Volatile Organic Compounds in Cellular Headspace after Hyperbaric Oxygen Exposure: An In Vitro Pilot Study
Abstract
1. Introduction
2. Materials and Methods
2.1. Preparation of the Cell Lines
2.2. Hyperbaric Exposure, Oxygenation, and Sampling
2.3. Assessment of Cell Stress
2.4. Gas Chromatography–Mass Spectrometry (GC–MS) Analysis
2.5. Statistical Analysis and Identification of Compounds
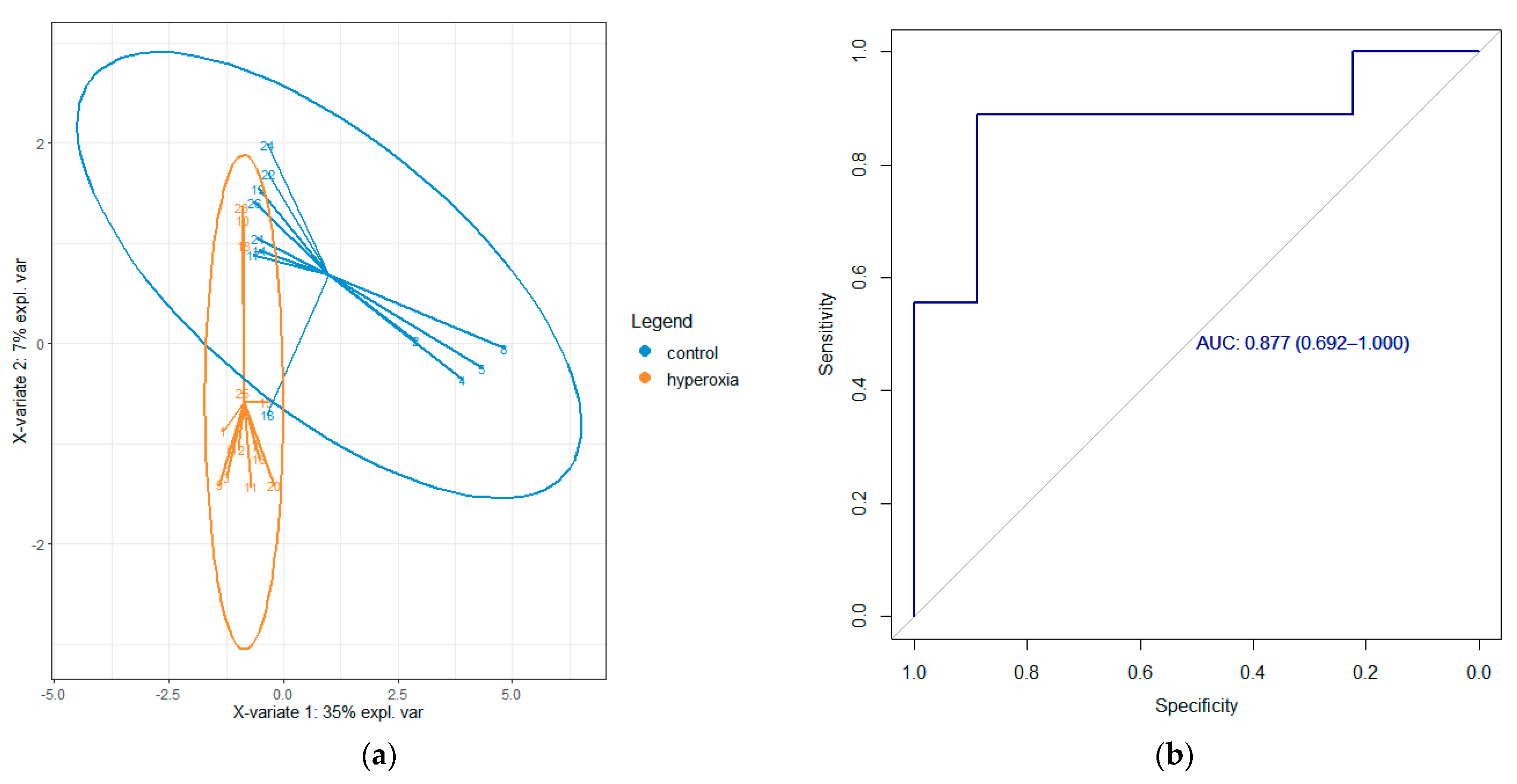
3. Results
4. Discussion
4.1. Identified Compounds and Signal Intensities
4.2. Strengths and Limitations
5. Conclusions
Author Contributions
Funding
Institutional Review Board Statement
Informed Consent Statement
Data Availability Statement
Acknowledgments
Conflicts of Interest
References
- Singer, M.; Young, P.J.; Laffey, J.G.; Asfar, P.; Taccone, F.S.; Skrifvars, M.B.; Meyhoff, C.S.; Radermacher, P. Dangers of Hyperoxia. Crit. Care 2021, 25, 440. [Google Scholar] [CrossRef]
- Fenn, D.; Lilien, T.A.; Hagens, L.A.; Smit, M.R.; Heijnen, N.F.L.; Tuip-de Boer, A.M.; Neerincx, A.H.; Golebski, K.; Bergmans, D.C.J.J.; Schnabel, R.M.; et al. Validation of Volatile Metabolites of Pulmonary Oxidative Injury: A Bench to Bedside Study. ERJ Open Res. 2022, 9, 00427–2022. [Google Scholar] [CrossRef]
- de Jong, F.J.M.; Brinkman, P.; Wingelaar, T.T.; van Ooij, P.-J.A.M.; van Hulst, R.A. Volatile Organic Compounds Frequently Identified after Hyperbaric Hyperoxic Exposure: The VAPOR Library. Metabolites 2022, 12, 470. [Google Scholar] [CrossRef]
- van Ooij, P.-J.A.M.; Hollmann, M.; van Hulst, R.; Sterk, P. Assessment of Pulmonary Oxygen Toxicity: Relevance to Professional Diving; a Review. Respir. Physiol. Neurobiol. 2013, 189, 117–128. [Google Scholar] [CrossRef]
- Klein, J. Normobaric Pulmonary Oxygen Toxicity. Anesth. Analg. 1990, 70, 195–207. [Google Scholar] [CrossRef]
- Bardin, H.; Lambertsen, C.J. A Quantitative Method for Calculating Pulmonary Toxicity: Use of the ‘Unit Pulmonary Toxicity Dose’ (UPTD); Institute for Environmental Medicine, University of Pennsylvania: Philadelphia, PA, USA, 1970; Volume 4. [Google Scholar]
- Wright, W.B. Calculation of Cumulative Pulmonary Oxygen Toxicity; Navy Experimental Diving Unit: Panama City, FL, USA, 1972; pp. 1–25. [Google Scholar]
- Borsboom, G.J.J.M.; Van Pelt, W.; Van Houwelingen, H.C.; Van Vianen, B.G.; Schouten, J.P.; Quanjer, P.H. Diurnal Variation in Lung Function in Subgroups from Two Dutch Populations Consequences for Longitudinal Analysis. Am. J. Respir. Crit. Care Med. 1999, 159, 1163–1171. [Google Scholar] [CrossRef]
- Caldeira, M.; Barros, A.S.; Bilelo, M.J.; Parada, A.; Câmara, J.S.; Rocha, S.M. Profiling Allergic Asthma Volatile Metabolic Patterns Using a Headspace-Solid Phase Microextraction/Gas Chromatography Based Methodology. J. Chromatogr. A 2011, 1218, 3771–3780. [Google Scholar] [CrossRef]
- Bos, L.D.J.; Weda, H.; Wang, Y.; Knobel, H.H.; Nijsen, T.M.E.; Vink, T.J.; Zwinderman, A.H.; Sterk, P.J.; Schultz, M.J. Exhaled Breath Metabolomics as a Noninvasive Diagnostic Tool for Acute Respiratory Distress Syndrome. Eur. Respir. J. 2014, 44, 188–197. [Google Scholar] [CrossRef]
- Filipiak, W.; Filipiak, A.; Sponring, A.; Schmid, T.; Zelger, B.; Ager, C.; Klodzinska, E.; Denz, H.; Pizzini, A.; Lucciarini, P.; et al. Comparative Analyses of Volatile Organic Compounds (VOCs) from Patients, Tumors and Transformed Cell Lines for the Validation of Lung Cancer-Derived Breath Markers. J. Breath Res. 2014, 8, 027111. [Google Scholar] [CrossRef]
- Schallschmidt, K.; Becker, R.; Jung, C.; Rolff, J.; Fichtner, I.; Nehls, I. Investigation of Cell Culture Volatilomes Using Solid Phase Micro Extraction: Options and Pitfalls Exemplified with Adenocarcinoma Cell Lines. J. Chromatogr. B 2015, 1, 158–166. [Google Scholar] [CrossRef]
- Zuurbier, C.J.; Eerbeek, O.; Meijer, A.J.; Zuurbier, C.J. Ischemic Preconditioning, Insulin, and Morphine All Cause Hexokinase Redistribution. Am. J. Physiol. Heart Circ. Physiol. 2005, 289, 496–499. [Google Scholar] [CrossRef]
- de Jong, F.J.M.; Wingelaar, T.T.; Brinkman, P.; van Ooij, P.-J.A.M.; Maitland-van der Zee, A.H.; Hollmann, M.W.; van Hulst, R.A. Pulmonary Oxygen Toxicity Through Exhaled Breath Markers After Hyperbaric Oxygen Treatment Table 6. Front. Physiol. 2022, 13, 899568. [Google Scholar] [CrossRef]
- de Jong, F.J.; Brinkman, P.; Wingelaar, T.T.; van Ooij, P.-J.A.; van Hulst, R.A. Pulmonary Oxygen Toxicity Breath Markers after Heliox Diving to 81 Metres. Diving Hyperb. Med. J. 2023, 53, 340–344. [Google Scholar] [CrossRef]
- NIST Chemistry WebBook, SRD 69. Available online: https://webbook.nist.gov/chemistry/ (accessed on 16 March 2022).
- Drabińska, N.; Flynn, C.; Ratcliffe, N.; Belluomo, I.; Myridakis, A.; Gould, O.; Fois, M.; Smart, A.; Devine, T.; Costello, B.D.L. A Literature Survey of All Volatiles from Healthy Human Breath and Bodily Fluids: The Human Volatilome. J. Breath Res. 2021, 15, 034001. [Google Scholar]
- Kim, S.; Chen, J.; Cheng, T.; Gindulyte, A.; He, J.; He, S.; Li, Q.; Shoemaker, B.A.; Thiessen, P.A.; Yu, B.; et al. PubChem in 2021: New Data Content and Improved Web Interfaces. Nucleic Acids Res. 2021, 49, D1388–D1395. [Google Scholar] [CrossRef]
- Wishart, D.S.; Guo, A.C.; Oler, E.; Wang, F.; Anjum, A.; Peters, H.; Dizon, R.; Sayeeda, Z.; Tian, S.; Lee, B.L.; et al. HMDB 5.0: The Human Metabolome Database for 2022. Nucleic Acids Res. 2022, 50, D622–D631. [Google Scholar] [CrossRef]
- van Ooij, P.-J.A.M.; van Hulst, R.A.; Kulik, W.; Brinkman, P.; Houtkooper, A.; Sterk, P.J. Hyperbaric Oxygen Diving Affects Exhaled Molecular Profiles in Men. Respir. Physiol. Neurobiol. 2014, 198, 20–24. [Google Scholar] [CrossRef]
- Wingelaar, T.T.; Brinkman, P.; van Ooij, P.-J.A.M.; Hoencamp, R.; Maitland-van der Zee, A.H.; Hollmann, M.W.; van Hulst, R.A. Markers of Pulmonary Oxygen Toxicity in Hyperbaric Oxygen Therapy Using Exhaled Breath Analysis. Front. Physiol. 2019, 10, 475. [Google Scholar] [CrossRef]
- Barisch, C.; Holthuis, J.C.M.; Cosentino, K. Membrane Damage and Repair: A Thin Line between Life and Death. Biol. Chem. 2023, 404, 467–490. [Google Scholar] [CrossRef]
- Caldeira, M.; Perestrelo, R.; Barros, A.S.; Bilelo, M.J.; Morête, A.; Câmara, J.S.; Rocha, S.M. Allergic Asthma Exhaled Breath Metabolome: A Challenge for Comprehensive Two-Dimensional Gas Chromatography. J. Chromatogr. A 2012, 1254, 87–97. [Google Scholar] [CrossRef]
- Hakim, M.; Broza, Y.Y.; Barash, O.; Peled, N.; Phillips, M.; Amann, A.; Haick, H. Volatile Organic Compounds of Lung Cancer and Possible Biochemical Pathways. Chem. Rev. 2012, 112, 5949–5966. [Google Scholar] [CrossRef]
- Ayala, A.; Muñoz, M.F.; Argüelles, S. Lipid Peroxidation: Production, Metabolism, and Signaling Mechanisms of Malondialdehyde and 4-Hydroxy-2-Nonenal. Oxid. Med. Cell Longev. 2014, 2014, 360438. [Google Scholar] [CrossRef]
- Ratcliffe, N.; Wieczorek, T.; Drabińska, N.; Drabińska, N.; Gould, O.; Osborne, A.; De Lacy Costello, B. A Mechanistic Study and Review of Volatile Products from Peroxidation of Unsaturated Fatty Acids: An Aid to Understanding the Origins of Volatile Organic Compounds from the Human Body. J. Breath Res. 2020, 14, 034001. [Google Scholar] [CrossRef]
- Fuchs, P.; Loeseken, C.; Schubert, J.K.; Miekisch, W. Breath Gas Aldehydes as Biomarkers of Lung Cancer. Int. J. Cancer 2010, 126, 2663–2670. [Google Scholar] [CrossRef]
- Poli, D.; Goldoni, M.; Corradi, M.; Acampa, O.; Carbognani, P.; Internullo, E.; Casalini, A.; Mutti, A. Determination of Aldehydes in Exhaled Breath of Patients with Lung Cancer by Means of On-Fiber-Derivatisation SPME-GC/MS. J. Chromatogr. B Analyt. Technol. Biomed. Life Sci. 2010, 878, 2643–2651. [Google Scholar] [CrossRef]
- Filipiak, W.; Ruzsanyi, V.; Mochalski, P.; Filipiak, A.; Bajtarevic, A.; Ager, C.; Denz, H.; Hilbe, W.; Jamnig, H.; Hackl, M.; et al. Dependence of Exhaled Breath Composition on Exogenous Factors, Smoking Habits and Exposure to Air Pollutants. J. Breath Res. 2012, 6, 036008. [Google Scholar] [CrossRef]
- Lilien, T.A.; Fenn, D.W.; Brinkman, P.; Hagens, L.A.; Smit, M.R.; Heijnen, N.F.L.; Van Woensel, J.B.M.; Bos, L.D.J.; Bem, R.A. HS-GC-MS Analysis of Volatile Organic Compounds after Hyperoxia-Induced Oxidative Stress: A Validation Study. Intensive Care Med. Exp. 2024, 12, 14. [Google Scholar] [CrossRef]
- Fothergill, D.M.; Borras, E.; McCartney, M.M.; Schelegle, E.S.; Davis, C.E. Exhaled Breath Condensate Profiles of U.S. Navy Divers Following Prolonged Hyperbaric Oxygen (HBO) and Nitrogen-Oxygen (Nitrox) Chamber Exposures. J. Breath Res. 2023, 17, 037105. [Google Scholar] [CrossRef]
- de Jong, F.J.M.; Wingelaar, T.T.; Brinkman, P.; van Ooij, P.-J.A.M.; Maitland-van der Zee, A.H.; Hollmann, M.W.; van Hulst, R.A. Analysis of Volatile Organic Compounds in Exhaled Breath Following a COMEX-30 Treatment Table. Metabolites 2023, 13, 316. [Google Scholar] [CrossRef] [PubMed]
- Jami, M.-S.; Salehi-Najafabadi, Z.; Ahmadinejad, F.; Hoedt, E.; Chaleshtori, M.H.; Neubert, T.A.; Larsen, J.P.; Møller, S.G. Edaravone Leads to Proteome Changes Indicative of Neuronal Cell Protection in Response to Oxidative Stress HHS Public Access. Neurochem. Int. 2015, 90, 134–141. [Google Scholar] [CrossRef] [PubMed]
- Ahmadinejad, F.; Geir Møller, S.; Hashemzadeh-Chaleshtori, M.; Bidkhori, G.; Jami, M.-S. Molecular Mechanisms behind Free Radical Scavengers Function against Oxidative Stress. Antioxidants 2017, 6, 51. [Google Scholar] [CrossRef]
- Speit, G.; Bonzheim, I. Genotoxic and Protective Effects of Hyperbaric Oxygen in A549 Lung Cells. Mutagenesis 2003, 18, 545–548. [Google Scholar] [CrossRef][Green Version]
- Knudsen, L.; Ochs, M. The Micromechanics of Lung Alveoli: Structure and Function of Surfactant and Tissue Components. Histochem. Cell Biol. 2018, 150, 661–676. [Google Scholar] [CrossRef]
- McKleroy, W.; Lyn-Kew, K. 500 Million Alveoli from 30,000 Feet: A Brief Primer on Lung Anatomy. In Methods in Molecular Biology; Humana Press Inc.: Totowa, NJ, USA, 2018; Volume 1809, pp. 3–15. [Google Scholar]
- Jiang, J.; Wang, J.; Li, C.; Mo, L.; Huang, D. Hyperoxia Induces Alveolar Epithelial Cell Apoptosis by Regulating Mitochondrial Function through Small Mothers against Decapentaplegic 3 (SMAD3) and Extracellular Signal-Regulated Kinase 1/2 (ERK1/2). Bioengineered 2022, 13, 242–252. [Google Scholar] [CrossRef]
- Khan, P.; Roux, J.; Blumer, S.; Knudsen, L.; Jonigk, D.; Kuehnel, M.P.; Tamm, M.; Hostettler, K.E. Alveolar Basal Cells Differentiate towards Secretory Epithelial-and Aberrant Basaloid-like Cells In Vitro. Cells 2022, 11, 1820. [Google Scholar] [CrossRef]
- Khan, P.; Fytianos, K.; Tamò, L.; Roth, M.; Tamm, M.; Geiser, T.; Gazdhar, A.; Hostettler, K.E. Culture of Human Alveolar Epithelial Type II Cells by Sprouting 06 Biological Sciences 0601 Biochemistry and Cell Biology. Respir. Res. 2018, 19, 204. [Google Scholar] [CrossRef]
- Rogers, L.K.; Cismowski, M.J. Oxidative Stress in the Lung—The Essential Paradox. Curr. Opin. Toxicol. 2018, 7, 37–43. [Google Scholar] [CrossRef]





Disclaimer/Publisher’s Note: The statements, opinions and data contained in all publications are solely those of the individual author(s) and contributor(s) and not of MDPI and/or the editor(s). MDPI and/or the editor(s) disclaim responsibility for any injury to people or property resulting from any ideas, methods, instructions or products referred to in the content. |
© 2024 by the authors. Licensee MDPI, Basel, Switzerland. This article is an open access article distributed under the terms and conditions of the Creative Commons Attribution (CC BY) license (https://creativecommons.org/licenses/by/4.0/).
Share and Cite
de Jong, F.J.M.; Lilien, T.A.; Fenn, D.W.; Wingelaar, T.T.; van Ooij, P.-J.A.M.; Maitland-van der Zee, A.H.; Hollmann, M.W.; van Hulst, R.A.; Brinkman, P. Volatile Organic Compounds in Cellular Headspace after Hyperbaric Oxygen Exposure: An In Vitro Pilot Study. Metabolites 2024, 14, 281. https://doi.org/10.3390/metabo14050281
de Jong FJM, Lilien TA, Fenn DW, Wingelaar TT, van Ooij P-JAM, Maitland-van der Zee AH, Hollmann MW, van Hulst RA, Brinkman P. Volatile Organic Compounds in Cellular Headspace after Hyperbaric Oxygen Exposure: An In Vitro Pilot Study. Metabolites. 2024; 14(5):281. https://doi.org/10.3390/metabo14050281
Chicago/Turabian Stylede Jong, Feiko J. M., Thijs A. Lilien, Dominic W. Fenn, Thijs T. Wingelaar, Pieter-Jan A. M. van Ooij, Anke H. Maitland-van der Zee, Markus W. Hollmann, Rob A. van Hulst, and Paul Brinkman. 2024. "Volatile Organic Compounds in Cellular Headspace after Hyperbaric Oxygen Exposure: An In Vitro Pilot Study" Metabolites 14, no. 5: 281. https://doi.org/10.3390/metabo14050281
APA Stylede Jong, F. J. M., Lilien, T. A., Fenn, D. W., Wingelaar, T. T., van Ooij, P.-J. A. M., Maitland-van der Zee, A. H., Hollmann, M. W., van Hulst, R. A., & Brinkman, P. (2024). Volatile Organic Compounds in Cellular Headspace after Hyperbaric Oxygen Exposure: An In Vitro Pilot Study. Metabolites, 14(5), 281. https://doi.org/10.3390/metabo14050281

