Abstract
High-lipid diets are attributed to excessive lipid deposition and metabolic disturbances in fish. The aim of this experiment was to investigate the effects of steroidal saponins on growth performance, immune molecules and metabolism of glucose and lipids in hybrid groupers (initial weight 22.71 ± 0.12 g) fed high-lipid diets. steroidal saponins (0%, 0.1% and 0.2%) were added to the basal diet (crude lipid, 14%) to produce three experimental diets, designated S0, S0.1 and S0.2, respectively. After an 8-week feeding trial, no significant differences were found between the S0 and S0.1 groups in percent weight gain, specific growth rate, feed conversion ratio, protein efficiency ratio and protein deposition rate (p > 0.05). All those in the S0.2 group were significantly decreased (p < 0.05). Compared to the S0 group, fish in the S0.1 group had lower contents of serum triglyceride and low-density lipoprotein cholesterol and higher high-density lipoprotein cholesterol and glucose (p < 0.05). The activities of superoxide dismutase, catalase and glutathione peroxidase were significantly higher, and malondialdehyde contents were significantly lower in the S0.1 group than in the S0 group (p < 0.05). Hepatic triglyceride, total cholesterol and glycogen were significantly lower in the S0.1 group than in the S0 group (p < 0.05). Activities of lipoprotein lipase, total lipase, glucokinase and pyruvate kinase, and gene expression of lipoprotein lipase, triglyceride lipase and glucokinase, were significantly higher in the S0.1 group than in the S0 group. Interleukin-10 mRNA expression in the S0.1 group was significantly higher than that in the S0 group, while the expression of interleukin-6 and tumor necrosis factor-α genes were significantly lower than those in the S0 group. In summary, adding 0.1% steroidal saponins to a high-lipid diet not only promoted lipolysis in fish livers, but also activated glycolysis pathways, thus enhancing the utilization of the dietary energy of the groupers, as well as supporting the fish’s nonspecial immune-defense mechanism.
1. Introduction
Aquaculture has undeniably established its crucial role in global food security and nutrition. The total aquaculture production of the world has reached 122.6 million tons in 2020 [1]. The scale of aquaculture in the world is so large that the more aquatic feeds are required. In recent years, fish-meal and soybean-meal supply have been increasingly tight, which made the prices of some miscellaneous meal fluctuate from time to time, such as cotton meal, rapeseed meal and peanut meal, etc. [2,3]. In view of such a serious situation, full utilization of the energy effect of lipids and carbohydrates in feed to save protein is a more effective way. However, the higher dietary lipids or glucose easily led to the abnormal deposition of lipids in the liver and, directly affecting the health of fish, which would influence the fish yield and economic benefits [4].
Studies in Nile tilapia (Oreochromis niloticus), carp (Cyprinus carpio) and mice showed that saponins can decrease the total cholesterol (TC) and triglyceride (TG) contents and the activities of glutamic pyruvic transaminase (GPT) and glutamic oxalacetic transaminase (GOT) to protect the body [5,6,7,8]. Steroidal saponins, formed by the bonding of steroidal sapogenin and glycosides groups, were widely distributed in roots and rhizomes of plants, mainly found in monocotyledons such as agave, dioscoreaceae and genicaceae [9,10]. Structural diversity of steroidal saponins allows for a series of physiological activities, such as regulating the body’s metabolism of carbohydrates and lipids by increasing the activities of lipoprotein lipase and hepatic lipase [7,11]. The right amount of quillaja or soybean saponins have been proven to promote percent weight gain, protein efficiency ratio and protein deposition ratio in juvenile Japanese flounder (Paralichthys olivaceus) [12], sea bream (Sparus aurata) [13] and carp [14,15], meanwhile enhancing the immune defense by increasing the body’s anti-inflammatory and antioxidant capacities.
The grouper, as a common marine fish in China, had a production of 2.04 × 105 tons in 2021, accounting for 11.09% of the marine carnivorous fish cultured in China [16]. However, when groupers consumed diets with higher lipids, the liver showed injury, including larger areas of lipid droplets in liver sections and lower enzyme activities of hepatic CAT and SOD [17,18]. An in vivo experiment of saponin on primary hepatocytes of hybrid groupers fed a high-fat diet showed that saponin had the ability to limit lipid accumulation and improve the oxidative stress in the liver. Groupers that were fed a diet containing 0.4% saikosaponin d displayed the best growth, and fish fed a diet containing 0.8% saikosaponin d had similar weight gain compared to the control group [19]. However, early studies showed that growth performance and enzyme activity of antioxidants were inhibited, and proinflammatory factors were upregulated in sea bream [13], carp [14,15] and juvenile turbot (Scophthalmus maximus) [20] fed saponins over 0.2%. Therefore, this experiment was designed to investigate the effects of different levels of steroidal saponins on growth performance, nonspecific immune molecules and glucose and lipid metabolism in hybrid groupers (♀Epinephelus fuscoguttatus×♂E. lanceolatu) fed high-lipid diets.
2. Materials and Methods
2.1. Experimental Diets
The formula of the basal diet is shown in Table 1. Steroidal saponins (Guangzhou Feixit Biotechnology Co., Ltd., Guangzhou, China) were added to the basal diet at 0%, 0.1% and 0.2% and form three isoproteic (52% crude protein) and isolipidic (14% crude lipid) diets, named as S0, S0.1 and S0.2. The ingredients were crushed (HNX-350, Beijing Huanya Tian yuan Machinery Technology Co., Ltd., Beijing, China) and passed through a 60-mesh screen. The solid materials were first mixed (B30 V-mixer, Lifeng Food Machinery Factory, Guangzhou, China) for 15 min, and then oil and water were added and mixed for 10 min to produce a moist dough. The dough was extruded by the twine-screw extruder (F-26, South China University of Technology, Guangzhou, China) through a 2.5 mm die. All pellet diets were air-dried at 25 °C and then stored at −20 °C until used.
Table 1.
Ingredients (g/100 g diet) and proximate composition (% dry matter).
2.2. Fish and Feeding Trial
The healthy hybrid groupers of consistent genetic background were purchased from a commercial hatchery (Hongxing Hatchery, Zhanjiang, China). The fish were then reared in an outdoor concrete pond (5 m × 4 m × 2 m), fed a commercial diet (50% crude protein, 8% crude lipid) and domesticated for two weeks. All fish were starved for 24 h, and then healthy groupers (initial weight 22.71 ± 0.12 g) were selected randomly and divided into 9 buckets (1 m3 Fiberglass farming buckets) with 25 fish each. The experiment was conducted in an indoor hydrostatic water culture system at the Marine Biological Research Base of Guangdong Ocean University (Donghai Island, Zhanjiang, China). The fish, reared in three groups with three replicates, were fed the experimental diets to apparent satiation at 8:00 and 16:00 daily for 8 weeks. During the feeding trial, fish were continuously oxygenated every day, kept at a temperature of 30.5 ± 0.8 °C, a salinity of 28–32, dissolved oxygen of 5–6 mg/L and an ammonia content of <0.2 mg/L. The culture water was replaced by 80% each other day.
2.3. Sample Collection and Chemical Analysis
At the end of the feeding trial, all fish in each bucket were made to fast for 24 h. In each replicate, fish were counted and weighed to calculate survival rate (SR), percent weight gain (PGR), specific growth rate (SGR), protein efficiency ratio (PER) and feed conversion ratio (FCR). Two fish were randomly selected in each replicate for whole-fish composition analysis. Three groupers were randomly selected from each replicate and measured for body length and weight, and their dissected livers and viscera were weighed to evaluate the condition factor (CF), hepatopancreas index (HSI) and viscerosomatic index (VSI).
Six fish were randomly selected from each replicate after weighing, and blood was collected from the tail vein. The blood samples were left at 4 °C for 12 h and centrifuged at 4 °C and 3500 rpm for 15 min. The serum obtained with centrifugation was for the analysis of biochemical indexes and antioxidative enzyme activities. The soybean-sized liver was cut in each replicate and washed with saline, and then preserved in 4% formaldehyde solution for making the histological section stained with PAS. Glycogen was quantified with software IPwin32 (6.0.0.260). Four livers in each replicate were obtained, two for measuring the activity of enzymes and another two for analyzing gene expression. The analysis methods for the index are listed in Table 2.
Table 2.
The chemical analysis used in the experiment.
2.4. Quantitative RT-PCR Analysis of Gene Expression
Total RNA in the liver was extracted with Trizol reagent (Invitrogen, Carlsbad, CA, USA). The cDNA was synthesized by Prime Script RT kit (Takara, Osaka, Japan), and qRT-PCR was performed using SYBR Premix Ex Taq kit (Takara, Osaka, Japan) and carried out using a quantitative thermal cycler (Light Cycler480II, Roche Diagnostics, Basel, Switzerland). The reaction volume was 10 μL, containing 3.2 μL sterilized double-distilled water, 1 μL cDNA, 0.4 μL each primer and 5 μL SYBR Premix Ex Taq (Takara, Osaka, Japan). The cycle conditions were 30 s at 95 °C, then 35 cycles of 5 s at 95 °C, 25 s at 60 °C and 30 s at 72 °C. β-actin was as the reference gene to correct the results of different batches. The results were calculated using the 2−ΔΔCt method in relative expression analysis. The primers used for qRT-PCR analysis are listed in Table 3.
Table 3.
Primers pair sequences for qRT-PCR.
2.5. Calculation and Statistical Analysis
Survival rate (SR, %) = 100 × final number of fish/initial number of fish.
Percent weight gain (PWG, %) = 100 × (final mean weight − initial mean weight)/initial mean weight.
Specific growth rate (SGR, %/d) = 100 × (final mean weight − initial mean weight)/number of rearing days.
Protein efficiency ratio (PER) = (final mean weight − initial mean weight)/(total feed intake × content of dietary protein).
Protein deposition rate (PDR, %) = 100 × (final mean weight × content of final body protein- initial mean weight × content of initial body protein)/(total feed intake × content of dietary protein).
Feed conversion ratio (FCR) = consumed feed weight/(final weight − initial weight + dead weight).
Feeding rate (FR, %BW/d) = 100 × consumed feed weight/[feeding days × (final fish weight + initial fish weight)/2].
Condition factor (CF, g/cm3) = 100 × body weight/body length3.
Hepatopancreas index (HSI, %) = 100 × liver weight/body weight.
Viscerosomatic index (VSI, %) = 100 × viscera weight/body weight.
The units of fish quantity, weight, length and experimental time were tail, g, cm and d, in that order.
All data were analyzed with a one-way analysis of variance (ANOVA) and significant differences among dietary groups were estimated by Tukey’s multiple comparison test. The results were expressed as means ± standard deviation (SD). Significant differences were chosen at p < 0.05. The images of the experimental results were drawn with Graph Pad Prism 8.0 software (8.0.2.263).
3. Results
3.1. Growth Performance
As indicated in Table 4, the FBW, PWG, PER, PDR and SGR of the fish in the S0.1 group were not significantly different from the S0 group and were significantly higher than those in S0.2 group (p < 0.05). The number of fish that died per replicate in group S0 was 0, 3 and 1, respectively; in group S0.1, it was 1, 1 and 1, respectively; and in group S0.2, it was 3, 3 and 2, respectively. The HSI and VSI of fish in the S0 group were not significantly different from the S0.2 group, but were significantly lower than those in the S0.1 group (p < 0.05).
Table 4.
Effects of dietary steroid saponins on the growth performance of hybrid groupers.
3.2. Whole-Body Proximate Chemical Analysis
Body composition in the initial fish in each group was similar. After 8 weeks of a feeding trial, no significant difference was found in the moisture, crude protein and crude lipid levels of the whole fish among the experimental groups (p > 0.05) (Table 5).
Table 5.
Effects of dietary steroid saponins on the whole fish composition of hybrid groupers.
3.3. Serum Biochemical Indexes
The content of TG in the S0 group was significantly higher than that in the S0.1 group, but significantly lower than that in the S0.2 group (p < 0.05). The content of serum TC and LDL-C was significantly lower in the S0.1 group than in the S0.2 group (p < 0.05). The level of HDL-C and GLU were significantly higher in the S0.1 and S0.2 groups than in the S0 group (p < 0.05) (Table 6).
Table 6.
Effects of dietary steroid saponins on serum biochemical indexes of hybrid groupers.
3.4. Serum Antioxidative Index
The MDA contents in the S0 and S0.2 groups were significantly higher than that in the S0.1 group (p < 0.05) (Table 7). SOD activity of the S0 group was significantly lower than in the S0.1 group, but significantly higher than in the S0.2 group (p < 0.05). The CAT activity in the S0.1 and S0.2 groups were significantly higher than that in the S0 group (p < 0.05). Compared to the S0.1 group, GSH-PX activity in S0 and S0.2 groups was significantly decreased (p < 0.05).
Table 7.
Effects of dietary steroid saponins on serum antioxidative indexes of hybrid groupers.
3.5. Liver Histochemistry by PAS Stain
The results of the liver PAS stain are shown in Figure 1. The blue substance is the nucleus, and the purple substance is glycogen (Figure 1A). The percentage of nucleus in all groups was not significantly different (p > 0.05). The percentage of glycogen in the control group was significantly higher than in the S0.1 group, but was significantly lower than in the S0.2 group (p < 0.05) (Figure 1B).
Figure 1.
Effects of steroid saponin diets on the liver histochemistry of hybrid groupers after 8 weeks. Note: (A) Observation of liver sections (PAS staining, 200×). G, glycogen; N, nucleus. (B) Quantitative data on glycogen and nucleus. Different letters on the bars indicated significant difference (p < 0.05).
3.6. Liver Biochemical Indexes
There was no significant difference in hepatic TP among the three groups (p > 0.05) (Figure 2). Both the TG and TC contents of the S0.1 group were significantly lower than those of the S0 group (p < 0.05). The LG of the S0 group was significantly higher than that of the S0.1 group (p < 0.05) and was not significantly different from the S0.2 group (p > 0.05).
Figure 2.
Effect of dietary steroid saponins on the biochemical indexes of fish livers. Note: (a–c): Values from smallest to largest. 3.7. Enzyme Activities and Genes Expression of Glucose and Lipid Metabolism in Liver.
From Figure 3A, enzyme activities of LPL and TL in the S0.1 and S0.2 groups were significantly higher than those in the S0 group (p < 0.05). Higher HL activity was found in the S0.2 group (p < 0.05), while it was not significantly different between the S0 and S0.1 groups (p > 0.05). The activities of GK and PK were significantly higher in the S0.1 group than in the other two groups (p < 0.05). No significant difference was found in the HK activity in all groups (p > 0.05).
Figure 3.
Effect of dietary steroidal saponins on glucose and lipid metabolism in the liver in hybrid groupers. Note: (A) enzyme activities of glucose and lipid metabolism; (B) gene expressions of glucose and lipid metabolism. (a–c): Values from smallest to largest.
The lpl and atgl mRNA expressions were significantly higher in the S0.1 group than in the other two groups (p < 0.05) (Figure 3B), while gene expression levels of lpl and atgl in the S0.2 group were significantly lower than those in the S0 group (p < 0.05). The ppar α mRNA expression did not show significant differences between the S0 and S0.1 groups (p > 0.05), while it was significantly higher in the S0.2 group (p < 0.05). The expression of glut2 mRNA was significantly higher in the S0.1 and S0.2 groups than in the S0 group (p < 0.05). The gk mRNA expression was significantly lower in the S0 and S0.2 groups than in the S0.1 group (p < 0.05). The expression of pfk b mRNA was not significantly different between the S0.1 and S0 groups and was significantly lower than in the S0.2 group (p < 0.05).
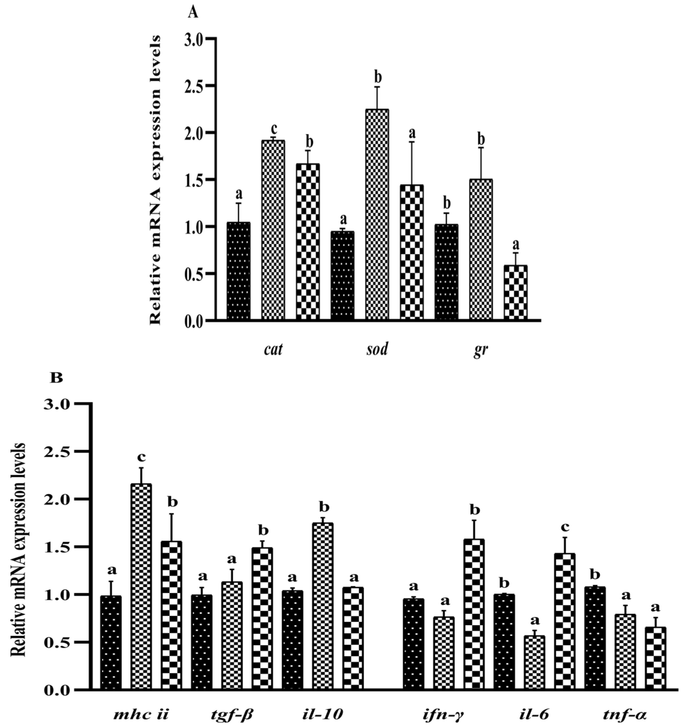
3.7. Liver Immune Molecules
As Figure 4A shows, the mRNA expressions of the genes cat and sod were significantly higher in the S0.1 group than in the other two groups (p < 0.05). The mRNA expression of the gr was not significantly different between the S0 and S0.1 groups, but it was higher than in the S0.2 group (p < 0.05). The mhc II and il-10 mRNA expressions in the S0.1 group were significantly upregulated when compared with other groups (p < 0.05). The tgf-β mRNA expression in the S0 and S0.1 groups was lower than in the S0.2 group (p < 0.05). The expressions of ifn-γ and il-6 mRNA in S0.2 group were significantly higher than in other groups (p < 0.05). The tnf-α mRNA expression in the S0.1 and S0.2 groups were significantly lower than in the S0 group (p < 0.05).
Figure 4.
Effect of dietary steroidal saponins on the expression of genes related to immune molecules in hybrid groupers. Note: (A) genes of antioxidative enzyme; (B) genes of inflammatory factors. (a–c): Values from smallest to largest.
4. Discussion
In most fish, dietary lipids are able to promote protein deposition efficiently in vivo, which is known as the protein-saving effect. Although the appropriate dietary lipid level for hybrid groupers was 10% [17,23,24], a higher lipid level in the diet was used in the practical feed in order to realize the protein-saving effect. However, excessive dietary lipids would cause lipid accumulation, inflammation and decreased PER and PDR in hybrid groupers, hybrid yellow catfish (Pelteobagrus fulvidraco × P. vachelli) and yellow croakers (Larimichthys crocea), inhibiting fish growth [25,26,27]. In this experiment, when 0.1% steroidal saponins was added to the diet with 14% crude lipids, more PER and PDR were obtained, but when steroidal saponins was up to 0.2%, fish growth was significantly inhibited. Studies in Atlantic salmon (Salmo salar L) [28] found that dietary addition of 0.2% soya-saponins increased fish PER and PDR, but supplementation of 0.2% or 0.32% soya-saponins decreased the weight-gain rate of carnivorous field eels (Monopterus albus) [29] and Japanese flounder [12]. Research in omnivorous carp [30] found that growth performance was significantly inhibited when dietary Momordica charantia saponins were above 0.64%. Thus, high doses of saponins were toxic to fish and decreased growth. Dietary soya-saponins over 0.25% significantly caused a decrease in the specific growth ratio and feed efficiency ratio in juvenile turbot (Scophthalmus maximus) [20]. However, these differences in the results might be related to saponin dose, species habits, feeding habits and the saponin type. The addition of 0.05–1% Panax notoginseng extract (with 80% saponins) to high-lipid diets (15%) promoted the growth of hybrid groupers. Although the growth was increased above 0.5% [31], in which the initial grouper size was larger than in the present study, we thought that the larger fish would have greater tolerance. However, the groupers of a similar size to those in the present study were fed a diet containing 0.4% saikosaponin d, which gave the best growth, and fish fed a diet containing 0.8% saikosaponin d had similar weight gain compared to the control group. Saikosaponin is a triterpenoid saponin. The saponin used in this experiment is a steroidal saponin extracted from mulberry leaves. The two types of saponin have different functions. Perhaps the type of the saponin made a difference in the dietary dose and effect on fish. The above research was combined to show that the addition of appropriate levels or type of saponins to high-lipid diets was helpful for playing a role in the conservation of protein and to increase PER and PDR, thus resulting in promoting fish growth.
Compared to terrestrial animals, aquaculture animals are characterized by a shorter digestive tract that limits the ability to digest and utilize food. High-lipid diets would increase the burden on fish and cause problems such as disorders of lipid metabolism in the serum and liver, thus affecting body health [32,33,34]. In a non-high-lipid diet, saponin reduced TC, TG and LDL-C and increase HDL-C in the serum of pacific white shrimp (Litopenaeus vannamei) [35] and juvenile turbot [36]. In the present experiment, the addition of steroidal saponins to the high-lipid diet significantly increased the enzyme activities of LPL and HL and upregulated the expression of lpl, atgl and ppar α genes in livers of hybrid groupers. Meanwhile, a decrease in TG and TC levels in serum and the liver of hybrid groupers was also observed, which is consistent with the trend of lipid-metabolizing enzymes in the liver. The saponin could activate the PPAR signaling pathway to upregulate the gene expression of lpl, atgl and ppar α to stabilize lipid metabolism disorders of hybrid groupers fed with a high-lipid diet [19]. It was indicated that steroidal saponins probably enhanced the hydrolysis of triglycerides to fatty acids through activating the PPAR signaling pathway, which subsequently activated the LDL and HDL receptor families in the cholesterol metabolic pathway to mediate cholesterol transport [18,37,38].
In addition, the intake of a high-lipid diet is often accompanied by disturbances in the glucose metabolism in fish, mainly in terms of wave blood glucose and hepatic glycogen content [33,34,39]. Saponins were found to significantly reduce hepatic glycogen and blood glucose levels and elevated the enzyme activities of glycolysis in carp that were fed with a high-starch diet [30]. In this experiment, the addition of steroidal saponins to the high-lipid diets significantly upregulated hepatic GLUT2, GK and PFK b gene expression, increased GK and PK enzyme activities, and decreased the hepatic glycogen content. When the organism was stimulated, GK, HK and PFK b expression in the AMPK signaling pathway was able to be activated, which subsequently regulated gene expression and glycolysis and provided energy to the organism [30,40]. The steroidal saponins might promote grouper growth by activating the expression of the PFK b gene in the AMPK signaling pathway and subsequently upregulating gene expression and the activity of enzymes in the glycolysis pathway. Dietary carbohydrates could be better energized by steroidal saponin stimulation, which was more conducive to the protein-sparing effect.
Saponins have been confirmed to reduce MDA content and enhance the antioxidant capacity of carp [6], white shrimp [41] and swimming crab (Portunus trituberculatus) [42], by increasing SOD, CAT, GSH-PX and GR activities and genes expression. In this study, enzyme activities and gene expression of SOD, CAT, GSH -PX and GR in groupers fed diets containing 0.1% steroidal saponins were significantly increased, and MDA levels in serum also decreased. At the same time, the expression of cell factors mhc II, il-10 and tgf-β genes were upregulated, and inf-γ, il-6 and tnf-α gene expressions were downregulated in groupers fed diets containing 0.1% steroidal saponins. In a similar trend, higher expressions of mhc II, il-10 and tgf-β genes and lower expressions of inf-γ, il-6 and tnf-α genes in the liver were found in turbot [43], sea bream [44] and carp [45,46] fed the diet with saponins. The expression of mhc II in the antigen presentation pathway might be upregulated by the saponins in groupers, which enables T cells to recognize antigens [47], together with the higher expression of il-10 and tgf-β genes to exhibit the anti-inflammation in the body’s immune system. Saponins could act on the NF-κB signaling pathway to play a role in inflammation in the enterocytes [48] and also enhance the antioxidant capacity of carp [45] and mice [49] by acting on the Nrf2 signaling pathway and upregulating sod, cat and gr gene expressions, which then alleviate the liver damage. As a result, the steroidal saponins effectively improved the antioxidant ability and removed peroxide products, etc., in the body through the nonspecial immune factors maintaining the oxidative homeostasis, and thus enabled the orderly metabolism of nutrients in the body.
In conclusion, compared to the fish that were fed a diet without steroidal saponins, groupers that ingested a high-lipid diet with 0.1% steroidal saponins could achieve a better protein efficiency ratio, lower blood lipids and a healthier liver, which were all derived from raising the efficiency of the glycolipid metabolism for energy supply. Meanwhile, 0.1% steroidal saponins helped increase the nonspecial immune-defense mechanism of the fish by regulating immune molecules.
Author Contributions
H.D.: writing—original draft preparation, investigation and formal analysis; J.Z.: writing—review and editing, methodology and conceptualization; Q.Y.: conceptualization and purchasing of experimental materials; X.D.: methodology and assistant in culture management; S.Z.: methodology and instruction in sample analysis; W.L.: methodology and conceptualization; B.T.: funding acquisition; S.C.: funding acquisition, investigation, project administration and writing—review and editing. All authors have read and agreed to the published version of the manuscript.
Funding
This study was supported by the China Agriculture Research System of MOF and MARA (CARS-47); the Guangdong Provincial Higher Education Key Field Special Project (2020ZDZX1034); the Zhanjiang Science and technology plan project (2020A02001); and the Key laboratory construction project of Zhanjiang (2020A05003).
Institutional Review Board Statement
Hybrid groupers used in this experiment were provided by the Fish Species Technology Extension Station (Zhanjiang, China) and approved by the Animal Research and Ethics Committee of Guangdong Ocean University (Approval ID: GDOUIACUC-2021-A0207; Approval date: 8 May 2021).
Informed Consent Statement
Not applicable.
Data Availability Statement
The data presented in this study are available in the main article.
Conflicts of Interest
The authors declared that they had no known competing financial interest or personal relationships that could have influenced the work reported in this paper.
References
- Food and Agriculture Organization of the United Nations. The State of World Fisheries and Aquaculture: Towards Blue Transition; Food and Agriculture Organization of the United Nations: Rome, Italy, 2022. [Google Scholar]
- Gasco, L.; Gai, F.; Maricchiolo, G.; Genovese, L.; Ragonese, S.; Bottari, T.; Caruso, G. Fishmeal Alternative Protein Sources for Aquaculture Feeds. In Feeds for the Aquaculture Sector; Springer Briefs in Molecular Science; Springer: Cham, Switzerland, 2018; pp. 1–28. [Google Scholar]
- Oliveira, G.L.T.; Schneider, M. The politics of flexing soybeans: China, Brazil, and global agro-industrial restructuring. J. Peasant. Stud. 2016, 43, 167–194. [Google Scholar] [CrossRef]
- Tan, X.; Sun, Z.; Liu, Q.; Ye, H.; Zou, C.; Ye, C.; Wang, A.; Lin, H. Effects of dietary ginkgo biloba leaf extract on growth performance, plasma biochemical parameters, fish composition, immune responses, liver histology, and immune and apoptosis-related genes expression of hybrid grouper (Epinephelus lanceolatus♂ × Epinephelus fuscoguttatus♀) fed high lipid diets. Fish Shellfish. Immunol. 2018, 72, 399–409. [Google Scholar] [PubMed]
- Francis, G.; Makkar, H.P.S.; Becker, K. Effects of Quillaja saponins on growth, metabolism, egg production and muscle cholesterol in individually reared Nile tilapia (Oreochromis niloticus). Comp. Biochem. Physiol. Part C Toxicol. Pharmacol. 2001, 129, 105–114. [Google Scholar] [CrossRef] [PubMed]
- Dawood, M.A.; Gewaily, M.S.; Monier, M.N.; Younis, E.M.; Van Doan, H.; Sewilam, H. The regulatory roles of yucca extract on the growth rate, hepato-renal function, histopathological alterations, and immune-related genes in common carp exposed with acute ammonia stress. Aquaculture 2021, 534, 736287. [Google Scholar] [CrossRef]
- Lei, R.J.; Li, J.; Jin, S.X.; Xu, S.Y.; Yan, G.M.; He, Q.J. Hyperlipidemic effect of total steroidal saponins extracted from Allium chinense G. Don in high-fat diet-induced hyperlipidemia rats. Chin. Tradit. Pat. Med. 2013, 35, 1615–1619. [Google Scholar]
- Lu, B.; Yin, L.; Xu, L.; Peng, J. Application of proteomic and bioinformatic techniques for studying the hepatoprotective effect of dioscin against CCl4-induced liver damage in mice. Planta Med. 2010, 77, 407–415. [Google Scholar] [CrossRef] [PubMed]
- Moses, T.; Papadopoulou, K.K.; Osbourn, A. Metabolic and functional diversity of saponins, biosynthetic intermediates and semi-synthetic derivatives. Crit. Rev. Biochem. Mol. Biol. 2014, 49, 439–462. [Google Scholar] [CrossRef]
- Upadhyay, S.; Jeena, G.S.; Shukla, R.K. Recent advances in steroidal saponins biosynthesis and in vitro production. Planta 2018, 248, 519–544. [Google Scholar] [CrossRef]
- Yu, C.-H.; Xie, G.; He, R.-R.; Zhai, Y.-J.; Li, Y.-F.; Tsoi, B.; Kurihara, H.; Yang, D.-P. Effects of a purified saponin mixture from alfalfa on plasma lipid metabolism in hyperlipidemic mice. J. Health Sci. 2011, 57, 401–405. [Google Scholar] [CrossRef]
- Chen, W.; Ai, Q.H.; Mai, K.M.; Xu, W.; Liufu, Z.G.; Zhang, W.B.; Cai, Y.H. Effects of dietary soybean saponins on feed intake, growth performance, digestibility, and intestinal structure in juvenile Japanese flounder (Paralichthys olivaceus). Aquaculture 2011, 318, 95–100. [Google Scholar] [CrossRef]
- Couto, A.; Kortner, T.M.; Penn, M.; Bakke, A.M.; Krogdahl, A.; Oliva-Teles, A. Effects of dietary soy saponins and phytosterols on gilthead sea bream (Sparus aurata) during the on-growing period. Anim. Feed. Sci. Technol. 2014, 198, 203–214. [Google Scholar] [CrossRef]
- Serrano, A.E., Jr. Effects of Quillaja saponins on growth, feed efficiency, digestive enzyme activities and metabolism of common carp (Cyprinus carpio L). Aquac. Nutr. 2013, 19, 468–474. [Google Scholar] [CrossRef]
- Francis, G.; Makkar, H.P.S.; Becker, K. Dietary supplementation with a Quillaja saponin mixture improves growth performance and metabolic efficiency in common carp (Cyprinus carpio L.). Aquaculture 2002, 203, 311–320. [Google Scholar] [CrossRef]
- Fisheries Administration of the Ministry of Agriculture and Rural Areas; National Fisheries Technology Extension Center; China Society of Fisheries. Fishery Statistical Yearbook; Chinese Agricultural Press: Beijing, China, 2022. (In Chinese) [Google Scholar]
- Xie, R.; Amenyogbe, E.; Chen, G.; Huang, J. Effects of feed fat level on growth performance, body composition and serum biochemical indices of hybrid grouper (Epinephelus fuscoguttatus × Epinephelus polyphekadion). Aquaculture 2021, 530, 735813. [Google Scholar] [CrossRef]
- Li, T.; Yan, X.; Dong, X.; Pan, S.; Tan, B.; Zhang, S.; Zhang, H. Choline Alleviates Disorders of Lipid Metabolism in Hybrid Grouper (♀ Epinephelus fuscoguttatus × ♂ E. lanceolatus) Caused by High-Lipid. Diet. Aquac. Nutr. 2022, 2022, 998849. [Google Scholar]
- Zou, C.; Du, L.; Wu, J.; Gan, S.; Li, Q.; Babu, V.S.; Wu, Y.; Lin, L. Saikosaponin d alleviates high-fat-diet induced hepatic steatosis in hybrid grouper (Epinephelus lanceolatus♂ × Epinephelus fuscoguttatus♀) by targeting AMPK/PPARα pathway. Aquaculture 2022, 553, 738088. [Google Scholar] [CrossRef]
- Gu, M.; Jia, Q.; Zhang, Z.; Bai, N.; Xu, X.; Xu, B. Soya-saponins induce intestinal inflammation and barrier dysfunction in juvenile turbot (Scophthalmus maximus). Fish Shellfish. Immunol. 2018, 77, 264–272. [Google Scholar] [CrossRef]
- Mol, S.; Turan, S. Comparison of proximate, fatty acid and amino acid compositions of various types of fish roes. Int. J. Food Prop. 2008, 11, 669–677. [Google Scholar] [CrossRef]
- Wang, H. Determination of crude protein content in grain and oil seeds by dumas combustion method. Sci. Technol. Cereals Oils Foods 2018, 26, 49–53. [Google Scholar]
- Wang, J.; Han, T.; Li, X.; Yang, Y.; Yang, M.; Hu, S.; Jiang, Y.; Harpaz, S. Effects of dietary protein and lipid levels with different protein-to-energy ratios on growth performance, feed utilization and body composition of juvenile, red-spotted grouper (Epinephelus akaara). Aquac. Nutr. 2017, 23, 994–1002. [Google Scholar] [CrossRef]
- Li, S.; Mai, K.; Xu, W.; Yuan, Y.; Zhang, Y.; Zhou, H.; Ai, Q. Effects of dietary lipid level on growth, fatty acid composition, digestive enzymes, and expression of some lipid metabolism related genes of orange-spotted grouper larvae (Epinephelus coioides H.). Aquac. Res. 2016, 47, 2481–2495. [Google Scholar] [CrossRef]
- Pan, S.; Yan, X.; Dong, X.; Li, T.; Suo, X.; Tan, B.; Zhang, S.; Li, Z.; Yang, Y.; Zhang, H. The positive effects of dietary inositol on juvenile hybrid grouper (♀ Epinephelus fuscoguttatus × ♂ E. lanceolatu) fed high-lipid diets: Growth performance, antioxidant capacity and immunity. Fish Shellfish. Immunol. 2022, 26, 84–95. [Google Scholar]
- Fei, S.; Xia, Y.; Chen, Z.; Liu, C.; Liu, H.; Han, D.; Jin, J.; Yang, Y.; Zhu, X.; Xie, S. A high-fat diet alters lipid accumulation and oxidative stress and reduces the disease resistance of overwintering hybrid yellow catfish (Pelteobagrus fulvidraco♀ × P. vachelli♂). Aquac. Rep. 2022, 23, 101043. [Google Scholar] [CrossRef]
- Ding, T.; Xu, N.; Liu, Y.; Du, J.; Xiang, X.; Xu, D.; Liu, Q.; Yin, Z.; Li, J.; Mai, K.; et al. Effect of dietary bile acid (BA) on the growth performance, body composition, antioxidant responses and expression of lipid metabolism-related genes of juvenile large yellow croaker (Larimichthys crocea) fed high lipid diets. Aquaculture 2020, 518, 734768. [Google Scholar] [CrossRef]
- Gu, M.; Gu, J.N.; Penn, M.; Bakke, A.M.; Lein, I.; Krogdahl, A. Effects of diet supplementation of soya-saponins, isoflavones and phytosterols on Atlantic salmon (Salmo salar L) fry fed from start -feeding. Aquac. Nutr. 2015, 21, 604–613. [Google Scholar] [CrossRef]
- Hu, Y.; Zhang, J.; Xue, J.; Chu, W.; Hu, Y. Effects of dietary soy isoflavone and soy saponin on growth performance, intestinal structure, intestinal immunity, and gut microbiota community on rice field eel (Monopterus albus). Aquaculture 2021, 537, 736506. [Google Scholar] [CrossRef]
- Fan, Z.; Li, J.; Wu, D.; Li, C.; Cao, D.; Miao, L.; Ge, X.; Wang, L. Preliminarily curative effectiveness of long-term bitter melon Momordica charantia saponins administration for the glucose homeostasis of juvenile common carp (Cyprinus carpio) fed a high-starch diet. Aquac. Rep. 2022, 25, 101232. [Google Scholar] [CrossRef]
- Sun, Z.; Tan, X.; Ye, H.; Zou, C.; Ye, C.; Wang, A. Effects of dietary Panax notoginseng extract on growth performance, fish composition, immune responses, intestinal histology, and immune related genes expression of hybrid grouper (Epinephelus lanceolatus♂× Epinephelus fuscoguttatus♀) fed high lipid diets. Fish Shellfish. Immunol. 2018, 73, 234–244. [Google Scholar] [CrossRef]
- Li, A.; Yuan, X.; Liang, X.-F.; Liu, L.; Li, J.; Li, B.; Fang, J.; Li, J.; He, S.; Xue, M.; et al. Adaptations of lipid metabolism and food intake in response to low and high fat diets in juvenile grass carp (Ctenopharyngodon idellus). Aquaculture 2016, 457, 43–49. [Google Scholar] [CrossRef]
- Tang, T.; Hu, Y.; Peng, M.; Chu, W.; Hu, Y.; Zhong, L. Effects of high-fat diet on growth performance, lipid accumulation and lipid metabolism related MicroRNA/gene expression in the liver of grass carp (Ctenopharyngodon idella). Comp. Biochem. Physiol. Part B Biochem. Mol. Biol. 2019, 234, 34–40. [Google Scholar] [CrossRef]
- Lv, H.-B.; Ma, Y.-Y.; Hu, C.-T.; Lin, Q.-Y.; Yue, J.-J.; Chen, L.-Q.; Zhang, M.-L.; Du, Z.-Y.; Qiao, F. The individual and combined effects of hypoxia and high-fat diet feeding on nutrient composition and flesh quality in Nile tilapia (Oreochromis niloticus). Food Chem. 2021, 343, 128479. [Google Scholar] [CrossRef] [PubMed]
- Yang, Q.H.; Tan, B.P.; Dong, X.H.; Chi, S.Y.; Liu, H.Y. Effects of different levels of Yucca schidigera extract on the growth and nonspecific immunity of Pacific white shrimp (Litopenaeus vannamei) and on culture water quality. Aquaculture 2015, 439, 39–44. [Google Scholar] [CrossRef]
- Yun, B.; Ai, Q.; Qian, X.; Mai, K. Effects of soya saponins on feed intake, growth performance, and cholesterol metabolism in juvenile turbot (Scophthalmus maximus L). Isr. J. Aquac. Bamidgeh 2015, 67, 20734. [Google Scholar] [CrossRef]
- Zhang, M.; Shao, Y.; Gao, B.; Chen, J.; Zhang, P.; Hu, Y.; Ding, S. Erchen decoction mitigates lipid metabolism disorder by the regulation of PPAR γ and LPL gene in a high-fat diet C57BL/6 mice model. Evid. Based Complement. Altern. Med. 2020, 2020, 1–8. [Google Scholar]
- Fougerat, A.; Schoiswohl, G.; Polizzi, A.; Régnier, M.; Wagner, C.; Smati, S.; Fougeray, T.; Lippi, Y.; Lasserre, F.; Raho, I.; et al. ATGL-dependent white adipose tissue lipolysis controls hepatocyte PPARα activity. Cell Rep. 2022, 39, 10910. [Google Scholar] [CrossRef]
- Li, R.-X.; Qian, Y.-F.; Zhou, W.-H.; Wang, J.-X.; Zhang, Y.-Y.; Luo, Y.; Qiao, F.; Chen, L.-Q.; Zhang, M.-L.; Du, Z.-Y. The Adaptive Characteristics of Cholesterol and Bile Acid Metabolism in Nile Tilapia Fed a High-Fat Diet. Aquac. Nutr. 2022, 2022, 1–17. [Google Scholar] [CrossRef]
- Feige, J.N.; Gelman, L.; Michalik, L.; Desvergne, B.; Wahli, W. From molecular action to physiological outputs: Peroxisome proliferator-activated receptors are nuclear receptors at the crossroads of key cellular functions. Prog. Lipid Res. 2006, 45, 120–159. [Google Scholar] [CrossRef]
- Su, B.K.; Chen, J.C. Effect of saponin immersion on enhancement of the immune response of white shrimp Litopenaeus vannamei and its resistance against Vibrio alginolyticus. Fish Shellfish. Immunol. 2008, 24, 74–81. [Google Scholar] [CrossRef]
- Ng’ambi, J.W.; Li, R.; Mu, C.; Song, W.; Liu, L.; Wang, C. Dietary administration of saponin stimulates growth of the swimming crab Portunus trituberculatus and enhances its resistance against Vibrio alginolyticus infection. Fish Shellfish. Immunol. 2016, 59, 305–311. [Google Scholar] [CrossRef]
- Gu, M.; Pan, S.; Li, Q.; Qi, Z.; Deng, W.; Bai, N. Protective effects of glutamine against soy saponins-induced enteritis, tight junction disruption, oxidative damage, and autophagy in the intestine of Scophthalmus maximus L. Fish Shellfish. Immunol. 2021, 114, 49–57. [Google Scholar] [CrossRef]
- Couto, A.; Kortner, T.M.; Penn, M.; Bakke, A.M.; Krogdahl, Å.; Oliva-Teles, A. Effects of dietary phytosterols and soy saponins on growth, feed utilization efficiency and intestinal integrity of gilthead sea bream (Sparus aurata) juveniles. Aquaculture 2014, 432, 295–303. [Google Scholar] [CrossRef]
- Wang, L.; Wu, D.; Fan, Z.; Li, H.; Li, J.; Zhang, Y.; Xu, Q.; Wang, G.; Zhu, Z. Effect of Yucca schidigera extract on the growth performance, intestinal antioxidant status, immune response, and tight junctions of mirror carp (Cyprinus carpio). Fish Shellfish. Immunol. 2020, 103, 211–219. [Google Scholar] [CrossRef] [PubMed]
- Urán, P.A.; Gonçalves, A.A.; Taverne-Thiele, J.J.; Schrama, J.W.; Verreth, J.A.J.; Rombout, J.H.W.M. Soybean meal induces intestinal inflammation in common carp (Cyprinus carpio L.). Fish Shellfish. Immunol. 2008, 25, 751–760. [Google Scholar] [CrossRef] [PubMed]
- Evans, A.M.; Salnikov, M.; Tessier, T.M.; Mymryk, J.S. Reduced MHC Class I and II Expression in HPV-Negative vs. HPV-Positive Cervical Cancers. Cells 2022, 11, 3911. [Google Scholar] [CrossRef] [PubMed]
- Gu, M.; Pan, S.; Deng, W.; Li, Q.; Qi, Z.; Chen, C.; Bai, N. Effects of glutamine on the IKK/IκB/NF-кB system in the enterocytes of turbot Scophthalmus maximus L. stimulated with soya-saponins. Fish Shellfish. Immunol. 2021, 119, 373–378. [Google Scholar] [CrossRef] [PubMed]
- Dong, H.Y.; Zhang, H.; Shuai, Z.F.; Rong, H.; Wang, J.P.; Li, C.H.X. Effects of β-asarone and tenuigenin on expression of SOD, GSH-PX, CAT, MDA and HO-1 in APP/PS1 double transgenic mice. Nat. Prod. Res. Dev. 2017, 29, 1551–1557. [Google Scholar]
Disclaimer/Publisher’s Note: The statements, opinions and data contained in all publications are solely those of the individual author(s) and contributor(s) and not of MDPI and/or the editor(s). MDPI and/or the editor(s) disclaim responsibility for any injury to people or property resulting from any ideas, methods, instructions or products referred to in the content. |
© 2023 by the authors. Licensee MDPI, Basel, Switzerland. This article is an open access article distributed under the terms and conditions of the Creative Commons Attribution (CC BY) license (https://creativecommons.org/licenses/by/4.0/).



