Urine Metabolomic Patterns to Discriminate the Burnout Levels and Night-Shift-Related Stress in Healthcare Professionals
Abstract
1. Introduction
2. Materials and Methods
2.1. Patients and Study Design
2.2. Sample Preparation
2.3. UHPLC-QTOF-ESI+-MS Analysis
2.4. Statistical Analysis
3. Results
3.1. Stratification of Urine Samples According to Demographic Data and Burnout Scores
3.2. Untargeted Metabolomic Profiles to Discriminate Metabolic Profiles Between Night Work and Day Work Subjects
3.3. Biomarker and Pathway Analysis of Metabolites in Night vs. Day Work Groups
3.4. Untargeted Metabolomics Analysis of Burnout Criteria: DP vs. EE vs. PA for All Subjects
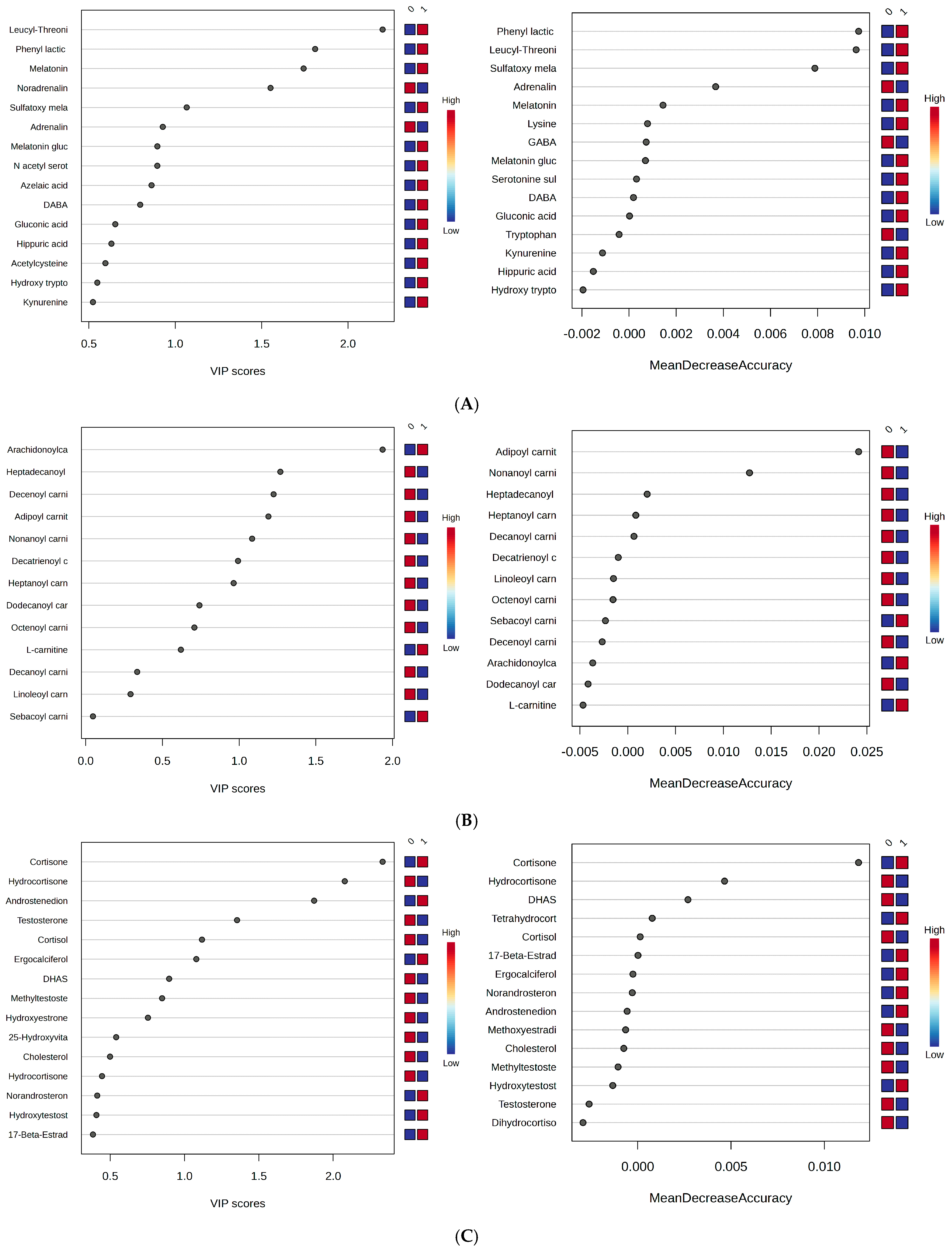
3.5. Semi-Targeted Metabolomics Based on the Burnout Criteria DP vs. EE for the Three Classes of Molecules
- (1)
- Polar metabolites: Phenyl lactic acid, leucyl-threonine, melatonin, melatonin glucuronide, and sulfatoxymelatonin were found to be significant. Higher levels were observed for melatonin, melatonin glucuronide, and sulfatoxymelatonin in the night shift group, along with reduced levels of adrenaline and noradrenaline, GABA, and tryptophan at the time of urine collection.
- (2)
- Long-chain carnitines (C16–C20): Apart from arachidonyl carnitine, these metabolites showed decreased levels in the night work group. Meanwhile, free carnitine was increased.
- (3)
- Steroids: Cortisol and hydrocortisone, compared to cortisone, exhibited reverse relationships, with the former decreased in the night work group. A similar inverse relationship was observed between androstenedione and DHAS (a hormonal precursor of androgens and estrogens), where androstenedione levels were higher in the night work group. No significant changes were observed for estrone and testosterone metabolites.
3.6. One-Way ANOVA Statistics for Molecules Involved in DP, EE and PA Burnout Levels, Comparing Day Work vs. Night Work
3.7. Comparative Analysis of Metabolite Findings in Urine Versus Blood Serum
4. Discussion
- (1)
- The effect of night work on the metabolic profile, independent of burnout levels, was evaluated using untargeted metabolomics (Section 3.2 and Section 3.3). The VIP scores above 2, RF graphs, and heatmaps revealed significant changes in the night work group, including decreases in noradrenaline, adrenaline, decanoylcarnitine, and oleic acid (C18:1), as well as increased levels of melatonin, leucyl-threonine, retinyl linoleate, and cortisone. The cortisone-to-cortisol ratio in the night work group increased to 1.4, compared to day work, while their metabolites (hydrocortisone, dihydrocortisol, tetrahydrocortisone) maintained constant ratios around 1.0. According to biomarker analysis, AUC values > 0.6 indicated increased levels of melatonin, phenyl lactic acid, retinyl linoleate, leucyl-threonine, cortisone, and androstenedione in the night work group, while noradrenaline was reduced. Pathway analysis showed that the metabolic networks were significantly affected by night work compared to day work, as determined by HMDB pathway enrichment analysis and the DSPC network of molecular relationships in metabolic pathways (from the KEGG pathway database). The most impacted pathways included steroid metabolism (especially androsterone and its metabolites), catecholamine biosynthesis (neurotransmitters derived from tyrosine, such as dopamine, adrenaline, and noradrenaline), and tryptophan metabolism, which also influenced carnitine acylation. The DSPC network, based on intermolecular relationships, highlighted that burnout primarily involves lipid metabolism with hormonal impacts (e.g., estrone, androstenedione, and cortisol derivatives), as well as acylated carnitines, key molecules for lipid transport into the mitochondria.
- (2)
- The untargeted metabolomics analysis considering the DP, EE, and PA criteria for all subjects (Section 3.4), independent of day or night work, showed differentiations in metabolites based on burnout levels (H or L). Under the DP criterion, increased levels of androstenedione, cortisone, DABA, and hydroxytryptophan, along with decreased levels of N-acetyl serotonin, melatonin, cortisol, and long-chain acylated carnitines, were observed in the H group compared to the L group. Under the EE criterion, increased levels of androstenedione, noradrenaline, GABA, and hydroxytryptophan were found, while N-acetyl serotonin, melatonin, and hydroxyvitamin D were decreased in the H group. No significant differences were observed for cortisol and cortisone, and long-chain acylated carnitines were generally higher in this group. Under the PA criterion, melatonin glucuronide, sulfatoxymelatonin, hydroxy sphingosine, and ergocalciferol showed increased levels, while arginine and cortisone were decreased in the H group. No significant differences were found for cortisol and acylated carnitines.
- (3)
- A semi-targeted analysis was performed based on the previous untargeted metabolomics results (Section 3.5). From the entire cohort, molecules belonging to three metabolite classes were used to discriminate subjects with day vs. night work, considering the DP, EE, and PA criteria separately. These classes included polar metabolites (neurotransmitters, catecholamines, amino acids) (A), acylcarnitines (B), and steroids (C). The results showed that phenyl lactic acid, leucyl-threonine, melatonin, and sulfatoxymelatonin were upregulated in the night work group. Positive relationships were observed for melatonin and sulfatoxymelatonin, as well as for adrenaline and noradrenaline. Long-chain carnitines (C16–C20), except for arachidonyl carnitine, showed decreased levels in the night work group. Among the steroids, cortisol and hydrocortisone showed reverse relationships with cortisone, with the former being lower in the night work group. A similar reverse relationship was observed between androstenedione and DHAS (a hormonal precursor of androgens and estrogens), with increased androstenedione levels in the night work group. No significant changes were observed for estrone and testosterone metabolites.
5. Conclusions
Supplementary Materials
Author Contributions
Funding
Institutional Review Board Statement
Informed Consent Statement
Data Availability Statement
Acknowledgments
Conflicts of Interest
Abbreviations
| DP | Depersonalization |
| EE | Emotional exhaustion |
| PA | Low personal accomplishment |
| DHAS | Dehydroandrosterone sulfate |
References
- World Health Organization. Burn-Out an “Occupational Phenomenon”: International Classification of Diseases 2019. 2021. Available online: https://www.who.int/news/item/28-05-2019-burn-out-an-occupational-phenomenon-international-classification-of-diseases (accessed on 15 October 2024).
- Metlaine, A.; Sauve, F.; Gomez-Merino, D.; Boucher, T.; Elbaz, M.; Delafosse, J.Y.; Leger, D.; Chennaoi, M. Sleep and biological parameters in professional burnout: A psychophysiological characterization. PLoS ONE 2018, 13, e0190607. [Google Scholar] [CrossRef] [PubMed]
- Salvagioni, D.A.J.; Melanda, F.N.; Mesas, A.E.; González, A.D.; Gabani, F.L.; Andrade, S.M. Physical, psychological and occupational consequences of job burnout: A systematic review of prospective studies. PLoS ONE 2017, 12, e0185781. [Google Scholar] [CrossRef] [PubMed]
- Ungur, A.-P.; Bârsan, M.; Socaciu, A.-I.; Râjnoveanu, A.G.; Ionuț, R.; Goia, L.; Procopciuc, L.M. A Narrative Review of Burnout Syndrome in Medical Personnel. Diagnostics 2024, 14, 1971. [Google Scholar] [CrossRef]
- Tavela, G.; Hadzi-Pavlovic, D.; Parker, G. Burnout: Redefining its key symptoms. Psychiatry Res. 2021, 302, 114023. [Google Scholar] [CrossRef]
- Eaton, L. Health workforce burnout. Bull. World Health Organ. 2019, 97, 585–586, Erratum in Bull. World Health Organ. 2019, 97, 728. [Google Scholar] [CrossRef]
- Davies, S.K.; Ang, J.E.; Revell, V.L.; Holmes, B.; Mann, A.; Robertson, F.P.; Cui, N.; Middleton, B.; Ackermann, K.; Kayser, M.; et al. Effect of sleep deprivation on the human metabolome. Proc. Natl. Acad. Sci. USA 2014, 111, 10761–10766. [Google Scholar] [CrossRef]
- Canu, I.G.; Marca, S.C.; Dell’Oro, F.; Balázs, Á.; Bergamaschi, E.; Besse, C.; Bianchi, R.; Bislimovska, J.; Bjelajac, A.K.; Bugge, M.; et al. Harmonized definition of occupational burnout: A systematic review, semantic analysis, and Delphi consensus in 29 countries. Scand. J. Work Environ. Health 2020, 47, 95–107. [Google Scholar] [CrossRef]
- Jacobs, C. Occupational Stress and Burnout in Burnout Syndrome—Characteristics and Interventions; Motta, R.W., Ed.; Intech Open: London, UK, 2024; pp. 1–18. [Google Scholar]
- Koutsimani, P.; Montgomery, A.; Georganta, K. The relationship between burnout, depression, and anxiety: A systematic review and meta-analysis. Front. Psychol. 2019, 10, 284. [Google Scholar] [CrossRef]
- Lindsäter, E.; Svärdman, F.; Wallert, J.; Ivanova, E.; Söderholm, A.; Fondberg, R.; Nilsonne, G.; Cervenka, S.; Lekander, M.; Rück, C. Exhaustion disorder: Scoping review of research on a recently introduced stress-related diagnosis. BJPsych Open 2022, 8, e159. [Google Scholar] [CrossRef]
- Bianchi, R.; Schonfeld, I.S.; Laurent, E. Burnout-depression overlap: A review. Clin. Psychol. Rev. 2015, 36, 28–41. [Google Scholar] [CrossRef]
- Grossi, G.; Perski, A.; Osika, W.; Savic, I. Stress-related exhaustion disorder—Clinical manifestation of burnout? A review of assessment methods, sleep impairments, cognitive disturbances, and neuro-biological and physiological changes in clinical burnout. Scand. J. Psycholl 2015, 56, 626–636. [Google Scholar] [CrossRef] [PubMed]
- Pines, A.M.; Keinan, G. Stress and burnout: The significant difference. Personal. Individ. Differ. 2005, 39, 625–635. [Google Scholar] [CrossRef]
- Plieger, T.; Melchers, M.; Montag, C.; Meermann, R.; Reuter, M. Life stress as potential risk factor for depression and burnout. Burn. Res. 2015, 2, 19–24. [Google Scholar] [CrossRef]
- Demerouti, E.; Bakker, A.B.; Peeters, M.C.W.; Breevaart, K. New directions in burnout research. Eur. J. Work Organ. Psychol. 2021, 30, 686–691. [Google Scholar] [CrossRef]
- Maslach, C.; Leiter, M.P. Burnout. Encyclopedia of Mental Health; Elsevier Inc.: Amsterdam, The Netherlands, 2016; pp. 222–227. [Google Scholar]
- Wurm, W.; Vogel, K.; Holl, A.; Ebner, C.; Bayer, D.; Mörkl, S.; Szilagyi, I.-S.; Hotter, E.; Kapfhammer, H.-P.; Hofmann, P. Depression-Burnout Overlap in Physicians. PLoS ONE 2016, 11, e0149913. [Google Scholar] [CrossRef]
- Molina-Praena, J.; Ramirez-Baena, L.; Gómez-Urquiza, J.L.; Canadas, G.R.; De la Fuente, E.I.; Canadas-De la Fuente, G.A. Levels of Burnout and Risk Factors in Medical Area Nurses: A Meta-Analytic Study. Int. J. Environ. Res. Public Health 2018, 15, 2800. [Google Scholar] [CrossRef] [PubMed]
- Rotenstein, L.S.; Torre, M.; Ramos, M.A.; Rosales, R.C.; Guille, C.; Sen, S.; Mata, D.A. Prevalence of burnout among physicians: A systematic review. JAMA 2018, 320, 1131–1150. [Google Scholar] [CrossRef] [PubMed]
- Deneva, T.; Ianakiev, Y.; Keskinova, D. Burnout Syndrome in Physicians-Psychological Assessment and Biomarker Research. Medicina 2019, 55, 209. [Google Scholar] [CrossRef]
- Merlo, G.; Rippe, J. Physician Burnout: A Lifestyle Medicine Perspective. Am. J. Lifestyle Med. 2021, 15, 148–157. [Google Scholar] [CrossRef]
- Amiri, S.; Mahmood, N.; Mustafa, H.; Javaid, S.F.; Khan, M.A. Occupational Risk Factors for Burnout Syndrome Among Healthcare Professionals: A Global Systematic Review and Meta-Analysis. Int. J. Env. Res. Public Health 2024, 12, 1583. [Google Scholar] [CrossRef]
- Jonsdottir, I.H.; Dahlman, A.S. Mechanisms In Endocrinology Endocrine and immunological aspects of burnout: A narrative review. Eur. J. Endocrinol. 2019, 180, R147–R158. [Google Scholar] [CrossRef] [PubMed]
- Noushad, S.; Ahmed, S.; Ansari, B.; Mustafa, U.H.; Saleem, Y.; Hazrat, H. Physiological biomarkers of chronic stress: A systematic review. Int. J. Health Sci. 2021, 15, 46–59. [Google Scholar]
- Ciobanu, A.M.; Damian, A.C.; Neagu, C. Association between burnout and immunological and endocrine alterations. Rom. J. Morphol. Embryol. 2021, 62, 13–18. [Google Scholar] [CrossRef]
- Dhama, K.; Latheef, S.K.; Dadar, M.; Samad, H.A.; Munjal, A.; Khandia, R.; Karthik, K.; Tiwari, R.; Yatoo, M.I.; Bhatt, P.; et al. Biomarkers in Stress Related Diseases/Disorders: Diagnostic, Prognostic, and Therapeutic Values. Front. Mol. Biosci. 2019, 6, 91. [Google Scholar] [CrossRef]
- Humer, E.; Pieh, C.; Probst, T. Metabolomic Biomarkers in Anxiety Disorders. Int. J. Mol. Sci. 2020, 21, 4784. [Google Scholar] [CrossRef] [PubMed]
- Begin, A.S.; Hata, S.; Berkowitz, L.R.; Plessow, F.; Lawson, E.A.; Emptage, N.; Armstrong, K. Biomarkers of Clinician Burnout. J. Gen. Intern. Med. 2022, 37, 478–479. [Google Scholar] [CrossRef] [PubMed]
- Bégin, C.; Gilbert-Ouimet, M.; Truchon, M. Self-compassion, burnout, and biomarkers in a sample of healthcare workers during the COVID-19 pandemic: A cross-sectional correlational study. Discov. Psychol. 2024, 4, 75. [Google Scholar] [CrossRef]
- Paribello, P.; Branchi, I.; Viglione, A.; Mancini, G.F.; Morena, M.; Campolongo, P.; Manchia, M. Biomarkers of stress resilience: A review. Neurosci. Appl. 2024, 3, 104052. [Google Scholar] [CrossRef]
- Peyrot, F.; Ducrocq, C. Potential role of tryptophan derivatives in stress responses characterized by the generation of reactive oxygen and nitrogen species. J. Pineal Res. 2008, 45, 235–246. [Google Scholar] [CrossRef]
- Carter, M.D.; Calcutt, M.W.; Malow, B.A.; Rose, K.L.; Hachey, D.L. Quantitation of melatonin and N-acetylserotonin in human plasma by nanoflow LC-MS/MS and electrospray LC-MS/MS. J. Mass. Spectrom. 2012, 47, 277–285. [Google Scholar] [CrossRef]
- Reiter, R.J.; Tan, D.X.; Sanchez-Barcelo, E.; Mediavilla, M.D.; Gitto, E.; Korkma, A. Circadian mechanisms in the regulation of melatonin synthesis: Disruption with light at night and the pathophysiological consequences. J. Exp. Integr. Med. 2011, 1, 13–22. [Google Scholar] [CrossRef]
- Zisapel, N. New perspectives on the role of melatonin in human sleep, circadian rhythms and their regulation. Br. J. Pharmacol. 2018, 175, 3190–3199. [Google Scholar] [CrossRef] [PubMed]
- Socaciu, A.I.; Ionuţ, R.; Socaciu, M.A.; Ungur, A.P.; Bârsan, M.; Chiorean, A.; Socaciu, C.; Rajnovean, A.G. Melatonin, a ubiquitous metabolic regulator: Functions, mechanisms and effects on circadian disruption and degenerative diseases. Rev. Endocr. Metabolic Dis. 2020, 21, 465–478. [Google Scholar] [CrossRef] [PubMed]
- Rothe, N.; Steffen, J.; Penz, M.; Kirschbaum, C.; Walther, A. Examination of peripheral basal and reactive cortisol levels in major depressive disorder and the burnout syndrome: A systematic review. Neurosci. Biobehav. Rev. 2020, 114, 232–270. [Google Scholar] [CrossRef]
- Lennartsson, A.K.; Sjörs, A.; Währborg, P.; Ljung, T.; Jonsdottir, I.H. Burnout and hypocortisolism—A matter of severity? A study on ACTH and cortisol responses to acute psychosocial stress. Front. Psychiatry 2015, 6, 8. [Google Scholar] [CrossRef]
- Lennartsson, A.K.; Theorell, T.; Kushnir, M.M.; Jonsdottir, I.H. Low levels of dehydroepiandrosterone sulfate in younger burnout patients. PLoS ONE 2015, 10, e0143192. [Google Scholar] [CrossRef]
- Nagendra, R.P.; Sathyaprabha, T.N.; Kutty, B.M. Enhanced dehydroepiandrosterone levels are positively correlated with N3 sleep stage in long-term mindfulness meditation practitioners. Sleep Sci. 2022, 15, 179–187. [Google Scholar] [CrossRef]
- Marchand, A.; Juster, R.P.; Durand, P.; Lupien, S.J. Burnout symptom sub-types and cortisol profiles: What’s burning most? Psychoneuroendocrinology 2014, 40, 27–36. [Google Scholar] [CrossRef]
- Sengupta, A.; Weljie, A.M. Metabolism of sleep and aging: Bridging the gap using metabolomics. Nutr. Healthy Aging 2018, 5, 167–184. [Google Scholar] [CrossRef]
- Quinones, M.P.; Kaddurah-Daouk, R. Metabolomics tools for identifying biomarkers for neuropsychiatric diseases. Neurobiol. Dis. 2009, 35, 165–176. [Google Scholar] [CrossRef]
- Pan, J.X.; Xia, J.J.; Deng, F.L.; Liang, W.W.; Wu, J.; Yin, B.M.; Dong, M.X.; Chen, J.J.; Ye, F.; Wang, H.Y.; et al. Diagnosis of major depressive disorder based on changes in multiple plasma neurotransmitters: A targeted metabolomics study. Transl. Psychiatry 2018, 8, 130. [Google Scholar] [CrossRef] [PubMed]
- Wang, Y.; Fujioka, N.; Xing, C. Quantitative profiling of cortisol metabolites in human urine by high-resolution accurate-mass MS. Bioanalysis 2018, 10, 2015–2026. [Google Scholar] [CrossRef] [PubMed]
- Arioli, F.; Gamberini, M.C.; Pavlovic, R.; Di Cesare, F.; Dragi, S.; Bussei, G.; Mungiguerra, F.; Casati, A.; Fidani, M. Quantification of cortisol and its metabolites in human urine by LC-MSn: Applications in clinical diagnosis and anti-doping control. Anal. Bioanal. Chem. 2022, 414, 6841–6853. [Google Scholar] [CrossRef] [PubMed]
- Chen, J.J.; Bai, S.J.; Li, W.W.; Zhou, C.J.; Zheng, P.; Fang, L.; Wang, H.Y.; Liu, Y.Y.; Xie, P. Urinary biomarker panel for diagnosing patients with depression and anxiety disorders. Transl. Psychiatry 2018, 8, 192. [Google Scholar] [CrossRef]
- Ungur, A.-P.; Brian, M.; Socaciu, A.-I.; Râjnoveanu, A.G.; Ionuț, R.; Goia, L.; Procopciuc, L.M. Blood metabolic biomarkers of occupational stress in healthcare professionals: Discriminating burnout levels and the impact of night shift work. Metabolites 2025. submitted. [Google Scholar]
- Xu, J.; Huang, L.; Sun, G.P. Urinary 6-sulfatoxymelatonin level and breast cancer risk: Systematic review and meta-analysis. Sci. Rep. 2017, 7, 5353. [Google Scholar] [CrossRef]
- Hadrévi, J.; Jonsdottir, I.H.; Jansson, P.A.; Eriksson, J.W.; Sjörs, A. Plasma metabolomic patterns in patients with exhaustion disorder. Stress 2019, 22, 17–26. [Google Scholar] [CrossRef]
- Fathollahi, A.; Daneshgari, F.; Hanna-Mitchell, A.T. Melatonin and Its Role in Lower Urinary Tract Function: An Article Review. Curr. Urol. 2015, 8, 113–118. [Google Scholar] [CrossRef] [PubMed] [PubMed Central]







| Number of Subjects | Day/Night Work | DP Scores | EE Scores | PA Scores | |
|---|---|---|---|---|---|
| Total number | 64 | 25/39 | DP-L (0–6):52 81.2% | EE-L (4–16):47 73.4% | PA-H (15–38):14 21.8% |
| DP-H (7–13):12 18.8% | EE-H (17–51):17 26.6% | PA-L (40–48):50 50% | |||
| F/M (number) F/M (mean age ± SD) | 58 F/6 M 46.05 ± 8.2/50.8 ± 15.5 | 23 F/35 F 2 M/4 M |
| Type of Work | Mean Scores ± SD | ||
|---|---|---|---|
| DP | EE | PA | |
| Day (n = 25) | 4.25 ± 4.3 | 13.25 ± 11.2 | 42.66 ± 5.82 |
| Night (n = 39) | 2.05 ± 2.9 | 8.92 ± 7.5 | 41.3 ± 7.05 |
| Molecule | AUC | p | log2FC | Molecule | AUC | p | log2FC |
|---|---|---|---|---|---|---|---|
| Melatonin | 0.653 | 0.105 | −0.220 | Androstenedione | 0.619 | 0.201 | −0.493 |
| Phenyl lactic acid | 0.639 | 0.081 | −0.522 | Arachidic acid | 0.616 | 0.213 | −0.109 |
| Retinyl linoleate | 0.631 | 0.117 | −0.215 | Cortisone | 0.615 | 0.094 | −0.605 |
| Leucyl-threonine | 0.622 | 0.064 | −0.120 | LPC 18:2 | 0.610 | 0.199 | −0.584 |
| Noradrenalin | 0.622 | 0.041 | 0.310 | C14:0 | 0.603 | 0.309 | −0.305 |
| DP-H (1) vs. DP-L (1) vs. DP-H (0) vs. DP-L (0) | p-Value | EE-H (1) vs. EE-L (1) vs. EE-H (0) vs. EE-L (0) | p-Value | PA-H (1) vs. PA-L (1) vs. PA-H (0) vs. PA-L (0) | p-Value |
|---|---|---|---|---|---|
| Adrenaline (⇓) | 0.024 | Melatonin (⇓) | 0.118 | DHAS | 0.242 |
| Androstenedione (⇑) | 0.025 | Sulfatoxymelatonin | 0.213 | Noradrenalin | 0.255 |
| Melatonin (⇓) | 0.029 | Androstenedione (⇑) | 0.227 | Androstenedione | 0.298 |
| Androsterone (⇑) | 0.134 | Cortisone (⇑) | 0.290 | Melatonin (⇓) | 0.331 |
| DHAS | 0.176 | Androsterone (⇑) | 0.296 | Hydrocortisone | 0.358 |
| Cortisol (⇑) | 0.177 | Noradrenalin (⇓) | 0.298 | Cortisone (⇑) | 0.363 |
| Cortisone (⇑) | 0.180 | Tetrahydrocortisone (⇑) | 0.350 | Hydrocortisone glucuronate | 0.584 |
| Tetrahydrocortisone (⇑) | 0.191 | Adrenalin (⇓) | 0.459 | Tetrahydrocortisone | 0.604 |
| 53 Common for “Urine” and “Blood” | 26 Exclusively Present in “Urine” | 46 Exclusively Present in “Blood” |
|---|---|---|
| 17-Beta-estradiol-sulfate | 25-Hydroxyvitamin D3 | (Iso)Leucine |
| 2-Methoxyestrone | 6-Hydroxysphingosine | 11-Hydroxyandrosterone |
| Adrenaline *; noradrenaline * | Acetylcysteine | 17-Methyltestosterone |
| Androsterone *; norandrosterone *; androstenedione * | Adipoyl carnitine | Estrone; 2-hydroxyestrone |
| Arginine; asparagine | Alpha-androstenol | 2-Methoxyestradiol-17beta |
| C14:0; C16:0; C16:1 | Arachidic acid | 5 Hydroxy lysine; 5 OH tryptophan |
| C18:0; C18:1; C18:2; C18:3, C20:3 | Arachidonoyl carnitine | 5,6-trans-25-Hydroxyvitamin D3 |
| Cortisol *; cortisone *; dihydrocortisol; tetrahydrocortisone | Azelaic acid | Acetyl-D-carnitine |
| DABA | Cer(d18:0/16:0) | C20:0; C20:1; C20:2; C20:4 |
| DHAS * | Cholesterol | Ceramide(d18:0/16:0) |
| Ergocalciferol | Decatrienoyl carnitine | Dinor lithocholic acid |
| Estriol | Dihydrocortisone | Glucose; glutamine; methionine |
| GABA | Eicosenoic acid | Heptadecanoyl carnitine (C17:0) |
| Gluconic acid | Heptadecanoyl carnitine (C17:0) | Linoleoyl carnitine (C18:2) |
| Hippuric acid | Nonanoyl carnitine (C9:0) | Hydroxy glutamic acid |
| Kynurenine | Hydrocortisone glucuronide | LPC 18:0; LPC 18:1 |
| L-carnitine | Hydroxy tryptophan | Methyl hippuric acid |
| Lysine; leucyl-threonine | Hydroxyestrone | Serotonin; N acetyl serotonin |
| Linoleyl palmitate | Linoleoyl carnitine | N methyl nicotinamide |
| LPC 18:2; LPC 18:3; LPE 22:0 | Methoxyestradiol-17beta | N-acetyl spermidine |
| Melatonin *; melatonin glucuronide | Methyltestosterone | Octenoyl and palmitoyl carnitine |
| N acetyl serotonin glucuronide and sulfate | Palmitoyl and octenoyl carnitine | Palmitoleyl linolenate |
| PC (18:2/18:2) | Sebacoyl carnitine | PC (18:1/18:1); PC (18:1/18:2); PC (18:2/17:2) |
| Phenyl lactic and pyroglutamic acid | Serotonin sulfate | Tyrosine; proline; threonine; valine |
| Retinyl linoleate | Sulfatoxymelatonin * | Prostaglandin F2 |
| Testosterone | Retinol (vitamin A) | |
| Tryptophan | Sphingosine; 6-hydroxysphingosine | |
| Haptanoyl, decanoyl, decenoyl, and dodecanoyl carnitine (C7:0, C10:0, C10:1, and C12:0) | Tocopherol; aspartic acid | |
| 18:0 Cholesterol ester | Tetrahydrocortisol | |
| Hydroxytestosterone |
Disclaimer/Publisher’s Note: The statements, opinions and data contained in all publications are solely those of the individual author(s) and contributor(s) and not of MDPI and/or the editor(s). MDPI and/or the editor(s) disclaim responsibility for any injury to people or property resulting from any ideas, methods, instructions or products referred to in the content. |
© 2025 by the authors. Licensee MDPI, Basel, Switzerland. This article is an open access article distributed under the terms and conditions of the Creative Commons Attribution (CC BY) license (https://creativecommons.org/licenses/by/4.0/).
Share and Cite
Ungur, A.P.; Socaciu, A.-I.; Barsan, M.; Rajnoveanu, A.G.; Ionut, R.; Socaciu, C.; Procopciuc, L.M. Urine Metabolomic Patterns to Discriminate the Burnout Levels and Night-Shift-Related Stress in Healthcare Professionals. Metabolites 2025, 15, 273. https://doi.org/10.3390/metabo15040273
Ungur AP, Socaciu A-I, Barsan M, Rajnoveanu AG, Ionut R, Socaciu C, Procopciuc LM. Urine Metabolomic Patterns to Discriminate the Burnout Levels and Night-Shift-Related Stress in Healthcare Professionals. Metabolites. 2025; 15(4):273. https://doi.org/10.3390/metabo15040273
Chicago/Turabian StyleUngur, Andreea Petra, Andreea-Iulia Socaciu, Maria Barsan, Armand Gabriel Rajnoveanu, Razvan Ionut, Carmen Socaciu, and Lucia Maria Procopciuc. 2025. "Urine Metabolomic Patterns to Discriminate the Burnout Levels and Night-Shift-Related Stress in Healthcare Professionals" Metabolites 15, no. 4: 273. https://doi.org/10.3390/metabo15040273
APA StyleUngur, A. P., Socaciu, A.-I., Barsan, M., Rajnoveanu, A. G., Ionut, R., Socaciu, C., & Procopciuc, L. M. (2025). Urine Metabolomic Patterns to Discriminate the Burnout Levels and Night-Shift-Related Stress in Healthcare Professionals. Metabolites, 15(4), 273. https://doi.org/10.3390/metabo15040273

