Comparison of Anthropometric and Metabolic Indexes in the Diagnosis of Metabolic Syndrome: A Large-Scale Analysis of Spanish Workers
Abstract
1. Introduction
2. Methods
2.1. Study Design and Population
2.2. Anthropometric and Biochemical Measurements
2.3. Definition of Metabolic Syndrome
- Waist circumference ≥102 cm (men) or ≥88 cm (women)
- Triglycerides ≥150 mg/dL
- HDL-cholesterol <40 mg/dL (men) or <50 mg/dL (women)
- Blood pressure ≥130/85 mmHg or on antihypertensive treatment
- Fasting glucose ≥100 mg/dL or diagnosed diabetes
2.4. Lifestyle and Sociodemographic Variables
2.5. Statistical Analysis
3. Results
4. Discussion
5. Strengths
6. Limitations
7. Conclusions
Supplementary Materials
Author Contributions
Funding
Institutional Review Board Statement
Informed Consent Statement
Data Availability Statement
Conflicts of Interest
References
- Strauss, M.; Lavie, C.J.; Lippi, G.; Brzęk, A.; Vollenberg, R.; Sanchis-Gomar, F.; Leischik, R. A systematic review of prevalence of metabolic syndrome in occupational groups-Does occupation matter in the global epidemic of metabolic syndrome? Prog. Cardiovasc. Dis. 2022, 75, 69–77. [Google Scholar] [CrossRef] [PubMed]
- Fahed, G.; Aoun, L.; Bou Zerdan, M.; Allam, S.; Bou Zerdan, M.; Bouferraa, Y.; Assi, H.I. Metabolic Syndrome: Updates on Pathophysiology and Management in 2021. Int. J. Mol. Sci. 2022, 23, 786. [Google Scholar] [CrossRef] [PubMed] [PubMed Central]
- Scuteri, A.; Laurent, S.; Cucca, F.; Cockcroft, J.; Cunha, P.G.; Mañas, L.R.; Raso, F.U.M.; Muiesan, M.L.; Ryliškytė, L.; Rietzschel, E.; et al. Metabolic syndrome across Europe: Different clusters of risk factors. Eur. J. Prev. Cardiol. 2015, 22, 486–491. [Google Scholar] [CrossRef] [PubMed] [PubMed Central]
- Alberti, K.G.; Eckel, R.H.; Grundy, S.M.; Zimmet, P.Z.; Cleeman, J.I.; Donato, K.A.; Fruchart, J.-C.; James, W.P.T.; Loria, C.M.; Smith, S.C. Harmonizing the metabolic syndrome: A joint interim statement of the International Diabetes Federation Task Force on Epidemiology and Prevention; National Heart, Lung, and Blood Institute; American Heart Association; World Heart Federation; International Atherosclerosis Society; and International Association for the Study of Obesity. Circulation 2009, 120, 1640–1645. [Google Scholar] [CrossRef] [PubMed]
- Wu, Y.; Li, D.; Vermund, S.H. Advantages and Limitations of the Body Mass Index (BMI) to Assess Adult Obesity. Int. J. Environ. Res. Public Health 2024, 21, 757. [Google Scholar] [CrossRef] [PubMed] [PubMed Central]
- Martínez Jover, A.; López González, A.A.; Tomás Gil, P.; Coll Villalonga, J.L.; Martí Lliteras, P.; Ramírez Manent, J.I. Variables influencing the appearance of metabolic syndrome with three different definitions in 418.343 spanish workers. Acad. J. Health Sci. 2023, 38, 129–135. [Google Scholar] [CrossRef]
- Fiorentino, T.V.; Marini, M.A.; Succurro, E.; Andreozzi, F.; Sesti, G. Relationships of surrogate indexes of insulin resistance with insulin sensitivity assessed by euglycemic hyperinsulinemic clamp and subclinical vascular damage. BMJ Open Diabetes Res. Care 2019, 7, e000911. [Google Scholar] [CrossRef] [PubMed] [PubMed Central]
- Ferguson, C.C.; Knol, L.L.; Ellis, A.C. Visceral adiposity index and its association with Dietary Approaches to Stop Hypertension (DASH) diet scores among older adults: National Health and Nutrition Examination Surveys 2011–2014. Clin. Nutr. 2021, 40, 4085–4089. [Google Scholar] [CrossRef] [PubMed]
- Ramdas Nayak, V.K.; Satheesh, P.; Shenoy, M.T.; Kalra, S. Triglyceride Glucose (TyG) Index: A surrogate biomarker of insulin resistance. J. Pak. Med. Assoc. 2022, 72, 986–988. [Google Scholar] [CrossRef] [PubMed]
- Gu, T.; Yang, Q.; Ying, G.; Jin, B. Lack of association between insulin resistance as estimated by homeostasis model assessment and stroke risk: A systematic review and meta-analysis. Med. Hypotheses 2020, 141, 109700. [Google Scholar] [CrossRef] [PubMed]
- Lim, J.; Kim, J.; Koo, S.H.; Kwon, G.C. Comparison of triglyceride glucose index, and related parameters to predict insulin resistance in Korean adults: An analysis of the 2007–2010 Korean National Health and Nutrition Examination Survey. PLoS ONE 2019, 14, e0212963. [Google Scholar] [CrossRef] [PubMed] [PubMed Central]
- Arsenault, B.J.; Carpentier, A.C.; Poirier, P.; Després, J.P. Adiposity, type 2 diabetes and atherosclerotic cardiovascular disease risk: Use and abuse of the body mass index. Atherosclerosis 2024, 394, 117546. [Google Scholar] [CrossRef] [PubMed]
- Biffi, A.; Fernando, F.; Palermi, S.; Sirico, F.; Bonatesta, L.; Cavarretta, E.; D’Ascenzi, F.; Niebauer, J. Cardiovascular disease prevention in the worksite: Where are we? Int. J. Cardiol. 2022, 368, 104–107. [Google Scholar] [CrossRef] [PubMed]
- Aguiló Juanola, M.C.; López-González, A.A.; Tomás-Gil, P.; Paublini, H.; Tárraga-López, P.J.; Ramírez-Manent, J.I. Influence of tobacco consumption on the values of different insulin resistance risk scales and non-alcoholic fatty liver disease and hepatic fibrosis scales in 418,343 spanish people. Acad. J. Health Sci. 2024, 39, 9–15. [Google Scholar] [CrossRef]
- Li, Z.; Xu, Z.; Xuan, C.; Xu, H. Association between waist triglyceride index, body mass index, dietary inflammatory index, and triglyceride- glucose index with chronic kidney disease: The 1999–2018 cohort study from NHANES. Front. Endocrinol. 2024, 15, 1390725. [Google Scholar] [CrossRef] [PubMed] [PubMed Central]
- Sastre-Alzamora, T.; Tomás-Gil, P.; Paublini, H.; Pallarés, L.; Ramírez-Manent, J.I.; López-González, A.A. Relationship between heart age and cardiometabolic risk scales in 139634 Spanish workers. Acad. J. Health Sci. 2024, 39, 141–148. [Google Scholar] [CrossRef]
- Ahmed, M.; Kumari, N.; Mirgani, Z.; Saeed, A.; Ramadan, A.; Ahmed, M.H.; Almobarak, A.O. Metabolic syndrome; Definition, Pathogenesis, Elements, and the Effects of medicinal plants on it’s elements. J. Diabetes Metab. Disords 2022, 21, 1011–1022, Erratum in: J. Diabetes Metab. Disords 2022, 21, 1217. https://doi.org/10.1007/s40200-022-01035-x. [Google Scholar] [CrossRef] [PubMed] [PubMed Central]
- Mestre Font, M.; Busquets-Cortés, C.; Ramírez-Manent, J.I.; Vallejos, D.; Sastre Alzamora, T.; López-González, A.A. Influence of sociodemographic variables and healthy habits on the values of cardiometabolic risk scales in 386924 spanish workers. Acad. J. Health Sci. 2024, 39, 112–121. [Google Scholar] [CrossRef]
- Mattavelli, E.; Olmastroni, E.; Bonofiglio, D.; Catapano, A.L.; Baragetti, A.; Magni, P. Adherence to the Mediterranean Diet: Impact of Geographical Location of the Observations. Nutrients 2022, 14, 2040. [Google Scholar] [CrossRef] [PubMed] [PubMed Central]
- Vicente-Herrero, M.T.; Egea-Sancho, M.; de la Torre, M.V.R.I.; López-González, A.A. Relación de los índices de adiposidad visceral (VAI) y adiposidad disfuncional (DAI) con las escalas de riesgo de resistencia a la insulina y prediabetes. Acad. J. Health Sci. 2024, 39, 25–31. [Google Scholar] [CrossRef]
- Nahm, F.S. Receiver operating characteristic curve: Overview and practical use for clinicians. Korean J. Anesthesiol. 2022, 75, 25–36. [Google Scholar] [CrossRef] [PubMed] [PubMed Central]
- Zhang, P.; Mo, D.; Zeng, W.; Dai, H. Association between triglyceride-glucose related indices and all-cause and cardiovascular mortality among the population with cardiovascular-kidney-metabolic syndrome stage 0-3: A cohort study. Cardiovasc. Diabetol. 2025, 24, 92. [Google Scholar] [CrossRef] [PubMed] [PubMed Central]
- Cui, C.; Qi, Y.; Song, J.; Shang, X.; Han, T.; Han, N.; Yue, S.; Zha, Y.; Xu, Z.; Li, J.; et al. Comparison of triglyceride glucose index and modified triglyceride glucose indices in prediction of cardiovascular diseases in middle aged and older Chinese adults. Cardiovasc. Diabetol. 2024, 23, 185. [Google Scholar] [CrossRef] [PubMed] [PubMed Central]
- Wasana, K.G.P.; Silva, N.D.; Attanayake, A.P.; Weerarathna, T.P. Association of hypertriglyceridemic waist phenotype with metabolic syndrome traits and its diagnostic potential to predict metabolic syndrome in adults with excess body weight: A community-based cross-sectional study. J. Hum. Nutr. Diet. 2024, 37, 1130–1140. [Google Scholar] [CrossRef] [PubMed]
- Ruiz-García, A.; Serrano-Cumplido, A.; Escobar-Cervantes, C.; Arranz-Martínez, E.; Pallarés-Carratalá, V. Prevalence Rates of Abdominal Obesity, High Waist-to-Height Ratio and Excess Adiposity, and Their Associated Cardio-Kidney-Metabolic Factors: SIMETAP-AO Study. Nutrients 2024, 16, 3948. [Google Scholar] [CrossRef] [PubMed] [PubMed Central]
- Li, C.; Zhao, S.; Li, Y.; He, S.; Jian, W.; Liu, Y.; Cheng, Z.; Peng, H. Triglyceride-glucose index predicts adverse cardiovascular events in patients with H-type hypertension combined with coronary heart disease: A retrospective cohort study. Cardiovasc. Diabetol. 2025, 24, 45. [Google Scholar] [CrossRef] [PubMed] [PubMed Central]
- Shi, J.; Chen, Z.; Zhang, Y. Associations between body fat anthropometric indices and mortality among individuals with metabolic syndrome. Lipids Health Dis. 2024, 23, 306. [Google Scholar] [CrossRef] [PubMed] [PubMed Central]
- Wu, Y.; Liu, C.; Cao, J. Association between triglyceride-glucose index and its composite obesity indexes and cardio-renal disease: Analysis of the NHANES 2013–2018 cycle. Front. Endocrinol. 2025, 16, 1505808. [Google Scholar] [CrossRef] [PubMed] [PubMed Central]
- Li, Y.; Zheng, R.; Li, S.; Cai, R.; Ni, F.; Zheng, H.; Hu, R.; Sun, T. Association Between Four Anthropometric Indexes and Metabolic Syndrome in US Adults. Front. Endocrinol. 2022, 13, 889785. [Google Scholar] [CrossRef] [PubMed] [PubMed Central]
- Silveira, E.A.; Mendonça, C.R.; Delpino, F.M.; Elias Souza, G.V.; Pereira de Souza Rosa, L.; de Oliveira, C.; Noll, M. Sedentary behavior, physical inactivity, abdominal obesity and obesity in adults and older adults: A systematic review and meta-analysis. Clin. Nutr. ESPEN 2022, 50, 63–73. [Google Scholar] [CrossRef] [PubMed]
- Li, H.; Lynn, H.S.; Zipunnikov, V. Sex and Age Differences in Association between Physical Activity and Metabolic Syndrome: Results from NHANES 2003–2006. Healthcare 2023, 11, 1059. [Google Scholar] [CrossRef] [PubMed] [PubMed Central]
- Wang, C.; Liao, P.; Tang, C.; Chen, C.; Zhang, X. The predictive value of the triglyceride glucose index combined with cystatin C for the prognosis of patients with acute coronary syndrome. Front. Endocrinol. 2024, 15, 1423227. [Google Scholar] [CrossRef] [PubMed] [PubMed Central]
- Liu, P.J.; Lou, H.P.; Zhu, Y.N. Screening for Metabolic Syndrome Using an Integrated Continuous Index Consisting of Waist Circumference and Triglyceride: A Preliminary Cross-sectional Study. Diabetes Metab. Syndr. Obes. 2020, 13, 2899–2907. [Google Scholar] [CrossRef] [PubMed] [PubMed Central]


| Men n = 232,814 | Women n = 154,110 | ||
|---|---|---|---|
| Mean (SD) | Mean (SD) | p-Value | |
| Age (years) | 39.8 (10.3) | 39.2 (10.2) | <0.001 |
| Height (cm) | 173.9 (7.0) | 161.2 (6.6) | <0.001 |
| Weight (kg) | 81.1 (13.9) | 65.3 (13.2) | <0.001 |
| Waist circumference (cm) | 87.7 (9.1) | 73.9 (7.9) | <0.001 |
| Hip circumference (cm) | 100.0 (8.4) | 97.2 (8.9) | <0.001 |
| Systolic blood pressure (mmHg) | 124.4 (15.1) | 114.4 (14.8) | <0.001 |
| Diastolic blood pressure (mmHg) | 75.4 (10.6) | 69.7 (10.3) | <0.001 |
| Total cholesterol (mg/dL) | 195.9 (38.9) | 193.6 (36.4) | <0.001 |
| HDL-c (mg/dL) | 51.0 (7.0) | 53.7 (7.6) | <0.001 |
| LDL-c (mg/dL) | 120.5 (37.6) | 122.3 (37.0) | <0.001 |
| Triglycerides (mg/dL) | 123.8 (88.0) | 88.1 (46.2) | <0.001 |
| Glycaemia (mg/dL) | 88.1 (12.9) | 84.1 (11.5) | <0.001 |
| % | % | p-value | |
| 20–29 years | 17.9 | 19.5 | <0.001 |
| 30–39 years | 33.1 | 33.3 | |
| 40–49 years | 29.7 | 29.4 | |
| 50–59 years | 16.3 | 15.3 | |
| 60–69 years | 3.0 | 2.5 | |
| Primary school | 61.2 | 51.8 | <0.001 |
| Secondary school | 34.0 | 40.7 | |
| University | 4.8 | 7.5 | |
| Social class I | 5.3 | 7.2 | <0.001 |
| Social class II | 17.4 | 33.2 | |
| Social class III | 77.3 | 59.8 | |
| Non-physical activity | 54.5 | 47.8 | <0.001 |
| Yes physical activity | 45.5 | 52.2 | |
| Non-Mediterranean diet | 59.0 | 48.6 | <0.001 |
| Yes Mediterranean diet | 41.0 | 51.4 | |
| Non-smokers | 62.9 | 67.0 | <0.001 |
| Smokers | 37.1 | 33.0 |
| No MS NCEP ATPIII | Yes MS NCEP ATPIII | No MS IDF | Yes MS IDF | |||
|---|---|---|---|---|---|---|
| n = 212,240 | n = 20,574 | n = 148,284 | n = 5826 | |||
| Men | Mean (SD) | Mean (SD) | p-value | Mean (SD) | Mean (SD) | p-value |
| BMI | 26.4 (3.9) | 30.7 (4.7) | <0.001 | 26.2 (3–8) | 31.2 (4.3) | <0.001 |
| WtHR | 0.50 (0.05) | 0.59 (0.06) | <0.001 | 0.50 (0.04) | 0.59 (0.05) | <0.001 |
| TyG | 8.3 (0.5) | 9.4 (0.4) | <0.001 | 8.3 (0.5) | 9.2 (0.6) | <0.001 |
| WTI | 107.1 (65.8) | 325.4 (183.4) | <0.001 | 106.6 (66.7) | 277.4 (182.1) | <0.001 |
| Women | Mean (SD) | Mean (SD) | p-value | Mean (SD) | Mean (SD) | p-value |
| BMI | 24.9 (4.7) | 31.8 (6.2) | <0.001 | 24.8 (4.6) | 33.2 (5.8) | <0.001 |
| WtHR | 0.45 (0.05) | 0.54 (0.07) | <0.001 | 0.45 (0.04) | 0.56 (0.05) | <0.001 |
| TyG | 8.1 (0.4) | 9.0 (0.5) | <0.001 | 8.1 (0.5) | 8.8 (0.5) | <0.001 |
| WTI | 70.5 (35.3) | 184.0 (101.2) | <0.001 | 70.5 (35.5) | 170.5 (102.5) | <0.001 |
| No MS NCEP ATPIII | Yes MS NCEP ATPIII | No MS IDF | Yes MS IDF | |||
| Men | % | % | p-value | % | % | p-value |
| BMI obesity | 16.3 | 52.7 | <0.001 | 13.5 | 58.5 | <0.001 |
| WtHR high | 43.9 | 87.5 | <0.001 | 14.1 | 68.1 | <0.001 |
| TyG high | 17.6 | 96.0 | <0.001 | 8.4 | 77.9 | <0.001 |
| Women | % | % | p-value | % | % | p-value |
| BMI obesity | 14.8 | 55.9 | <0.001 | 12.9 | 67.9 | <0.001 |
| WtHR high | 41.1 | 98.6 | <0.001 | 12.8 | 91.6 | <0.001 |
| TyG high | 17.2 | 80.1 | <0.001 | 8.8 | 60.5 | <0.001 |
| Men | Women | |||
|---|---|---|---|---|
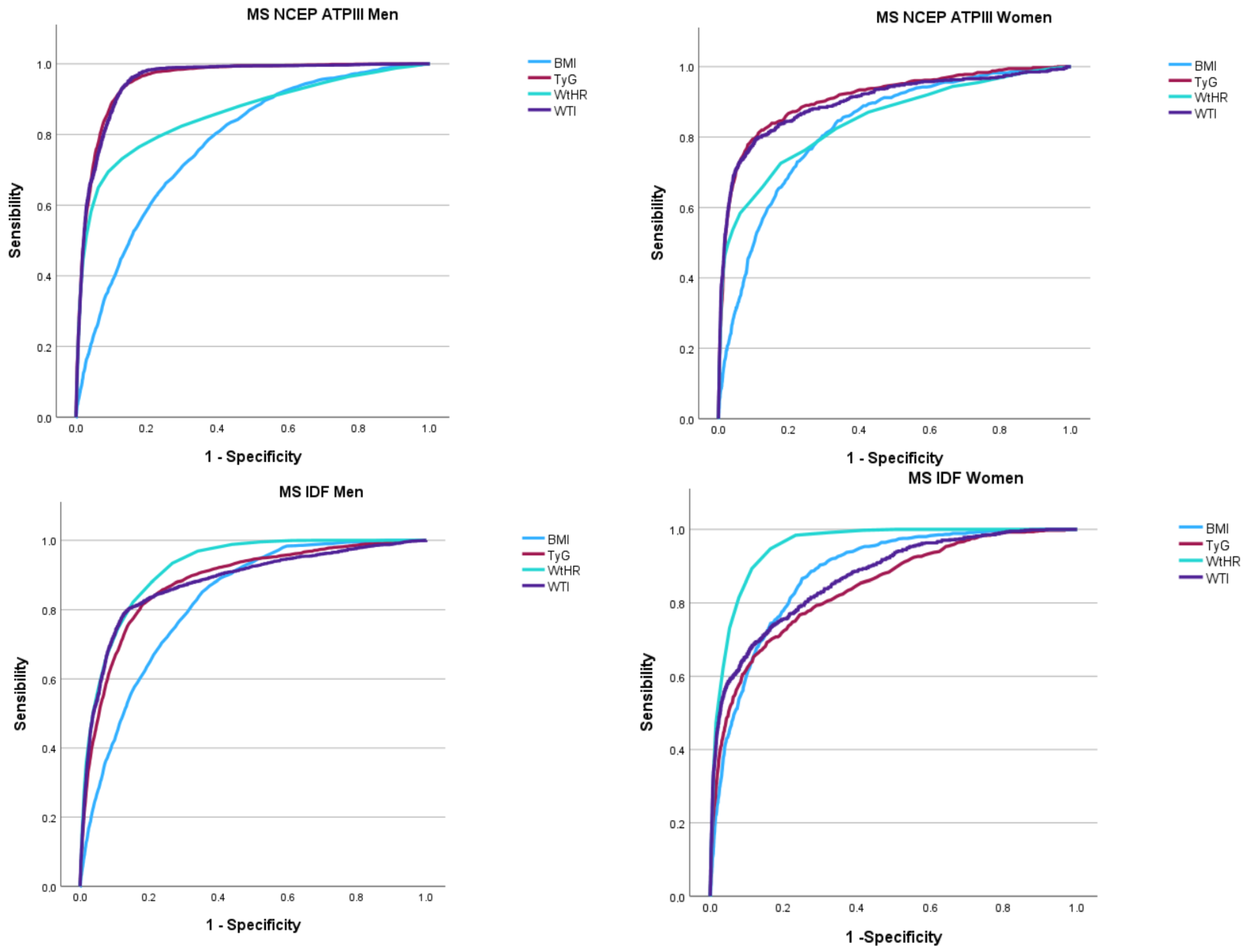
| MS NCEP ATPIII | AUC (95% CI) | Cut-Off-Sensibility-Specificity-Youden | AUC (95% CI) | Cut-Off-Sensibility-Specificity-Youden |
| BMI | 0.825 (0.820–0.830) | 28.0-70.7-70.2-0.409 | 0.775 (0.772–0.778) | 27.3-75.8-74.7-0.505 |
| WtHR | 0.846 (0.840–0.852) | 0.54-80.9-73.5-0.544 | 0.858 (0.855–0.861) | 0.49-76.2-75.5-0.517 |
| TyG | 0.911 (0.907–0.916) | 8.95-90.1-89.0-0.791 | 0.954 (0.953–0.955) | 8.51-83.9-83.9-0.678 |
| WTI | 0.901 (0.895–0.906) | 170.6-89.0-89.0-0.780 | 0.953 (0.952–0.955) | 96.5-83.4-83.0-0.664 |
| MS IDF | AUC (95% CI) | Cut-off-sensibility-specificity-Youden | AUC (95% CI) | Cut-off-sensibility-specificity-Youden |
| BMI | 0.822 (0.820–0.824) | 28.2-73.9-73.5-0.474 | 0.880 (0.876–0.883) | 28.0-79.5-78.9-0.584 |
| WtHR | 0.919 (0.918–0.921) | 0.54-85.0-82.2-0.672 | 0.955 (0.953–0.957) | 0.51-89.3-88.7-0.780 |
| TyG | 0.880 (0.877–0.882) | 8.78-81.9-81.6-0.635 | 0.844 (0.838–0.849) | 8.38-76.8-75.6-0.524 |
| WTI | 0.879 (0.877–0.882) | 144.2-82.1-82.0-0.641 | 0.871 (0.866–0.875) | 88.3-77.3-77.3-0.546 |
Disclaimer/Publisher’s Note: The statements, opinions and data contained in all publications are solely those of the individual author(s) and contributor(s) and not of MDPI and/or the editor(s). MDPI and/or the editor(s) disclaim responsibility for any injury to people or property resulting from any ideas, methods, instructions or products referred to in the content. |
© 2025 by the authors. Licensee MDPI, Basel, Switzerland. This article is an open access article distributed under the terms and conditions of the Creative Commons Attribution (CC BY) license (https://creativecommons.org/licenses/by/4.0/).
Share and Cite
Guarro Miquel, J.J.; Tárraga López, P.J.; Marzoa Jansana, M.D.; López-González, Á.A.; Riutord Sbert, P.; Busquets-Cortés, C.; Ramirez-Manent, J.I. Comparison of Anthropometric and Metabolic Indexes in the Diagnosis of Metabolic Syndrome: A Large-Scale Analysis of Spanish Workers. Metabolites 2025, 15, 495. https://doi.org/10.3390/metabo15080495
Guarro Miquel JJ, Tárraga López PJ, Marzoa Jansana MD, López-González ÁA, Riutord Sbert P, Busquets-Cortés C, Ramirez-Manent JI. Comparison of Anthropometric and Metabolic Indexes in the Diagnosis of Metabolic Syndrome: A Large-Scale Analysis of Spanish Workers. Metabolites. 2025; 15(8):495. https://doi.org/10.3390/metabo15080495
Chicago/Turabian StyleGuarro Miquel, Juan José, Pedro Juan Tárraga López, María Dolores Marzoa Jansana, Ángel Arturo López-González, Pere Riutord Sbert, Carla Busquets-Cortés, and José Ignacio Ramirez-Manent. 2025. "Comparison of Anthropometric and Metabolic Indexes in the Diagnosis of Metabolic Syndrome: A Large-Scale Analysis of Spanish Workers" Metabolites 15, no. 8: 495. https://doi.org/10.3390/metabo15080495
APA StyleGuarro Miquel, J. J., Tárraga López, P. J., Marzoa Jansana, M. D., López-González, Á. A., Riutord Sbert, P., Busquets-Cortés, C., & Ramirez-Manent, J. I. (2025). Comparison of Anthropometric and Metabolic Indexes in the Diagnosis of Metabolic Syndrome: A Large-Scale Analysis of Spanish Workers. Metabolites, 15(8), 495. https://doi.org/10.3390/metabo15080495

