Online Direct Infusion Mass Spectrometry of Liquid–Liquid Extraction Phases for Metabolite and Lipid Profiling with the Direct Infusion Probe
Abstract
1. Introduction
2. Materials and Methods
3. Results and Discussion
3.1. Online LLE DIP-MS
3.2. Comparison of Liquid–Liquid Extraction Methods
3.3. Characterization of BUME for Online LLE ESI-MS
3.4. Rapid Workflow for Cellular Metabolomics and Lipidomics
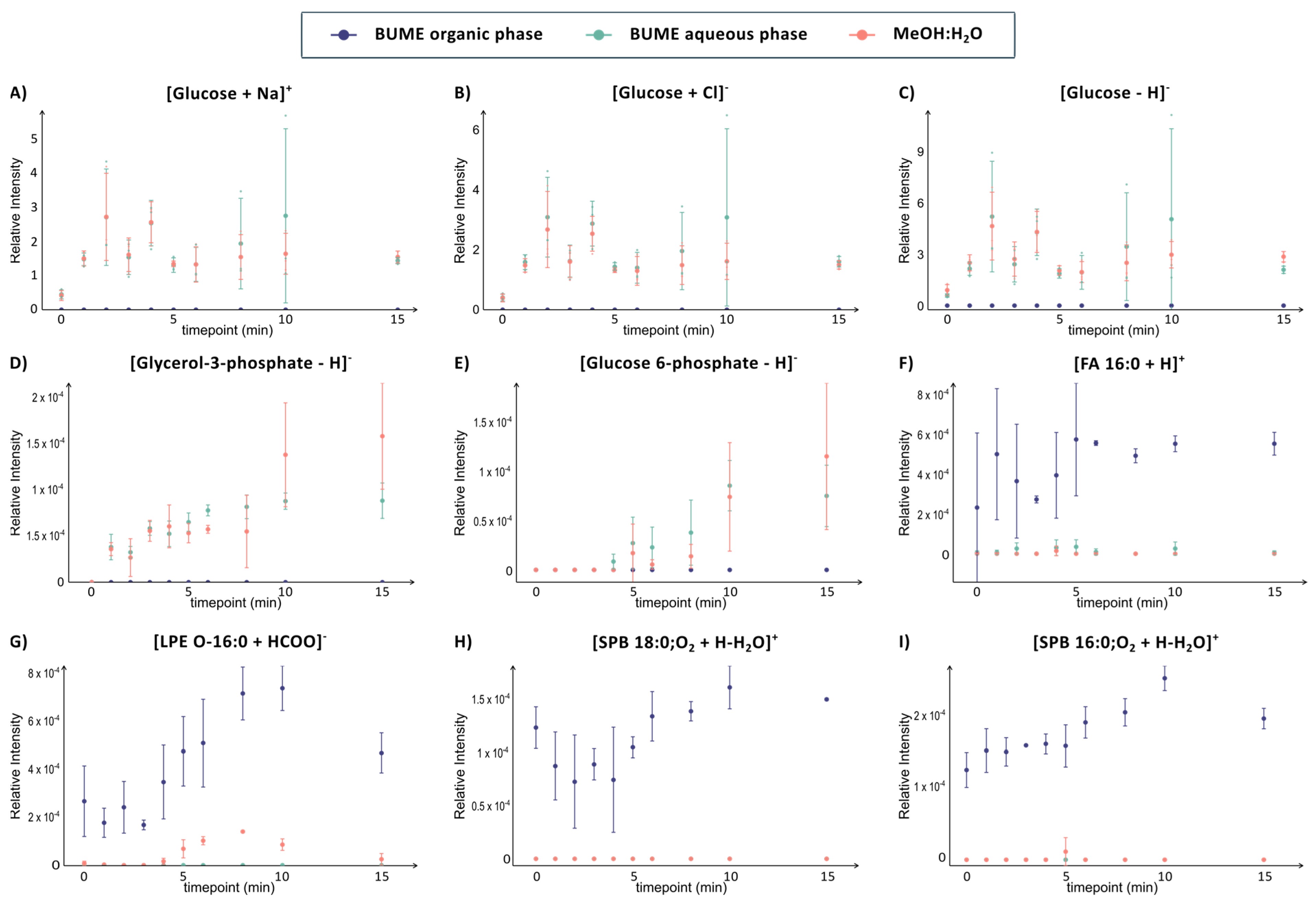
3.5. Time-Resolved Analysis of Glucose-Exposed INS-1 Cells
4. Conclusions
Supplementary Materials
Author Contributions
Funding
Institutional Review Board Statement
Informed Consent Statement
Data Availability Statement
Conflicts of Interest
References
- Qiu, S.; Cai, Y.; Yao, H.; Lin, C.; Xie, Y.; Tang, S.; Zhang, A. Small Molecule Metabolites: Discovery of Biomarkers and Therapeutic Targets. Signal Transduct. Target. Ther. 2023, 8, 132. [Google Scholar] [CrossRef] [PubMed]
- Rinschen, M.M.; Ivanisevic, J.; Giera, M.; Siuzdak, G. Identification of Bioactive Metabolites Using Activity Metabolomics. Nat. Rev. Mol. Cell Biol. 2019, 20, 353–367. [Google Scholar] [CrossRef]
- Liu, X.; Locasale, J.W. Metabolomics: A Primer. Trends Biochem. Sci. 2017, 42, 274–284. [Google Scholar] [CrossRef]
- Yang, W.; Schoeman, J.C.; Di, X.; Lamont, L.; Harms, A.C.; Hankemeier, T. A Comprehensive UHPLC-MS/MS Method for Metabolomics Profiling of Signaling Lipids: Markers of Oxidative Stress, Immunity and Inflammation. Anal. Chim. Acta 2024, 1297, 342348. [Google Scholar] [CrossRef]
- Pulliam, A.N.; Pybus, A.F.; Gaul, D.A.; Moore, S.G.; Wood, L.B.; Fern, F.M.; Laplaca, M.C. Integrative Analysis of Cytokine and Lipidomics Datasets Following Mild Traumatic Brain Injury in Rats. Metabolites 2024, 14, 133. [Google Scholar] [CrossRef] [PubMed]
- Guo, X.Y.; Zhou, J.; Yu, H.; Cao, H.; Li, X.; Hu, Q.; Yu, Y.Q. Serum Lipidomic Study of Long-Chain Fatty Acids in Psoriasis Patients Prior to and after Anti-IL-17A Monoclonal Antibody Treatment by Quantitative GC–MS Analysis with in Situ Extraction. Lipids Health Dis. 2024, 23, 6. [Google Scholar] [CrossRef]
- Núñez-Sánchez, M.Á.; Martínez-Sánchez, M.A.; Martínez-Montoro, J.I.; Balaguer-Román, A.; Murcia-García, E.; Fernández-Ruiz, V.E.; Ferrer-Gómez, M.; Martínez-Cáceres, C.M.; Sledzinski, T.; Frutos, M.D.; et al. Lipidomic Analysis Reveals Alterations in Hepatic FA Profile Associated With MASLD Stage in Patients With Obesity. J. Clin. Endocrinol. Metab. 2024, 109, 1781–1792. [Google Scholar] [CrossRef]
- Shimada, M.; Miyagawa, T.; Kodama, T.; Toyoda, H.; Tokunaga, K.; Honda, M. Metabolome Analysis Using Cerebrospinal Fluid from Narcolepsy Type 1 Patients. Sleep 2020, 43, zsaa095. [Google Scholar] [CrossRef]
- Moldovan, R.C.; Bodoki, E.; Servais, A.C.; Chankvetadze, B.; Crommen, J.; Oprean, R.; Fillet, M. Capillary Electrophoresis-Mass Spectrometry of Derivatized Amino Acids for Targeted Neurometabolomics—PH Mediated Reversal of Diastereomer Migration Order. J. Chromatogr. A 2018, 1564, 199–206. [Google Scholar] [CrossRef]
- Dai, Q.; Xie, P.; Tan, H.; Zhang, J.; Wang, F.; Lei, B.; Cai, Z. Metabolomics and Lipidomics with Mass Spectrometry Imaging Reveal Mechanistic Insights into Dibutyl Phthalate-Promoted Proliferation of Breast Cancer Cell Spheroids. Environ. Sci. Technol. Lett. 2024, 11, 208–215. [Google Scholar] [CrossRef]
- Nizioł, J.; Ossoliński, K.; Płaza-Altamer, A.; Kołodziej, A.; Ossolińska, A.; Ossoliński, T.; Krupa, Z.; Ruman, T. Untargeted Metabolomics of Bladder Tissue Using Liquid Chromatography and Quadrupole Time-of-Flight Mass Spectrometry for Cancer Biomarker Detection. J. Pharm. Biomed. Anal. 2024, 240, 115966. [Google Scholar] [CrossRef]
- Grebe, S.K.G.; Singh, R.J. LC-MS/MS in the Clinical Laboratory—Where to from Here? Clin. Biochem. Rev. 2011, 32, 5–31. [Google Scholar] [PubMed]
- CLSI (Ed.) Liquid Chromatography-Mass Spectrometry Methods, 2nd ed.; Clinical and Laboratory Standards Institute: Berwyn, PA, USA, 2022. [Google Scholar]
- Fialkov, A.B.; Lehotay, S.J.; Amirav, A. Less than One Minute Low-Pressure Gas Chromatography—Mass Spectrometry. J. Chromatogr. A 2020, 1612, 460691. [Google Scholar] [CrossRef]
- González-Domínguez, R.; García-Barrera, T.; Gómez-Ariza, J.L. Using Direct Infusion Mass Spectrometry for Serum Metabolomics in Alzheimer’s Disease. Anal. Bioanal. Chem. 2014, 406, 7137–7148. [Google Scholar] [CrossRef]
- Guo, Y.; Wang, X.; Qiu, L.; Qin, X.; Liu, H.; Wang, Y.; Li, F.; Wang, X.; Chen, G.; Song, G.; et al. Probing Gender-Specific Lipid Metabolites and Diagnostic Biomarkers for Lung Cancer Using Fourier Transform Ion Cyclotron Resonance Mass Spectrometry. Clin. Chim. Acta 2012, 414, 135–141. [Google Scholar] [CrossRef]
- Heiles, S. Advanced Tandem Mass Spectrometry in Metabolomics and Lipidomics—Methods and Applications. Anal. Bioanal. Chem. 2021, 413, 5927–5948. [Google Scholar] [CrossRef]
- Draper, J.; Lloyd, A.J.; Goodacre, R.; Beckmann, M. Flow Infusion Electrospray Ionisation Mass Spectrometry for High Throughput, Non-Targeted Metabolite Fingerprinting: A Review. Metabolomics 2013, 9 (Suppl. S1), 4–29. [Google Scholar] [CrossRef]
- Floegel, A.; Kühn, T.; Sookthai, D.; Johnson, T.; Prehn, C.; Rolle-Kampczyk, U.; Otto, W.; Weikert, C.; Illig, T.; von Bergen, M.; et al. Serum Metabolites and Risk of Myocardial Infarction and Ischemic Stroke: A Targeted Metabolomic Approach in Two German Prospective Cohorts. Eur. J. Epidemiol. 2018, 33, 55–66. [Google Scholar] [CrossRef]
- Zukunft, S.; Sorgenfrei, M.; Prehn, C.; Möller, G.; Adamski, J. Targeted Metabolomics of Dried Blood Spot Extracts. Chromatographia 2013, 76, 1295–1305. [Google Scholar] [CrossRef]
- Ekroos, K.; Chernushevich, I.V.; Simons, K.; Shevchenko, A. Quantitative Profiling of Phospholipids by Multiple Precursor Ion Scanning on a Hybrid Quadrupole Time-of-Flight Mass Spectrometer. Anal. Chem. 2002, 74, 941–949. [Google Scholar] [CrossRef] [PubMed]
- Schwudke, D.; Oegema, J.; Burton, L.; Entchev, E.; Hannich, J.T.; Ejsing, C.S.; Kurzchalia, T.; Shevchenko, A. Lipid Profiling by Multiple Precursor and Neutral Loss Scanning Driven by the Data-Dependent Acquisition. Anal. Chem. 2006, 78, 585–595. [Google Scholar] [CrossRef] [PubMed]
- Geromanos, S.; Philip, J.; Freckleton, G.; Tempst, P. InJection Adaptable Fine Ionization Source (‘JaFIS’) for Continuous Flow Nano-Electrospray. Rapid Commun Mass Spectrom 1998, 12, 551–556. [Google Scholar] [CrossRef]
- Schwab, N.V.; Porcari, A.M.; Coelho, M.B.; Schmidt, E.M.; Jara, J.L.; Visentainer, J.V.; Eberlin, M.N. Easy Dual-Mode Ambient Mass Spectrometry with Venturi Self-Pumping, Canned Air, Disposable Parts and Voltage-Free Sonic-Spray Ionization. Analyst 2012, 137, 2537–2540. [Google Scholar] [CrossRef] [PubMed]
- Santos, V.G.; Regiani, T.; Dias, F.F.G.; Romão, W.; Jara, J.L.P.; Klitzke, C.F.; Coelho, F.; Eberlin, M.N. Venturi Easy Ambient Sonic-Spray Ionization. Anal. Chem. 2011, 83, 1375–1380. [Google Scholar] [CrossRef] [PubMed]
- Tonin, A.P.P.; Poliseli, C.B.; Ribeiro, M.A.S.; Moraes, L.A.B.; Visentainer, J.V.; Eberlin, M.N.; Meurer, E.C. Venturi Electrospray Ionization: Principles and Applications. Int. J. Mass Spectrom. 2018, 431, 50–55. [Google Scholar] [CrossRef]
- Han, J.; Han, F.; Ouyang, J.; Li, Q.; Na, N. Venturi-Electrosonic Spray Ionization Cataluminescence Sensor Array for Saccharides Detection. Anal. Chem. 2013, 85, 7738–7744. [Google Scholar] [CrossRef]
- Marques, C.; Liu, L.; Duncan, K.D.; Lanekoff, I. A Direct Infusion Probe for Rapid Metabolomics of Low-Volume Samples. Anal. Chem. 2022, 94, 12875–12883. [Google Scholar] [CrossRef]
- Saini, R.K.; Prasad, P.; Shang, X.; Keum, Y.S. Advances in Lipid Extraction Methods—A Review. Int. J. Mol. Sci. 2021, 22, 13643. [Google Scholar] [CrossRef]
- Folch, J.; Lees, M.; Stanley, G.S. A Simple Method for the Isolation and Purification of Total Lipides from Animal Tissues. J. Biol. Chem. 1957, 226, 497–509. [Google Scholar] [CrossRef]
- Bligh, E.G.; Dyer, W.J. A rapid method of total lipid extraction and purification. Can. J. Biochem. Physiol. 1959, 37, 911–917. [Google Scholar] [CrossRef]
- Bartolacci, C.; Andreani, C.; Vale, G.; Berto, S.; Melegari, M.; Crouch, A.C.; Baluya, D.L.; Kemble, G.; Hodges, K.; Starrett, J.; et al. Targeting de Novo Lipogenesis and the Lands Cycle Induces Ferroptosis in KRAS-Mutant Lung Cancer. Nat. Commun. 2022, 13, 4327. [Google Scholar] [CrossRef] [PubMed]
- Li, Y.; Bansal, S.; Sridharan, V.; Bansal, S.; Jayatilake, M.M.; Fernández, J.A.; Griffin, J.H.; Boerma, M.; Cheema, A.K. Urinary Metabolomics for the Prediction of Radiation-Induced Cardiac Dysfunction. Metabolites 2023, 13, 525. [Google Scholar] [CrossRef] [PubMed]
- Löfgren, L.; Ståhlman, M.; Forsberg, G.-B.; Saarinen, S.; Nilsson, R.; Hansson, G.I. The BUME Method: A Novel Automated Chloroform-Free 96-Well Total Lipid Extraction Method for Blood Plasma. J. Lipid Res. 2012, 53, 1690–1700. [Google Scholar] [CrossRef] [PubMed]
- Rosqvist, F.; Kullberg, J.; Ståhlman, M.; Cedernaes, J.; Heurling, K.; Johansson, H.E.; Iggman, D.; Wilking, H.; Larsson, A.; Eriksson, O.; et al. Overeating Saturated Fat Promotes Fatty Liver and Ceramides Compared with Polyunsaturated Fat: A Randomized Trial. J. Clin. Endocrinol. Metab. 2019, 104, 6207–6219. [Google Scholar] [CrossRef] [PubMed]
- Vale, G.; Martin, S.A.; Mitsche, M.A.; Thompson, B.M.; Eckert, K.M.; McDonald, J.G. Three-Phase Liquid Extraction: A Simple and Fast Method for Lipidomic Workflows. J. Lipid Res. 2019, 60, 694–706. [Google Scholar] [CrossRef]
- Shibusawa, Y.; Yamakawa, Y.; Noji, R.; Yanagida, A.; Shindo, H.; Ito, Y. Three-Phase Solvent Systems for Comprehensive Separation of a Wide Variety of Compounds by High-Speed Counter-Current Chromatography. J. Chromatogr. A 2006, 1133, 119–125. [Google Scholar] [CrossRef]
- Sinturel, F.; Chera, S.; Brulhart-Meynet, M.C.; Montoya, J.P.; Stenvers, D.J.; Bisschop, P.H.; Kalsbeek, A.; Guessous, I.; Jornayvaz, F.R.; Philippe, J.; et al. Circadian Organization of Lipid Landscape Is Perturbed in Type 2 Diabetic Patients. Cell Reports Med. 2023, 4, 101299. [Google Scholar] [CrossRef]
- Sündermann, A.; Eggers, L.F.; Schwudke, D. Liquid Extraction: Bligh and Dyer. In Encyclopedia of Lipidomics; Springer: Dordrecht, The Netherlands, 2016; pp. 1–4. [Google Scholar] [CrossRef]
- Pluskal, T.; Castillo, S.; Villar-Briones, A.; Orešič, M. MZmine 2: Modular Framework for Processing, Visualizing, and Analyzing Mass Spectrometry-Based Molecular Profile Data. BMC Bioinform. 2010, 11, 395. [Google Scholar] [CrossRef]
- RStudio Team. RStudio: Integrated Development for R; RStudio. Public Benefit Corporation: Boston, MA, USA, 2020; Available online: http://www.rstudio.com/ (accessed on 28 April 2023).
- Kebarle, P.; Tang, L. From Ions in Solution To Ions in the Gas Phase. Anal. Chem. 1993, 65, 972A–986A. [Google Scholar] [CrossRef]
- Little, J.L.; Wempe, M.F.; Buchanan, C.M. Liquid Chromatography-Mass Spectrometry/Mass Spectrometry Method Development for Drug Metabolism Studies: Examining Lipid Matrix Ionization Effects in Plasma. J. Chromatogr. B Anal. Technol. Biomed. Life Sci. 2006, 833, 219–230. [Google Scholar] [CrossRef]
- Jemal, M.; Ouyang, Z.; Xia, Y.Q. Systematic LC-MS/MS Bioanalytical Method Development That Incorporates Plasma Phospholipids Risk Avoidance, Usage of Incurred Sample and Well Thought-out Chromatography. Biomed. Chromatogr. 2010, 24, 2–19. [Google Scholar] [CrossRef]
- Guo, X.; Lankmayr, E. Phospholipid-Based Matrix Effects in LC-MS Bioanalysis. Bioanalysis 2011, 3, 349–352. [Google Scholar] [CrossRef] [PubMed]
- Smedes, F.; Askland, T.K. Revisiting the Development of the Bligh and Dyer Total Lipid Determination Method. Mar. Pollut. Bull. 1999, 38, 193–201. [Google Scholar] [CrossRef]
- Leo, A.; Hansch, C.; Elkins, D. Partition Coefficients and Their Uses. Chem. Rev. 1971, 71, 525–616. [Google Scholar] [CrossRef]
- Cech, N.B.; Enke, C.G. Practical Implications of Some Recent Studies in Electrospray Ionization Fundamentals. Mass Spectrom. Rev. 2001, 20, 362–387. [Google Scholar] [CrossRef]
- Konermann, L.; Ahadi, E.; Rodriguez, A.D.; Vahidi, S. Unraveling the Mechanism of Electrospray Ionization. Anal. Chem. 2013, 85, 2–9. [Google Scholar] [CrossRef]
- Kebarle, P.; Verkerk, U.H. Electrospray: From Ions in Solution to Ions in the Gas Phase, What We Know Now. Mass Spectrom. Rev. 2009, 28, 898–917. [Google Scholar] [CrossRef]
- Tang, L.; Kebarle, P. Dependence of Ion Intensity in Electrospray Mass Spectrometry on the Concentration of the Analytes in the Electrosprayed Solution. Anal. Chem. 1993, 65, 3654–3668. [Google Scholar] [CrossRef]
- Zhou, S.; Cook, K.D. A Mechanistic Study of Electrospray Mass Spectrometry: Charge Gradients within Electrospray Droplets and Their Influence on Ion Response. J. Am. Soc. Mass Spectrom. 2001, 12, 206–214. [Google Scholar] [CrossRef]
- Turtoi, E.; Jeudy, J.; Henry, S.; Dadi, I.; Valette, G.; Enjalbal, C.; Turtoi, A. Analysis of Polar Primary Metabolites in Biological Samples Using Targeted Metabolomics and LC-MS. STAR Protoc. 2023, 4, 102400. [Google Scholar] [CrossRef] [PubMed]
- Sharaf, B.M.; Giddey, A.D.; Alniss, H.; Al-Hroub, H.M.; El-Awady, R.; Mousa, M.; Almehdi, A.; Soares, N.C.; Semreen, M.H. Untargeted Metabolomics of Breast Cancer Cells MCF-7 and SkBr3 Treated With Tamoxifen/Trastuzumab. Cancer Genom. Proteom. 2022, 19, 79–93. [Google Scholar] [CrossRef] [PubMed]
- Southam, A.D.; Weber, R.J.M.; Engel, J.; Jones, M.R.; Viant, M.R. A Complete Workflow for High-Resolution Spectral-Stitching Nanoelectrospray Direct-Infusion Mass-Spectrometry-Based Metabolomics and Lipidomics. Nat. Protoc. 2017, 12, 255–273. [Google Scholar] [CrossRef]
- Kirwan, J.A.; Weber, R.J.M.; Broadhurst, D.I.; Viant, M.R. Direct Infusion Mass Spectrometry Metabolomics Dataset: A Benchmark for Data Processing and Quality Control. Sci. Data 2014, 1, 140012. [Google Scholar] [CrossRef]
- Zahn, J.A.; Higgs, R.E.; Hilton, M.D. Use of Direct-Infusion Electrospray Mass Spectrometry to Guide Empirical Development of Improved Conditions for Expression of Secondary Metabolites from Actinomycetes. Appl. Environ. Microbiol. 2001, 67, 377–386. [Google Scholar] [CrossRef]
- Lin, L.; Yu, Q.; Yan, X.; Hang, W.; Zheng, J.; Xing, J.; Huang, B. Direct Infusion Mass Spectrometry or Liquid Chromatography Mass Spectrometry for Human Metabonomics? A Serum Metabonomic Study of Kidney Cancer. Analyst 2010, 135, 2970–2978. [Google Scholar] [CrossRef] [PubMed]
- Pöhö, P.; Lipponen, K.; Bespalov, M.M.; Sikanen, T.; Kotiaho, T.; Kostiainen, R. Comparison of Liquid Chromatography-Mass Spectrometry and Direct Infusion Microchip Electrospray Ionization Mass Spectrometry in Global Metabolomics of Cell Samples. Eur. J. Pharm. Sci. 2019, 138, 104991. [Google Scholar] [CrossRef] [PubMed]
- Spégel, P.; Mulder, H. Metabolomics Analysis of Nutrient Metabolism in β-Cells. J. Mol. Biol. 2020, 432, 1429–1445. [Google Scholar] [CrossRef]
- Gerich, J.E. Is Reduced First-Phase Insulin Release the Earliest Detectable Abnormality in Individuals Destined to Develop Type 2 Diabetes? Diabetes 2002, 51 (Suppl. S1), S117–S121. [Google Scholar] [CrossRef]
- Spégel, P.; Sharoyko, V.V.; Goehring, I.; Danielsson, A.P.H.; Malmgren, S.; Nagorny, C.L.F.; Andersson, L.E.; Koeck, T.; Sharp, G.W.G.; Straub, S.G.; et al. Time-Resolved Metabolomics Analysis of β-Cells Implicates the Pentose Phosphate Pathway in the Control of Insulin Release. Biochem. J. 2013, 450, 595–605. [Google Scholar] [CrossRef]
- Andersson, L.E.; Shcherbina, L.; Al-Majdoub, M.; Vishnu, N.; Arroyo, C.B.; Carrara, J.A.; Wollheim, C.B.; Fex, M.; Mulder, H.; Wierup, N.; et al. Glutamine-Elicited Secretion of Glucagon-like Peptide 1 Is Governed by an Activated Glutamate Dehydrogenase. Diabetes 2018, 67, 372–384. [Google Scholar] [CrossRef]
- Lorenz, M.A.; El Azzouny, M.A.; Kennedy, R.T.; Burant, C.F. Metabolome Response to Glucose in the β-Cell Line INS-1832/13. J. Biol. Chem. 2013, 288, 10923–10935. [Google Scholar] [CrossRef] [PubMed]
- Adams, J.M.; Pratipanawatr, T.; Berria, R.; Wang, E.; DeFronzo, R.A.; Sullards, M.C.; Mandarino, L.J. Ceramide Content Is Increased in Skeletal Muscle from Obese Insulin-Resistant Humans. Diabetes 2004, 53, 25–31. [Google Scholar] [CrossRef] [PubMed]
- Summers, S.A. Sphingolipids and Insulin Resistance: The Five Ws. Curr. Opin. Lipidol. 2010, 21, 128–135. [Google Scholar] [CrossRef]
- Stanford, J.C.; Morris, A.J.; Sunkara, M.; Popa, G.J.; Larson, K.L.; Özcan, S. Sphingosine 1-Phosphate (S1P) Regulates Glucose-Stimulated Insulin Secretion in Pancreatic Beta Cells. J. Biol. Chem. 2012, 287, 13457–13464. [Google Scholar] [CrossRef]




Disclaimer/Publisher’s Note: The statements, opinions and data contained in all publications are solely those of the individual author(s) and contributor(s) and not of MDPI and/or the editor(s). MDPI and/or the editor(s) disclaim responsibility for any injury to people or property resulting from any ideas, methods, instructions or products referred to in the content. |
© 2024 by the authors. Licensee MDPI, Basel, Switzerland. This article is an open access article distributed under the terms and conditions of the Creative Commons Attribution (CC BY) license (https://creativecommons.org/licenses/by/4.0/).
Share and Cite
Marques, C.; Blaase, L.; Lanekoff, I. Online Direct Infusion Mass Spectrometry of Liquid–Liquid Extraction Phases for Metabolite and Lipid Profiling with the Direct Infusion Probe. Metabolites 2024, 14, 587. https://doi.org/10.3390/metabo14110587
Marques C, Blaase L, Lanekoff I. Online Direct Infusion Mass Spectrometry of Liquid–Liquid Extraction Phases for Metabolite and Lipid Profiling with the Direct Infusion Probe. Metabolites. 2024; 14(11):587. https://doi.org/10.3390/metabo14110587
Chicago/Turabian StyleMarques, Cátia, Lena Blaase, and Ingela Lanekoff. 2024. "Online Direct Infusion Mass Spectrometry of Liquid–Liquid Extraction Phases for Metabolite and Lipid Profiling with the Direct Infusion Probe" Metabolites 14, no. 11: 587. https://doi.org/10.3390/metabo14110587
APA StyleMarques, C., Blaase, L., & Lanekoff, I. (2024). Online Direct Infusion Mass Spectrometry of Liquid–Liquid Extraction Phases for Metabolite and Lipid Profiling with the Direct Infusion Probe. Metabolites, 14(11), 587. https://doi.org/10.3390/metabo14110587

