Correction: Nielson et al. Similarity Downselection: Finding the n Most Dissimilar Molecular Conformers for Reference-Free Metabolomics. Metabolites 2023, 13, 105
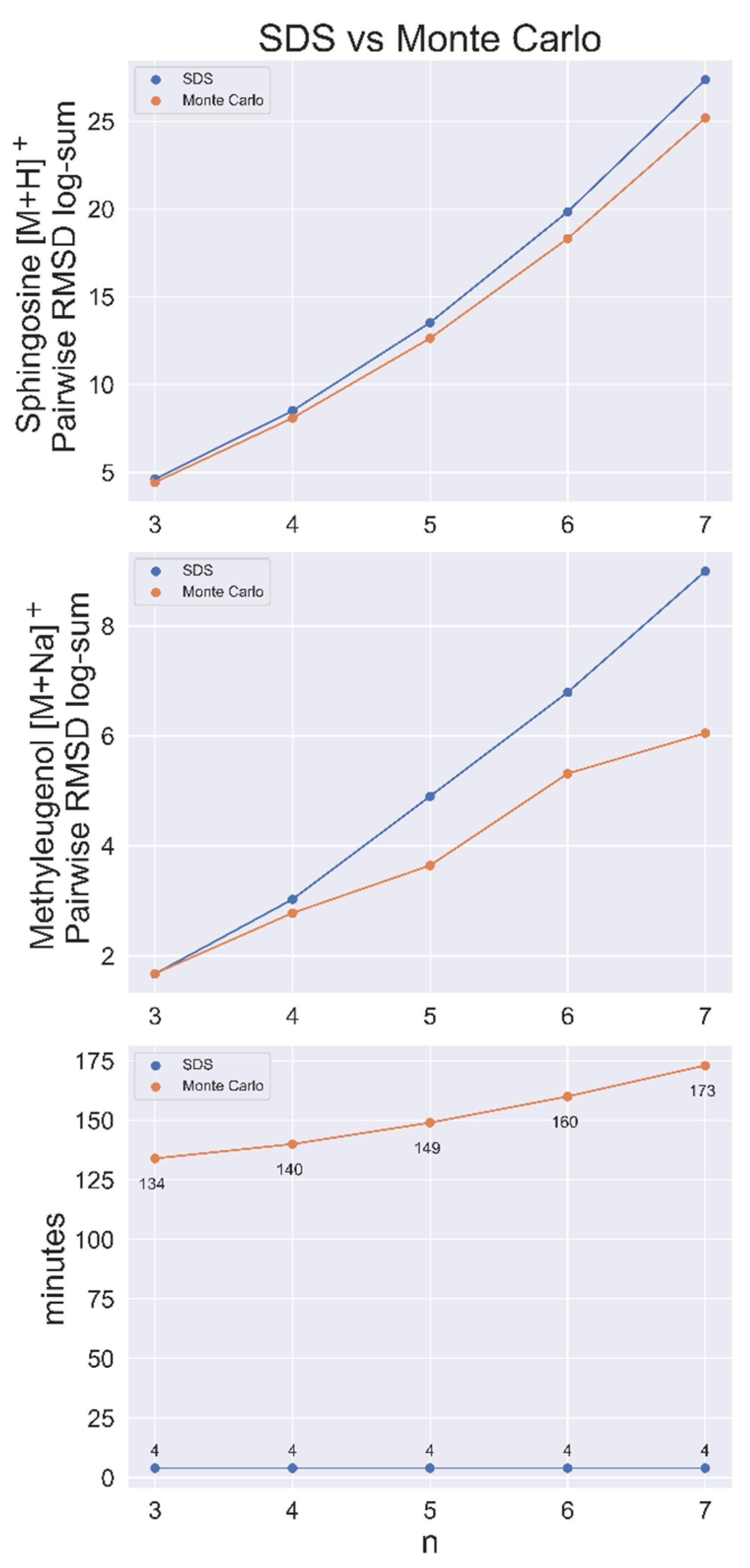
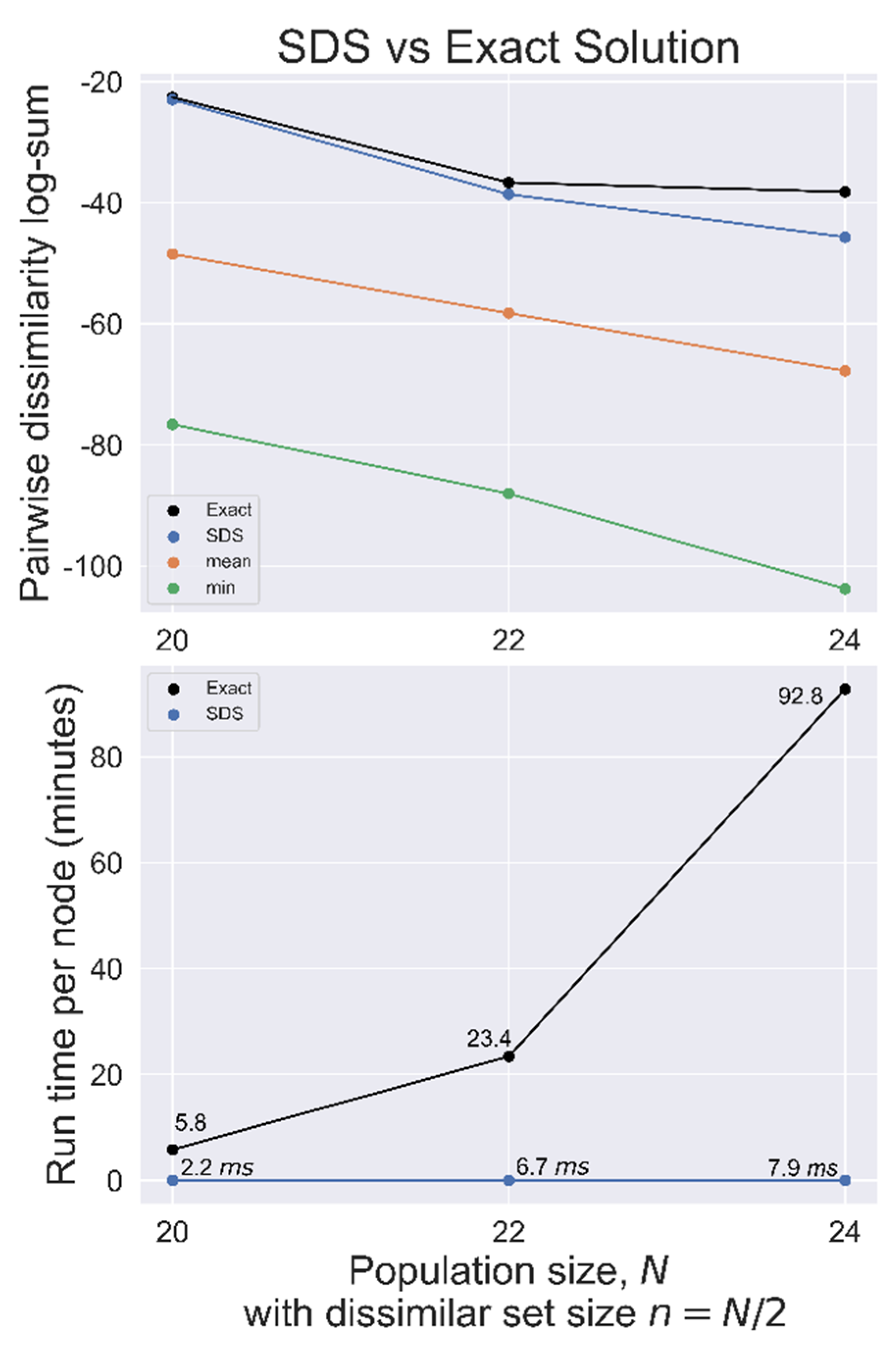
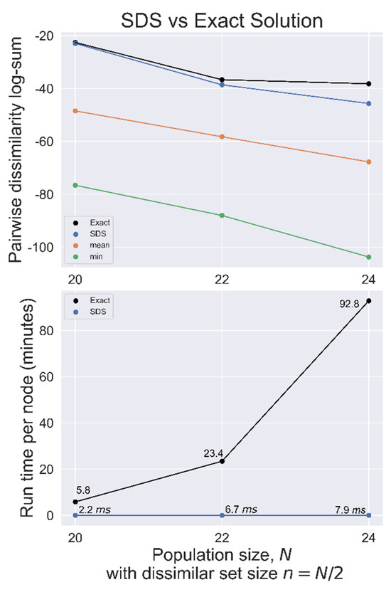
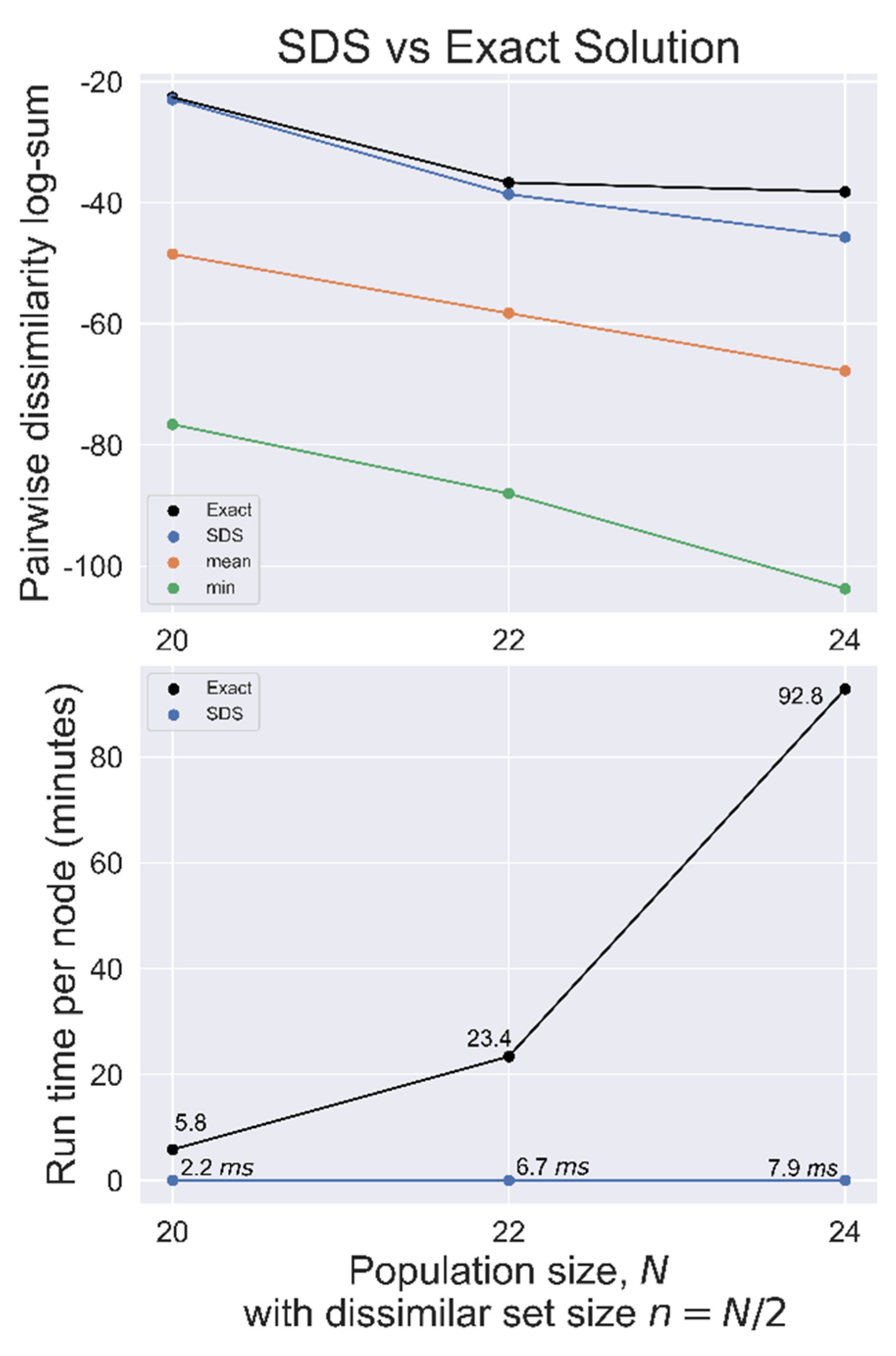
1. Error in Figure
2. Text Correction
- Section 4.1, First Paragraph and Second Paragraph:
- 2.
- Section 4.2, First Paragraph:
Reference
- Nielson, F.F.; Kay, B.; Young, S.J.; Colby, S.M.; Renslow, R.S.; Metz, T.O. Similarity Downselection: Finding the n Most Dissimilar Molecular Conformers for Reference-Free Metabolomics. Metabolites 2023, 13, 105. [Google Scholar] [CrossRef] [PubMed]


Disclaimer/Publisher’s Note: The statements, opinions and data contained in all publications are solely those of the individual author(s) and contributor(s) and not of MDPI and/or the editor(s). MDPI and/or the editor(s) disclaim responsibility for any injury to people or property resulting from any ideas, methods, instructions or products referred to in the content. |
© 2023 by the authors. Licensee MDPI, Basel, Switzerland. This article is an open access article distributed under the terms and conditions of the Creative Commons Attribution (CC BY) license (https://creativecommons.org/licenses/by/4.0/).
Share and Cite
Nielson, F.F.; Kay, B.; Young, S.J.; Colby, S.M.; Renslow, R.S.; Metz, T.O. Correction: Nielson et al. Similarity Downselection: Finding the n Most Dissimilar Molecular Conformers for Reference-Free Metabolomics. Metabolites 2023, 13, 105. Metabolites 2023, 13, 1158. https://doi.org/10.3390/metabo13111158
Nielson FF, Kay B, Young SJ, Colby SM, Renslow RS, Metz TO. Correction: Nielson et al. Similarity Downselection: Finding the n Most Dissimilar Molecular Conformers for Reference-Free Metabolomics. Metabolites 2023, 13, 105. Metabolites. 2023; 13(11):1158. https://doi.org/10.3390/metabo13111158
Chicago/Turabian StyleNielson, Felicity F., Bill Kay, Stephen J. Young, Sean M. Colby, Ryan S. Renslow, and Thomas O. Metz. 2023. "Correction: Nielson et al. Similarity Downselection: Finding the n Most Dissimilar Molecular Conformers for Reference-Free Metabolomics. Metabolites 2023, 13, 105" Metabolites 13, no. 11: 1158. https://doi.org/10.3390/metabo13111158
APA StyleNielson, F. F., Kay, B., Young, S. J., Colby, S. M., Renslow, R. S., & Metz, T. O. (2023). Correction: Nielson et al. Similarity Downselection: Finding the n Most Dissimilar Molecular Conformers for Reference-Free Metabolomics. Metabolites 2023, 13, 105. Metabolites, 13(11), 1158. https://doi.org/10.3390/metabo13111158

