Comparison of the Pig Breeds in the Small Intestinal Morphology and Digestive Functions at Different Ages
Abstract
1. Introduction
2. Materials and Methods
2.1. Animals, Experimental Design, and Management
2.2. Sample Collection
2.3. Determination of Plasma Biochemical Parameters
2.4. Determination of Plasma-Free Amino Acids
2.5. Analysis of Intestinal Morphology
2.6. Analysis of Small Intestinal Digestive Enzyme Activity
2.7. Analysis of Nutrient Transporter Gene Expression
2.8. Statistical Analysis
3. Results
3.1. Differences in Body Weight and Intestinal Indexes of Piglets
3.2. Differences in Plasma Biochemical Parameters of Piglets
3.3. Differences in Plasma-Free Amino Acids of Piglets
3.4. Differences in Intestinal Morphology of Piglets
3.5. Differences in Digestive Enzyme Activities of Piglets in Small Intestinal Mucosa
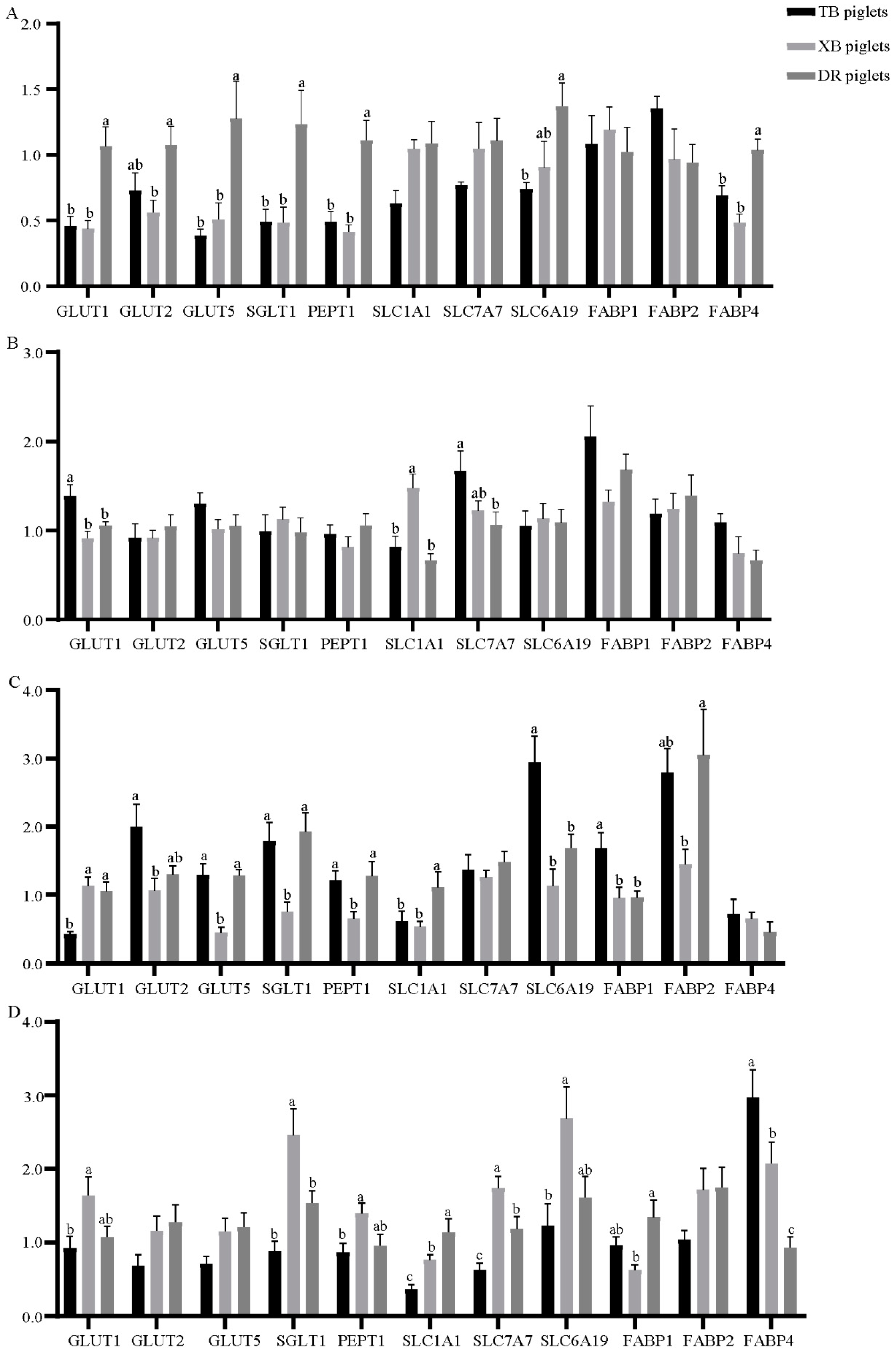
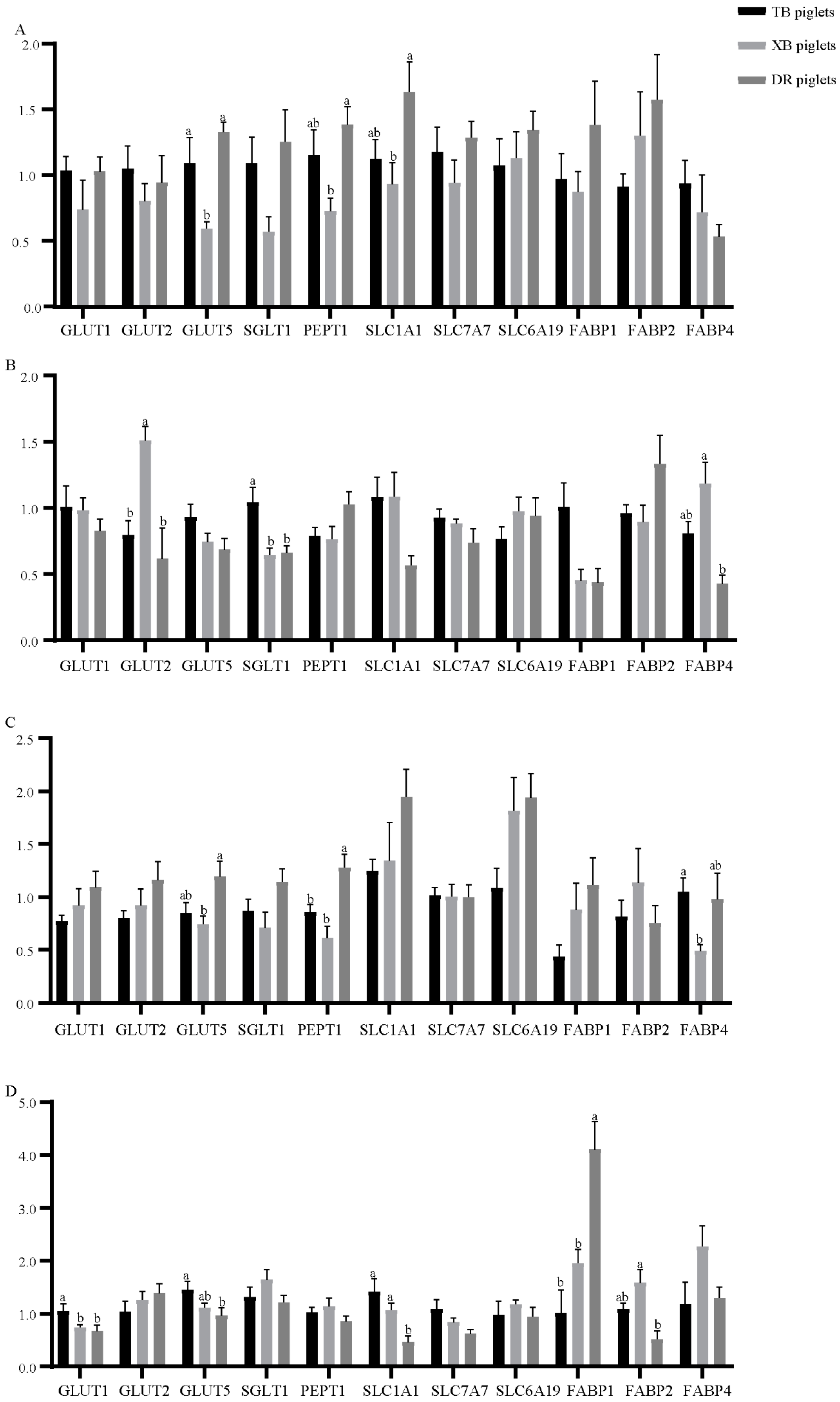
3.6. Differences in Intestinal Nutrient Transporter Gene Expressions of Piglets
4. Discussion
5. Conclusions
Supplementary Materials
Author Contributions
Funding
Institutional Review Board Statement
Informed Consent Statement
Data Availability Statement
Conflicts of Interest
References
- Hao, Y.; Wang, J.; Teng, D.; Wang, X.; Mao, R.Y.; Na, Y.; Ma, X. A prospective on multiple biological activities of lactoferrin contributing to piglet welfare. Biochem. Cell Biol. 2020, 99, 66–72. [Google Scholar] [CrossRef] [PubMed]
- Mace, O.J.; Marshall, F. Digestive physiology of the pig symposium: Gut chemosensing and the regulation of nutrient absorption and energy supply. J. Anim. Sci. 2013, 91, 1932–1945. [Google Scholar] [CrossRef] [PubMed]
- Weström, B.; Arévalo Sureda, E.; Pierzynowska, K.; Pierzynowski, S.G.; Pérez–Cano, F.J. The immature gut barrier and its importance in establishing immunity in newborn mammals. Front. Immunol. 2020, 11, 1153. [Google Scholar] [CrossRef]
- Wang, L.X.; Zhu, F.; Li, J.Z.; Li, Y.L.; Ding, X.Q.; Yin, J.; Xiong, X.; Yang, H.S. Epidermal growth factor promotes intestinal secretory cell differentiation in weaning piglets via Wnt/β-catenin signalling. Animal 2020, 14, 790–798. [Google Scholar] [CrossRef]
- Chen, Y.; Zhang, H.; Chen, Y.; Jia, P.; Ji, S.; Zhang, Y.; Wang, T. Resveratrol and its derivative pterostilbene ameliorate intestine injury in intrauterine growth–retarded weanling piglets by modulating redox status and gut microbiota. J. Anim. Sci. Biotechnol. 2021, 12, 70. [Google Scholar] [CrossRef]
- Canario, L.; Lundgren, H.; Haandlykken, M.; Rydhmer, L. Genetics of growth in piglets and the association with homogeneity of body weight within litters. J. Anim. Sci. 2010, 88, 1240–1247. [Google Scholar] [CrossRef] [PubMed]
- Tang, Z.; Fu, Y.; Xu, J.; Zhu, M.; Li, X.; Yu, M.; Zhao, S.; Liu, X. Discovery of selection–driven genetic differences of Duroc, Landrace, and Yorkshire pig breeds by EigenGWAS and Fst analyses. Anim. Genet. 2020, 51, 531–540. [Google Scholar] [CrossRef]
- Barea, R.; Nieto, R.; Vitari, F.; Domeneghini, C.; Aguilera, J.F. Effects of pig genotype (Iberian v. Landrace × Large White) on nutrient digestibility, relative organ weight and small intestine structure at two stages of growth. Animal 2011, 5, 547–557. [Google Scholar] [CrossRef]
- Bergamaschi, M.; Tiezzi, F.; Howard, J.; Huang, Y.J.; Gray, K.A.; Schillebeeckx, C.; McNulty, N.P.; Maltecca, C. Gut microbiome composition differences among breeds impact feed efficiency in swine. Microbiome 2020, 8, 110. [Google Scholar] [CrossRef]
- Picone, G.; Zappaterra, M.; Luise, D.; Trimigno, A.; Capozzi, F.; Motta, V.; Davoli, R.; Costa, L.N.; Bosi, P.; Trevisi, P. Metabolomics characterization of colostrum in three sow breeds and its influences on piglets’ survival and litter growth rates. J. Anim. Sci. Biotechnol. 2018, 9, 23. [Google Scholar] [CrossRef]
- Christensen, B.; Huber, L.A. The effects of creep feed composition and form and nursery diet complexity on small intestinal morphology and jejunal mucosa-specific enzyme activities after weaning in pigs. J. Anim. Sci. 2022, 100, skac138. [Google Scholar] [CrossRef] [PubMed]
- Saqui–Salces, M.; Huang, Z.; Vila, M.F.; Li, J.; Mielke, J.A.; Urriola, P.E.; Shurson, G.C. Modulation of intestinal cell differentiation in growing pigs is dependent on the fiber source in the diet. J. Anim. Sci. 2017, 95, 1179–1190. [Google Scholar] [CrossRef] [PubMed]
- Azad, M.A.K.; Gao, Q.; Ma, C.; Wang, K.; Kong, X. Betaine hydrochloride addition in Bama mini–pig’s diets during gestation and lactation enhances immunity and alters intestine microbiota of suckling piglets. J. Sci. Food Agric. 2022, 102, 607–616. [Google Scholar] [CrossRef] [PubMed]
- Feng, Z.; Guo, J.P.; Kong, X.; Wang, W.; Li, F.N.; Nyachoti, M.; Yin, Y.L. Molecular cloning and expression profiling of G protein coupled receptor 120 in Landrace pig and different Chinese indigenous pig breeds. J. Food Agric. Environ. 2012, 10, 809–814. [Google Scholar]
- Brossard, L.; Nieto, R.; Charneca, R.; Araujo, J.P.; Pugliese, C.; Radović, Č.; Čandek–Potokar, M. Modelling nutritional requirements of growing pigs from local breeds using InraPorc. Animals 2019, 9, 169. [Google Scholar] [CrossRef]
- Diao, S.Q.; Xu, Z.T.; Ye, S.P.; Huang, S.W.; Teng, J.Y.; Yuan, X.L.; Chen, Z.M.; Zhang, H.; Li, J.Q.; Zhang, Z. Exploring the genetic features and signatures of selection in South China indigenous pigs. J. Integr. Agric. 2021, 20, 1359–1371. [Google Scholar] [CrossRef]
- Wang, M.; Yang, C.; Wang, Q.Y.; Li, J.Z.; Li, Y.L.; Ding, X.Q.; Yin, J.; Yang, H.S.; Yin, Y.L. The growth performance, intestinal digestive and absorptive capabilities in piglets with different lengths of small intestines. Animal 2020, 14, 1196–1203. [Google Scholar] [CrossRef]
- Elefson, S.K.; Lu, N.; Chevalier, T.; Dierking, S.; Wang, D.; Monegue, H.J.; Matthews, J.C.; Jang, Y.D.; Chen, J.; Rentfrow, G.K.; et al. Assessment of visceral organ growth in pigs from birth through 150 kg. J. Anim. Sci. 2021, 99, skab249. [Google Scholar] [CrossRef]
- Czech, A.; Nowakowicz-Debek, B.; Łukaszewicz, M.; Florek, M.; Ossowski, M.; Wlazło, Ł. Effect of fermented rapeseed meal in the mixture for growing pigs on the gastrointestinal tract, antioxidant status, and immune response. Sci. Rep. 2022, 12, 15764. [Google Scholar] [CrossRef]
- Liu, Y.; Kong, X.; Jiang, G.; Tan, B.; Deng, J.; Yang, X.; Li, F.; Xiong, X.; Yin, Y. Effects of dietary protein/energy ratio on growth performance, carcass trait, meat quality, and plasma metabolites in pigs of different genotypes. J. Anim. Sci. Biotechnol. 2015, 6, 36. [Google Scholar] [CrossRef]
- Cheng, Y.; Song, M.; Zhu, Q.; Azad, M.A.K.; Gao, Q.; Kong, X. Dietary betaine addition alters carcass traits, meat quality, and nitrogen metabolism of Bama mini-pigs. Front. Nutr. 2021, 8, 728477. [Google Scholar] [CrossRef] [PubMed]
- Zhu, Q.; Xie, P.; Li, H.; Blachier, F.; Yin, Y.; Kong, X. Dynamic changes of metabolite profiles in maternal biofluids during gestation period in Huanjiang mini-pigs. Front. Vet. Sci. 2021, 8, 636943. [Google Scholar] [CrossRef] [PubMed]
- Cheng, Y.; Song, M.; Zhu, Q.; Azad, M.A.K.; Gao, Q.; Kong, X. Impacts of betaine addition in sow and piglet’s diets on growth performance, plasma hormone, and lipid metabolism of Bama mini–pigs. Front. Nutr. 2021, 8, 779171. [Google Scholar] [CrossRef] [PubMed]
- Song, C.; Jiang, J.; Han, X.; Yu, G.; Pang, Y. Effect of immunological stress to neuroendocrine and gene expression in different swine breeds. Mol. Biol. Rep. 2014, 41, 3569–3576. [Google Scholar] [CrossRef] [PubMed]
- Nørgaard, J.; Florescu, I.; Krogh, U.; Nielsen, T. Amino acid absorption profiles in growing pigs fed different protein sources. Animals 2021, 11, 1740. [Google Scholar] [CrossRef]
- McGilvray, W.D.; Klein, D.; Wooten, H.; Dawson, J.A.; Hewitt, D.; Rakhshandeh, A.R.; de Lange, C.F.M.; Rakhshandeh, A. Immune system stimulation induced by Escherichia coli lipopolysaccharide alters plasma free amino acid flux and dietary nitrogen utilization in growing pigs. J. Anim. Sci. 2019, 97, 315–326. [Google Scholar] [CrossRef] [PubMed]
- Ding, X.; Li, H.; Wen, Z.; Hou, Y.; Wang, G.; Fan, J.; Qian, L. Effects of fermented tea residue on fattening performance, meat quality, digestive performance, serum antioxidant capacity, and intestinal morphology in fatteners. Animals 2020, 10, 185. [Google Scholar] [CrossRef]
- Walsh, A.; Sweeney, T.; Bahar, B.; Flynn, B.; O’Doherty, J. The effect of chitooligosaccharide supplementation on intestinal morphology, selected microbial populations, volatile fatty acid concentrations and immune gene expression in the weaned pig. Animal 2012, 6, 1620–1626. [Google Scholar] [CrossRef]
- Fan, C.L.; Han, X.Y.; Xu, Z.R.; Wang, L.J.; Shi, L.R. Effects of β-glucanase and xylanase supplementation on gastrointestinal digestive enzyme activities of weaned piglets fed a barley-based diet. J. Anim. Physiol. Anim. Nutr. 2009, 93, 271–276. [Google Scholar] [CrossRef]
- Tian, Z.M.; Ma, X.Y.; Yang, X.F.; Fan, Q.L.; Xiong, Y.X.; Qiu, Y.Q.; Wang, L.; Wen, X.L.; Jiang, Z.Y. Influence of low protein diets on gene expression of digestive enzymes and hormone secretion in the gastrointestinal tract of young weaned piglets. J. Zhejiang Univ. B 2016, 17, 742–751. [Google Scholar] [CrossRef]
- Chin, A.M.; Hill, D.R.; Aurora, M.; Spence, J.R. Morphogenesis and maturation of the embryonic and postnatal intestine. Semin. Cell Dev. Biol. 2017, 66, 81–93. [Google Scholar] [CrossRef] [PubMed]
- Maljaars, P.; Peters, H.; Mela, D.; Masclee, A. Ileal brake: A sensible food target for appetite control. A review. Physiol. Behav. 2008, 95, 271–281. [Google Scholar] [CrossRef] [PubMed]
- Zhang, J.; Zhao, D.; Yi, D.; Wu, M.; Chen, H.; Wu, T.; Zhou, J.; Li, P.; Hou, Y.; Wu, G. Microarray analysis reveals the inhibition of intestinal expression of nutrient transporters in piglets infected with porcine epidemic diarrhea virus. Sci. Rep. 2019, 9, 19798. [Google Scholar] [CrossRef] [PubMed]
- Röder, P.V.; Geillinger, K.E.; Zietek, T.S.; Thorens, B.; Koepsell, H.; Daniel, H. The role of SGLT1 and GLUT2 in intestinal glucose transport and sensing. PLoS ONE 2014, 9, e89977. [Google Scholar] [CrossRef]
- Yang, H.S.; Fu, D.Z.; Kong, X.F.; Wang, W.C.; Yang, X.J.; Nyachoti, C.M.; Yin, Y.L. Dietary supplementation with N-carbamylglutamate increases the expression of intestinal amino acid transporters in weaned Huanjiang mini-pig piglets. J. Anim. Sci. 2013, 91, 2740–2748. [Google Scholar] [CrossRef]
- Ma, J.; Duan, Y.; Li, R.; Liang, X.; Li, T.; Huang, X.; Yin, Y.; Yin, J. Gut microbial profiles and the role in lipid metabolism in Shaziling pigs. Anim. Nutr. 2022, 9, 345–356. [Google Scholar] [CrossRef]
- Vigors, S.; Sweeney, T.; O’Shea, C.J.; Kelly, A.K.; O’Doherty, J.V. Pigs that are divergent in feed efficiency, differ in intestinal enzyme and nutrient transporter gene expression, nutrient digestibility and microbial activity. Animal 2016, 10, 1848–1855. [Google Scholar] [CrossRef]
- Wang, M.; Yang, C.; Wang, Q.; Li, J.; Huang, P.; Li, Y.; Ding, X.; Yang, H.; Yin, Y. The relationship between villous height and growth performance, small intestinal mucosal enzymes activities and nutrient transporters expression in weaned piglets. J. Anim. Physiol. Anim. Nutr. 2019, 104, 606–615. [Google Scholar] [CrossRef]




| Item | TB Piglets | XB Piglets | DR Piglets | SEM | p-Values | 
|---|---|---|---|---|---|
| 1 days old | |||||
| Body weight (kg) | 1.50 | 1.39 | 1.82 | 0.08 | 0.075 | 
| Jejunum (g/kg) | 19.12 | 18.79 | 17.49 | 0.94 | 0.769 | 
| Ileum (g/kg) | 19.41 | 17.04 | 18.04 | 1.16 | 0.715 | 
| Jejunum length index (cm/kg) | 129.27 | 116.86 | 109.60 | 5.81 | 0.391 | 
| Ileum length index (cm/kg) | 137.86 a | 89.61 b | 109.84 ab | 6.47 | 0.006 | 
| 10 days old | |||||
| Body weight (kg) | 2.65 b | 2.63 b | 3.86 a | 0.16 | <0.001 | 
| Jejunum (g/kg) | 15.32 ab | 17.81 a | 14.64 b | 0.50 | 0.020 | 
| Ileum (g/kg) | 17.75 ab | 20.42 a | 16.82 b | 0.55 | 0.016 | 
| Jejunum length index (cm/kg) | 88.54 | 94.28 | 75.18 | 3.69 | 0.092 | 
| Ileum length index (cm/kg) | 86.68 ab | 91.29 a | 70.82 b | 3.21 | 0.018 | 
| 21 days old | |||||
| Body weight (kg) | 5.06 a | 3.42 b | 6.01 a | 0.26 | <0.001 | 
| Jejunum (g/kg) | 17.67 | 18.96 | 14.66 | 1.13 | 0.305 | 
| Ileum (g/kg) | 20.07 | 20.09 | 16.75 | 0.86 | 0.192 | 
| Jejunum length index (cm/kg) | 70.66 a | 86.33 a | 51.80 b | 3.81 | <0.001 | 
| Ileum length index (cm/kg) | 69.35 b | 91.42 a | 51.66 b | 4.52 | <0.001 | 
| 24 days old | |||||
| Body weight (kg) | 4.37 b | 3.22 c | 5.74 a | 0.24 | <0.001 | 
| Jejunum (g/kg) | 15.03 | 17.91 | 15.51 | 0.79 | 0.290 | 
| Ileum (g/kg) | 15.25 | 19.55 | 17.80 | 0.74 | 0.055 | 
| Jejunum length index (cm/kg) | 68.95 b | 91.68 a | 55.48 b | 4.08 | <0.001 | 
| Ileum length index (cm/kg) | 68.95 b | 91.68 a | 55.50 b | 4.08 | <0.001 | 
| Item | TB Piglets | XB Piglets | DR Piglets | SEM | p-Values | 
|---|---|---|---|---|---|
| 1 days old | |||||
| ALB (g/L) | 13.91 b | 15.73 b | 25.30 a | 1.28 | <0.001 | 
| ALP (U/L) | 1850.60 | 1820.60 | 2518.60 | 230.87 | 0.391 | 
| ALT (U/L) | 29.77 | 42.07 | 38.53 | 2.40 | 0.088 | 
| AMS (U/L) | 2129.00 | 1797.20 | 1985.60 | 99.39 | 0.407 | 
| AST (g/L) | 124.70 a | 156.40 a | 61.75 b | 10.16 | <0.001 | 
| CHE (mmol/L) | 362.80 | 356.60 | 445.20 | 17.91 | 0.074 | 
| CHO (mmol/L) | 1.57 b | 1.76 b | 4.11 a | 0.25 | <0.001 | 
| GLU (mmol/L) | 4.15 b | 4.77 b | 6.53 a | 0.28 | <0.001 | 
| HDL-C (mmol/L) | 0.57 b | 0.63 b | 1.34 a | 0.08 | <0.001 | 
| LDH (U/L) | 441.40 b | 650.40 a | 700.20 a | 36.81 | 0.005 | 
| LDL-C (mmol/L) | 0.87 b | 1.03 b | 2.44 a | 0.17 | <0.001 | 
| NH3 (μmol/L) | 372.15 b | 478.83 a | 395.45 b | 15.39 | 0.006 | 
| TG (mmol/L) | 0.49 b | 0.35 b | 0.74 a | 0.04 | <0.001 | 
| TP (g/L) | 63.99 ab | 74.77 a | 62.38 b | 2.15 | 0.032 | 
| UN (U/L) | 5.20 a | 5.97 a | 2.84 b | 0.40 | 0.001 | 
| 10 days old | |||||
| ALB (g/L) | 36.09 | 37.76 | 39.92 | 0.76 | 0.118 | 
| ALP (U/L) | 926.80 | 1403.20 | 1279.20 | 90.80 | 0.080 | 
| ALT (U/L) | 26.57 | 30.12 | 31.89 | 0.98 | 0.073 | 
| AMS (U/L) | 2091.60 | 2296.00 | 2645.20 | 135.66 | 0.249 | 
| AST (g/L) | 56.30 | 61.40 | 60.70 | 2.51 | 0.683 | 
| CHE (mmol/L) | 577.00 ab | 477.60 b | 653.80 a | 21.94 | 0.002 | 
| CHO (mmol/L) | 4.53 ab | 6.30 a | 4.48 b | 0.33 | 0.029 | 
| GLU (mmol/L) | 6.26 | 6.09 | 6.39 | 0.17 | 0.792 | 
| HDL-C (mmol/L) | 1.35 | 1.60 | 1.53 | 0.05 | 0.146 | 
| LDH (U/L) | 686.80 | 756.60 | 804.00 | 28.35 | 0.243 | 
| LDL-C (mmol/L) | 3.32 ab | 4.78 a | 2.97 b | 0.29 | 0.023 | 
| NH3 (μmol/L) | 375.55 | 428.68 | 402.72 | 16.87 | 0.453 | 
| TG (mmol/L) | 0.30 b | 0.48 ab | 0.53 a | 0.04 | 0.018 | 
| TP (g/L) | 62.52 ab | 64.02 a | 56.57 b | 1.23 | 0.027 | 
| UN (U/L) | 3.16 ab | 4.60 a | 2.62 b | 0.30 | 0.014 | 
| 21 days old | |||||
| ALB (g/L) | 48.36 | 46.87 | 45.87 | 1.14 | 0.682 | 
| ALP (U/L) | 657.20 | 573.60 | 572.80 | 45.29 | 0.697 | 
| ALT (U/L) | 27.33 b | 32.17 ab | 39.91 a | 2.01 | 0.030 | 
| AMS (U/L) | 2738.20 | 1969.40 | 2178.00 | 167.20 | 0.153 | 
| AST (g/L) | 64.50 | 87.10 | 61.50 | 5.11 | 0.078 | 
| CHE (mmol/L) | 625.20 | 539.20 | 671.40 | 28.46 | 0.158 | 
| CHO (mmol/L) | 5.07 | 3.66 | 3.40 | 0.35 | 0.112 | 
| GLU (mmol/L) | 6.40 | 6.69 | 6.28 | 0.16 | 0.570 | 
| HDL-C (mmol/L) | 1.56 a | 1.33 ab | 1.17 b | 0.06 | 0.020 | 
| LDH (U/L) | 832.80 | 816.20 | 881.60 | 49.87 | 0.865 | 
| LDL-C (mmol/L) | 3.60 | 2.13 | 2.02 | 0.36 | 0.132 | 
| NH3 (μmol/L) | 377.42 a | 258.04 b | 213.67 b | 19.21 | <0.001 | 
| TG (mmol/L) | 0.48 | 0.60 | 0.53 | 0.03 | 0.379 | 
| TP (g/L) | 61.20 | 61.64 | 60.02 | 0.97 | 0.792 | 
| UN (U/L) | 4.56 ab | 5.23 a | 3.18 b | 0.30 | 0.011 | 
| 24 days old | |||||
| ALB (g/L) | 46.67 | 45.33 | 43.24 | 0.94 | 0.335 | 
| ALP (U/L) | 420.00 | 366.60 | 361.20 | 22.97 | 0.529 | 
| ALT (U/L) | 25.21 | 34.63 | 27.32 | 1.98 | 0.123 | 
| AMS (U/L) | 2107.00 | 2236.40 | 1760.80 | 105.74 | 0.167 | 
| AST (g/L) | 47.10 ab | 63.70 a | 38.40 b | 3.80 | 0.016 | 
| CHE (mmol/L) | 633.40 | 612.60 | 636.00 | 26.51 | 0.930 | 
| CHO (mmol/L) | 5.69 a | 4.58 ab | 2.79 b | 0.45 | 0.025 | 
| GLU (mmol/L) | 5.09 | 5.70 | 5.96 | 0.18 | 0.115 | 
| HDL-C (mmol/L) | 1.22 a | 1.38 a | 0.88 b | 0.06 | 0.002 | 
| LDH (U/L) | 630.80 | 724.20 | 599.80 | 31.43 | 0.250 | 
| LDL-C (mmol/L) | 3.26 a | 3.00 a | 1.36 b | 0.29 | 0.012 | 
| NH3 (μmol/L) | 179.99 | 163.45 | 135.34 | 11.06 | 0.055 | 
| TG (mmol/L) | 0.81 | 0.67 | 0.48 | 0.07 | 0.148 | 
| TP (g/L) | 58.97 | 62.19 | 60.70 | 1.26 | 0.597 | 
| UN (U/L) | 3.87 | 4.28 | 2.75 | 0.41 | 0.303 | 
| Item | TB Piglets | XB Piglets | DR Piglets | SEM | p-Values | 
|---|---|---|---|---|---|
| 1 days old | |||||
| 3-MH | 1.62 | 1.59 | 1.00 | 0.17 | 0.316 | 
| Ala | 50.08 | 53.21 | 45.66 | 1.89 | 0.268 | 
| Arg | 37.55 | 14.80 | 9.30 | 6.19 | 0.143 | 
| Asp | 2.33 b | 6.06 a | 1.81 b | 0.42 | <0.001 | 
| Car | 2.47 | 2.80 | 0.50 | 0.27 | 0.108 | 
| Cit | 21.04 a | 18.76 ab | 15.28 b | 0.93 | 0.033 | 
| Cys | 8.34 | 6.62 | 5.94 | 0.56 | 0.198 | 
| ETA | 0.49 | 0.61 | 0.61 | 0.05 | 0.479 | 
| Glu | 71.30 a | 24.48 c | 48.82 b | 4.76 | <0.001 | 
| Gly | 42.63 b | 34.74 b | 68.73 a | 3.63 | <0.001 | 
| His | 18.72 a | 12.02 b | 10.83 b | 1.04 | 0.002 | 
| HYP | 11.14 | 7.57 | 13.34 | 1.10 | 0.095 | 
| Ile | 10.90 ab | 7.69 b | 13.74 a | 0.84 | 0.008 | 
| Leu | 28.49 a | 19.28 b | 13.89 b | 1.70 | <0.001 | 
| Lys | 38.16 a | 23.41 b | 18.00 b | 2.31 | <0.001 | 
| Met | 11.09 | 6.17 | 9.38 | 1.01 | 0.122 | 
| Orn | 16.38 | 14.90 | 11.63 | 0.92 | 0.095 | 
| Phe | 24.51 a | 22.45 a | 15.56 b | 1.13 | 0.001 | 
| Pro | 70.40 a | 51.79 ab | 41.17 b | 4.00 | 0.006 | 
| P-Ser | 4.62 a | 5.54 a | 2.64 b | 0.33 | 0.001 | 
| Sar | 1.33 | 0.64 | 0.45 | 0.16 | 0.055 | 
| Ser | 24.03 | 21.59 | 19.09 | 0.91 | 0.083 | 
| Tau | 11.08 | 12.75 | 10.39 | 0.83 | 0.507 | 
| Thr | 15.19 b | 10.42 b | 26.08 a | 1.82 | <0.001 | 
| Tyr | 50.57 a | 42.62 ab | 30.80 b | 3.32 | 0.045 | 
| Val | 65.37 a | 45.54 b | 28.96 c | 3.73 | <0.001 | 
| α-AAA | 8.95 a | 9.34 a | 1.13 b | 1.10 | <0.001 | 
| α-ABA | 1.45 a | 0.79 b | 1.24 ab | 0.11 | 0.047 | 
| β-Ala | 1.26 | 1.47 | 1.79 | 0.11 | 0.167 | 
| 10 days old | |||||
| 3-MH | 1.59 b | 2.13 a | 1.28 b | 0.11 | 0.004 | 
| Ala | 45.89 | 36.67 | 36.49 | 2.39 | 0.202 | 
| Arg | 23.69 a | 21.02 a | 11.44 b | 1.53 | 0.001 | 
| Asp | 2.48 | 2.20 | 1.53 | 0.18 | 0.110 | 
| Car | 2.98 | 2.83 | 0.50 | 0.30 | 0.170 | 
| Cit | 22.67 | 24.04 | 17.80 | 1.13 | 0.053 | 
| Cys | 7.49 | 8.90 | 8.74 | 0.27 | 0.054 | 
| Cysthi | 1.00 | 1.29 | 1.15 | 0.08 | 0.350 | 
| ETA | 0.98 | 1.13 | 0.83 | 0.06 | 0.165 | 
| Glu | 50.77 a | 13.97 b | 52.72 a | 3.96 | <0.001 | 
| Gly | 70.58 | 59.90 | 69.58 | 3.07 | 0.302 | 
| His | 9.22 ab | 9.99 a | 6.26 b | 0.61 | 0.025 | 
| HYP | 26.99 a | 23.45 ab | 20.82 b | 1.03 | 0.044 | 
| Ile | 16.29 | 20.19 | 18.10 | 0.77 | 0.113 | 
| Leu | 15.99 | 21.90 | 16.29 | 1.27 | 0.095 | 
| Lys | 32.34 a | 24.55 a | 13.17 b | 2.14 | <0.001 | 
| Met | 10.43 | 10.34 | 9.40 | 0.53 | 0.695 | 
| Orn | 16.26 ab | 21.09 a | 13.27 b | 1.10 | 0.009 | 
| Phe | 16.49 | 16.52 | 13.93 | 0.61 | 0.137 | 
| Pro | 50.35 a | 39.45 ab | 27.70 b | 3.06 | 0.004 | 
| P-Ser | 3.88 b | 4.95 a | 1.98 c | 0.29 | <0.001 | 
| Sar | 1.26 a | 0.89 ab | 0.33 b | 0.11 | 0.009 | 
| Ser | 23.04 a | 21.05 ab | 15.77 b | 1.23 | 0.039 | 
| Tau | 17.23 | 18.71 | 15.53 | 0.90 | 0.371 | 
| Thr | 30.63 | 32.04 | 22.94 | 1.81 | 0.083 | 
| Tyr | 24.01 | 27.67 | 24.12 | 1.27 | 0.424 | 
| Val | 31.30 a | 31.46 a | 21.86 b | 1.63 | 0.017 | 
| α-AAA | 3.14 a | 1.96 b | 1.14 b | 0.26 | 0.003 | 
| α-ABA | 1.84 b | 2.90 a | 3.15 a | 0.19 | 0.007 | 
| β-Ala | 1.17 | 1.00 | 1.33 | 0.08 | 0.281 | 
| 21 days old | |||||
| 3-MH | 2.12 b | 2.85 a | 1.46 c | 0.15 | <0.001 | 
| Ala | 51.09 a | 29.20 b | 28.50 b | 2.99 | <0.001 | 
| Arg | 23.02 a | 16.56 b | 12.49 b | 1.23 | <0.001 | 
| Asp | 1.52 a | 1.24 a | 0.56 b | 0.11 | <0.001 | 
| Cit | 23.36 a | 16.54 b | 12.47 b | 1.33 | 0.003 | 
| Cys | 7.19 b | 6.44 b | 8.88 a | 0.33 | 0.005 | 
| Cysthi | 0.89 b | 1.69 a | 1.90 a | 0.14 | 0.002 | 
| ETA | 1.00 | 0.77 | 0.74 | 0.09 | 0.442 | 
| Glu | 51.94 a | 11.99 b | 47.63 a | 4.09 | <0.001 | 
| Gly | 68.42 | 57.88 | 65.07 | 3.03 | 0.361 | 
| His | 13.79 a | 12.00 a | 7.72 b | 0.76 | 0.002 | 
| HYP | 26.28 a | 12.84 b | 13.12 b | 1.44 | <0.001 | 
| Ile | 16.18 | 16.16 | 16.49 | 0.78 | 0.983 | 
| Leu | 20.49 | 22.65 | 23.54 | 1.31 | 0.637 | 
| Lys | 36.47 a | 18.89 b | 19.79 b | 2.35 | <0.001 | 
| Met | 10.19 a | 6.39 b | 6.18 b | 0.59 | 0.004 | 
| Orn | 16.54 a | 9.00 b | 6.41 b | 1.10 | <0.001 | 
| Phe | 15.65 | 14.50 | 15.15 | 0.38 | 0.484 | 
| Pro | 47.37 a | 22.95 b | 19.60 b | 3.37 | <0.001 | 
| P-Ser | 3.85 b | 5.03 a | 1.03 c | 0.34 | <0.001 | 
| Sar | 1.88 | 0.83 | - | 0.57 | 0.428 | 
| Ser | 19.71 a | 16.02 ab | 12.76 b | 0.87 | 0.002 | 
| Tau | 13.57 a | 8.81 b | 8.05 b | 0.71 | 0.001 | 
| Thr | 26.18 a | 15.80 b | 16.72 b | 1.58 | 0.011 | 
| Tyr | 22.07 a | 13.72 b | 15.25 b | 1.16 | 0.004 | 
| Val | 29.03 | 31.38 | 29.61 | 1.43 | 0.811 | 
| α-AAA | 5.93 a | 2.09 b | 3.37 b | 0.45 | <0.001 | 
| α-ABA | 2.08 b | 4.91 a | 4.41 a | 0.38 | 0.002 | 
| β-Ala | 1.06 | 0.91 | 1.05 | 0.08 | 0.714 | 
| 24 days old | |||||
| 3-MH | 2.52 | 3.59 | 3.17 | 0.23 | 0.134 | 
| Ala | 40.45 | 33.66 | 38.98 | 2.70 | 0.580 | 
| Arg | 19.34 ab | 24.25 a | 15.88 b | 1.12 | 0.005 | 
| Asp | 0.87 b | 0.79 b | 1.71 a | 0.13 | 0.003 | 
| Car | 2.77 a | 1.22 b | 3.08 a | 0.25 | <0.001 | 
| Cit | 14.61 b | 21.46 a | 12.40 b | 1.20 | 0.002 | 
| Cys | 7.00 | 7.98 | 9.36 | 0.45 | 0.104 | 
| Cysthi | 2.34 | 1.76 | 2.55 | 0.17 | 0.138 | 
| ETA | 1.19 a | 0.48 b | 0.65 b | 0.10 | 0.003 | 
| Glu | 60.66 a | 68.47 a | 32.8 b | 4.86 | 0.002 | 
| Gly | 71.98 | 87.63 | 81.93 | 4.92 | 0.448 | 
| His | 8.69 | 9.60 | 9.03 | 0.40 | 0.656 | 
| HYP | 15.67 a | 12.07 b | 7.28 c | 1.21 | 0.044 | 
| Ile | 22.06 | 23.87 | 20.97 | 1.41 | 0.711 | 
| Leu | 24.12 | 29.58 | 22.86 | 1.57 | 0.181 | 
| Lys | 27.73 | 29.17 | 34.77 | 1.68 | 0.201 | 
| Met | 6.27 | 5.99 | 7.62 | 0.30 | 0.050 | 
| Orn | 6.36 b | 10.06 a | 7.16 b | 0.53 | 0.006 | 
| Phe | 12.92 | 13.81 | 14.06 | 0.53 | 0.672 | 
| Pro | 22.46 | 19.35 | 21.15 | 0.81 | 0.279 | 
| P-Ser | 2.74 b | 4.97 a | 1.80 b | 0.34 | <0.001 | 
| Sar | 1.11 | 0.60 | - | 0.18 | 0.157 | 
| Ser | 14.08 | 17.68 | 15.97 | 0.85 | 0.234 | 
| Tau | 9.79 | 7.71 | 10.71 | 0.56 | 0.075 | 
| Thr | 20.40 | 24.09 | 26.31 | 1.36 | 0.223 | 
| Tyr | 11.91 | 12.87 | 12.34 | 0.68 | 0.854 | 
| Val | 39.03 | 31.10 | 30.60 | 2.16 | 0.230 | 
| α-AAA | 2.14 b | 2.10 b | 4.61 a | 0.35 | 0.002 | 
| α-ABA | 4.95 | 5.46 | 6.59 | 0.45 | 0.344 | 
| β-Ala | 0.87 | 1.05 | 1.23 | 0.07 | 0.115 | 
| Item | TB Piglets | XB Piglets | DR Piglets | SEM | p-Values | 
|---|---|---|---|---|---|
| 1 days old | |||||
| Villus height (μm) | 307.68 b | 345.73 a | 248.91 c | 16.51 | 0.048 | 
| Crypt depth (μm) | 158.36 | 162.97 | 179.21 | 5.29 | 0.254 | 
| VH/CD | 2.03 a | 2.23 a | 1.40 b | 0.12 | 0.010 | 
| 10 days old | |||||
| Villus height (μm) | 306.57 | 323.86 | 290.24 | 13.25 | 0.591 | 
| Crypt depth (μm) | 174.86 | 161.86 | 177.55 | 6.52 | 0.575 | 
| VH/CD | 1.82 | 2.14 | 1.76 | 0.09 | 0.160 | 
| 21 days old | |||||
| Villus height (μm) | 272.73 b | 256.68 b | 323.35 a | 9.71 | 0.013 | 
| Crypt depth (μm) | 168.07 b | 158.60 b | 206.53 a | 6.77 | 0.008 | 
| VH/CD | 1.70 | 1.70 | 1.60 | 0.05 | 0.690 | 
| 24 days old | |||||
| Villus height (μm) | 280.35 | 264.99 | 294.11 | 8.60 | 0.386 | 
| Crypt depth (μm) | 177.38 | 167.30 | 196.26 | 6.00 | 0.133 | 
| VH/CD | 1.62 | 1.67 | 1.54 | 0.04 | 0.403 | 
| Item | TB Piglets | XB Piglets | DR Piglets | SEM | p-Values | 
|---|---|---|---|---|---|
| 1 days old | |||||
| Villus height (μm) | 451.18 ab | 602.76 a | 325.49 b | 39.76 | 0.010 | 
| Crypt depth (μm) | 133.19 | 142.60 | 124.18 | 7.68 | 0.685 | 
| VH/CD | 3.56 a | 4.08 a | 2.06 b | 0.26 | 0.004 | 
| 10 days old | |||||
| Villus height (μm) | 334.73 | 353.05 | 390.26 | 16.78 | 0.418 | 
| Crypt depth (μm) | 100.91 b | 118.44 ab | 141.54 a | 6.46 | 0.018 | 
| VH/CD | 3.29 | 2.88 | 3.49 | 0.15 | 0.223 | 
| 21 days old | |||||
| Villus height (μm) | 315.44 | 279.51 | 309.20 | 13.09 | 0.516 | 
| Crypt depth (μm) | 124.59 | 124.26 | 151.96 | 6.81 | 0.165 | 
| VH/CD | 2.61 | 2.13 | 2.13 | 0.10 | 0.057 | 
| 24 days old | |||||
| Villus height (μm) | 231.71 | 255.76 | 270.56 | 9.62 | 0.266 | 
| Crypt depth (μm) | 132.21 | 129.11 | 156.88 | 5.62 | 0.076 | 
| VH/CD | 1.83 | 2.03 | 1.79 | 0.07 | 0.356 | 
| Item | TB Piglets | XB Piglets | DR Piglets | SEM | p-Values | 
|---|---|---|---|---|---|
| 1 days old | |||||
| Amylase | 1.62 b | 1.19 b | 4.40 a | 0.48 | 0.004 | 
| Chymase | 3.97 | 4.54 | 4.28 | 0.31 | 0.772 | 
| Invertase | 13.50 ab | 8.99 b | 15.76 a | 1.13 | 0.029 | 
| Lactase | 8.80 a | 9.21 a | 5.48 b | 0.63 | 0.022 | 
| Lipase | 0.88 | 0.58 | 0.46 | 0.09 | 0.138 | 
| Maltase | 15.62 a | 15.98 a | 9.04 b | 1.08 | 0.007 | 
| Trypsin | 3.72 a | 2.46 b | 0.97 c | 0.33 | <0.001 | 
| 10 days old | |||||
| Amylase | 2.21 c | 12.27 a | 4.53 b | 1.15 | <0.001 | 
| Chymase | 6.69 b | 8.21 b | 11.89 a | 0.69 | 0.004 | 
| Invertase | 26.86 a | 18.11 b | 26.98 a | 1.64 | 0.028 | 
| Lactase | 11.96 | 14.09 | 14.91 | 0.80 | 0.333 | 
| Lipase | 6.65 a | 2.71 b | 2.17 b | 0.49 | <0.001 | 
| Maltase | 27.48 | 26.80 | 21.31 | 1.40 | 0.207 | 
| Trypsin | 11.13 a | 6.29 b | 1.64 c | 0.96 | <0.001 | 
| 21 days old | |||||
| Amylase | 5.22 b | 4.36 b | 12.72 a | 1.05 | <0.001 | 
| Chymase | 12.22 | 12.03 | 10.96 | 0.81 | 0.806 | 
| Invertase | 32.78 a | 21.98 b | 31.58 a | 1.73 | 0.010 | 
| Lactase | 21.42 a | 23.91 a | 13.92 b | 1.57 | 0.016 | 
| Lipase | 2.26 ab | 1.43 b | 2.68 a | 0.21 | 0.019 | 
| Maltase | 37.21 a | 35.54 a | 19.66 b | 2.58 | 0.003 | 
| Trypsin | 5.74 b | 31.30 a | 7.86 b | 2.83 | <0.001 | 
| 24 days old | |||||
| Amylase | 5.88 b | 5.47 b | 11.51 a | 0.88 | 0.002 | 
| Chymase | 11.65 | 13.83 | 11.38 | 0.66 | 0.256 | 
| Invertase | 32.09 ab | 40.40 a | 26.82 b | 2.21 | 0.037 | 
| Lactase | 19.63 ab | 24.22 a | 15.30 b | 1.39 | 0.025 | 
| Lipase | 2.04 | 2.85 | 2.43 | 0.18 | 0.193 | 
| Maltase | 33.85 a | 35.13 a | 19.86 b | 2.10 | 0.002 | 
| Trypsin | 6.11 b | 23.69 a | 9.97 b | 2.22 | <0.001 | 
| Item | TB Piglets | XB Piglets | DR Piglets | SEM | p-Values | 
|---|---|---|---|---|---|
| 1 days old | |||||
| Amylase | 3.96 b | 2.47 b | 11.05 a | 1.01 | <0.001 | 
| Chymase | 5.34 b | 7.56 b | 19.67 a | 1.65 | <0.001 | 
| Invertase | 12.91 b | 8.19 b | 28.25 a | 2.46 | <0.001 | 
| Lactase | 6.59 c | 15.17 b | 30.91 a | 2.36 | <0.001 | 
| Lipase | 1.29 b | 1.97 b | 5.10 a | 0.41 | <0.001 | 
| Maltase | 8.69 c | 20.24 b | 50.45 a | 4.11 | <0.001 | 
| Trypsin | 5.28 b | 4.50 b | 16.52 a | 1.41 | <0.001 | 
| 10 days old | |||||
| Amylase | 11.69 | 7.87 | 7.00 | 0.90 | 0.053 | 
| Chymase | 12.98 b | 22.15 a | 21.05 a | 1.47 | 0.009 | 
| Invertase | 42.52 | 36.38 | 29.26 | 2.40 | 0.082 | 
| Lactase | 14.53 b | 48.20 a | 54.23 a | 5.92 | 0.007 | 
| Lipase | 3.53 b | 6.33 a | 6.55 a | 0.53 | 0.018 | 
| Maltase | 19.59 b | 67.68 a | 76.44 a | 7.19 | <0.001 | 
| Trypsin | 14.77 | 16.41 | 10.98 | 1.12 | 0.145 | 
| 21 days old | |||||
| Amylase | 17.64 a | 1.88 c | 12.03 b | 1.67 | <0.001 | 
| Chymase | 21.26 a | 13.08 b | 24.69 a | 1.55 | 0.003 | 
| Invertase | 58.42 a | 23.26 b | 51.82 a | 5.41 | 0.012 | 
| Lactase | 22.00 b | 22.76 b | 65.61 a | 5.17 | <0.001 | 
| Lipase | 4.56 ab | 3.04 b | 6.32 a | 0.46 | 0.008 | 
| Maltase | 32.78 b | 37.45 b | 78.85 a | 5.07 | <0.001 | 
| Trypsin | 18.22 a | 4.61 b | 20.26 a | 1.91 | <0.001 | 
| 24 days old | |||||
| Amylase | 17.61 a | 6.52 b | 21.19 a | 1.45 | <0.001 | 
| Chymase | 16.37 b | 14.92 b | 26.89 a | 1.47 | <0.001 | 
| Invertase | 46.25 a | 34.69 b | 45.66 a | 1.97 | 0.018 | 
| Lactase | 20.46 b | 27.43 b | 51.79 a | 3.25 | <0.001 | 
| Lipase | 5.01 b | 2.47 c | 7.99 a | 0.56 | <0.001 | 
| Maltase | 27.28 c | 44.55 b | 77.03 a | 5.03 | <0.001 | 
| Trypsin | 21.15 a | 10.85 b | 23.92 a | 1.66 | <0.001 | 
| Disclaimer/Publisher’s Note: The statements, opinions and data contained in all publications are solely those of the individual author(s) and contributor(s) and not of MDPI and/or the editor(s). MDPI and/or the editor(s) disclaim responsibility for any injury to people or property resulting from any ideas, methods, instructions or products referred to in the content. | 
© 2023 by the authors. Licensee MDPI, Basel, Switzerland. This article is an open access article distributed under the terms and conditions of the Creative Commons Attribution (CC BY) license (https://creativecommons.org/licenses/by/4.0/).
Share and Cite
Cheng, Y.; Ding, S.; Azad, M.A.K.; Song, B.; Kong, X. Comparison of the Pig Breeds in the Small Intestinal Morphology and Digestive Functions at Different Ages. Metabolites 2023, 13, 132. https://doi.org/10.3390/metabo13010132
Cheng Y, Ding S, Azad MAK, Song B, Kong X. Comparison of the Pig Breeds in the Small Intestinal Morphology and Digestive Functions at Different Ages. Metabolites. 2023; 13(1):132. https://doi.org/10.3390/metabo13010132
Chicago/Turabian StyleCheng, Yating, Sujuan Ding, Md. Abul Kalam Azad, Bo Song, and Xiangfeng Kong. 2023. "Comparison of the Pig Breeds in the Small Intestinal Morphology and Digestive Functions at Different Ages" Metabolites 13, no. 1: 132. https://doi.org/10.3390/metabo13010132
APA StyleCheng, Y., Ding, S., Azad, M. A. K., Song, B., & Kong, X. (2023). Comparison of the Pig Breeds in the Small Intestinal Morphology and Digestive Functions at Different Ages. Metabolites, 13(1), 132. https://doi.org/10.3390/metabo13010132
 
        



 
       