Dietary Isoleucine and Valine: Effects on Lipid Metabolism and Ureagenesis in Pigs Fed with Protein Restricted Diets
Abstract
1. Introduction
2. Materials and Methods
2.1. Animals and Housing
2.2. Diets and Experimental Design
2.3. Growth Performance Traits
2.4. Thermal Imaging
2.5. Feed, Blood and Tissue Samples Collection
2.6. Thermal Radiation Analysis
2.7. Diets Composition Analysis
2.8. Plasma Metabolites and Urea Analysis
2.9. Reverse Transcription, and Quantitative PCR (RT-qPCR)
2.10. Immunoblot Analysis
2.11. Statistical Analysis
3. Results
3.1. Growth Measurements
3.2. Thermal Radiation
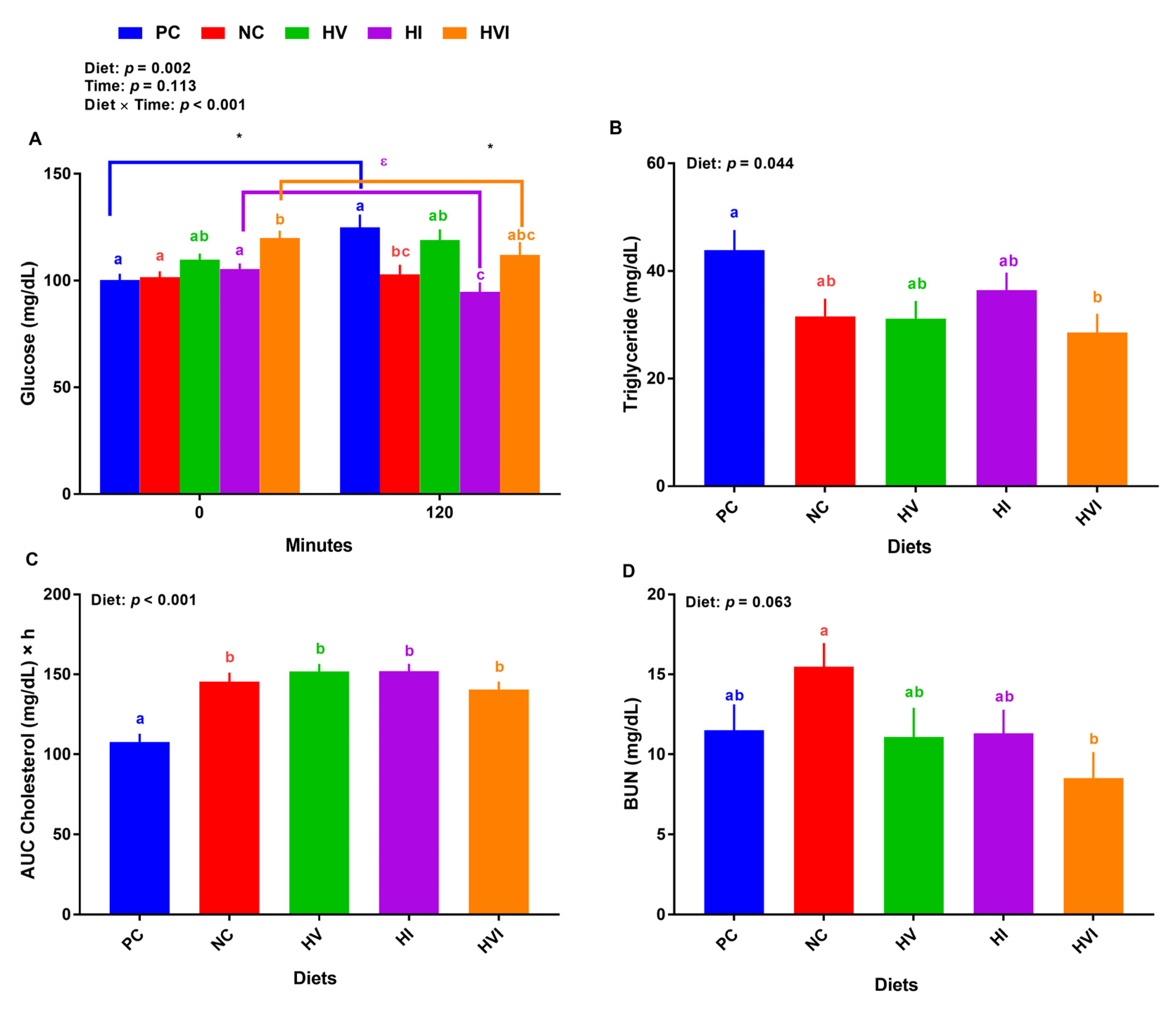
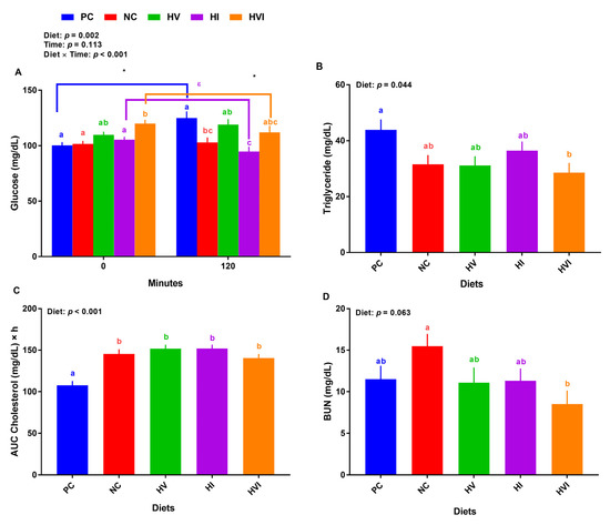
3.3. Plasma Glucose, Triglycerides, Cholesterol, and BUN
3.4. The mRNA Abundance of Key Regulatory Genes of Lipid Metabolism in Liver and Subcutaneous Adipose Tissue
3.5. The Protein Abundance of Key Regulatory Enzymes of Urea Cycl in the Liver and Kidney
4. Discussion
5. Conclusions
Supplementary Materials
Author Contributions
Funding
Institutional Review Board Statement
Informed Consent Statement
Data Availability Statement
Acknowledgments
Conflicts of Interest
References
- Webb, J.; Broomfield, M.; Jones, S.; Donovan, B. Ammonia and odour emissions from UK pig farms and nitrogen leaching from outdoor pig production. A review. Sci. Total Environ. 2014, 470, 865–875. [Google Scholar] [CrossRef] [PubMed]
- Deng, D.; Huang, R.; Li, T.; Wu, G.; Xie, M.; Tang, Z.; Kang, P.; Zhang, Y.; Fan, M.; Kong, X. Nitrogen balance in barrows fed low-protein diets supplemented with essential amino acids. Livest. Sci. 2007, 109, 220–223. [Google Scholar] [CrossRef]
- He, L.; Wu, L.; Xu, Z.; Li, T.; Yao, K.; Cui, Z.; Yin, Y.; Wu, G. Low-protein diets affect ileal amino acid digestibility and gene expression of digestive enzymes in growing and finishing pigs. Amino Acids 2016, 48, 21–30. [Google Scholar] [CrossRef] [PubMed]
- Portejoie, S.; Dourmad, J.-Y.; Martinez, J.; Lebreton, Y. Effect of lowering dietary crude protein on nitrogen excretion, manure composition and ammonia emission from fattening pigs. Livest. Prod. Sci. 2004, 91, 45–55. [Google Scholar] [CrossRef]
- Nyachoti, C.; Omogbenigun, F.; Rademacher, M.; Blank, G. Performance responses and indicators of gastrointestinal health in early-weaned pigs fed low-protein amino acid-supplemented diets. J. Anim. Sci. 2006, 84, 125–134. [Google Scholar] [CrossRef]
- Wu, L.; Liao, P.; He, Q.; Tan, B.; Guo, F.; Tang, M.; Li, T. Chronic feeding with protein-restricted diets affect ileal amino acid digestibility and the expression of nutrient-sensing, hormone secretion, gastrointestinal digestive enzyme, and nutrient transporter genes in young weaned pigs. Oncotarget 2018, 5. Available online: https://www.oncotarget.com/article/24093/text/ (accessed on 22 September 2022). [CrossRef][Green Version]
- Spring, S.; Premathilake, H.; DeSilva, U.; Shili, C.; Carter, S.; Pezeshki, A. Low protein-high carbohydrate diets alter energy balance, gut microbiota composition and blood metabolomics profile in young pigs. Sci. Rep. 2020, 10, 1–15. [Google Scholar] [CrossRef]
- Luo, Z.; Li, C.; Cheng, Y.; Hang, S.; Zhu, W. Effects of low dietary protein on the metabolites and microbial communities in the caecal digesta of piglets. Arch. Anim. Nutr. 2015, 69, 212–226. [Google Scholar] [CrossRef]
- Spring, S.; Premathilake, H.; Bradway, C.; Shili, C.; DeSilva, U.; Carter, S.; Pezeshki, A. Effect of very low-protein diets supplemented with branched-chain amino acids on energy balance, plasma metabolomics and fecal microbiome of pigs. Sci. Rep. 2020, 10, 1–16. [Google Scholar] [CrossRef]
- Habibi, M.; Shili, C.N.; Sutton, J.; Goodarzi, P.; Pezeshki, A. Dietary branched-chain amino acids modulate the dynamics of calcium absorption and reabsorption in protein-restricted pigs. J. Anim. Sci. Biotechnol. 2022, 13, 1–16. [Google Scholar] [CrossRef]
- Habibi, M.; Goodarzi, P.; Shili, C.N.; Sutton, J.; Wileman, C.M.; Kim, D.M.; Lin, D.; Pezeshki, A. A Mixture of Valine and Isoleucine Restores the Growth of Protein-Restricted Pigs Likely through Improved Gut Development, Hepatic IGF-1 Pathway, and Plasma Metabolomic Profile. Int. J. Mol. Sci. 2022, 23, 3300. [Google Scholar] [CrossRef]
- Kwon, W.B.; Soto, J.A.; Stein, H.H. Effects on nitrogen balance and metabolism of branched-chain amino acids by growing pigs of supplementing isoleucine and valine to diets with adequate or excess concentrations of dietary leucine. J. Anim. Sci. 2020, 98, skaa346. [Google Scholar] [CrossRef]
- Liu, X.; Ma, W.; Zeng, X.; Xie, C.; Thacker, P.; Htoo, J.; Qiao, S. Estimation of the standardized ileal digestible valine to lysine ratio required for 25-to 120-kilogram pigs fed low crude protein diets supplemented with crystalline amino acids. J. Anim. Sci. 2015, 93, 4761–4773. [Google Scholar] [CrossRef]
- Zhang, X.; Liu, X.; Jia, H.; He, P.; Mao, X.; Qiao, S.; Zeng, X. Valine supplementation in a reduced protein diet regulates growth performance partially through modulation of plasma amino acids profile, metabolic responses, endocrine, and neural factors in piglets. J. Agric. Food Chem. 2018, 66, 3161–3168. [Google Scholar] [CrossRef]
- Parr, T.; Kerr, B.; Baker, D. Isoleucine requirement of growing (25 to 45 kg) pigs. J. Anim. Sci. 2003, 81, 745–752. [Google Scholar] [CrossRef]
- Lordelo, M.; Gaspar, A.; Le Bellego, L.; Freire, J. Isoleucine and valine supplementation of a low-protein corn-wheat-soybean meal-based diet for piglets: Growth performance and nitrogen balance. J. Anim. Sci. 2008, 86, 2936–2941. [Google Scholar] [CrossRef]
- Figueroa, J.; Lewis, A.; Miller, P.; Fischer, R.; Gómez, R.; Diedrichsen, R. Nitrogen metabolism and growth performance of gilts fed standard corn-soybean meal diets or low-crude protein, amino acid-supplemented diets. J. Anim. Sci. 2002, 80, 2911–2919. [Google Scholar] [CrossRef]
- Ren, M.; Zhang, S.; Zeng, X.; Liu, H.; Qiao, S. Branched-chain amino acids are beneficial to maintain growth performance and intestinal immune-related function in weaned piglets fed protein restricted diet. Asian-Australas. J. Anim. Sci. 2015, 28, 1742. [Google Scholar] [CrossRef]
- Ma, W.; Mao, P.; Fan, W.; Zhu, Y.; Guo, L. Valine and isoleucine supplementation improve performance and serum biochemical concentrations in growing gilts fed low-protein diets. Can. J. Anim. Sci. 2019, 99, 921–928. [Google Scholar] [CrossRef]
- Echenique, M.; Bistrian, B.; Moldawer, L.; Palombo, J.; Miller, M.; Blackburn, G. Improvement in amino acid use in the critically ill patient with parenteral formulas enriched with branched chain amino acids. Surg. Gynecol. Obstet. 1984, 159, 233–241. [Google Scholar]
- Wang, X.-Y.; Li, N.; Gu, J.; Li, W.-Q.; Li, J.-S. The effects of the formula of amino acids enriched BCAA on nutritional support in traumatic patients. World J. Gastroenterol. 2003, 9, 599. [Google Scholar] [CrossRef] [PubMed]
- Tamanna, N.; Mahmood, N. Emerging roles of branched-chain amino acid supplementation in human diseases. Int. Sch. Res. Not. 2014, 2014, 235619. [Google Scholar] [CrossRef] [PubMed][Green Version]
- Liu, K.; Liu, Y.; Liu, S.; Xu, M.; Yu, Z.; Wang, X.; Cao, Y.; Yao, J. Relationships between leucine and the pancreatic exocrine function for improving starch digestibility in ruminants. J. Dairy Sci. 2015, 98, 2576–2582. [Google Scholar] [CrossRef] [PubMed]
- Zhao, J.; Liu, Y.; Jiang, J.; Wu, P.; Chen, G.; Jiang, W.; Li, S.; Tang, L.; Kuang, S.; Feng, L. Effects of dietary isoleucine on growth, the digestion and absorption capacity and gene expression in hepatopancreas and intestine of juvenile Jian carp (Cyprinus carpio var. Jian). Aquaculture 2012, 368, 117–128. [Google Scholar] [CrossRef]
- Dong, M.; Feng, L.; Kuang, S.Y.; Liu, Y.; Jiang, J.; Hu, K.; Jiang, W.D.; Li, S.H.; Tang, L.; Zhou, X.Q. Growth, body composition, intestinal enzyme activities and microflora of juvenile Jian carp (Cyprinus carpio var. Jian) fed graded levels of dietary valine. Aquac. Nutr. 2013, 19, 1–14. [Google Scholar] [CrossRef]
- Guo, L.; Yao, J.; Zheng, C.; Tian, H.; Liu, Y.; Liu, S.; Cai, C.; Xu, X.; Cao, Y. Leucine regulates α-amylase and trypsin synthesis in dairy calf pancreatic tissue in vitro via the mammalian target of rapamycin signalling pathway. Animal 2019, 13, 1899–1906. [Google Scholar] [CrossRef]
- Zhang, S.; Qiao, S.; Ren, M.; Zeng, X.; Ma, X.; Wu, Z.; Thacker, P.; Wu, G. Supplementation with branched-chain amino acids to a low-protein diet regulates intestinal expression of amino acid and peptide transporters in weanling pigs. Amino Acids 2013, 45, 1191–1205. [Google Scholar] [CrossRef]
- Sun, Y.; Wu, Z.; Li, W.; Zhang, C.; Sun, K.; Ji, Y.; Wang, B.; Jiao, N.; He, B.; Wang, W. Dietary L-leucine supplementation enhances intestinal development in suckling piglets. Amino Acids 2015, 47, 1517–1525. [Google Scholar] [CrossRef]
- Zhou, H.; Yu, B.; Gao, J.; Htoo, J.K.; Chen, D. Regulation of intestinal health by branched-chain amino acids. Anim. Sci. J. 2018, 89, 3–11. [Google Scholar] [CrossRef]
- Sciacovelli, M.; Dugourd, A.; Jimenez, L.V.; Yang, M.; Nikitopoulou, E.; Costa, A.S.; Tronci, L.; Caraffini, V.; Rodrigues, P.; Schmidt, C. Nitrogen partitioning between branched-chain amino acids and urea cycle enzymes sustains renal cancer progression. bioRxiv 2021. [Google Scholar] [CrossRef]
- Gumus Balikcioglu, P.; Ramaker, M.E.; Mason, K.A.; Huffman, K.M.; Johnson, J.L.; Ilkayeva, O.; Muehlbauer, M.J.; Freemark, M.; Kraus, W.E. Branched-Chain Amino Acid Catabolism and Cardiopulmonary Function Following Acute Maximal Exercise Testing in Adolescents. Front. Cardiovasc. Med. 2021, 8, 721354. [Google Scholar] [CrossRef]
- Wu, G. Amino acids: Metabolism, functions, and nutrition. Amino Acids 2009, 37, 1–17. [Google Scholar] [CrossRef]
- Habibi, M.; Shili, C.; Sutton, J.; Goodarzi, P.; Maylem, E.R.; Spicer, L.; Pezeshki, A. Branched-chain amino acids partially recover the reduced growth of pigs fed with protein-restricted diets through both central and peripheral factors. Anim. Nutr. 2021, 7, 868–882. [Google Scholar] [CrossRef]
- Arakawa, M.; Masaki, T.; Nishimura, J.; Seike, M.; Yoshimatsu, H. The effects of branched-chain amino acid granules on the accumulation of tissue triglycerides and uncoupling proteins in diet-induced obese mice. Endocr. J. 2011, 58, 161–170. [Google Scholar] [CrossRef]
- Nishimura, J.; Masaki, T.; Arakawa, M.; Seike, M.; Yoshimatsu, H. Isoleucine prevents the accumulation of tissue triglycerides and upregulates the expression of PPARα and uncoupling protein in diet-induced obese mice. J. Nutr. 2010, 140, 496–500. [Google Scholar] [CrossRef]
- Ma, Q.; Zhou, X.; Hu, L.; Chen, J.; Zhu, J.; Shan, A. Leucine and isoleucine have similar effects on reducing lipid accumulation, improving insulin sensitivity and increasing the browning of WAT in high-fat diet-induced obese mice. Food Funct. 2020, 11, 2279–2290. [Google Scholar] [CrossRef]
- Zhang, F.; Zhao, S.; Yan, W.; Xia, Y.; Chen, X.; Wang, W.; Zhang, J.; Gao, C.; Peng, C.; Yan, F. Branched chain amino acids cause liver injury in obese/diabetic mice by promoting adipocyte lipolysis and inhibiting hepatic autophagy. EBioMedicine 2016, 13, 157–167. [Google Scholar] [CrossRef]
- Ma, Q.; Hu, L.; Zhu, J.; Chen, J.; Wang, Z.; Yue, Z.; Qiu, M.; Shan, A. Valine supplementation does not reduce lipid accumulation and improve insulin sensitivity in mice fed high-fat diet. ACS Omega 2020, 5, 30937–30945. [Google Scholar] [CrossRef]
- Zhang, H.; Xiang, L.; Huo, M.; Wu, Y.; Yu, M.; Lau, C.W.; Tian, D.; Gou, L.; Huang, Y.; Luo, J.Y. Branched-chain amino acid supplementation impairs insulin sensitivity and promotes lipogenesis during exercise in diet-induced obese mice. Obesity 2022, 30, 1205–1218. [Google Scholar] [CrossRef]
- Guo, F.; Cavener, D.R. The GCN2 eIF2α kinase regulates fatty-acid homeostasis in the liver during deprivation of an essential amino acid. Cell Metab. 2007, 5, 103–114. [Google Scholar] [CrossRef]
- Cheng, Y.; Meng, Q.; Wang, C.; Li, H.; Huang, Z.; Chen, S.; Xiao, F.; Guo, F. Leucine deprivation decreases fat mass by stimulation of lipolysis in white adipose tissue and upregulation of uncoupling protein 1 (UCP1) in brown adipose tissue. Diabetes 2010, 59, 17–25. [Google Scholar] [CrossRef] [PubMed]
- Du, Y.; Meng, Q.; Zhang, Q.; Guo, F. Isoleucine or valine deprivation stimulates fat loss via increasing energy expenditure and regulating lipid metabolism in WAT. Amino Acids 2012, 43, 725–734. [Google Scholar] [CrossRef] [PubMed]
- Bai, J.; Greene, E.; Li, W.; Kidd, M.T.; Dridi, S. Branched-chain amino acids modulate the expression of hepatic fatty acid metabolism-related genes in female broiler chickens. Mol. Nutr. Food Res. 2015, 59, 1171–1181. [Google Scholar] [CrossRef] [PubMed]
- McGarrah, R.W.; Zhang, G.-F.; Christopher, B.A.; Deleye, Y.; Walejko, J.M.; Page, S.; Ilkayeva, O.; White, P.J.; Newgard, C.B. Dietary branched-chain amino acid restriction alters fuel selection and reduces triglyceride stores in hearts of Zucker fatty rats. Am. J. Physiol. Endocrinol. Metab. 2020, 318, E216–E223. [Google Scholar] [CrossRef] [PubMed]
- Miller, E.; Ullrey, D. The pig as a model for human nutrition. Annu. Rev. Nutr. 1987, 7, 361–382. [Google Scholar] [CrossRef]
- Baker, D.H. Animal models in nutrition research. J. Nutr. 2008, 138, 391–396. [Google Scholar] [CrossRef]
- Ball, R.O.; Urschel, K.L.; Pencharz, P.B. Nutritional consequences of interspecies differences in arginine and lysine metabolism. J. Nutr. 2007, 137, 1626S–1641S. [Google Scholar] [CrossRef]
- Riedijk, M.A.; Stoll, B.; Chacko, S.; Schierbeek, H.; Sunehag, A.L.; van Goudoever, J.B.; Burrin, D.G. Methionine transmethylation and transsulfuration in the piglet gastrointestinal tract. Proc. Natl. Acad. Sci. USA 2007, 104, 3408–3413. [Google Scholar] [CrossRef]
- Bellinger, D.A.; Merricks, E.P.; Nichols, T.C. Swine models of type 2 diabetes mellitus: Insulin resistance, glucose tolerance, and cardiovascular complications. ILAR J. 2006, 47, 243–258. [Google Scholar] [CrossRef]
- Harwood, H.J., Jr.; Listrani, P.; Wagner, J.D. Nonhuman primates and other animal models in diabetes research. J. Diabetes 2012, 6, 503–514. [Google Scholar] [CrossRef]
- Wiltafsky, M.K.; Pfaffl, M.W.; Roth, F.X. The effects of branched-chain amino acid interactions on growth performance, blood metabolites, enzyme kinetics and transcriptomics in weaned pigs. Br. J. Nutr. 2010, 103, 964–976. [Google Scholar] [CrossRef]
- Edmonds, M.; Baker, D. Amino acid excesses for young pigs: Effects of excess methionine, tryptophan, threonine or leucine. J. Anim. Sci. 1987, 64, 1664–1671. [Google Scholar] [CrossRef]
- Goodarzi, P.; Wileman, C.M.; Habibi, M.; Walsh, K.; Sutton, J.; Shili, C.N.; Chai, J.; Zhao, J.; Pezeshki, A. Effect of isoleucine and added valine on performance, nutrients digestibility and gut microbiota composition of pigs fed with very low protein diets. Int. J. Mol. Sci. 2022, 23, 14886. [Google Scholar] [CrossRef]
- NRC. Nutrient Requirements of Swine: Eleventh Revised Edition; The National Academies Press: Washington, DC, USA, 2012. [Google Scholar]
- Nørgaard, J.; Fernández, J. Isoleucine and valine supplementation of crude protein-reduced diets for pigs aged 5–8 weeks. Anim. Feed Sci. Technol. 2009, 154, 248–253. [Google Scholar] [CrossRef]
- Goodarzi, P.; Habibi, M.; Roberts, K.; Sutton, J.; Shili, C.N.; Lin, D.; Pezeshki, A. Dietary tryptophan supplementation alters fat and glucose metabolism in a low-birthweight piglet model. Nutrients 2021, 13, 2561. [Google Scholar] [CrossRef]
- Shili, C.N.; Broomhead, J.N.; Spring, S.C.; Lanahan, M.B.; Pezeshki, A. A novel corn-expressed phytase improves daily weight gain, protein efficiency ratio and nutrients digestibility and alters fecal microbiota in pigs fed with very low protein diets. Animals 2020, 10, 1926. [Google Scholar] [CrossRef]
- Pezeshki, A.; Muench, G.; Chelikani, P. Expression of peptide YY, proglucagon, neuropeptide Y receptor Y2, and glucagon-like peptide-1 receptor in bovine peripheral tissues. J. Dairy Sci. 2012, 95, 5089–5094. [Google Scholar] [CrossRef]
- Shili, C.N.; Habibi, M.; Sutton, J.; Barnes, J.; Burch-Konda, J.; Pezeshki, A. Effect of a phytogenic water additive on growth performance, blood metabolites and gene expression of amino acid transporters in nursery pigs fed with low-protein/high-carbohydrate diets. Animals 2021, 11, 555. [Google Scholar] [CrossRef]
- Zhou, X.; Wan, D.; Zhang, Y.; Zhang, Y.; Long, C.; Chen, S.; He, L.; Tan, B.; Wu, X.; Yin, Y. Diurnal variations in polyunsaturated fatty acid contents and expression of genes involved in their de novo synthesis in pigs. Biochem. Biophys. Res. Commun. 2017, 483, 430–434. [Google Scholar] [CrossRef]
- Espinosa, C.D.; Fry, R.S.; Kocher, M.E.; Stein, H.H. Effects of copper hydroxychloride on growth performance and abundance of genes involved in lipid metabolism of growing pigs. J. Anim. Sci. 2020, 98, skz369. [Google Scholar] [CrossRef]
- Chen, G.; Zhang, J.; Zhang, Y.; Liao, P.; Li, T.; Chen, L.; Yin, Y.; Wang, J.; Wu, G. Oral MSG administration alters hepatic expression of genes for lipid and nitrogen metabolism in suckling piglets. Amino Acids 2014, 46, 245–250. [Google Scholar] [CrossRef] [PubMed]
- Yin, J.; Liu, M.; Ren, W.; Duan, J.; Yang, G.; Zhao, Y.; Fang, R.; Chen, L.; Li, T.; Yin, Y. Effects of dietary supplementation with glutamate and aspartate on diquat-induced oxidative stress in piglets. PLoS ONE 2015, 10, e0122893. [Google Scholar] [CrossRef] [PubMed]
- Zuo, F.; Gu, Q.; Li, S.; Wei, H.; Peng, J. Effects of different methionine sources on methionine metabolism in the IPEC-J2 cells. Biomed Res. Int. 2019, 1–11. [Google Scholar] [CrossRef] [PubMed]
- Duran-Montgé, P.; Theil, P.; Lauridsen, C.; Esteve-Garcia, E. Dietary fat source affects metabolism of fatty acids in pigs as evaluated by altered expression of lipogenic genes in liver and adipose tissues. Animal 2009, 3, 535–542. [Google Scholar] [CrossRef] [PubMed]
- Kang, P.; Liu, Y.; Zhu, H.; Zhang, J.; Shi, H.; Li, S.; Pi, D.; Leng, W.; Wang, X.; Wu, H. The effect of dietary asparagine supplementation on energy metabolism in liver of weaning pigs when challenged with lipopolysaccharide. Asian-Australas. J. Anim. Sci. 2018, 31, 548. [Google Scholar] [CrossRef]
- Pezeshki, A.; Chelikani, P.K. Effects of Roux-en-Y gastric bypass and ileal transposition surgeries on glucose and lipid metabolism in skeletal muscle and liver. Surg. Obes. Relat. Dis. 2014, 10, 217–228. [Google Scholar] [CrossRef]
- Chiou, W.L. Critical evaluation of the potential error in pharmacokinetic studies of using the linear trapezoidal rule method for the calculation of the area under the plasma level-time curve. J. Pharmacokinet. Pharmacodyn. 1978, 6, 539–546. [Google Scholar] [CrossRef]
- Figueroa, J.; Lewis, A.; Miller, P.; Fischer, R.; Diedrichsen, R. Growth, carcass traits, and plasma amino acid concentrations of gilts fed low-protein diets supplemented with amino acids including histidine, isoleucine, and valine. J. Anim. Sci. 2003, 81, 1529–1537. [Google Scholar] [CrossRef]
- Russell, L.E.; Kerr, B.J.; Easter, R.A. Limiting amino acids in an 11% crude protein corn-soybean meal diet for growing pigs. J. Anim. Sci. 1987, 65, 1266–1272. [Google Scholar] [CrossRef]
- Zheng, L.; Wei, H.; Cheng, C.; Xiang, Q.; Pang, J.; Peng, J. Supplementation of branched-chain amino acids to a reduced-protein diet improves growth performance in piglets: Involvement of increased feed intake and direct muscle growth-promoting effect. Br. J. Nutr. 2016, 115, 2236–2245. [Google Scholar] [CrossRef]
- Tian, M.; Heng, J.; Song, H.; Shi, K.; Lin, X.; Chen, F.; Guan, W.; Zhang, S. Dietary branched-chain amino acids regulate food intake partly through intestinal and hypothalamic amino acid receptors in piglets. J. Agric. Food Chem. 2019, 67, 6809–6818. [Google Scholar] [CrossRef]
- Salmon, W.D. The significance of amino acid imbalance in nutrition. Am. J. Clin. Nutr. 1958, 6, 487–494. [Google Scholar] [CrossRef]
- Xiao, F.; Guo, F. Impacts of essential amino acids on energy balance. Mol. Metab. 2022, 57, 101393. [Google Scholar] [CrossRef]
- Arrieta-Cruz, I.; Su, Y.; Gutiérrez-Juárez, R. Suppression of endogenous glucose production by isoleucine and valine and impact of diet composition. Nutrients 2016, 8, 79. [Google Scholar] [CrossRef]
- Elovaris, R.A.; Bitarafan, V.; Agah, S.; Ullrich, S.S.; Lange, K.; Horowitz, M.; Feinle-Bisset, C. Comparative Effects of the Branched-Chain Amino Acids, Leucine, Isoleucine and Valine, on Gastric Emptying, Plasma Glucose, C-Peptide and Glucagon in Healthy Men. Nutrients 2021, 13, 1613. [Google Scholar] [CrossRef]
- Ullrich, S.S.; Fitzgerald, P.C.; Schober, G.; Steinert, R.E.; Horowitz, M.; Feinle-Bisset, C. Intragastric administration of leucine or isoleucine lowers the blood glucose response to a mixed-nutrient drink by different mechanisms in healthy, lean volunteers. Am. J. Clin. Nutr. 2016, 104, 1274–1284. [Google Scholar] [CrossRef]
- Nishitani, S.; Takehana, K.; Fujitani, S.; Onaka, I. Branched-chain amino acids improve glucose metabolism in rats with liver cirrhosis. Am. J. Physiol. Gastrointest. Liver Physiol. 2005, 288, G1292–G1300. [Google Scholar] [CrossRef]
- Doi, M.; Yamaoka, I.; Fukunaga, T.; Nakayama, M. Isoleucine, a potent plasma glucose-lowering amino acid, stimulates glucose uptake in C2C12 myotubes. Biochem. Biophys. Res. Commun. 2003, 312, 1111–1117. [Google Scholar] [CrossRef]
- Doi, M.; Yamaoka, I.; Nakayama, M.; Sugahara, K.; Yoshizawa, F. Hypoglycemic effect of isoleucine involves increased muscle glucose uptake and whole body glucose oxidation and decreased hepatic gluconeogenesis. Am. J. Physiol. Endocrinol. Metab. 2007, 292, E1683–E1693. [Google Scholar] [CrossRef]
- Nuttall, F.Q.; Schweim, K.; Gannon, M.C. Effect of orally administered isoleucine with and without glucose on insulin, glucagon and glucose concentrations in non-diabetic subjects. E Spen Eur. E J. Clin. Nutr. Metab. 2008, 3, e152–e158. [Google Scholar] [CrossRef]
- Floyd, J.; Fajans, S.S.; Conn, J.W.; Knopf, R.F.; Rull, J. Stimulation of insulin secretion by amino acids. J. Clin. Investig. 1966, 45, 1487–1502. [Google Scholar] [CrossRef] [PubMed]
- Wang, H.; Wang, X.; Zhao, J.; Jiao, H.; Lin, H. Low protein diet supplemented with crystalline amino acids suppressing appetite and apo-lipoprotein synthesis in laying hens. Anim. Feed Sci. Technol. 2020, 266, 114533. [Google Scholar] [CrossRef]
- Garcia-Caraballo, S.C.; Comhair, T.M.; Verheyen, F.; Gaemers, I.; Schaap, F.G.; Houten, S.M.; Hakvoort, T.B.; Dejong, C.H.; Lamers, W.H.; Koehler, S.E. Prevention and reversal of hepatic steatosis with a high-protein diet in mice. Biochim. Biophys. Acta -Mol. Basis Dis. 2013, 1832, 685–695. [Google Scholar] [CrossRef] [PubMed]
- Yu, D.; Zhu, W.; Hang, S. Effects of low-protein diet on the intestinal morphology, digestive enzyme activity, blood urea nitrogen, and gut microbiota and metabolites in weaned pigs. Arch. Anim. Nutr. 2019, 73, 287–305. [Google Scholar] [CrossRef]
- Bong, H.Y.; Kim, J.Y.; Jeong, H.I.; Moon, M.S.; Kim, J.; Kwon, O. Effects of corn gluten hydrolyzates, branched chain amino acids, and leucine on body weight reduction in obese rats induced by a high fat diet. Nutr. Res. Pr. 2010, 4, 106–113. [Google Scholar] [CrossRef]
- Lin, X.; Li, L.; Gou, Z.; Fan, Q.; Wang, Y.; Jiang, S. Reproductive performance, metabolism and oxidative stress profile in Chinese yellow-feathered broiler breeder hens fed multiple levels of isoleucine. Br. Poult. Sci. 2021, 62, 509–516. [Google Scholar] [CrossRef]
- Richert, B.; Goodband, R.D.; Tokach, M.D.; Nelssen, J.L. Increasing valine, isoleucine, and total branched-chain amino acids for lactating sows. J. Anim. Sci. 1997, 75, 2117–2128. [Google Scholar] [CrossRef]
- Kwon, W.B.; Touchette, K.J.; Simongiovanni, A.; Syriopoulos, K.; Wessels, A.; Stein, H.H. Excess dietary leucine in diets for growing pigs reduces growth performance, biological value of protein, protein retention, and serotonin synthesis. J. Anim. Sci. 2019, 97, 4282–4292. [Google Scholar] [CrossRef]
- Emmanuel, B. Autoregulation of urea cycle by urea in mammalian species. Comp. Biochem. Physiol. 1981, 70, 79–81. [Google Scholar] [CrossRef]





| Diets 1 | |||||||||||||
|---|---|---|---|---|---|---|---|---|---|---|---|---|---|
| N1 | N2 | N3 | |||||||||||
| Ingredients 2, % | PC | NC | HV | HI | HVI | PC | NC | HV | HI | HVI | |||
| Corn, yellow dent | 37.41 | 55.60 | 75.54 | 75.41 | 75.40 | 75.27 | 69.16 | 87.14 | 87.02 | 87.01 | 86.89 | ||
| Soybean meal, 47.5% CP | 18.00 | 21.67 | 2.42 | 2.42 | 2.42 | 2.42 | 18.60 | 1.10 | 1.10 | 1.10 | 1.10 | ||
| Fish meal, menhaden | 6.00 | 4.29 | 4.29 | 4.29 | 4.29 | 4.29 | 4.29 | 4.29 | 4.29 | 4.29 | 4.29 | ||
| Whey, dried | 24.10 | 3.00 | 3.00 | 3.00 | 3.00 | 3.00 | - | - | - | - | - | ||
| Corn starch | - | 9.43 | 6.92 | 6.92 | 6.92 | 6.92 | 3.25 | 1.16 | 1.16 | 1.16 | 1.16 | ||
| Lactose | 6.80 | - | - | - | - | - | - | - | - | - | - | ||
| Plasma spray-dried | 5.29 | 3.10 | 3.10 | 3.10 | 3.10 | 3.10 | 2.10 | 2.00 | 2.00 | 2.00 | 2.00 | ||
| Corn oil | 0.49 | - | - | - | - | - | - | - | - | - | - | ||
| Dicalcium phosphate 18.5% | 0.86 | 1.25 | 1.63 | 1.63 | 1.63 | 1.63 | 1.05 | 1.41 | 1.41 | 1.41 | 1.41 | ||
| Limestone | 0.38 | 0.48 | 0.36 | 0.36 | 0.36 | 0.36 | 0.40 | 0.31 | 0.31 | 0.31 | 0.31 | ||
| Salt | 0.16 | 0.52 | 0.52 | 0.52 | 0.52 | 0.52 | 0.47 | 0.47 | 0.47 | 0.47 | 0.47 | ||
| Vitamin premix | 0.04 | 0.05 | 0.05 | 0.05 | 0.05 | 0.05 | 0.05 | 0.05 | 0.05 | 0.05 | 0.05 | ||
| Trace mineral premix | - | 0.02 | 0.02 | 0.02 | 0.02 | 0.02 | 0.01 | 0.01 | 0.01 | 0.01 | 0.01 | ||
| Zinc oxide, 72% Zn | 0.01 | 0.01 | 0.01 | 0.01 | 0.01 | 0.01 | 0.01 | 0.01 | 0.01 | 0.01 | 0.01 | ||
| L-Lysine, HCl | 0.27 | 0.36 | 0.85 | 0.85 | 0.85 | 0.85 | 0.38 | 0.84 | 0.84 | 0.84 | 0.84 | ||
| DL-methionine | 0.13 | 0.11 | 0.19 | 0.19 | 0.19 | 0.19 | 0.09 | 0.16 | 0.16 | 0.16 | 0.16 | ||
| L-threonine | 0.05 | 0.10 | 0.36 | 0.36 | 0.36 | 0.36 | 0.12 | 0.36 | 0.36 | 0.36 | 0.36 | ||
| L-tryptophan | 0.01 | 0.01 | 0.11 | 0.11 | 0.11 | 0.11 | 0.02 | 0.11 | 0.11 | 0.11 | 0.11 | ||
| L-isoleucine | - | - | - | - | 0.42 | 0.42 | - | - | - | 0.39 | 0.39 | ||
| L-valine | - | - | - | 0.48 | - | 0.48 | - | - | 0.44 | - | 0.44 | ||
| L-alanine | - | - | 0.63 | 0.28 | 0.35 | - | - | 0.58 | 0.26 | 0.32 | - | ||
| Calculated Chemical Composition3 | |||||||||||||
| Dry matter, % | 90.32 | 90.00 | 89.63 | 89.65 | 89.65 | 89.67 | 88.81 | 88.70 | 88.74 | 88.74 | 88.76 | ||
| ME, Mcal/kg | 3.40 | 3.40 | 3.40 | 3.40 | 3.40 | 3.40 | 3.35 | 3.35 | 3.35 | 3.35 | 3.35 | ||
| Crude protein, % | 22.00 | 20.08 | 14.00 | 14.00 | 14.00 | 14.00 | 18.60 | 13.00 | 13.00 | 13.00 | 13.00 | ||
| Crude fiber, % | 1.67 | 2.25 | 1.86 | 1.86 | 1.86 | 1.86 | 2.42 | 2.07 | 2.06 | 2.06 | 2.06 | ||
| Crude fat, % | 3.36 | 3.07 | 3.40 | 3.39 | 3.39 | 3.39 | 3.44 | 3.72 | 3.72 | 3.72 | 3.71 | ||
| Calcium, % | 0.85 | 0.80 | 0.80 | 0.80 | 0.80 | 0.80 | 0.70 | 0.70 | 0.70 | 0.70 | 0.70 | ||
| Total phosphorus, % | 0.70 | 0.65 | 0.65 | 0.65 | 0.65 | 0.65 | 0.60 | 0.60 | 0.60 | 0.60 | 0.60 | ||
| Available phosphorus, % | 0.61 | 0.47 | 0.52 | 0.52 | 0.52 | 0.52 | 0.40 | 0.45 | 0.45 | 0.45 | 0.45 | ||
| SID Lysine, % | 1.50 | 1.35 | 1.35 | 1.35 | 1.35 | 1.35 | 1.23 | 1.23 | 1.23 | 1.23 | 1.23 | ||
| SID Threonine, % | 0.88 | 0.79 | 0.79 | 0.79 | 0.79 | 0.79 | 0.73 | 0.73 | 0.73 | 0.73 | 0.73 | ||
| SID Methionine, % | 0.43 | 0.39 | 0.39 | 0.39 | 0.39 | 0.39 | 0.36 | 0.36 | 0.36 | 0.36 | 0.36 | ||
| SID Tryptophan, % | 0.25 | 0.22 | 0.22 | 0.22 | 0.22 | 0.22 | 0.20 | 0.20 | 0.20 | 0.20 | 0.20 | ||
| SID Isoleucine, % | 0.79 | 0.71 | 0.39 | 0.39 | 0.81 | 0.81 | 0.64 | 0.35 | 0.35 | 0.74 | 0.74 | ||
| SID Valine, % | 0.96 | 0.86 | 0.53 | 1.01 | 0.53 | 1.01 | 0.78 | 0.48 | 0.92 | 0.48 | 0.92 | ||
| SID Leucine, % | 1.65 | 1.52 | 1.08 | 1.08 | 1.08 | 1.08 | 1.44 | 1.03 | 1.03 | 1.03 | 1.03 | ||
| SID Histidine, % | 0.50 | 0.47 | 0.30 | 0.30 | 0.30 | 0.30 | 0.44 | 0.28 | 0.28 | 0.28 | 0.28 | ||
| SID Arginine, % | 1.14 | 1.14 | 0.59 | 0.59 | 0.59 | 0.59 | 1.04 | 0.54 | 0.54 | 0.54 | 0.53 | ||
| SID Phenylalanine, % | 0.90 | 0.85 | 0.50 | 0.50 | 0.50 | 0.50 | 0.78 | 0.46 | 0.46 | 0.46 | 0.46 | ||
| SID Valine: SID Lysine | 0.64 | 0.64 | 0.39 | 0.75 | 0.39 | 0.75 | 0.63 | 0.39 | 0.75 | 0.39 | 0.75 | ||
| SID Isoleucine: SID Lysine | 0.52 | 0.53 | 0.29 | 0.29 | 0.60 | 0.60 | 0.52 | 0.28 | 0.28 | 0.60 | 0.60 | ||
| Diets 1 | |||||||||||||
|---|---|---|---|---|---|---|---|---|---|---|---|---|---|
| N1 | N2 | N3 | |||||||||||
| Chemical Composition | PC | NC | HV | HI | HVI | PC | NC | HV | HI | HVI | |||
| Dry matter, % | 91.30 | 89.30 | 89.10 | 89.50 | 89.10 | 89.30 | 88.80 | 88.30 | 88.70 | 88.50 | 88.70 | ||
| Crude protein, % | 20.40 | 19.50 | 13.50 | 13.60 | 14.00 | 13.80 | 19.30 | 12.30 | 12.70 | 13.80 | 12.60 | ||
| Crude fiber, % | 1.40 | 2.10 | 1.50 | 1.50 | 1.80 | 1.70 | 2.00 | 1.80 | 2.10 | 2.30 | 2.30 | ||
| Calcium, % | 0.95 | 0.81 | 0.77 | 0.77 | 0.80 | 0.75 | 0.83 | 0.71 | 0.85 | 0.80 | 0.80 | ||
| Phosphorus, % | 0.87 | 0.72 | 0.68 | 0.69 | 0.77 | 0.68 | 0.72 | 0.61 | 0.67 | 0.68 | 0.73 | ||
| Taurine 2, % | 0.19 | 0.19 | 0.19 | 0.19 | 0.19 | 0.21 | 0.19 | 0.20 | 0.21 | 0.19 | 0.20 | ||
| Hydroxyproline, % | 0.18 | 0.12 | 0.10 | 0.10 | 0.11 | 0.00 | 0.15 | 0.11 | 0.00 | 0.12 | 0.12 | ||
| Aspartic acid, % | 2.16 | 1.96 | 1.05 | 1.03 | 1.05 | 1.05 | 1.76 | 0.91 | 0.90 | 0.96 | 0.84 | ||
| Threonine, % | 1.09 | 0.90 | 0.84 | 0.92 | 0.95 | 0.91 | 0.85 | 0.77 | 0.87 | 0.76 | 0.70 | ||
| Serine, % | 0.96 | 0.88 | 0.54 | 0.54 | 0.55 | 0.61 | 0.80 | 0.48 | 0.51 | 0.51 | 0.47 | ||
| Glutamic acid, % | 3.45 | 3.37 | 1.96 | 1.93 | 1.97 | 2.02 | 3.04 | 1.79 | 1.83 | 1.92 | 1.73 | ||
| Proline, % | 1.28 | 1.22 | 0.86 | 0.83 | 0.86 | 0.82 | 1.14 | 0.80 | 0.81 | 0.84 | 0.78 | ||
| Lanthionine 2, % | 0.07 | 0.04 | 0.03 | 0.04 | 0.03 | 0.00 | 0.05 | 0.03 | 0.00 | 0.04 | 0.03 | ||
| Glycine, % | 0.96 | 0.91 | 0.59 | 0.59 | 0.60 | 0.61 | 0.85 | 0.55 | 0.54 | 0.56 | 0.52 | ||
| Alanine, % | 1.12 | 1.03 | 1.37 | 1.04 | 1.08 | 0.77 | 0.99 | 1.41 | 0.99 | 1.10 | 0.69 | ||
| Cysteine, % | 0.46 | 0.39 | 0.26 | 0.25 | 0.26 | 0.26 | 0.34 | 0.23 | 0.22 | 0.24 | 0.20 | ||
| Valine, % | 1.16 | 1.01 | 0.64 | 1.11 | 0.65 | 1.14 | 0.90 | 0.56 | 0.97 | 0.59 | 0.91 | ||
| Methionine, % | 0.52 | 0.48 | 0.38 | 0.43 | 0.38 | 0.40 | 0.42 | 0.37 | 0.39 | 0.33 | 0.31 | ||
| Isoleucine, % | 0.92 | 0.83 | 0.47 | 0.45 | 0.86 | 0.93 | 0.74 | 0.41 | 0.41 | 0.80 | 0.74 | ||
| Leucine, % | 1.82 | 1.67 | 1.15 | 1.13 | 1.16 | 1.17 | 1.56 | 1.06 | 1.07 | 1.12 | 1.04 | ||
| Tyrosine, % | 0.72 | 0.65 | 0.35 | 0.36 | 0.37 | 0.40 | 0.59 | 0.33 | 0.33 | 0.32 | 0.33 | ||
| Phenylalanine, % | 0.97 | 0.95 | 0.57 | 0.56 | 0.57 | 0.57 | 0.87 | 0.51 | 0.50 | 0.53 | 0.49 | ||
| Hydroxylysine, % | 0.01 | 0.01 | 0.01 | 0.01 | 0.01 | 0.01 | 0.02 | 0.01 | 0.01 | 0.01 | 0.01 | ||
| Ornithine 2, % | 0.02 | 0.02 | 0.01 | 0.01 | 0.01 | 0.01 | 0.02 | 0.01 | 0.01 | 0.01 | 0.01 | ||
| Lysine, % | 1.71 | 1.53 | 1.38 | 1.60 | 1.47 | 1.47 | 1.40 | 1.33 | 1.31 | 1.30 | 1.28 | ||
| Histidine, % | 0.54 | 0.51 | 0.32 | 0.32 | 0.32 | 0.33 | 0.47 | 0.29 | 0.29 | 0.31 | 0.28 | ||
| Arginine, % | 1.19 | 1.20 | 0.64 | 0.63 | 0.64 | 0.67 | 1.09 | 0.57 | 0.57 | 0.60 | 0.54 | ||
| Tryptophan, % | 0.29 | 0.27 | 0.22 | 0.23 | 0.24 | 0.21 | 0.23 | 0.19 | 0.20 | 0.20 | 0.19 | ||
| Valine: Lysine | 0.68 | 0.66 | 0.46 | 0.69 | 0.44 | 0.78 | 0.64 | 0.42 | 0.74 | 0.45 | 0.71 | ||
| Isoleucine: Lysine | 0.54 | 0.54 | 0.34 | 0.28 | 0.59 | 0.63 | 0.53 | 0.31 | 0.31 | 0.62 | 0.58 | ||
| Measurements 2 | Diets 1 | SEM 3 p-Value | |||||
|---|---|---|---|---|---|---|---|
| PC | NC | HV | HI | HVI | |||
| Initial BW, kg | 6.99 | 7.10 | 6.86 | 7.00 | 6.96 | 0.13 | 0.99 |
| Final BW, kg | 27.45 a | 16.64 b | 17.21 b | 17.76 b | 22.31 c | 0.78 | <0.01 |
| ADG, kg/day | 0.58 a | 0.29 b | 0.29 b | 0.31 b | 0.44 c | 0.02 | <0.01 |
| ADFI, kg/day | 0.86 a | 0.53 b | 0.64 bc | 0.58 b | 0.78 ac | 0.03 | <0.01 |
| ADPI, kg/day | 0.17 a | 0.07 b | 0.08 bc | 0.08 b | 0.10 cτ | 0.01 | <0.01 |
| ADWI, L/day | 2.36 a | 1.31 b | 1.74 b | 1.58 b | 1.80 ab | 0.08 | <0.01 |
| G:F, kg/kg | 0.68 a | 0.55 bc | 0.50 b | 0.55 bc | 0.56 cε | 0.01 | <0.01 |
| G:P, kg/kg | 3.54 a | 4.37 b | 3.83 ac | 3.98 bcϕ | 4.31 bε | 0.07 | <0.01 |
| W:F, L/kg | 2.77 | 2.40 | 2.72 | 2.73 | 2.40 | 0.07 | 0.26 |
| Final body length, m | 0.64 a | 0.55 b | 0.57 b | 0.55 b | 0.61 a | 0.01 | <0.01 |
| Final heart girth, m | 0.66 a | 0.55 b | 0.55 b | 0.57 bc | 0.61 c | 0.01 | <0.01 |
| Final wither height, m | 0.44 a | 0.38 bc | 0.37 c | 0.38 bc | 0.41 aτ | 0.00 | <0.01 |
Disclaimer/Publisher’s Note: The statements, opinions and data contained in all publications are solely those of the individual author(s) and contributor(s) and not of MDPI and/or the editor(s). MDPI and/or the editor(s) disclaim responsibility for any injury to people or property resulting from any ideas, methods, instructions or products referred to in the content. |
© 2023 by the authors. Licensee MDPI, Basel, Switzerland. This article is an open access article distributed under the terms and conditions of the Creative Commons Attribution (CC BY) license (https://creativecommons.org/licenses/by/4.0/).
Share and Cite
Goodarzi, P.; Habibi, M.; Gorton, M.W.; Walsh, K.; Tarkesh, F.; Fuhrig, M.; Pezeshki, A. Dietary Isoleucine and Valine: Effects on Lipid Metabolism and Ureagenesis in Pigs Fed with Protein Restricted Diets. Metabolites 2023, 13, 89. https://doi.org/10.3390/metabo13010089
Goodarzi P, Habibi M, Gorton MW, Walsh K, Tarkesh F, Fuhrig M, Pezeshki A. Dietary Isoleucine and Valine: Effects on Lipid Metabolism and Ureagenesis in Pigs Fed with Protein Restricted Diets. Metabolites. 2023; 13(1):89. https://doi.org/10.3390/metabo13010089
Chicago/Turabian StyleGoodarzi, Parniyan, Mohammad Habibi, Matthew William Gorton, Katherine Walsh, Firoozeh Tarkesh, Mallory Fuhrig, and Adel Pezeshki. 2023. "Dietary Isoleucine and Valine: Effects on Lipid Metabolism and Ureagenesis in Pigs Fed with Protein Restricted Diets" Metabolites 13, no. 1: 89. https://doi.org/10.3390/metabo13010089
APA StyleGoodarzi, P., Habibi, M., Gorton, M. W., Walsh, K., Tarkesh, F., Fuhrig, M., & Pezeshki, A. (2023). Dietary Isoleucine and Valine: Effects on Lipid Metabolism and Ureagenesis in Pigs Fed with Protein Restricted Diets. Metabolites, 13(1), 89. https://doi.org/10.3390/metabo13010089

