4 (C-10), 81.3 (C-6), 73.3 (C-8), 61.2 (C-15), 50.3 (C-7), 42.5 (C-9), 20.1 (C-14), 19.7 (C-20), 15.4 (C-19).
- Lychnopholide (7): ESIMS (positive) m/z = 739.0 [2M + Na]+ (calcd for C40H44O12Na, 739.3), m/z = 717.0 [2M + H]+ (calcd for C40H45O12, 717.3), and m/z = 359.2 [M + H]+ (calcd for C20H23O6, 359.1). 1H NMR (400 MHz, DMSO-d6) δ 6.14 (1H, m, H-18), 6.08 (1H, m, Ha-13), 6.06 (1H, m, H-5), 6.01 (1H, s, H-2), 5.63 (1H, d, J = 2.5 Hz, Hb-13), 5.18 (1H, m, H-6), 4.39 (1H, dt, J = 11.8 Hz, H-8), 3.66 (1H, m, H-7), 2.76 (1H, dd, J = 14.0 and 11.8 Hz, Ha-9) 2.09 (1H, dd, J = 14.0 Hz, Hb-9), 2.03 (3H, bt, H-15), 1.82 (3H, m, H-19), 1.75 (3H, bt, H-20), 1.43 (3H, s, H-14); 13C (100 MHz, DMSO-d6): δ 204.8 (C-1), 186.4 (C-3), 168.5 (C-12), 166.6 (C-16), 139.7 (C-18), 134.4 (C-5), 133.4 (C-11), 130.5 (C-4), 126.3 (C-17), 125.0 (C-13), 104.4 (C-2), 89.4 (C.10), 81.3 (C-6), 73.4 (C-8), 50.4 (C-7), 42.5 (C-9), 20.1 (C-14), 19.7 (C-20), 19.5 (C-15), 15.4 (C-19).
- Lupeol (8): ESIMS (positive) m/z = 427.1 [M + H]+ (calcd for C30H51O, 427.4). 1H NMR (400 MHz, CDCl3): δ 4.70 (1H, d, Ha-29), 4.58 (1H, m, Hb-29), 3.20 (1H, q, H-3), 2.40 (1H, m, H-19), 1.93 (2H, m, H-21), 1.93* (2H, H-21), 1.69 (3H, s, H-30), 1.68* (2H, H-4), 1.67* (1H, H-13), 1.67* (2H, H-12), 1.61* (2H, H-15), 1.52* (1H, Ha-6), 1.48* (2H, H-16), 1.41* (2H, H-7), 1.40* (1H, Hb-6), 1.39* (1H, Ha-22), 1.39* (1H, Ha-11), 1.37* (1H, H-18), 1.29* (1H, Hb-11), 1.27* (1H, H-9), 1.20* (1H, Hb-22), 1.05 (3H, s, H-26), 0.98 (3H, s, H-23), 0.96 (3H, s, H-27), 0.91* (2H, H-1), 0.84 (3H, s, H-25), 0.80 (3H, s, H-28), 0.77 (3H, s, H-24), 0.69* (1H, H-5); 13C (100 MHz, CDCl3): δ 151.1 (C-20), 109.4 (C-29), 79.1 (C-3), 55.4 (C-5), 50.6 (C-9), 48.4 (C-18), 48.1 (C-19), 43.1 (C-17), 42.9 (C-14), 40.9 (C-8), 40.1 (C-22), 39.0 (C-4), 38.8 (C-1), 38.2 (C-13), 37.3 (C-10), 35.7 (C-16), 34.4 (C-7), 29.8 (C-21), 28.1 (C-23), 27.6 (C-2), 27.5 (C-15), 25.3 (C-12), 21.0 (C-11), 19.4 (C-30), 18.4 (C-6), 18.1 (C-28), 16.2 (C-25), 16.1 (C-26), 15.5 (C-24), 14.7 (C-27).
Appendix B
| Compound | Concentration | HL-60 | MOLM-13 | AMO-1 | KMS-12 PE |
|---|---|---|---|---|---|
| 1 | 50 µM | 76.0 ± 3.0 * | 76.9 ± 4.7 ** | 73.5 ± 7.5 * | 85.2 ± 1.8 ** |
| 100 µM | 65.6 ± 3.1 ** | 57.8 ± 6.8 ** | 66.9 ± 7.8 ** | 73.0 ± 1.9 ** | |
| 2 | 25 µM | 69.8 ± 2.5 * | 77.8 ± 9.6 | 69.2 ± 5.3 * | 64.5 ± 2.9 * |
| 50 µM | 36.7 ± 2.5 * | 35.4 ± 4.2 * | 27.0 ± 4.0 * | 16.1 ± 0.9 * | |
| 100 µM | 2.5 ± 0.5 * | 3.8 ± 1.0 * | 4.8 ± 1.0 * | 2.6 ± 0.4 * | |
| 3 | 25 µM | 71.4 ± 1.5 * | 36.5 ± 2.9 ** | 65.9 ± 9.4 * | 74.5 ± 6.9 * |
| 50 µM | 59.9 ± 3.6 * | 11.7 ± 1.6 * | 42.0 ± 5.0 * | 38.2 ± 4.1 * | |
| 100 µM | 19.7 ± 3.7 * | 1.1 ± 0.4 * | 9.0 ± 0.8 * | 16.4 ± 2.4 * | |
| 4 | 10 µM | 45.9 ± 8.9 * | 42.3 ± 11.2 ** | 73.3 ± 11.4 ** | 89.0 ± 5.2 |
| 25 µM | 37.6 ± 7.7 * | 32.6 ± 5.5 ** | 57.5 ± 9.2 * | 80.9 ± 3.2 ** | |
| 50 µM | 23.3 ± 6.5 * | 13.1 ± 2.7 ** | 29.7 ± 4.1 * | 50.4 ± 5.2 ** | |
| 100 µM | 18.5 ± 4.0 ** | 8.8 ± 3.1 ** | 19.2 ± 5.1 * | 29.7 ± 6.0 ** |
| Compound | Concentration | HL-60 | MOLM-13 | AMO-1 | KMS-12 PE |
|---|---|---|---|---|---|
| 1 | 50 µM | 93.0 ± 4.4 | 88.5 ± 3.8 ** | 91.4 ± 8.9 ** | 100.9 ± 4.1 |
| 100 µM | 85.9 ± 1.8 | 80.5 ± 2.6 ** | 81.0 ± 4.2 * | 95.1 ± 4.5 | |
| 2 | 25 µM | 93.2 ± 7.8 | 77.8 ± 2.1 ** | 81.3 ± 6.3 * | 87.9 ± 2.6 * |
| 50 µM | 79.6 ± 7.0 ** | 65.4 ± 3.6 * | 68.9 ± 4.1 * | 62.7 ± 2.6 * | |
| 100 µM | 32.1 ± 2.8 * | 48.9 ± 5.5 * | 41.8 ± 6.4 * | 44.5 ± 4.0 * | |
| 3 | 25 µM | 93.2 ± 3.1 * | 62.5 ± 10.1 ** | 95.4 ± 2.4 * | 93.7 ± 4.9 |
| 50 µM | 84.5 ± 2.2 * | 51.2 ± 7.2 * | 76.8 ± 3.7 * | 81.3 ± 3.2 * | |
| 100 µM | 56.7 ± 3.5 * | 41.2 ± 5.0 * | 54.5 ± 5.5 * | 57.2 ± 4.7 * | |
| 4 | 10 µM | 86.1 ± 6.1 ** | 81.1 ± 4.2 * | 91.5 ± 9.9 | 110.1 ± 10.2 |
| 25 µM | 80.8 ± 5.9 ** | 77.9 ± 4.3 * | 70.2 ± 10.8 ** | 103.0 ± 9.9 | |
| 50 µM | 69.8 ± 5.1 * | 63.6 ± 6.4 * | 57.1 ± 10.5 * | 92.4 ± 8.7 | |
| 100 µM | 69.7 ± 5.5 * | 61.7 ± 6.9 * | 46.9 ± 11.7 * | 82.4 ± 7.7 |
References
- Palumbo, A.; Avet-Loiseau, H.; Oliva, S.; Lokhorst, H.M.; Goldschmidt, H.; Rosinol, L.; Richardson, P.; Caltagirone, S.; Lahuerta, J.J.; Facon, T.; et al. Revised International Staging System for Multiple Myeloma: A Report From International Myeloma Working Group. J. Clin. Oncol. 2015, 33, 2863–2869. [Google Scholar] [CrossRef]
- Abdallah, N.; Rajkumar, S.V.; Greipp, P.; Kapoor, P.; Gertz, M.A.; Dispenzieri, A.; Baughn, L.B.; Lacy, M.Q.; Hayman, S.R.; Buadi, F.K.; et al. Cytogenetic abnormalities in multiple myeloma: Association with disease characteristics and treatment response. Blood Cancer J. 2020, 10, 82. [Google Scholar] [CrossRef] [PubMed]
- Döhner, H.; Estey, E.; Grimwade, D.; Amadori, S.; Appelbaum, F.R.; Büchner, T.; Dombret, H.; Ebert, B.L.; Fenaux, P.; Larson, R.A.; et al. Diagnosis and management of AML in adults: 2017 ELN recommendations from an international expert panel. Blood 2017, 129, 424–447. [Google Scholar] [CrossRef] [PubMed]
- Newman, D.J.; Cragg, G.M. Natural Products as Sources of New Drugs over the Nearly Four Decades from 01/1981 to 09/2019. J. Nat. Prod. 2020, 83, 770–803. [Google Scholar] [CrossRef] [PubMed]
- Willer, J.; Jöhrer, K.; Greil, R.; Zidorn, C.; Çiçek, S.S. Cytotoxic Properties of Damiana (Turnera diffusa) Extracts and Constituents and A Validated Quantitative UHPLC-DAD Assay. Molecules 2019, 24, 855. [Google Scholar] [CrossRef]
- Ҫiҫek, S.S.; Willer, J.; Preziuso, F.; Sönnichsen, F.; Greil, R.; Girreser, U.; Zidorn, C.; Jöhrer, K. Cytotoxic constituents and a new hydroxycinnamic acid derivative from Leontodon saxatilis (Asteraceae, Cichorieae). RSC Adv. 2021, 11, 10489–10496. [Google Scholar] [CrossRef]
- Jöhrer, K.; Galarza Pérez, M.; Kircher, B.; Çiçek, S.S. Flavones, Flavonols, Lignans, and Caffeic Acid Derivatives from Dracocephalum moldavica and Their In Vitro Effects on Multiple Myeloma and Acute Myeloid Leukemia. Int. J. Mol. Sci. 2022, 23, 14219. [Google Scholar] [CrossRef]
- Jöhrer, K.; Stuppner, H.; Greil, R.; Çiçek, S.S. Structure-Guided Identification of Black Cohosh (Actaea racemosa) Triterpenoids with In Vitro Activity against Multiple Myeloma. Molecules 2020, 25, 766. [Google Scholar] [CrossRef]
- Ayvazyan, A.; Deutsch, L.; Zidorn, C.; Kircher, B.; Çiçek, S.S. Cytotoxic diterpenoids from Salvia glutinosa and comparison with the tanshinone profile of danshen (Salvia miltiorrhiza). Front. Plant Sci. 2023, 14, 1269710. [Google Scholar] [CrossRef]
- Compositae Working Group (CWG). Global Compositae Database. Lychnophora ericoides Mart. 2024. Available online: https://www.compositae.org/gcd/aphia.php?p=taxdetails&id=1089066 (accessed on 25 March 2025).
- Mansanares, M.E.; Forni-Martins, E.R.; Semir, J. Chromosome numbers in the genus Lychnophora Mart. (Lychnophorinae, Vernonieae, Asteraceae). Caryologia 2002, 55, 367–374. [Google Scholar] [CrossRef][Green Version]
- dos Santos, P.A.; Amarante, M.F.C.; Pereira, A.M.S.; Bertoni, B.; França, S.C.; Pessoa, C.; Moraes, M.O.D.; Costa-Lotufo, L.V.; Pereira, M.R.P.; Lopes, N.P. Production of an antiproliferative furanoheliangolide by Lychnophora ericoides cell culture. Chem. Pharm. Bull. 2004, 52, 1433–1435. [Google Scholar] [CrossRef] [PubMed]
- Ferreira, S.A.; Guimarães, A.G.; Ferrari, F.C.; Carneiro, C.M.; Paiva, N.C.N.D.; Guimarães, D.A.S. Assessment of acute toxicity of the ethanolic extract of Lychnophora pinaster (Brazilian arnica). Rev. Bras. Farm. 2014, 24, 553–560. [Google Scholar] [CrossRef]
- Bohlmann, F.; Zdero, C.; Robinson, H.; King, R.M. Germacranolides from Lychnophora species. Phytochemistry 1982, 21, 1087–1091. [Google Scholar] [CrossRef]
- Seaman, F.C. Sesquiterpene lactones as taxonomic characters in the asteraceae. Bot. Rev. 1982, 48, 121–594. [Google Scholar] [CrossRef]
- dos Santos, M.D.; Gobbo-Neto, L.; Albarella, L.; Souza, G.E.P.D.; Lopes, N.P. Analgesic activity of di-caffeoylquinic acids from roots of Lychnophora ericoides (Arnica da serra). J. Ethnopharmacol. 2005, 96, 545–549. [Google Scholar] [CrossRef]
- Borsato, M.L.; Grael, C.F.; Souza, G.E.; Lopes, N.P. Analgesic activity of the lignans from Lychnophora ericoides. Phytochemistry 2000, 55, 809–813. [Google Scholar] [CrossRef]
- Bernardes, A.C.F.P.F.; Matosinhos, R.C.; Paula Michel Araújo, M.C.D.; Barros, C.H.; Oliveira Aguiar Soares, R.D.D.; Costa, D.C.; Sachs, D.; Saúde-Guimarães, D.A. Sesquiterpene lactones from Lychnophora species: Antinociceptive, anti-inflammatory, and antioxidant pathways to treat acute gout. J. Ethnopharmacol. 2021, 269, 113738. [Google Scholar] [CrossRef]
- Chiari, E.; Duarte, D.S.; Raslan, D.S.; Saúde, D.A.; Perry, K.S.P.; Boaventura, M.A.D.; Grandi, T.S.M.; Stehmann, J.R.; Anjos, A.M.G.; Oliveira, A.B.D. In vitro Screening of Asteraceae Plant Species Against Trypanosoma cruzi. Phytother. Res. 1996, 10, 636–638. [Google Scholar] [CrossRef]
- Takeara, R.; Albuquerque, S.; Lopes, N.P.; Lopes, J.L.C. Trypanocidal activity of Lychnophora staavioides Mart. (Vernonieae, Asteraceae). Phytomedicine 2003, 10, 490–493. [Google Scholar] [CrossRef]
- Silveira, D.; Wagner, H.; Chiari, E.; Lombardi, J.A.; Assunção, A.C.; Oliveira, A.B.D.; Raslan, D.S. Biological activity of the aqueous extract of Lychnophora pinaster Mart. Rev. Bras. Farm. 2005, 15, 294–297. [Google Scholar] [CrossRef][Green Version]
- Jöhrer, K.; Ҫiҫek, S.S. Multiple Myeloma Inhibitory Activity of Plant Natural Products. Cancers 2021, 13, 2678. [Google Scholar] [CrossRef] [PubMed]
- Li, S.; Lo, C.-Y.; Ho, C.-T. Hydroxylated polymethoxyflavones and methylated flavonoids in sweet orange (Citrus sinensis) peel. J. Agric. Food Chem. 2006, 54, 4176–4185. [Google Scholar] [CrossRef] [PubMed]
- Matsuda, H.; Morikawa, T.; Toguchida, I.; Yoshikawa, M. Structural requirements of flavonoids and related compounds for aldose reductase inhibitory activity. Chem. Pharm. Bull. 2002, 50, 788–795. [Google Scholar] [CrossRef] [PubMed]
- Fan, X.; He, C.; Ji, M.; Sun, X.; Luo, H.; Li, C.; Tong, H.; Zhang, W.; Sun, Z.; Chu, W. Visible light-induced deoxygenation/cyclization of salicylic acid derivatives and aryl acetylene for the synthesis of flavonoids. Chem. Commun. 2022, 58, 6348–6351. [Google Scholar] [CrossRef]
- Minh, T.T.; Toan, H.K.; Le Quang, D.; Hoang, V.D. Myobontioids A-D and antifungal metabolites from the leaves of Myoporum bontioides A. Gray. Nat. Prod. Res. 2022, 36, 5708–5714. [Google Scholar] [CrossRef]
- Perry, K.S.P.; Miguez, E.; Amorim, M.B.D.; Boaventura, M.A.D.; Da Silva, A.J.R. Reassignment of NMR spectra and conformational study of the sesquiterpene lactone goyazensolide. Magn. Reson. Chem. 2001, 39, 219–221. [Google Scholar] [CrossRef]
- Machado, F.P.; Wermelinger, G.F.; Canuto, A.d.S.C.L.; Da Fonseca, A.C.C.; Folly, D.; Arruda, A.T.S.; Rocha, L.; Robbs, B.K. Antitumoral effect thought ROS production of the sesquiterpene lactone centratherin isolated from Eremanthus crotonoides, an endemic plant from Brazil. Nat. Prod. Res. 2024, 1–8. [Google Scholar] [CrossRef]
- Ren, Y.; Acuña, U.M.; Jiménez, F.; García, R.; Mejía, M.; Chai, H.; Gallucci, J.C.; Farnsworth, N.R.; Soejarto, D.D.; Carcache de Blanco, E.J.; et al. Cytotoxic and NF-κB inhibitory sesquiterpene lactones from Piptocoma rufescens. Tetrahedron 2012, 68, 2671–2678. [Google Scholar] [CrossRef]
- Al-Ansi, Z.; Masaoud, M.; Hussein, K.; Moharram, B.; Al-Madhagi, W.M. Antibacterial and Antioxidant Activities of Triterpenoids Isolated from Endemic Euphorbia arbuscula Stem Latex. Adv. Pharmacol. Pharm. Sci. 2024, 2024, 8273789. [Google Scholar] [CrossRef]
- Willenbacher, E.; Jöhrer, K.; Willenbacher, W.; Flögel, B.; Greil, R.; Kircher, B. Pixantrone demonstrates significant in vitro activity against multiple myeloma and plasma cell leukemia. Ann. Hematol. 2019, 98, 2569–2578. [Google Scholar] [CrossRef]
- Gandhi, A.K.; Kang, J.; Capone, L.; Parton, A.; Wu, L.; Zhang, L.H.; Mendy, D.; Lopez-Girona, A.; Tran, T.; Sapinoso, L.; et al. Dexamethasone synergizes with lenalidomide to inhibit multiple myeloma tumor growth, but reduces lenalidomide-induced immunomodulation of T and NK cell function. Curr. Cancer Drug Targets 2010, 10, 155–167. [Google Scholar] [CrossRef]
- Kamrani, S.; Naseramini, R.; Khani, P.; Razavi, Z.S.; Afkhami, H.; Atashzar, M.R.; Nasri, F.; Alavimanesh, S.; Saeidi, F.; Ronaghi, H. Mesenchymal stromal cells in bone marrow niche of patients with multiple myeloma: A double-edged sword. Cancer Cell Int. 2025, 25, 117. [Google Scholar] [CrossRef]
- Ciciarello, M.; Corradi, G.; Forte, D.; Cavo, M.; Curti, A. Emerging Bone Marrow Microenvironment-Driven Mechanisms of Drug Resistance in Acute Myeloid Leukemia: Tangle or Chance? Cancers 2021, 13, 5319. [Google Scholar] [CrossRef] [PubMed]
- Besse, L.; Besse, A.; Mendez-Lopez, M.; Vasickova, K.; Sedlackova, M.; Vanhara, P.; Kraus, M.; Bader, J.; Ferreira, R.B.; Castellano, R.K.; et al. A metabolic switch in proteasome inhibitor-resistant multiple myeloma ensures higher mitochondrial metabolism, protein folding and sphingomyelin synthesis. Haematologica 2019, 104, e415–e419. [Google Scholar] [CrossRef] [PubMed]
- Caillot, M.; Zylbersztejn, F.; Maitre, E.; Bourgeais, J.; Hérault, O.; Sola, B. ROS Overproduction Sensitises Myeloma Cells to Bortezomib-Induced Apoptosis and Alleviates Tumour Microenvironment-Mediated Cell Resistance. Cells 2020, 9, 2357. [Google Scholar] [CrossRef] [PubMed]
- Abramson, H.N. Immunotherapy of Multiple Myeloma: Current Status as Prologue to the Future. Int. J. Mol. Sci. 2023, 24, 15674. [Google Scholar] [CrossRef]
- Schmidmaier, R.; Baumann, P.; Emmerich, B.; Meinhardt, G. Evaluation of chemosensitivity of human bone marrow stromal cells--differences between common chemotherapeutic drugs. Anticancer Res. 2006, 26, 347–350. [Google Scholar]
- Descher, H.; Strich, S.L.; Hermann, M.; Enoh, P.; Kircher, B.; Gust, R. Investigations on the Influence of the Axial Ligand in Salophene iron(III) Complexes on Biological Activity and Redox Behavior. Int. J. Mol. Sci. 2023, 24, 2173. [Google Scholar] [CrossRef]
- Gupta, S.C.; Kim, J.H.; Prasad, S.; Aggarwal, B.B. Regulation of survival, proliferation, invasion, angiogenesis, and metastasis of tumor cells through modulation of inflammatory pathways by nutraceuticals. Cancer Metastasis Rev. 2010, 29, 405–434. [Google Scholar] [CrossRef]
- Steiner, N.; Jöhrer, K.; Plewan, S.; Brunner-Véber, A.; Göbel, G.; Nachbaur, D.; Wolf, D.; Gunsilius, E.; Untergasser, G. The FMS like Tyrosine Kinase 3 (FLT3) Is Overexpressed in a Subgroup of Multiple Myeloma Patients with Inferior Prognosis. Cancers 2020, 12, 2341. [Google Scholar] [CrossRef]
- Guo, L.; Li, Y.; Mao, X.; Tao, R.; Tao, B.; Zhou, Z. Antifungal Activity of Polymethoxylated Flavonoids (PMFs)-Loaded Citral Nanoemulsion against Penicillium italicum by Causing Cell Membrane Damage. J. Fungi 2022, 8, 388. [Google Scholar] [CrossRef]
- Park, E.-J.; Pezzuto, J.M. Flavonoids in cancer prevention. Anticancer Agents Med. Chem. 2012, 12, 836–851. [Google Scholar] [CrossRef]
- Murakami, A.; Ohigashi, H. Polymethylated Flavonoids: Cancer Preventive and Therapeutic Potentials Derived from Anti-Inflammatory and Drug Metabolism-Modifying Properties. In Phytochemicals in Health and Disease, 1st ed.; Bao, Y., Fenwick, R., Eds.; CRC Press: Boca Raton, FL, USA, 2004; pp. 169–192.36. [Google Scholar]
- Padilla-Gonzalez, G.F.; dos Santos, F.A.; Da Costa, F.B. Sesquiterpene Lactones: More Than Protective Plant Compounds with High Toxicity. Crit. Rev. Plant Sci. 2016, 35, 18–37. [Google Scholar] [CrossRef]
- Ghantous, A.; Gali-Muhtasib, H.; Vuorela, H.; Saliba, N.A.; Darwiche, N. What made sesquiterpene lactones reach cancer clinical trials? Drug Discov. Today 2010, 15, 668–678. [Google Scholar] [CrossRef]
- Babaei, G.; Aliarab, A.; Abroon, S.; Rasmi, Y.; Aziz, S.G.-G. Application of sesquiterpene lactone: A new promising way for cancer therapy based on anticancer activity. Biomed. Pharmacother. 2018, 106, 239–246. [Google Scholar] [CrossRef] [PubMed]
- Moujir, L.; Callies, O.; Sousa, P.M.C.; Sharopov, F.; Seca, A.M.L. Applications of Sesquiterpene Lactones: A Review of Some Potential Success Cases. Appl. Sci. 2020, 10, 3001. [Google Scholar] [CrossRef]
- Ren, Y.; Blanco, E.J.C.D.; Fuchs, J.R.; Soejarto, D.D.; Burdette, J.E.; Swanson, S.M.; Kinghorn, A.D. Potential Anticancer Agents Characterized from Selected Tropical Plants. J. Nat. Prod. 2019, 82, 657–679. [Google Scholar] [CrossRef]
- Cheikh, I.A.; El-Baba, C.; Youssef, A.; Saliba, N.A.; Ghantous, A.; Darwiche, N. Lessons learned from the discovery and development of the sesquiterpene lactones in cancer therapy and prevention. Expert Opin. Drug Discov. 2022, 17, 1377–1405. [Google Scholar] [CrossRef]
- Ren, Y.; Yu, J.; Kinghorn, A.D. Development of Anticancer Agents from Plant-Derived Sesquiterpene Lactones. Curr. Med. Chem. 2016, 23, 2397–2420. [Google Scholar] [CrossRef]
- Acuña, U.M.; Shen, Q.; Ren, Y.; Lantvit, D.D.; Wittwer, J.A.; Kinghorn, A.D.; Swanson, S.M.; Blanco, E.J.C.D. Goyazensolide Induces Apoptosis in Cancer Cells in vitro and in vivo. Int. J. Cancer Res. 2013, 9, 36–53. [Google Scholar] [CrossRef][Green Version]
- Ren, Y.; Gallucci, J.C.; Li, X.; Chen, L.; Yu, J.; Kinghorn, A.D. Crystal Structures and Human Leukemia Cell Apoptosis Inducible Activities of Parthenolide Analogues Isolated from Piptocoma rufescens. J. Nat. Prod. 2018, 81, 554–561. [Google Scholar] [CrossRef]
- Schomburg, C.; Schuehly, W.; Da Costa, F.B.; Klempnauer, K.-H.; Schmidt, T.J. Natural sesquiterpene lactones as inhibitors of Myb-dependent gene expression: Structure-activity relationships. Eur. J. Med. Chem. 2013, 63, 313–320. [Google Scholar] [CrossRef]
- Vongvanich, N.; Kittakoop, P.; Charoenchai, P.; Intamas, S.; Sriklung, K.; Thebtaranonth, Y. Antiplasmodial, antimycobacterial, and cytotoxic principles from Camchaya calcarea. Planta Medica 2006, 72, 1427–1430. [Google Scholar] [CrossRef]
- Lobo, J.F.R.; Castro, E.S.; Gouvea, D.R.; Fernandes, C.P.; Almeida, F.B.D.; Amorim, L.M.F.D.; Burth, P.; Rocha, L.; Santos, M.G.; Harmerski, L.; et al. Antiproliferative activity of Eremanthus crotonoides extracts and centratherin demonstrated in brain tumor cell lines. Rev. Bras. Farm. 2012, 22, 1295–1300. [Google Scholar] [CrossRef]





| Cell Line | Compound | ||
|---|---|---|---|
| 5 | 6 | 7 | |
| HL-60 | 1.1 (1.0–1.2) µM, 1.8 | 1.2 (1.1–1.2) µM, 2.1 | 1.3 (0.9–1.5) µM, 3.4 |
| MOLM-13 | 1.0 (0.7–1.2) µM, 2.0 | 1.1 (0.9–1.3) µM, 2.2 | 1.4 (1.1–1.6) µM, 3.2 |
| AMO-1 | 1.6 (1.2–2.1) µM, 1.2 | 2.2 (1.6-n.d.) µM, 1.1 | 2.2 (1.7–3.0) µM, 2.0 |
| KMS-12-PE | 1.5 (1.3–1.7) µM, 1.3 | 1.8 (1.6–2.1) µM, 1.4 | 2.6 (n.d.) µM, 1.7 |
| HS-5 | 2.0 (1.7–2.3) µM | 2.5 (2.2–3.6) µM | 4.3 (n.d.) µM |
| Cell Line | Compound | ||
|---|---|---|---|
| 5 | 6 | 7 | |
| HL-60 | 1.7 (1.5–1.9) µM, 1.5 | 1.9 (1.8–2.1) µM, 2.4 | 2.9 (n.d.) µM, 1.7 |
| MOLM-13 | 1.0 (n.d.-1.6) µM, 2.6 | 1.3 (n.d.-1.9) µM, 3.5 | 1.8 (0.9–2.9) µM, 2.8 |
| AMO-1 | 2.0 (1.4–3.1) µM, 1.3 | 2.4 (1.5-n.d.) µM, 1.9 | 3.4 (2.3-n.d.) µM, 1.4 |
| KMS-12-PE | 1.9 (1.4–2.6) µM, 1.4 | 2.7 (2.1-n.d.) µM, 1.6 | 4.0 (n.d.) µM, 1.2 |
| HS-5 | 2.6 (n.d.-3.7) µM | 4.5 (n.d.) µM | 4.9 (n.d.) µM |
Disclaimer/Publisher’s Note: The statements, opinions and data contained in all publications are solely those of the individual author(s) and contributor(s) and not of MDPI and/or the editor(s). MDPI and/or the editor(s) disclaim responsibility for any injury to people or property resulting from any ideas, methods, instructions or products referred to in the content. |
© 2025 by the authors. Licensee MDPI, Basel, Switzerland. This article is an open access article distributed under the terms and conditions of the Creative Commons Attribution (CC BY) license (https://creativecommons.org/licenses/by/4.0/).
Share and Cite
Moreno Cardenas, C.; Kratzert, R.O.; Hanifle, S.; Gomes da Mata Kanzaki, E.C.; Kanzaki, I.; Kircher, B.; Çiçek, S.S. Flavonoids and Sesquiterpene Lactones from Lychnophora ericoides (Arnica-Do-Cerrado) and Their In Vitro Effects on Multiple Myeloma and Acute Myeloid Leukemia. Metabolites 2025, 15, 542. https://doi.org/10.3390/metabo15080542
Moreno Cardenas C, Kratzert RO, Hanifle S, Gomes da Mata Kanzaki EC, Kanzaki I, Kircher B, Çiçek SS. Flavonoids and Sesquiterpene Lactones from Lychnophora ericoides (Arnica-Do-Cerrado) and Their In Vitro Effects on Multiple Myeloma and Acute Myeloid Leukemia. Metabolites. 2025; 15(8):542. https://doi.org/10.3390/metabo15080542
Chicago/Turabian StyleMoreno Cardenas, Calisto, Ren Ove Kratzert, Sofie Hanifle, Elida Cleyse Gomes da Mata Kanzaki, Isamu Kanzaki, Brigitte Kircher, and Serhat Sezai Çiçek. 2025. "Flavonoids and Sesquiterpene Lactones from Lychnophora ericoides (Arnica-Do-Cerrado) and Their In Vitro Effects on Multiple Myeloma and Acute Myeloid Leukemia" Metabolites 15, no. 8: 542. https://doi.org/10.3390/metabo15080542
APA StyleMoreno Cardenas, C., Kratzert, R. O., Hanifle, S., Gomes da Mata Kanzaki, E. C., Kanzaki, I., Kircher, B., & Çiçek, S. S. (2025). Flavonoids and Sesquiterpene Lactones from Lychnophora ericoides (Arnica-Do-Cerrado) and Their In Vitro Effects on Multiple Myeloma and Acute Myeloid Leukemia. Metabolites, 15(8), 542. https://doi.org/10.3390/metabo15080542

