From Micronutrients to Potentially Toxic Elements: Physiological Responses of Canavalia ensiformis to Copper and Iron
Abstract
1. Introduction
2. Materials and Methods
2.1. Soil Characterization
2.2. Copper and Iron Treatments
2.3. Experimental Design
2.4. Choice of Plant Material
2.5. Gas Exchange Analysis
2.6. Collection and Determination of Photosynthetic Pigments
2.7. Biomass and Estimation of Cu and Fe Content in the Plant
2.8. Statistical Analysis
3. Results
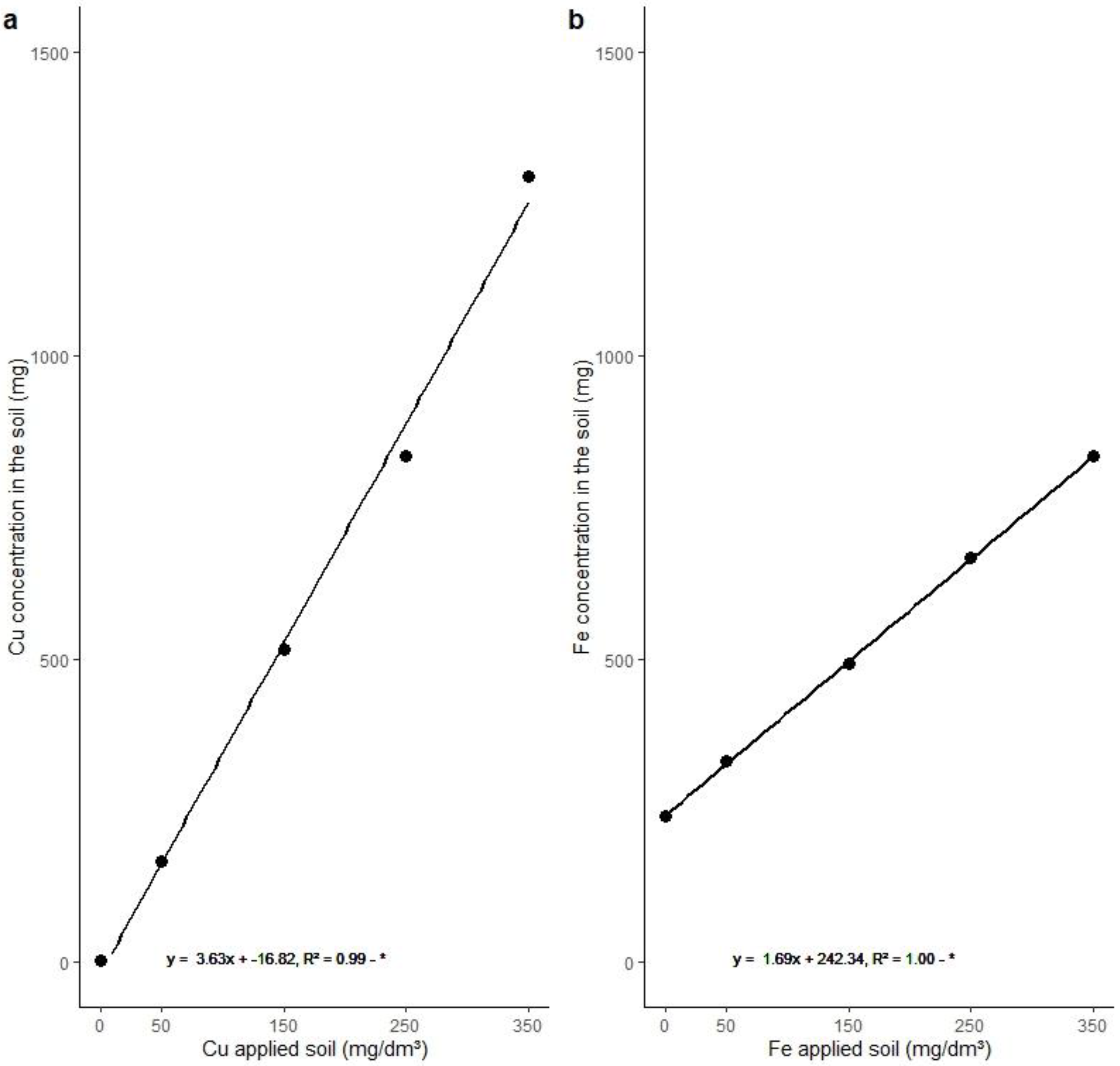
3.1. Availability of Cu and Fe in Soil
3.2. Photosynthetic Pigments
3.3. Gas Exchange
3.4. Growth Parameters
3.5. Dry Biomass and Phytoremediation Indices
3.6. Accumulation of Cu and Fe
3.7. Multivariate Analysis
4. Discussion
4.1. Copper
4.2. Iron
4.3. Common Responses to Cu and Fe
4.4. Different Responses
4.5. Limitations and Future Perspectives
5. Conclusions
Supplementary Materials
Author Contributions
Funding
Institutional Review Board Statement
Informed Consent Statement
Data Availability Statement
Conflicts of Interest
References
- Bolster, M.W.G.d. Glossary of terms used in bioinorganic chemistry (IUPAC Recommendations 1997). Pure Appl. Chem. 1997, 69, 1251–1304. [Google Scholar] [CrossRef]
- Nieder, R.; Benbi, D.K. Potentially toxic elements in the environment—A review of sources, sinks, pathways and mitigation measures. Rev. Environ. Health 2024, 39, 561–575. [Google Scholar] [CrossRef]
- Adriano, D.C. Trace Elements in Terrestrial Environments. In Biogeochemistry, Bioavailability, and Risks of Metals, 2nd ed.; Springer: New York, NY, USA, 2001; p. 867. [Google Scholar]
- Kabata-Pendias, A. Trace Elements in Soils and Plants, 3rd ed.; CRC Press: Boca Raton, FL, USA, 2000. [Google Scholar] [CrossRef]
- Thalassinos, G.; Petropoulos, S.A.; Grammenou, A.; Antoniadis, V. Potentially Toxic Elements: A Review on Their Soil Behavior and Plant Attenuation Mechanisms against Their Toxicity. Agriculture 2023, 13, 1684. [Google Scholar] [CrossRef]
- Pourret, O.; Hursthouse, A. It’s Time to Replace the Term “Heavy Metals” with “Potentially Toxic Elements” When Reporting Environmental Research. Int. J. Environ. Res. Public Health 2019, 16, 4446. [Google Scholar] [CrossRef] [PubMed]
- Ravet, K.; Pilon, M. Copper and iron homeostasis in plants: The challenges of oxidative stress. Antioxid. Redox Signal. 2013, 19, 919–932. [Google Scholar] [CrossRef]
- Zhang, C. Involvement of Iron-Containing Proteins in Genome Integrity in Arabidopsis thaliana. Genome Integr. 2015, 6, 2. [Google Scholar] [CrossRef] [PubMed][Green Version]
- Garcia-Molina, A.; Marino, G.; Lehmann, M.; Leister, D. Systems biology of responses to simultaneous copper and iron deficiency in Arabidopsis. Plant J. 2020, 103, 2119–2138. [Google Scholar] [CrossRef] [PubMed]
- Chia, J.-C.; Yan, J.; Rahmati Ishka, M.; Faulkner, M.M.; Simons, E.; Huang, R.; Smieska, L.; Woll, A.; Tappero, R.; Kiss, A.; et al. Loss of OPT3 function decreases phloem copper levels and impairs crosstalk between copper and iron homeostasis and shoot-to-root signaling in Arabidopsis thaliana. Plant Cell 2023, 35, 2157–2185. [Google Scholar] [CrossRef] [PubMed]
- Connorton, J.M.; Balk, J.; Rodríguez-Celma, J. Iron homeostasis in plants—A brief overview. Metallomics 2017, 9, 813–823. [Google Scholar] [CrossRef]
- Yang, W.; Zhao, F.; Ding, Z.; Wang, Y.; Zhang, X.; Zhu, Z.; Yang, X. Variation of tolerance and accumulation to excess iron in 24 willow clones: Implications for phytoextraction. Int. J. Phytoremediat. 2018, 20, 1284–1291. [Google Scholar] [CrossRef]
- Kumar, V.; Sharma, A.; Kaur, P.; Singh Sidhu, G.P.; Bali, A.S.; Bhardwaj, R.; Thukral, A.K.; Cerda, A. Pollution assessment of heavy metals in soils of India and ecological risk assessment: A state-of-the-art. Chemosphere 2019, 216, 449–462. [Google Scholar] [CrossRef]
- Sharma, A.; Sharma, D.; Verma, S.K. In silico Study of Iron, Zinc and Copper Binding Proteins of Pseudomonas syringae pv. lapsa: Emphasis on Secreted Metalloproteins. Front. Microbiol. 2018, 9, 1838. [Google Scholar] [CrossRef]
- Kumar, V.; Pandita, S.; Singh Sidhu, G.P.; Sharma, A.; Khanna, K.; Kaur, P.; Bali, A.S.; Setia, R. Copper bioavailability, uptake, toxicity and tolerance in plants: A comprehensive review. Chemosphere 2021, 262, 127810. [Google Scholar] [CrossRef] [PubMed]
- Kabata-Pendias, A.; Szteke, B. Trace Elements in Abiotic and Biotic Environments; Taylor & Francis: Boca Raton, FL, USA; London, UK; New York, NY, USA, 2015. [Google Scholar] [CrossRef]
- Broadley, M.; Brown, P.; Cakmak, I.; Rengel, Z.; Zhao, F. Chapter 7—Function of Nutrients: Micronutrients. In Marschner’s Mineral Nutrition of Higher Plants, 3rd ed.; Marschner, P., Ed.; Academic Press: San Diego, CA, USA, 2012; pp. 191–248. [Google Scholar]
- Siqueira-Silva, A.I.; Rios, C.O.; Pereira, E.G. Iron toxicity resistance strategies in tropical grasses: The role of apoplastic radicular barriers. J. Environ. Sci. 2019, 78, 257–266. [Google Scholar] [CrossRef] [PubMed]
- Sherasia, P.L.; Garg, M.R.; Bhanderi, B.M. Pulses and Their By-Products as Animal Feed; United Nations: New York, NY, USA, 2018. [Google Scholar] [CrossRef]
- Andrade, S.A.L.d.; Jorge, R.A.; Silveira, A.P.D.d. Cadmium effect on the association of jackbean (Canavalia ensiformis) and arbuscular mycorrhizal fungi. Sci. Agric. 2005, 62, 389–394. [Google Scholar] [CrossRef]
- Silva-López, R.E.d. Canavalia ensiformis (L.) DC (Fabaceae). Revi. Fitos 2012, 7, 146–154. [Google Scholar] [CrossRef]
- Santana, P.H.L.; Burak, D.L.; Thiengo, C.C.; Peçanha, A.L.; Neves, M.A.; Mendonça, E.d.S. Jack beans and vetiver grass growth on iron ore tailing sediments from the Doce River dam disaster in Brazil: Plant growth regulator effects under different edaphic conditions. J. Soils Sediments 2020, 20, 4103–4110. [Google Scholar] [CrossRef]
- Diakostefani, A.; Velissaris, R.; Cvijanovic, E.; Bulgin, R.; Pantelides, A.; Leitch, I.J.; Mian, S.; Morton, J.A.; Gomez, M.S.; Chapman, M.A. Genome resources for underutilised legume crops: Genome sizes, genome skimming and marker development. Genet. Resour. Crop. Evol. 2024, 71, 427–438. [Google Scholar] [CrossRef]
- Cavalcante, V.S.; Santos, V.R.; Santos Neto, A.L.d.; Santos, M.A.L.d.; Santos, C.G.d.; Costa, L.C. Biomass production and nutrient removal by plant cover. Rev. Bras. Eng. Agricola E Ambient. 2012, 16, 521–528. [Google Scholar] [CrossRef]
- Maia, F.; Miranda, N.; Melo, I.; Viana, M.; Góis, S. Biomassa de feijão de porco sob diferentes densidades de semeadura em Mossoró, RN. Agropecuária Científica No Semiárido 2013, 9, 43–49. [Google Scholar]
- Andrade, S.A.L.; Gratão, P.L.; Azevedo, R.A.; Silveira, A.P.D.; Schiavinato, M.A.; Mazzafera, P. Biochemical and physiological changes in jack bean under mycorrhizal symbiosis growing in soil with increasing Cu concentrations. Environ. Exp. Bot. 2010, 68, 198–207. [Google Scholar] [CrossRef]
- Ribeiro de Souza, S.C.; Adrián López de Andrade, S.; Anjos de Souza, L.; Schiavinato, M.A. Lead tolerance and phytoremediation potential of Brazilian leguminous tree species at the seedling stage. J. Environ. Manag. 2012, 110, 299–307. [Google Scholar] [CrossRef] [PubMed]
- da Silva Junior, C.A.; Coutinho, A.D.; de Oliveira-Júnior, J.F.; Teodoro, P.E.; Lima, M.; Shakir, M.; de Gois, G.; Johann, J.A. Analysis of the impact on vegetation caused by abrupt deforestation via orbital sensor in the environmental disaster of Mariana, Brazil. Land Use Policy 2018, 76, 10–20. [Google Scholar] [CrossRef]
- Ferraço, M.; Belo, A.F.; Madalão, J.C.; Pires, F.R.; Celim Filho, A. The residues of Canavalia ensiformis and Crotalaria juncea after phytoremediation in soil contaminated with sulfentrazone do not result in soil recontamination. Rev. Bras. Ciênc. Agrár. 2019, 14, 1–8. [Google Scholar] [CrossRef]
- Lancheros, A.; Brito, O.; Guimarães, M.d.F. Exploring the effects of B10 biodiesel contamination on Canavalia ensiformis growth and nutrition in artificially contaminated soil. Remediation 2024, 34, e21769. [Google Scholar] [CrossRef]
- Andrade, S.A.L.; Gratão, P.L.; Schiavinato, M.A.; Silveira, A.P.D.; Azevedo, R.A.; Mazzafera, P. Zn uptake, physiological response and stress attenuation in mycorrhizal jack bean growing in soil with increasing Zn concentrations. Chemosphere 2009, 75, 1363–1370. [Google Scholar] [CrossRef]
- da Silva, M.; de Andrade, S.A.L.; De-Campos, A.B. Phytoremediation Potential of Jack Bean Plant for Multi-Element Contaminated Soils From Ribeira Valley, Brazil. CLEAN–Soil. Air Water 2018, 46, 1700321. [Google Scholar] [CrossRef]
- Akib, M.A.; Kuswinanti, T.; Antonius, S.; Mustari, K.; Syaiful, S.A.; Nuddin, A.; Prayudyaningsih, R. Acaulospora sp: Can it help the growth of Canavalia ensiformis in heavy metal contaminated environment? IOP Conf. Ser. Earth Environ. Sci. 2020, 575, 012085. [Google Scholar] [CrossRef]
- Rangel, T.S.; Santana, N.A.; Jacques, R.J.S.; Ramos, R.F.; Scheid, D.L.; Koppe, E.; Tabaldi, L.A.; de Oliveira Silveira, A. Organic fertilization and mycorrhization increase copper phytoremediation by Canavalia ensiformis in a sandy soil. Environ. Sci. Pollut. Res. 2023, 30, 68271–68289. [Google Scholar] [CrossRef]
- Ramírez-Zamora, J.; Mussali-Galante, P.; Rodríguez, A.; Castrejón-Godínez, M.L.; Valencia-Cuevas, L.; Tovar-Sánchez, E. Assisted Phytostabilization of Mine-Tailings with Prosopis laevigata (Fabaceae) and Biochar. Plants 2022, 11, 3441. [Google Scholar] [CrossRef]
- Carnier, R.; Coscione, A.R.; Delaqua, D.; Puga, A.P.; de Abreu, C.A. Jack Bean Development in Multimetal Contaminated Soil Amended with Coffee Waste-Derived Biochars. Processes 2022, 10, 2157. [Google Scholar] [CrossRef]
- Santana, N.A.; Ferreira, P.A.A.; Tarouco, C.P.; Schardong, I.S.; Antoniolli, Z.I.; Nicoloso, F.T.; Jacques, R.J.S. Earthworms and mycorrhization increase copper phytoextraction by Canavalia ensiformis in sandy soil. Ecotoxicol. Environ. Saf. 2019, 182, 109383. [Google Scholar] [CrossRef] [PubMed]
- Smical, A.I.; Hotea, V.; Oros, V.; Juhasz, J.; Pop, E. Studies on transfer and bioaccumulation of heavy metals from soil into lettuce. Environ. Eng. Manag. J. 2008, 7, 609–615. [Google Scholar] [CrossRef]
- Demattê, J.L.I. Levantamento Detalhado de Solos do “Campus Experimental de Ilha Solteira”. Master’s Thesis, Escola Superior de Agricultura Luiz de Queiroz, Piracicaba, Brazil, 1980; 44p. (In Portuguese). [Google Scholar]
- Santos, H.G.d.; Jacomine, P.K.T.; Anjos, L.H.C.d.; Oliveira, V.Á.d.; Lumbreras, J.F.; Coelho, M.R.; Almeida, J.A.d.; Filho, J.C.d.A.; Oliveira, J.B.d.; Cunha, T.J.F. Sistema Brasileiro de Classificação de Solos, 5th ed.; Embrapa: Brasília, Brazil, 2018; p. 365. (In Portuguese) [Google Scholar]
- Soil Survey Staff. Keys to Soil Taxonomy, 13th ed.; USDA-Natural Resources Conservation Service: Washington, DC, USA, 2022. Available online: https://www.nrcs.usda.gov/sites/default/files/2022-09/Keys-to-Soil-Taxonomy.pdf (accessed on 5 January 2024).
- Raij Van, B. Fertilidade do Solo e Adubação; Ceres: Piracicaba, Brazil, 1991; p. 343. (In Portuguese) [Google Scholar]
- Teixeira, P.C. Manual de Métodos de Análise de Solo, 3rd ed.; Embrapa: Brasília, Brazil, 2017; p. 574. (In Portuguese) [Google Scholar]
- Brasil. Conselho Nacional do Meio Ambiente (CONAMA). Resolução nº 420, de 28 de Dezembro de 2009. Dispõe Sobre Critérios e Valores Orientadores de Qualidade do Solo Quanto à Presença de Substâncias Químicas e Estabelece Diretrizes para o Gerenciamento Ambiental de Áreas Contaminadas por Essas Substâncias em Decorrência de Atividades Antrópicas. Diário Oficial da União, Brasília, DF, Brazil, 2009; pp. 81–84. Available online: https://cetesb.sp.gov.br/areas-contaminadas/wp-content/uploads/sites/17/2017/09/resolucao-conama-420-2009-gerenciamento-de-acs.pdf (accessed on 5 January 2024). (In Portuguese)
- Batista, É.R.; Carneiro, J.J.; Araújo Pinto, F.; dos Santos, J.V.; Carneiro, M.A.C. Environmental drivers of shifts on microbial traits in sites disturbed by a large-scale tailing dam collapse. Sci. Total Environ. 2020, 738, 139453. [Google Scholar] [CrossRef] [PubMed]
- Bomfim, N.C.P.; Aguilar, J.V.; de Paiva, W.d.S.; de Souza, L.A.; Justino, G.C.; Faria, G.A.; Camargos, L.S. Iron phytostabilization by Leucaena leucocephala. S. Afr. J. Bot. 2021, 138, 318–327. [Google Scholar] [CrossRef]
- Bomfim, N.C.P.; Aguilar, J.V.; Ferreira, T.C.; dos Santos, B.S.; de Paiva, W.d.S.; de Souza, L.A.; Camargos, L.S. Root development in Leucaena leucocephala (Lam.) de Wit enhances copper accumulation. Environ. Sci. Pollut. Res. 2023, 30, 80245–80260. [Google Scholar] [CrossRef]
- Raij, B.v.; Andrade, J.C.d.; Cantarella, H.; Quaggio, J.A. Análise Química para Avaliação da Fertilidade de Solos Tropicais; Instituto Agronômico: Campinas, Brazil, 2001. (In Portuguese) [Google Scholar]
- Silva, F.C.d. Manual de Análises Químicas de Solos, Plantas e Fertilizantes; Embrapa Informação Tecnológica: Brasília, Brazil; Embrapa Solos: Rio de Janeiro, Brasil, 2009; p. 627. (In Portuguese) [Google Scholar]
- U.S. EPA. Method 3051A (SW-846): Microwave Assisted Acid Digestion of Sediments, Sludges, and Oils, Revision 1; U.S. EPA: Washington, DC, USA, 2007. Available online: https://www.epa.gov/sites/default/files/2015-12/documents/3051a.pdf (accessed on 5 January 2024).
- Carvalho, I.F.d.; Alves, P.B.; Ferreira, T.C.; Santos, B.S.d.; Cozin, B.B.; Souza, R.P.d.; Camargos, L.S. Effects of iron and copper on emergence and physiology of Canavalia ensiformis (L.) DC. Rev. Caatinga 2025, 38, e12686. [Google Scholar] [CrossRef]
- Melkonian, J.; Wolfe, D.W.; Owens, T.G. Effects of elevated carbon dioxide on gas exchange and photochemical and nonphotochemical quenching at low temperature in tobacco plants varying in Rubisco activity. Photosynth. Res. 2005, 83, 63–74. [Google Scholar] [CrossRef]
- Zhang, B.B.; Xu, J.L.; Zhou, M.; Yan, D.H.; Ma, R.J. Effect of light quality on leaf photosynthetic characteristics and fruit quality of peach (Prunus persica L. Batch). Photosynthetica 2018, 56, 1113–1122. [Google Scholar] [CrossRef]
- Parkinson, K.J.; Day, W.; Leach, J.E. A Portable System for Measuring the Photosynthesis and Transpiration of Graminaceous Leaves. J. Exp. Bot. 1980, 31, 1441–1453. [Google Scholar] [CrossRef]
- Nijs, I.; Ferris, R.; Blum, H.; Hendrey, G.; Impens, I. Stomatal regulation in a changing climate: A field study using Free Air Temperature Increase (FATI) and Free Air CO2 Enrichment (FACE). Plant Cell Environ. 1997, 20, 1041–1050. [Google Scholar] [CrossRef]
- Cannell, M.G.R.; Thornley, J.H.M. Modelling the Components of Plant Respiration: Some Guiding Principles. Ann. Bot. 2000, 85, 45–54. [Google Scholar] [CrossRef]
- Benincasa, M.M.P. Análise de Crescimento de Plantas (Noções Básicas), 2nd ed.; Funep: Jaboticabal, Brazil, 2003. (In Portuguese) [Google Scholar]
- Scheffer-Basso, S.M. Caracterização Morfológica e Fixação Biológica de Nitrogênio de Espécies de Adesmia DC e Lotus L; UFRGS: Farroupilha, Brazil, 1999. (In Portuguese) [Google Scholar]
- Hiscox, J.; Israelstam, G. A method for the extraction of chlorophyll from leaf tissue without maceration. Can. J. Bot. 1979, 57, 1332–1334. [Google Scholar] [CrossRef]
- Wellburn, A.R. The Spectral Determination of Chlorophylls a and b, as well as Total Carotenoids, Using Various Solvents with Spectrophotometers of Different Resolution. J. Plant Physiol. 1994, 144, 307–313. [Google Scholar] [CrossRef]
- Malavolta, E. Avaliação do Estado Nutricional das Plantas: Princípios e Aplicações, 2nd ed.; Malavolta, E., Vitti, G.C., de Oliveira, S.A., Eds.; Potafos: Piracicaba, Brazil, 1997. (In Portuguese) [Google Scholar]
- Rahman, M.M.; Azirun, S.M.; Boyce, A.N. Enhanced Accumulation of Copper and Lead in Amaranth (Amaranthus paniculatus), Indian Mustard (Brassica juncea) and Sunflower (Helianthus annuus). PLoS ONE 2013, 8, e62941. [Google Scholar] [CrossRef] [PubMed]
- Scott, A.J.; Knott, M. A Cluster Analysis Method for Grouping Means in the Analysis of Variance. Biometrics 1974, 30, 507–512. [Google Scholar] [CrossRef]
- R Core Team. R: A Language and Environment for Statistical Computing; R Foundation for Statistical Computing: Vienna, Austria, 2022; Available online: https://www.R-project.org/ (accessed on 5 January 2024).
- Wang, R.-X.; Wang, Z.-H.; Sun, Y.-D.; Wang, L.-L.; Li, M.; Liu, Y.-T.; Zhang, H.-M.; Jing, P.-W.; Shi, Q.-F.; Yu, Y.-H. Molecular mechanism of plant response to copper stress: A review. Environ. Exp. Bot. 2024, 218, 105590. [Google Scholar] [CrossRef]
- Zhang, Y.; Yang, Z.; Zhang, Z.; Li, Y.; Guo, J.; Liu, L.; Wang, C.; Fan, H.; Wang, B.; Han, G. Root Hair Development and Adaptation to Abiotic Stress. J. Agric. Food Chem. 2023, 71, 9573–9598. [Google Scholar] [CrossRef]
- Shabbir, Z.; Sardar, A.; Shabbir, A.; Abbas, G.; Shamshad, S.; Khalid, S.; Natasha; Murtaza, G.; Dumat, C.; Shahid, M. Copper uptake, essentiality, toxicity, detoxification and risk assessment in soil-plant environment. Chemosphere 2020, 259, 127436. [Google Scholar] [CrossRef]
- Ferreira, T.C.; Rosalem, P.F.; Aguilar, J.V.; da Silva, V.N.; de Araujo, M.A.; Martins, A.R.; de Camargos, L.S. Growth, nodulation, and anatomical characterization of Calopogonium mucunoides Desv., a tropical legume, in copper-contaminated soil. Rev. Bras. Bot. 2023, 46, 633–644. [Google Scholar] [CrossRef]
- Duan, C.; Razavi, B.S.; Shen, G.; Cui, Y.; Ju, W.; Li, S.; Fang, L. Deciphering the rhizobium inoculation effect on spatial distribution of phosphatase activity in the rhizosphere of alfalfa under copper stress. Soil. Biol. Biochem. 2019, 137, 107574. [Google Scholar] [CrossRef]
- Costa, B.G.P.; Aguilar, J.V.; dos Santos, B.S.; Olivio, M.L.G.; de Souza, R.P.; Ferreira, T.C.; Lapaz, A.d.M.; de Souza, L.A.; de Camargos, L.S. Nitrogen Metabolism of Stizolobium aterrimum Grown in Soil Under Toxic Concentrations of Copper (Cu). Horticulturae 2025, 11, 782. [Google Scholar] [CrossRef]
- Carvalho, L.R.; Pereira, L.E.T.; Hungria, M.; Camargo, P.B.; Da Silva, S.C. Nodulation and biological nitrogen fixation (BNF) in forage peanut (Arachis pintoi) cv. Belmonte subjected to grazing regimes. Agric. Ecosyst. Environ. 2019, 278, 96–106. [Google Scholar] [CrossRef]
- Hiiesalu, I.; Bahram, M.; Tedersoo, L. Plant species richness and productivity determine the diversity of soil fungal guilds in temperate coniferous forest and bog habitats. Mol. Ecol. 2017, 26, 4846–4858. [Google Scholar] [CrossRef] [PubMed]
- Zhang, Q.; Deng, J.; Zhu, W.-X.; Wu, S.; Bai, X.; Zhou, Y.; Yin, Y. Land-Use Types Combined with Plant Species Alter Soil Fungal Community and Functional Guilds in the Eastern Mountainous Region of Liaoning Province, China. Pol. J. Environ. Stud. 2020, 30, 477–495. [Google Scholar] [CrossRef]
- Zhang, X.; Fu, G.; Xing, S.; Fu, W.; Liu, X.; Wu, H.; Zhou, X.; Ma, Y.; Zhang, X.; Chen, B. Structure and diversity of fungal communities in long-term copper-contaminated agricultural soil. Sci. Total. Environ. 2022, 806, 151302. [Google Scholar] [CrossRef] [PubMed]
- Sun, M.; Li, S.; Gong, Q.; Xiao, Y.; Peng, F. Leucine Contributes to Copper Stress Tolerance in Peach (Prunus persica) Seedlings by Enhancing Photosynthesis and the Antioxidant Defense System. Antioxidants 2022, 11, 2455. [Google Scholar] [CrossRef]
- Li, Q.; Chen, H.-H.; Qi, Y.-P.; Ye, X.; Yang, L.-T.; Huang, Z.-R.; Chen, L.-S. Excess copper effects on growth, uptake of water and nutrients, carbohydrates, and PSII photochemistry revealed by OJIP transients in Citrus seedlings. Environ. Sci. Pollut. Res. 2019, 26, 30188–30205. [Google Scholar] [CrossRef]
- Mendes, T.F.S.; Ferreira Tassia, C.; Bomfim Nayane Cristina, P.; Aguilar Jailson, V.; de Camargos Liliane, S. Metabolic Responses to Excess Manganese in Legumes: Variations in Nitrogen Compounds in Canavalia ensiformis (L.) DC and Cajanus cajan (L.) Millsp. Legume Sci. 2024, 6, e70003. [Google Scholar] [CrossRef]
- Marques, D.M.; da Silva, A.B.; Mantovani, J.R.; Magalhães, P.C.; de Souza, T.C. Root morphology and leaf gas exchange in Peltophorum dubium (Spreng.) Taub. (Caesalpinioideae) exposed to copper-induced toxicity. S. Afr. J. Bot. 2019, 121, 186–192. [Google Scholar] [CrossRef]
- Lillo, F.; Ginocchio, R.; Ulriksen, C.; Dovletyarova, E.A.; Neaman, A. Evaluation of connected clonal growth of Solidago chilensis as an avoidance mechanism in copper-polluted soils. Chemosphere 2019, 230, 303–307. [Google Scholar] [CrossRef] [PubMed]
- Bouazizi, H.; Jouili, H.; Geitmann, A.; El Ferjani, E. Copper toxicity in expanding leaves of Phaseolus vulgaris L.: Antioxidant enzyme response and nutrient element uptake. Ecotoxicol. Environ. Saf. 2010, 73, 1304–1308. [Google Scholar] [CrossRef]
- Phillips, D.A. Efficiency of Symbiotic Nitrogen Fixation in Legumes. Annu. Rev. Plant Biol. 1980, 31, 29–49. [Google Scholar] [CrossRef]
- Briat, J.-F.; Dubos, C.; Gaymard, F. Iron nutrition, biomass production, and plant product quality. Trends Plant Sci. 2015, 20, 33–40. [Google Scholar] [CrossRef]
- Rai, P.K. Heavy metals and arsenic phytoremediation potential of invasive alien wetland plants Phragmites karka and Arundo donax: Water-Energy-Food (W-E-F) Nexus linked sustainability implications. Bioresour. Technol. Rep. 2021, 15, 100741. [Google Scholar] [CrossRef]
- Briat, J.-F.; Curie, C.; Gaymard, F. Iron utilization and metabolism in plants. Curr. Opin. Plant Biol. 2007, 10, 276–282. [Google Scholar] [CrossRef]
- Briat, J.-F.; Cellier, F.; Gaymard, F. Ferritins and Iron Accumulation in Plant Tissues. In Iron Nutrition in Plants and Rhizospheric Microorganisms; Barton, L.L., Abadia, J., Eds.; Springer: Dordrecht, The Netherlands, 2006; pp. 341–357. [Google Scholar]
- Liu, X.X.; Zhu, X.F.; Xue, D.W.; Zheng, S.J.; Jin, C.W. Beyond iron-storage pool: Functions of plant apoplastic iron during stress. Trends Plant Sci. 2023, 28, 941–954. [Google Scholar] [CrossRef]
- Liu, X.; Chi, H.; Tan, Z.; Yang, X.; Sun, Y.; Li, Z.; Hu, K.; Hao, F.; Liu, Y.; Yang, S.; et al. Heavy metals distribution characteristics, source analysis, and risk evaluation of soils around mines, quarries, and other special areas in a region of northwestern Yunnan, China. J. Hazard. Mater. 2023, 458, 132050. [Google Scholar] [CrossRef]
- da Silva, A.P.V.; Silva, A.O.; Lima, F.R.D.d.; Benedet, L.; Franco, A.d.J.; Souza, J.K.d.; Ribeiro Júnior, A.C.; Batista, É.R.; Inda, A.V.; Curi, N.; et al. Potentially toxic elements in iron mine tailings: Effects of reducing soil pH on available concentrations of toxic elements. Environ. Res. 2022, 215, 114321. [Google Scholar] [CrossRef]
- de Mello Gabriel, G.V.; Pitombo, L.M.; Rosa, L.M.T.; Navarrete, A.A.; Botero, W.G.; do Carmo, J.B.; de Oliveira, L.C. The environmental importance of iron speciation in soils: Evaluation of classic methodologies. Environ. Monit. Assess. 2021, 193, 63. [Google Scholar] [CrossRef] [PubMed]
- Chen, C.; Hall, S.J.; Coward, E.; Thompson, A. Iron-mediated organic matter decomposition in humid soils can counteract protection. Nat. Commun. 2020, 11, 2255. [Google Scholar] [CrossRef]
- Prado, I.G.d.O.; da Silva, M.d.C.S.; Prado, D.G.d.O.; Kemmelmeier, K.; Pedrosa, B.G.; Silva, C.C.d.; Kasuya, M.C.M. Revegetation process increases the diversity of total and arbuscular mycorrhizal fungi in areas affected by the Fundão dam failure in Mariana, Brazil. Appl. Soil Ecol. 2019, 141, 84–95. [Google Scholar] [CrossRef]
- Santos, O.S.H.; Avellar, F.C.; Alves, M.; Trindade, R.C.; Menezes, M.B.; Ferreira, M.C.; França, G.S.; Cordeiro, J.; Sobreira, F.G.; Yoshida, I.M.; et al. Understanding the Environmental Impact of a Mine Dam Rupture in Brazil: Prospects for Remediation. J. Environ. Qual. 2019, 48, 439–449. [Google Scholar] [CrossRef]
- Pierangeli, M.A.P.; Guilherme, L.R.G.; Curi, N.; Silva, M.L.N.; Lima, J.M.d.; Costa, E.T.d.S. Efeito do pH na adsorção e dessorção de cádmio em Latossolos brasileiros. Rev. Bras. Cienc. Do Solo 2005, 29, 523–532. [Google Scholar] [CrossRef]
- Wagai, R.; Kajiura, M.; Asano, M. Iron and aluminum association with microbially processed organic matter via meso-density aggregate formation across soils: Organo-metallic glue hypothesis. Soil 2020, 6, 597–627. [Google Scholar] [CrossRef]
- Ferreira, T.C.; Rosalem, P.F.; Olivio, M.L.G.; dos Santos, B.S.; Bomfim, N.C.P.; Coscione, A.R.; Martins, A.R.; de Camargos, L.S. Responses of tropical legumes to nickel stress: Impacts on growth, foliar structure, and nitrogen metabolism. Acta Physiol. Plant. 2025, 47, 69. [Google Scholar] [CrossRef]
- dos Santos, B.S.; Ferreira, T.C.; Rosalem, P.F.; Olivio, M.L.G.; Bossardi, V.P.; Martins, A.R.; Souza, L.A.; Camargos, L.S.d. Aluminum stress in Crotalaria spp.: Anatomic changes, antioxidative response and nutrition. Plant Stress 2025, 17, 100967. [Google Scholar] [CrossRef]
- Fox, J.; Weisberg, S. An R Companion to Applied Regression, 3rd ed.; Sage Publications: Thousand Oaks, CA, USA, 2019; Available online: https://www.perlego.com/book/4792283/an-r-companion-to-applied-regression-pdf (accessed on 20 January 2023).
- Wilke, C.O. cowplot: Streamlined Plot Theme and Plot Annotations for ‘ggplot2’, 2020. R Package Version 1.1.1. R Foundation for Statistical Computing: Vienna, Austria. Available online: https://CRAN.R-project.org/package=cowplot (accessed on 20 January 2023).
- Arnold, T.B.; Emerson, J.W. Nonparametric Goodness-of-Fit Tests for Discrete Null Distributions. R J. 2011, 3, 34–39. [Google Scholar] [CrossRef]
- Wickham, H.; François, R.; Henry, L.; Müller, K.; Vaughan, D. dplyr: A Grammar of Data Manipulation; R Foundation for Statistical Computing: Vienna, Austria, 2023; Available online: https://CRAN.R-project.org/package=dplyr (accessed on 20 January 2023).
- Ferreira, E.B.; Cavalcanti, P.P.; Nogueira, D.A. ExpDes.pt: Pacote Experimental Designs (Português); R Foundation for Statistical Computing: Vienna, Austria, 2021; Available online: https://CRAN.R-project.org/package=ExpDes.pt (accessed on 20 January 2023).
- Kassambara, A.; Mundt, F. Factoextra: Extract and Visualize the Results of Multivariate Data Analyses; R Foundation for Statistical Computing: Vienna, Austria, 2020; Available online: https://CRAN.R-project.org/package=factoextra (accessed on 20 January 2023).
- Lê, S.; Josse, J.; Husson, F. FactoMineR: An R Package for Multivariate Analysis. J. Stat. Softw. 2008, 25, 1–18. [Google Scholar] [CrossRef]
- Schloerke, B.; Cook, D.; Larmarange, J.; Briatte, F.; Marbach, M.; Thoen, E.; Elberg, A.; Crowley, J. GGally: Extension to ‘ggplot2’; R Foundation for Statistical Computing: Vienna, Austria, 2021; Available online: https://CRAN.R-project.org/package=GGally (accessed on 20 January 2023).
- Xu, S.; Chen, M.; Feng, T.; Zhan, L.; Zhou, L.; Yu, G. Use ggbreak to Effectively Utilize Plotting Space to Deal with Large Datasets and Outliers. Front. Genet. 2021, 12, 774846. [Google Scholar] [CrossRef]
- Horikoshi, M.; Tang, Y. ggfortify: Data Visualization Tools for Statistical Analysis Results; R Foundation for Statistical Computing: Vienna, Austria, 2016; Available online: https://CRAN.R-project.org/package=ggfortify (accessed on 20 January 2023).
- van der Brand, T. ggh4x: Hacks for ‘ggplot2’; R Foundation for Statistical Computing: Vienna, Austria, 2023; Available online: https://CRAN.R-project.org/package=ggh4x (accessed on 20 January 2023).
- Wickham, H. ggplot2: Elegant Graphics for Data Analysis; Springer: New York, NY, USA, 2016; Available online: https://ggplot2.tidyverse.org (accessed on 20 January 2023).
- Kassambara, A. ggpubr: ‘ggplot2’ Based Publication Ready Plots; R Foundation for Statistical Computing: Vienna, Austria, 2023; Available online: https://CRAN.R-project.org/package=ggpubr (accessed on 20 January 2023).
- Arnold, J.B.; Daroczi, G.; Werth, B.; Weitzner, B.; Kunst, J.; Auguie, B.; Rudis, B.; Wickham, H.; Talbot, J.; London, J. ggthemes: Extra Themes, Scales and Geoms for ‘ggplot2’; R Foundation for Statistical Computing: Vienna, Austria, 2021; Available online: https://CRAN.R-project.org/package=ggthemes (accessed on 20 January 2023).
- Walter, W.; Sanchez-Cabo, F.; Ricote, M. GOplot: An R Package for Visually Combining Expression Data with Functional Analysis. Bioinformatics 2015, 31, 2912–2914. [Google Scholar] [CrossRef] [PubMed]
- Graves, S.; Piepho, H.-P.; Selzer, L.; Dorai-Raj, S. multcompView: Visualizations of Paired Comparisons; R Foundation for Statistical Computing: Vienna, Austria, 2023; Available online: https://CRAN.R-project.org/package=multcompView (accessed on 20 January 2023).
- Wickham, H. The Split-Apply-Combine Strategy for Data Analysis. J. Stat. Softw. 2011, 40, 1–29. [Google Scholar] [CrossRef]
- Revelle, W. psych: Procedures for Psychological, Psychometric, and Personality Research; R Foundation for Statistical Computing: Vienna, Austria, 2023; Available online: https://CRAN.R-project.org/package=psych (accessed on 20 January 2023).
- Epskamp, S.; Cramer, A.O.J.; Waldorp, L.J.; Schmittmann, V.D.; Borsboom, D. qgraph: Network Visualizations of Relationships in Psychometric Data. J. Stat. Softw. 2012, 48, 1–18. [Google Scholar] [CrossRef]
- Wickham, H.; Bryan, J. readxl: Read Excel Files; R Foundation for Statistical Computing: Vienna, Austria, 2023; Available online: https://CRAN.R-project.org/package=readxl (accessed on 20 January 2023).
- Kassambara, A. rstatix: Pipe-Friendly Framework for Basic Statistical Tests. 2023. Available online: https://CRAN.R-project.org/package=rstatix (accessed on 20 January 2023).








| Layer 0–40 cm | Soil Chemical Characterization |
|---|---|
| 5.3 | pH |
| 50 | Base saturation, V% |
| 1.31 cmolc.dm−3 | Sum of bases, SB |
| 0.7 cmolc.dm−3 | Calcium, Ca2+ |
| 0.01 cmolc.dm−3 | Exchangeable potassium, K+ |
| 0.06 cmolc.dm−3 | Exchangeable magnesium, Mg2+ |
| 1.3 cmolc.dm−3 | Potential acidity, H+ + Al3+ |
| 0.00 cmolc.dm−3 | Aluminum, Al3 |
| 1.00 mg dm−3 | Phosphorus resin, P |
| 16.00 g dm−3 | Organic matter, OM |
| 2.61 cmolc.dm−3 | Cation exchange capacity, CEC |
| Micronutrient Analysis | |
| 5.50 mg dm−3 | DTPA manganese, Mn |
| 16.00 mg dm−3 | DTPA iron, Fe |
| 0.50 mg dm−3 | DTPA copper, Cu |
| 0.20 mg dm−3 | DTPA zinc, Zn |
| 0.06 mg dm−3 | Boron, B |
| Physical characterization of the soil | |
| 134 g kg−1 | Clay |
| 855 g kg−1 | Sand |
| 12 g kg−1 | Silt |
| 1.47 kg dm−3 | Density |
Disclaimer/Publisher’s Note: The statements, opinions and data contained in all publications are solely those of the individual author(s) and contributor(s) and not of MDPI and/or the editor(s). MDPI and/or the editor(s) disclaim responsibility for any injury to people or property resulting from any ideas, methods, instructions or products referred to in the content. |
© 2025 by the authors. Licensee MDPI, Basel, Switzerland. This article is an open access article distributed under the terms and conditions of the Creative Commons Attribution (CC BY) license (https://creativecommons.org/licenses/by/4.0/).
Share and Cite
Bomfim, N.C.P.; Ferreira, T.C.; Aguilar, J.V.; Olivio, M.L.G.; dos Santos, B.S.; Carvalho, I.F.; Coscione, A.R.; Souza, L.A.; Camargos, L.S. From Micronutrients to Potentially Toxic Elements: Physiological Responses of Canavalia ensiformis to Copper and Iron. Metabolites 2025, 15, 706. https://doi.org/10.3390/metabo15110706
Bomfim NCP, Ferreira TC, Aguilar JV, Olivio MLG, dos Santos BS, Carvalho IF, Coscione AR, Souza LA, Camargos LS. From Micronutrients to Potentially Toxic Elements: Physiological Responses of Canavalia ensiformis to Copper and Iron. Metabolites. 2025; 15(11):706. https://doi.org/10.3390/metabo15110706
Chicago/Turabian StyleBomfim, Nayane Cristina Pires, Tassia Caroline Ferreira, Jailson Vieira Aguilar, Maiara Luzia Grigoli Olivio, Beatriz Silvério dos Santos, Isabella Fiorini Carvalho, Aline Renee Coscione, Lucas Anjos Souza, and Liliane Santos Camargos. 2025. "From Micronutrients to Potentially Toxic Elements: Physiological Responses of Canavalia ensiformis to Copper and Iron" Metabolites 15, no. 11: 706. https://doi.org/10.3390/metabo15110706
APA StyleBomfim, N. C. P., Ferreira, T. C., Aguilar, J. V., Olivio, M. L. G., dos Santos, B. S., Carvalho, I. F., Coscione, A. R., Souza, L. A., & Camargos, L. S. (2025). From Micronutrients to Potentially Toxic Elements: Physiological Responses of Canavalia ensiformis to Copper and Iron. Metabolites, 15(11), 706. https://doi.org/10.3390/metabo15110706

