Association between Circulating Amino Acids and COVID-19 Severity
Abstract
1. Introduction
2. Materials and Methods
2.1. Study Population and End-Points
2.2. Metabolomics Measurements
2.3. Statistical Analyses
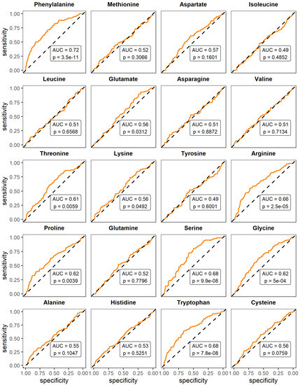
3. Results
3.1. Are Circulating Amino Acids Associated with COVID-19 Severity?
3.2. Are Circulating-Amino-Acid Levels Predictive of Adverse Outcomes?
4. Discussion
Supplementary Materials
Author Contributions
Funding
Institutional Review Board Statement
Informed Consent Statement
Data Availability Statement
Acknowledgments
Conflicts of Interest
References
- The Novel Coronavirus Pneumonia Emergency Response Epidemiology, T. The Epidemiological Characteristics of an Outbreak of 2019 Novel Coronavirus Diseases (COVID-19)—China, 2020. China CDC Wkly. 2020, 2, 113–122. [Google Scholar] [CrossRef]
- Hasan, M.R.; Suleiman, M.; Pérez-López, A. Metabolomics in the Diagnosis and Prognosis of COVID-19. Front. Genet. 2021, 12, 721556. [Google Scholar] [CrossRef]
- Lin, B.; Liu, J.; Liu, Y.; Qin, X. Progress in understanding COVID-19: Insights from the omics approach. Crit. Rev. Clin. Lab. Sci. 2021, 58, 242–252. [Google Scholar] [CrossRef]
- Mussap, M.; Fanos, V. Could metabolomics drive the fate of COVID-19 pandemic? A narrative review on lights and shadows. Clin. Chem. Lab. Med. 2021, 59, 1891–1905. [Google Scholar] [CrossRef] [PubMed]
- Danlos, F.X.; Grajeda-Iglesias, C.; Durand, S.; Sauvat, A.; Roumier, M.; Cantin, D.; Colomba, E.; Rohmer, J.; Pommeret, F.; Baciarello, G.; et al. Metabolomic analyses of COVID-19 patients unravel stage-dependent and prognostic biomarkers. Cell Death Dis. 2021, 12, 258. [Google Scholar] [CrossRef]
- Lee, J.W.; Su, Y.; Baloni, P.; Chen, D.; Pavlovitch-Bedzyk, A.J.; Yuan, D.; Duvvuri, V.R.; Ng, R.H.; Choi, J.; Xie, J.; et al. Integrated analysis of plasma and single immune cells uncovers metabolic changes in individuals with COVID-19. Nat. Biotechnol. 2022, 40, 110–120. [Google Scholar] [CrossRef]
- Atila, A.; Alay, H.; Yaman, M.E.; Akman, T.C.; Cadirci, E.; Bayrak, B.; Celik, S.; Atila, N.E.; Yaganoglu, A.M.; Kadioglu, Y.; et al. The serum amino acid profile in COVID-19. Amino Acids 2021, 53, 1569–1588. [Google Scholar] [CrossRef] [PubMed]
- Barberis, E.; Timo, S.; Amede, E.; Vanella, V.V.; Puricelli, C.; Cappellano, G.; Raineri, D.; Cittone, M.G.; Rizzi, E.; Pedrinelli, A.R.; et al. Large-Scale Plasma Analysis Revealed New Mechanisms and Molecules Associated with the Host Response to SARS-CoV-2. Int. J. Mol. Sci. 2020, 21, 8623. [Google Scholar] [CrossRef]
- Caterino, M.; Costanzo, M.; Fedele, R.; Cevenini, A.; Gelzo, M.; Di Minno, A.; Andolfo, I.; Capasso, M.; Russo, R.; Annunziata, A.; et al. The Serum Metabolome of Moderate and Severe COVID-19 Patients Reflects Possible Liver Alterations Involving Carbon and Nitrogen Metabolism. Int. J. Mol. Sci. 2021, 22, 9548. [Google Scholar] [CrossRef] [PubMed]
- Cai, Y.; Kim, D.J.; Takahashi, T.; Broadhurst, D.I.; Ma, S.; Rattray, N.J.W.; Casanovas-Massana, A.; Israelow, B.; Klein, J.; Lucas, C.; et al. Kynurenic acid underlies sex-specific immune responses to COVID-19. medRxiv 2020. [Google Scholar] [CrossRef]
- Páez-Franco, J.C.; Torres-Ruiz, J.; Sosa-Hernández, V.A.; Cervantes-Díaz, R.; Romero-Ramírez, S.; Pérez-Fragoso, A.; Meza-Sánchez, D.E.; Germán-Acacio, J.M.; Maravillas-Montero, J.L.; Mejía-Domínguez, N.R.; et al. Metabolomics analysis reveals a modified amino acid metabolism that correlates with altered oxygen homeostasis in COVID-19 patients. Sci. Rep. 2021, 11, 6350. [Google Scholar] [CrossRef]
- Wu, P.; Chen, D.; Ding, W.; Wu, P.; Hou, H.; Bai, Y.; Zhou, Y.; Li, K.; Xiang, S.; Liu, P.; et al. The trans-omics landscape of COVID-19. Nat. Commun. 2021, 12, 4543. [Google Scholar] [CrossRef] [PubMed]
- Shen, B.; Yi, X.; Sun, Y.; Bi, X.; Du, J.; Zhang, C.; Quan, S.; Zhang, F.; Sun, R.; Qian, L.; et al. Proteomic and Metabolomic Characterization of COVID-19 Patient Sera. Cell 2020, 182, 59–72. [Google Scholar] [CrossRef] [PubMed]
- Aghili, S.M.M.; Ebrahimpur, M.; Arjmand, B.; Shadman, Z.; Pejman Sani, M.; Qorbani, M.; Larijani, B.; Payab, M. Obesity in COVID-19 era, implications for mechanisms, comorbidities, and prognosis: A review and meta-analysis. Int. J. Obes. 2021, 45, 998–1016. [Google Scholar] [CrossRef] [PubMed]
- Pranata, R.; Lim, M.A.; Huang, I.; Yonas, E.; Henrina, J.; Vania, R.; Lukito, A.A.; Nasution, S.A.; Alwi, I.; Siswanto, B.B. Visceral adiposity, subcutaneous adiposity, and severe coronavirus disease-2019 (COVID-19): Systematic review and meta-analysis. Clin. Nutr. ESPEN 2021, 43, 163–168. [Google Scholar] [CrossRef] [PubMed]
- Newgard, C.B. Metabolomics and Metabolic Diseases: Where Do We Stand? Cell Metab. 2017, 25, 43–56. [Google Scholar] [CrossRef] [PubMed]
- Maltais-Payette, I.; Boulet, M.M.; Prehn, C.; Adamski, J.; Tchernof, A. Circulating glutamate concentration as a biomarker of visceral obesity and associated metabolic alterations. Nutr. Metab. 2018, 15, 78. [Google Scholar] [CrossRef] [PubMed]
- Maltais-Payette, I.; Allam-Ndoul, B.; Perusse, L.; Vohl, M.C.; Tchernof, A. Circulating glutamate level as a potential biomarker for abdominal obesity and metabolic risk. Nutr. Metab. Cardiovasc. Dis. NMCD 2019, 29, 1353–1360. [Google Scholar] [CrossRef] [PubMed]
- Maltais-Payette, I.; Vijay, J.; Simon, M.M.; Corbeil, J.; Brière, F.; Grundberg, E.; Tchernof, A. Large-scale analysis of circulating glutamate and adipose gene expression in relation to abdominal obesity. Amino Acids 2022, 54, 1287–1294. [Google Scholar] [CrossRef]
- Tremblay, K.; Rousseau, S.; Zawati, M.H.; Auld, D.; Chassé, M.; Coderre, D.; Falcone, E.L.; Gauthier, N.; Grandvaux, N.; Gros-Louis, F.; et al. The Biobanque québécoise de la COVID-19 (BQC19)-A cohort to prospectively study the clinical and biological determinants of COVID-19 clinical trajectories. PLoS ONE 2021, 16, e0245031. [Google Scholar] [CrossRef]
- INSPQ. Les Variants du SRAS-CoV-2. Available online: https://www.inspq.qc.ca/en/node/26927 (accessed on 28 September 2022).
- A minimal common outcome measure set for COVID-19 clinical research. Lancet. Infect. Dis. 2020, 20, e192–e197. [CrossRef] [PubMed]
- Ford, L.; Kennedy, A.D.; Goodman, K.D.; Pappan, K.L.; Evans, A.M.; Miller, L.A.D.; Wulff, J.E.; Wiggs, B.R.; Lennon, J.J.; Elsea, S.; et al. Precision of a Clinical Metabolomics Profiling Platform for Use in the Identification of Inborn Errors of Metabolism. J. Appl. Lab. Med. 2020, 5, 342–356. [Google Scholar] [CrossRef] [PubMed]
- Carter, J.V.; Pan, J.; Rai, S.N.; Galandiuk, S. ROC-ing along: Evaluation and interpretation of receiver operating characteristic curves. Surgery 2016, 159, 1638–1645. [Google Scholar] [CrossRef] [PubMed]
- Mahamat-Saleh, Y.; Fiolet, T.; Rebeaud, M.E.; Mulot, M.; Guihur, A.; El Fatouhi, D.; Laouali, N.; Peiffer-Smadja, N.; Aune, D.; Severi, G. Diabetes, hypertension, body mass index, smoking and COVID-19-related mortality: A systematic review and meta-analysis of observational studies. BMJ Open 2021, 11, e052777. [Google Scholar] [CrossRef]
- Yamakado, M.; Tanaka, T.; Nagao, K.; Ishizaka, Y.; Mitushima, T.; Tani, M.; Toda, A.; Toda, E.; Okada, M.; Miyano, H.; et al. Plasma amino acid profile is associated with visceral fat accumulation in obese Japanese subjects. Clin. Obes. 2012, 2, 29–40. [Google Scholar] [CrossRef]
- Lippi, G.; Plebani, M. Procalcitonin in patients with severe coronavirus disease 2019 (COVID-19): A meta-analysis. Clin. Chim. Acta 2020, 505, 190–191. [Google Scholar] [CrossRef] [PubMed]
- Zhou, F.; Yu, T.; Du, R.; Fan, G.; Liu, Y.; Liu, Z.; Xiang, J.; Wang, Y.; Song, B.; Gu, X.; et al. Clinical course and risk factors for mortality of adult inpatients with COVID-19 in Wuhan, China: A retrospective cohort study. Lancet 2020, 395, 1054–1062. [Google Scholar] [CrossRef] [PubMed]
- Terpos, E.; Ntanasis-Stathopoulos, I.; Elalamy, I.; Kastritis, E.; Sergentanis, T.N.; Politou, M.; Psaltopoulou, T.; Gerotziafas, G.; Dimopoulos, M.A. Hematological findings and complications of COVID-19. Am. J. Hematol. 2020, 95, 834–847. [Google Scholar] [CrossRef]



| Variables (Unit) | n= | Mild (n = 159) | Moderate (n = 353) | Severe (n = 224) | p-Value | ||
|---|---|---|---|---|---|---|---|
| Age (years) | 736 | 55.7 (44.2–67.2) | 67.3 (51.8–81.9) | # | 66.0 (54.8–73.6) | # | 2.4 × 10−10 |
| Sex (female) | 736 | 86 (54%)86 (54%) | 168 (48%) | 66 (29%) | #& | 1.0 × 10−6 | |
| BMI (kg/m2) | 372 | 28.1 (24.7–31.7) | 26.7 (23.6–30.4) | 28.7 (25.6–33.9) | & | 0.0183 | |
| Vaccinated (yes) | 321 | 91 (90%) | 104 (84%) | 83 (86%) | 0.3938 | ||
| Number of vaccine doses (%, 1/2/3 doses) | 277 | 23%/58%/19% | 41%/58%/1% | # | 37%/61%/1% | # | 1.5 × 10−6 |
| Outpatient (yes) | 736 | 80 (50%) | 3 (1%) | # | 1 (0%) | # | 1.2 × 10−66 |
| CRP (mg/L) * | 391 | 16.4 (1.9–56.2) | 42.3 (18.5–89.1) | # | 96.1 (45.4–173.2) | #& | 1.2 × 10−12 |
| ALT (U/L) | 391 | 25.5 (18.8–48.2) | 27.0 (17.0–51.0) | 35.5 (22.2–69.0) | & | 0.0061 | |
| Glucose (mmol/L) | 451 | 5.65 (5.23–6.57) | 5.90 (5.10–7.68) | 7.40 (6.10–9.90) | #& | 2.9 × 10−9 | |
| Creatinine (mmol/L) | 519 | 72.0 (60.0–87.5) | 74.0 (57.0–94.0) | 84.0 (63.5–125.0) | #& | 0.0011 | |
| Haemoglobin (g/L) | 508 | 137 (123–151) | 125 (112–137) | # | 120 (103–133) | #& | 1.6 × 10−7 |
| Urea (mmol/L) | 487 | 4.40 (3.00–5.50) | 5.80 (3.80–9.05) | # | 8.00 (5.47–14.72) | #& | 5.3 × 10−13 |
| Albumin (g/L) | 439 | 41.0 (39.0–44.0) | 34.0 (31.0–37.0) | # | 30.0 (27.0–34.0) | #& | 2.7 × 10−27 |
| Bilirubin (μmol/L) | 380 | 7.00 (5.00–9.00) | 7.00 (5.00–10.00) | 8.00 (6.00–11.00) | 0.0600 | ||
| WBC (×109/L) | 507 | 6.00 (4.60–7.32) | 6.50 (5.10–8.60) | 8.55 (6.15–11.72) | #& | 1.6 × 10−10 | |
| LDH (U/L) | 291 | 251 (212–324) | 303 (243–383) | # | 386 (343–585) | #& | 2.8 × 10−10 |
| Procalcitonin (ug/L) | 168 | 0.07 (0.05–0.10) | 0.11 (0.08–0.17) | # | 0.23 (0.16–0.67) | #& | 1.4 × 10−10 |
| D-Dimer (ug/L) | 160 | 637 (447–860) | 856 (543–1213) | # | 1280 (817–2181) | #& | 1.2 × 10−5 |
| Temperature (C) | 543 | 37.0 (36.8–37.5) | 37.0 (36.7–37.8) | 37.4 (36.7–38.5) | 0.0281 | ||
| SBP (mmHg) | 576 | 130 (119–147) | 128 (115–144) | 125 (110–138) | # | 0.0199 | |
| DBP (mmHg) | 576 | 81.0 (70.0–87.2) | 76.0 (67.0–84.0) | # | 72.0 (66.0–80.0) | #& | 2.7 × 10−5 |
| Heart rate (beats/min) | 582 | 97.0 (84.0–105.2) | 92.0 (78.0–107.0) | 96.5 (82.0–109.0) | 0.1000 | ||
| SaO2 (%) | 531 | 97.0 (95.0–99.0) | 95.0 (93.0–97.0) | # | 93.0 (89.0–95.0) | #& | 6.9 × 10−23 |
| Oxygen (yes) | 565 | 0 (0%) | 124 (39%) | # | 132 (71%) | #& | 1.6 × 10−24 |
| Amino Acid | Mild vs. Severe | Mild vs. Moderate | ||||
|---|---|---|---|---|---|---|
| OR | 95%CI | p-Value | OR | 95%CI | p-Value | |
| Phenylalanine | 4.14 | (2.79–6.13) | 1.5 × 10−12 | 1.68 | (1.33–2.11) | 1.0 × 10−5 |
| Methionine | 2.72 | (1.96–3.77) | 2.2 × 10−9 | 1.67 | (1.34–2.09) | 4.3 × 10−6 |
| Aspartate | 1.82 | (1.44–2.30) | 7.3 × 10−7 | 1.14 | (0.94–1.39) | 0.1745 |
| Isoleucine | 1.64 | (1.31–2.05) | 1.8 × 10−5 | 1.18 | (0.97–1.43) | 0.0997 |
| Leucine | 1.57 | (1.26–1.97) | 7.0 × 10−5 | 1.15 | (0.95–1.39) | 0.1508 |
| Glutamate | 1.51 | (1.19–1.90) | 0.0006 | 1.18 | (0.97–1.44) | 0.1055 |
| Asparagine | 1.37 | (1.09–1.71) | 0.0065 | 1.17 | (0.97–1.42) | 0.1039 |
| Valine | 1.35 | (1.09–1.67) | 0.0060 | 1.08 | (0.89–1.31) | 0.4255 |
| Threonine | 1.18 | (0.96–1.46) | 0.1184 | 1.19 | (0.98–1.46) | 0.0814 |
| Lysine | 1.17 | (0.95–1.44) | 0.1427 | 1.09 | (0.90–1.32) | 0.3638 |
| Tyrosine | 1.11 | (0.90–1.36) | 0.3288 | 0.92 | (0.76–1.11) | 0.3813 |
| Arginine | 0.96 | (0.78–1.17) | 0.6763 | 0.97 | (0.80–1.16) | 0.7171 |
| Proline | 0.75 | (0.61–0.93) | 0.0078 | 0.73 | (0.60–0.88) | 0.0010 |
| Glutamine | 0.68 | (0.55–0.85) | 0.0005 | 0.89 | (0.74–1.08) | 0.2427 |
| Serine | 0.68 | (0.55–0.84) | 0.0003 | 0.86 | (0.72–1.04) | 0.1237 |
| Glycine | 0.65 | (0.53–0.81) | 9.5 × 10−5 | 0.89 | (0.74–1.08) | 0.2362 |
| Alanine | 0.57 | (0.46–0.72) | 1.1 × 10−6 | 0.68 | (0.57–0.83) | 9.7 × 10−5 |
| Histidine | 0.45 | (0.35–0.57) | 1.7 × 10−10 | 0.50 | (0.40–0.62) | 9.1 × 10−11 |
| Tryptophan | 0.38 | (0.29–0.50) | 9.7 × 10−13 | 0.57 | (0.47–0.70) | 7.2 × 10−8 |
| Cysteine | 0.34 | (0.26–0.45) | 7.2 × 10−15 | 0.45 | (0.37–0.56) | 4.6 × 10−13 |
| Term | Estimate | Std. Error | Statistic | df | p Value |
|---|---|---|---|---|---|
| (Intercept) | 8.54 | 3.93 | 2.17 | 355.57 | 0.0306 |
| CRP | 0.01 | 0.00 | 3.58 | 201.67 | 0.0004 |
| Urea | 0.10 | 0.03 | 3.29 | 332.92 | 0.0011 |
| SaO2 | −0.10 | 0.04 | −2.73 | 339.54 | 0.0068 |
| SBP | −0.02 | 0.01 | −2.29 | 417.97 | 0.0228 |
| Phenylalanine | 2.41 | 0.62 | 3.89 | 410.55 | 0.0001 |
| Tryptophan | −1.91 | 0.77 | −2.48 | 401.59 | 0.0136 |
| Arginine | −1.68 | 0.59 | −2.86 | 450.63 | 0.0044 |
| Lysine | 2.83 | 0.94 | 3.00 | 437.35 | 0.0028 |
| Glutamate | −0.65 | 0.37 | −1.73 | 436.87 | 0.0845 |
| Serine | −1.59 | 0.93 | −1.71 | 441.13 | 0.0881 |
Disclaimer/Publisher’s Note: The statements, opinions and data contained in all publications are solely those of the individual author(s) and contributor(s) and not of MDPI and/or the editor(s). MDPI and/or the editor(s) disclaim responsibility for any injury to people or property resulting from any ideas, methods, instructions or products referred to in the content. |
© 2023 by the authors. Licensee MDPI, Basel, Switzerland. This article is an open access article distributed under the terms and conditions of the Creative Commons Attribution (CC BY) license (https://creativecommons.org/licenses/by/4.0/).
Share and Cite
Maltais-Payette, I.; Lajeunesse-Trempe, F.; Pibarot, P.; Biertho, L.; Tchernof, A. Association between Circulating Amino Acids and COVID-19 Severity. Metabolites 2023, 13, 201. https://doi.org/10.3390/metabo13020201
Maltais-Payette I, Lajeunesse-Trempe F, Pibarot P, Biertho L, Tchernof A. Association between Circulating Amino Acids and COVID-19 Severity. Metabolites. 2023; 13(2):201. https://doi.org/10.3390/metabo13020201
Chicago/Turabian StyleMaltais-Payette, Ina, Fannie Lajeunesse-Trempe, Philippe Pibarot, Laurent Biertho, and André Tchernof. 2023. "Association between Circulating Amino Acids and COVID-19 Severity" Metabolites 13, no. 2: 201. https://doi.org/10.3390/metabo13020201
APA StyleMaltais-Payette, I., Lajeunesse-Trempe, F., Pibarot, P., Biertho, L., & Tchernof, A. (2023). Association between Circulating Amino Acids and COVID-19 Severity. Metabolites, 13(2), 201. https://doi.org/10.3390/metabo13020201
