Metabolic Responses of Dietary Fiber during Heat Stress: Effects on Reproductive Performance and Stress Level of Gestating Sows
Abstract
1. Introduction
2. Results
2.1. Sow Performance
2.2. Nutrient Digestibility
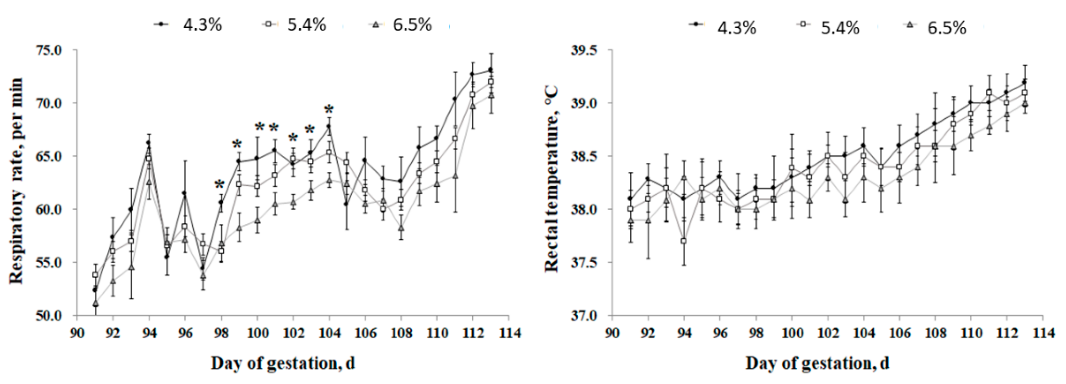
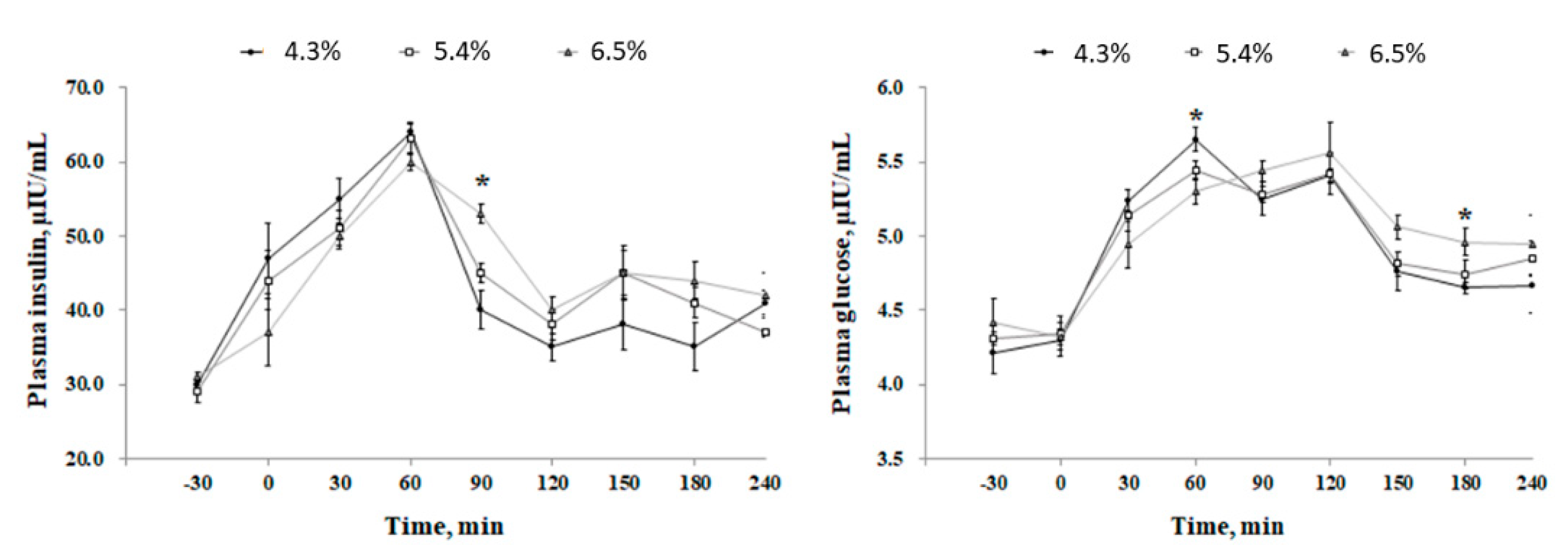
2.3. Heat Stress Factors, and Plasma Insulin and Glucose
2.4. Metabolites
2.5. Short-Chain Fatty Acid Content
2.6. Gene Expression
3. Discussion
4. Materials and Methods
4.1. Experimental Design
4.2. Body Weight and Litter Performance
4.3. Nutrient Digestibility
4.4. Hair Cortisol and Blood Glucose and Insulin
4.5. Metabolomics Sample Preparation and Analysis
4.6. Short Chain Fatty Acids
4.7. Gene Expressions
4.8. Statistical Analyses
5. Conclusions
Author Contributions
Funding
Institutional Review Board Statement
Informed Consent Statement
Data Availability Statement
Conflicts of Interest
References
- He, J.; Guo, H.; Zheng, W.; Xue, Y.; Zhao, R.; Yao, W. Heat stress affects fecal microbial and metabolic alterations of primiparous sows during late gestation. J. Anim. Sci. Biotechnol. 2019, 10, 84. [Google Scholar] [CrossRef] [PubMed]
- Kim, K.Y.; Choi, Y.H.; Hosseindoust, A.; Kim, M.J.; Moturi, J.; Kim, T.G.; Song, C.H.; Lee, J.H.; Chae, B.J. Effects of free feeding time system and energy level to improve the reproductive performance of lactating sows during summer. J. Anim. Sci. Technol. 2020, 62, 356–364. [Google Scholar] [CrossRef] [PubMed]
- Mota-Rojas, D.; Titto, C.G.; Orihuela, A.; Martínez-Burnes, J.; Gómez-Prado, J.; Torres-Bernal, F.; Flores-Padilla, K.; Carvajal-De la Fuente, V.; Wang, D. Physiological and behavioral mechanisms of thermoregulation in mammals. Animals 2021, 11, 1733. [Google Scholar] [CrossRef] [PubMed]
- Choi, Y.; Hosseindoust, A.; Shim, Y.; Kim, M.; Kumar, A.; Oh, S.; Kim, Y.; Chae, B.J. Evaluation of high nutrient diets on litter performance of heat-stressed lactating sows. Asian-Australas. J. Anim. Sci. 2017, 30, 1598–1604. [Google Scholar] [CrossRef]
- Thorsen, C.K.; Schild, S.-L.A.; Rangstrup-Christensen, L.; Bilde, T.; Pedersen, L.J. The effect of farrowing duration on maternal behavior of hyperprolific sows in organic outdoor production. Livest. Sci. 2017, 204, 92–97. [Google Scholar] [CrossRef]
- Kim, K.; Choi, Y.; Hosseindoust, A.; Kim, M.; Hwang, S.; Bu, M.; Lee, J.; Kim, Y.; Chae, B. Evaluation of high nutrient diets and additional dextrose on reproductive performance and litter performance of heat-stressed lactating sows. Anim. Sci. J. 2019, 90, 1212–1219. [Google Scholar] [CrossRef]
- Huang, S.; Wei, J.; Yu, H.; Hao, X.; Zuo, J.; Tan, C.; Deng, J. Effects of Dietary Fiber Sources during Gestation on Stress Status, Abnormal Behaviors and Reproductive Performance of Sows. Animals 2020, 10, 141. [Google Scholar] [CrossRef]
- Schoenherr, W.D.; Stahly, T.S.; Cromwell, G.L. The Effects of Dietary Fat or Fiber Addition on Yield and Composition of Milk from Sows Housed in a Warm or Hot Environment. J. Anim. Sci. 1989, 67, 482–495. [Google Scholar] [CrossRef]
- Hermes, R.G.; Molist, F.; Ywazaki, M.; Nofrarías, M.; de Segura, A.G.; Gasa, J.; Pérez, J.F. Effect of dietary level of protein and fiber on the productive performance and health status of piglets. J. Anim. Sci. 2009, 87, 3569–3577. [Google Scholar] [CrossRef]
- Lindberg, J.E. Fiber effects in nutrition and gut health in pigs. J. Anim. Sci. Biotechnol. 2014, 5, 15. [Google Scholar] [CrossRef]
- Lowell, J.E.; Liu, Y.; Stein, H.H. Comparative digestibility of energy and nutrients in diets fed to sows and growing pigs. Arch. Anim. Nutr. 2015, 69, 79–97. [Google Scholar] [CrossRef]
- Quiniou, N. Results of 15 Years of Precision Feeding of Hyper Prolific Gestating Sows. Animals 2021, 11, 2908. [Google Scholar] [CrossRef]
- Iyayi, E.A.; Adeola, O. Quantification of short-chain fatty acids and energy production from hindgut fermentation in cannulated pigs fed graded levels of wheat bran. J. Anim. Sci. 2015, 93, 4781–4787. [Google Scholar] [CrossRef] [PubMed]
- Bernardino, T.; Tatemoto, P.; de Moraes, J.E.; Morrone, B.; Zanella, A.J. High fiber diet reduces stereotypic behavior of gilts but does not affect offspring performance. Appl. Anim. Behav. Sci. 2021, 243, 105433. [Google Scholar] [CrossRef]
- Serena, A.; Jørgensen, H.; Knudsen, K.E.B. Absorption of carbohydrate-derived nutrients in sows as influenced by types and contents of dietary fiber. J. Anim. Sci. 2009, 87, 136–147. [Google Scholar] [CrossRef] [PubMed]
- Choi, Y.; Hosseindoust, A.; Kim, J.; Lee, S.; Kim, M.; Kumar, A.; Kim, K.; Kim, Y.H.; Chae, B.J. An overview of hourly rhythm of demand-feeding pattern by a controlled feeding system on productive performance of lactating sows during summer. Ital. J. Anim. Sci. 2018, 17, 1001–1009. [Google Scholar] [CrossRef]
- Mallmann, A.L.; Oliveira, G.S.; Ulguim, R.R.; Mellagi, A.P.G.; Bernardi, M.L.; Orlando, U.A.D.; Gonçalves, M.A.D.; Cogo, R.J.; Bortolozzo, F.P. Impact of feed intake in early gestation on maternal growth and litter size according to body reserves at weaning of young parity sows. J. Anim. Sci. 2020, 98, skaa075. [Google Scholar] [CrossRef]
- Meunier-Salaün, M.; Edwards, S.; Robert, S. Effect of dietary fibre on the behaviour and health of the restricted fed sow. Anim. Feed Sci. Technol. 2001, 90, 53–69. [Google Scholar] [CrossRef]
- Oliviero, C.; Kokkonen, T.; Heinonen, M.; Sankari, S.; Peltoniemi, O. Feeding sows with high fibre diet around farrowing and early lactation: Impact on intestinal activity, energy balance related parameters and litter performance. Res. Veter-Sci. 2009, 86, 314–319. [Google Scholar] [CrossRef]
- Zhuo, Y.; Feng, B.; Xuan, Y.; Che, L.; Fang, Z.; Lin, Y.; Xu, S.; Li, J.; Feng, B.; Wu, D. Inclusion of purified dietary fiber during gestation improved the reproductive performance of sows. J. Anim. Sci. Biotechnol. 2020, 11, 47. [Google Scholar] [CrossRef]
- Kim, K.H.; Hosseindoust, A.; Ingale, S.L.; Lee, S.H.; Noh, H.S.; Choi, Y.H.; Jeon, S.M.; Kim, Y.H.; Chae, B.J. Effects of Gestational Housing on Reproductive Performance and Behavior of Sows with Different Backfat Thickness. Asian-Australas. J. Anim. Sci. 2015, 29, 142–148. [Google Scholar] [CrossRef] [PubMed]
- Jiang, X.; Lu, N.; Xue, Y.; Liu, S.; Lei, H.; Tu, W.; Lu, Y.; Xia, D. Crude fiber modulates the fecal microbiome and steroid hormones in pregnant Meishan sows. Gen. Comp. Endocrinol. 2019, 277, 141–147. [Google Scholar] [CrossRef] [PubMed]
- Lee, S.; Hosseindoust, A.; Choi, Y.; Kim, M.; Kim, K.; Lee, J.; Kim, Y.; Chae, B. Age and weight at first mating affects plasma leptin concentration but no effects on reproductive performance of gilts. J. Anim. Sci. Technol. 2019, 61, 285–293. [Google Scholar] [CrossRef] [PubMed]
- Choi, Y.H.; Hosseindoust, A.; Kim, M.J.; Kim, K.Y.; Lee, J.H.; Kim, Y.H.; Kim, J.S.; Chae, B.J. Additional feeding during late gestation improves initial litter weight of lactating sows exposed to high ambient temperature. Rev. Bras. Zootec. 2019, 48, 1–9. [Google Scholar] [CrossRef]
- Pearodwong, P.; Muns, R.; Tummaruk, P. Prevalence of constipation and its influence on post-parturient disorders in tropical sows. Trop. Anim. Heal. Prod. 2015, 48, 525–531. [Google Scholar] [CrossRef]
- Dai, F.-J.; Chau, C.-F. Classification and regulatory perspectives of dietary fiber. J. Food Drug Anal. 2017, 25, 37–42. [Google Scholar] [CrossRef]
- Shang, Q.; Liu, S.; Liu, H.; Mahfuz, S.; Piao, X. Impact of sugar beet pulp and wheat bran on serum biochemical profile, inflammatory responses and gut microbiota in sows during late gestation and lactation. J. Anim. Sci. Biotechnol. 2021, 12, 54. [Google Scholar] [CrossRef]
- Oliviero, C.; Kothe, S.; Heinonen, M.; Valros, A.; Peltoniemi, O. Prolonged duration of farrowing is associated with subsequent decreased fertility in sows. Theriogenology 2013, 79, 1095–1099. [Google Scholar] [CrossRef]
- Guillemet, R.; Hamard, A.; Quesnel, H.; Père, M.; Etienne, M.; Dourmad, J.; Meunier-Salaün, M. Dietary fibre for gestating sows: Effects on parturition progress, behaviour, litter and sow performance. Animal 2007, 1, 872–880. [Google Scholar] [CrossRef][Green Version]
- Farmer, C. Review: Mammary development in swine: Effects of hormonal status, nutrition and management. Can. J. Anim. Sci. 2013, 93, 1–7. [Google Scholar] [CrossRef]
- Nejad, J.G.; Kim, B.; Lee, B.; Sung, K. Coat and hair color: Hair cortisol and serotonin levels in lactating Holstein cows under heat stress conditions. Anim. Sci. J. 2016, 88, 190–194. [Google Scholar] [CrossRef] [PubMed]
- Nejad, J.G.; Lohakare, J.; Son, J.; Kwon, E.; West, J.; Sung, K. Wool cortisol is a better indicator of stress than blood cortisol in ewes exposed to heat stress and water restriction. Animal 2014, 8, 128–132. [Google Scholar] [CrossRef] [PubMed]
- Nejad, J.G.; Park, K.-H.; Forghani, F.; Lee, H.-G.; Lee, J.-S.; Sung, K.-I. Measuring hair and blood cortisol in sheep and dairy cattle using RIA and ELISA assay: A comparison. Biol. Rhythm Res. 2020, 51, 887–897. [Google Scholar] [CrossRef]
- Wu, X.; Yin, S.; Cheng, C.; Xu, C.; Peng, J. Inclusion of Soluble Fiber During Gestation Regulates Gut Microbiota, Improves Bile Acid Homeostasis, and Enhances the Reproductive Performance of Sows. Front. Veter-Sci. 2021, 8, 1380. [Google Scholar] [CrossRef] [PubMed]
- Drewe, J.; Delco, F.; Kissel, T.; Beglinger, C. Effect of intravenous infusions of thiamine on the disposition kinetics of thiamine and its pyrophosphate. J. Clin. Pharm. Ther. 2003, 28, 47–51. [Google Scholar] [CrossRef] [PubMed]
- Bunik, V.; Aleshin, V. Analysis of the Protein Binding Sites for Thiamin and Its Derivatives to Elucidate the Molecular Mechanisms of the Noncoenzyme Action of Thiamin (Vitamin B1). In Studies in Natural Products Chemistry; Elsevier BV: Amsterdam, The Netherlands, 2017; Volume 53, pp. 375–429. [Google Scholar]
- Costliow, Z.A.; Degnan, P.H. Thiamine Acquisition Strategies Impact Metabolism and Competition in the Gut Microbe Bacteroides thetaiotaomicron. mSystems 2017, 2, e00116-17. [Google Scholar] [CrossRef] [PubMed]
- Hayek, A.; Djabou, M.; Mewton, N.; Bonnefoy-Cudraz, E.; Bochaton, T. Thiamine Deficiency as a Cause for Acute Circulatory Failure: An Overlooked Association in Western Countries. CJC Open 2020, 2, 716–718. [Google Scholar] [CrossRef]
- Wu, Y.; Li, Q.; Liu, J.; Liu, Y.; Xu, Y.; Zhang, R.; Yu, Y.; Wang, Y.; Yang, C. Integrating Serum Metabolome and Gut Microbiome to Evaluate the Benefits of Lauric Acid on Lipopolysaccharide-Challenged Broilers. Front. Immunol. 2021, 12, 759323. [Google Scholar] [CrossRef]
- Bhuvaneswari, R.; Nagarajan, V.; Chandiramouli, R. First-principles analysis of the detection of amine vapors using an antimonene electroresistive molecular device. J. Comput. Electron. 2019, 18, 779–790. [Google Scholar] [CrossRef]
- Beyer-Sehlmeyer, G.; Glei, M.; Hartmann, E.; Hughes, R.; Persin, C.; Böhm, V.; Schubert, R.; Jahreis, G.; Pool-Zobel, B.L. Butyrate is only one of several growth inhibitors produced during gut flora-mediated fermentation of dietary fibre sources. Br. J. Nutr. 2003, 90, 1057–1070. [Google Scholar] [CrossRef]
- Kim, J.S.; Hosseindoust, A.; Ju, I.K.; Yang, X.; Lee, S.H.; Noh, H.S.; Lee, J.H.; Chae, B.J. Effects of dietary energy levels and β-mannanase supplementation in a high mannan-based diet during lactation on reproductive performance, apparent total tract digestibility and milk composition in multiparous sows. Ital. J. Anim. Sci. 2017, 17, 128–134. [Google Scholar] [CrossRef]
- Tolhurst, G.; Heffron, H.; Lam, Y.S.; Parker, H.E.; Habib, A.M.; Diakogiannaki, E.; Cameron, J.; Grosse, J.; Reimann, F.; Gribble, F.M. Short-Chain Fatty Acids Stimulate Glucagon-Like Peptide-1 Secretion via the G-Protein-Coupled Receptor FFAR2. Diabetes 2012, 61, 364–371. [Google Scholar] [CrossRef] [PubMed]
- Zhang, S.; Tian, M.; Song, H.; Shi, K.; Wang, Y.; Guan, W. Effects of L-carnitine on reproductive performance, milk composition, placental development and IGF concentrations in blood plasma and placental chorions in sows. Arch. Anim. Nutr. 2018, 72, 261–274. [Google Scholar] [CrossRef] [PubMed]
- Shin, B.-C.; Fujikura, K.; Suzuki, T.; Tanaka, S.; Takata, K. Glucose Transporter GLUT3 in the Rat Placental Barrier: A Possible Machinery for the Transplacental Transfer of Glucose. Endocrinology 1997, 138, 3997–4004. [Google Scholar] [CrossRef]
- Crouse, M.; Caton, J.S.; McLean, K.J.; Borowicz, P.P.; Reynolds, L.P.; Dahlen, C.R.; Neville, B.W.; Ward, A.K. Rapid Communication: Isolation of glucose transporters GLUT3 and GLUT14 in bovine uteroplacental tissues from days 16 to 50 of gestation. J. Anim. Sci. 2016, 94, 4463–4469. [Google Scholar] [CrossRef]
- Hahn, T.; Barth, S.; Weiss, U.; Mosgoeller, W.; Desoye, G. Sustained hyperglycemia in vitro down-regulates the GLUT1 glucose transport system of cultured human term placental trophoblast: A mechanism to protect fetal development? FASEB J. 1998, 12, 1221–1231. [Google Scholar] [CrossRef]
- Nejad, J.G.; Sung, K.-I. Blood hormone profiles, physiological variables, and behavioral criteria in Corriedale ewes fed different TMR moisture levels during thermal-humidity exposure. Biol. Rhythm Res. 2017, 49, 382–391. [Google Scholar] [CrossRef]
- De Lange, C.F.M. New NRC (2012) Nutrient Requirements of Swine. Adv. Pork Prod. 2013, 24, 17–28. [Google Scholar]
- Association of Official Analytical Chemists. Official Methods of Analysis of AOAC International; Association of Official Analytical Chemists: Washington, DC, USA, 2007; Volume 1. [Google Scholar]
- Fenton, T.W.; Fenton, M. An Improved Procedure for the Determination of Chromic Oxide in Feed and Feces. Can. J. Anim. Sci. 1979, 59, 631–634. [Google Scholar] [CrossRef]
- Kim, W.-S.; Nejad, J.G.; Roh, S.-G.; Lee, H.-G. Heat-Shock Proteins Gene Expression in Peripheral Blood Mononuclear Cells as an Indicator of Heat Stress in Beef Calves. Animals 2020, 10, 895. [Google Scholar] [CrossRef]
- Mohammadigheisar, M.; Shirley, R.B.; Barton, J.; Welsher, A.; Thiery, P.; Kiarie, E. Growth performance and gastrointestinal responses in heavy Tom turkeys fed antibiotic free corn-soybean meal diets supplemented with multiple doses of a single strain Bacillus subtilis probiotic (DSM29784). Poult. Sci. 2019, 98, 5541–5550. [Google Scholar] [CrossRef] [PubMed]
- Hosseindoust, A.; Oh, S.; Ko, H.; Jeon, S.; Ha, S.; Jang, A.; Son, J.; Kim, G.; Kang, H.; Kim, J. Muscle Antioxidant Activity and Meat Quality Are Altered by Supplementation of Astaxanthin in Broilers Exposed to High Temperature. Antioxidants 2020, 9, 1032. [Google Scholar] [CrossRef] [PubMed]
- Gao, L.-M.; Xie, C.-Y.; Zhang, T.-Y.; Wu, X.; Yin, Y.-L. Maternal supplementation with calcium varying with feeding time daily during late pregnancy affects lipid metabolism and transport of placenta in pigs. Biochem. Biophys. Res. Commun. 2018, 505, 624–630. [Google Scholar] [CrossRef] [PubMed]








| ADF (%) | 4.3 | 5.4 | 6.5 | SEM | p-Value |
|---|---|---|---|---|---|
| BW, kg | |||||
| Day 90 | 192.22 | 190.44 | 192.33 | 1.17 | 0.775 |
| Day 112 | 206.89 | 206.11 | 205.52 | 0.91 | 0.832 |
| Weaning | 169.44 | 171.00 | 169.94 | 1.05 | 0.830 |
| Loss during Lactation | 37.45 | 35.11 | 35.58 | 0.73 | 0.376 |
| BF, mm | |||||
| Day 90 | 21.05 | 20.46 | 20.17 | 0.24 | 0.336 |
| Day 112 | 21.35 | 20.75 | 20.49 | 1.03 | 0.163 |
| Weaning | 16.24 | 16.19 | 16.14 | 0.19 | 0.982 |
| Loss during lactation | 5.11 | 4.59 | 4.35 | 4.68 | 0.456 |
| ADFI kg/d | |||||
| During lactation | 4.77 b | 5.05 ab | 5.25 a | 0.07 | 0.008 |
| Farrowing duration, h | 5.24 a | 4.92 b | 4.45 c | 0.12 | <0.001 |
| Constipation index 1 | 1.20 c | 1.80 b | 2.63 a | 0.08 | <0.001 |
| Weaning to estrus interval, day | 5.25 | 5.15 | 5.11 | 0.19 | 0.826 |
| ADF (%) | 4.3 | 5.4 | 6.5 | SEM | p-Value |
|---|---|---|---|---|---|
| Litter size | |||||
| Total born | 12.70 | 12.40 | 12.50 | 0.15 | 0.721 |
| Weaned | 10.30 | 10.20 | 10.50 | 0.21 | 0.849 |
| Mortality | 2.40 | 2.20 | 2.00 | 0.13 | 0.325 |
| Piglet weight, kg | |||||
| At birth | 1.29 | 1.31 | 1.27 | 0.04 | 0.937 |
| At weaning | 5.77 b | 5.89 ab | 5.98 a | 0.03 | 0.045 |
| Litter weight, kg | |||||
| At birth | 14.80 | 15.07 | 14.30 | 0.59 | 0.874 |
| At weaning | 56.99 b | 59.64 ab | 60.79 a | 0.65 | 0.043 |
| ADF (%) | 4.3 | 5.4 | 6.5 | SEM | p-Value |
|---|---|---|---|---|---|
| DM | 88.4 | 88.63 | 87.27 | 0.61 | 0.682 |
| GE | 89.33 | 88.37 | 87.5 | 0.59 | 0.506 |
| CP | 88.87 a | 85.57 b | 81.17 c | 1.16 | 0.001 |
| NDF | 64.07 | 64.73 | 65.37 | 0.58 | 0.714 |
| ADF | 55.27 c | 58.13 b | 60.77 a | 0.85 | 0.002 |
| ADF (%) | 4.3 | 5.4 | 6.5 | SEM | p-Value |
|---|---|---|---|---|---|
| Acetate (μmol/g) | 69.56 b | 71.68 ab | 72.67 a | 0.53 | 0.041 |
| Propionate (μmol/g) | 16.8 | 17.3 | 17.9 | 0.43 | 0.577 |
| Butyrate (μmol/g) | 7.52 | 7.41 | 7.54 | 0.06 | 0.725 |
| Total SCFAs (μmol/g) | 93.85 b | 96.40 a | 98.56 a | 0.61 | 0.003 |
| Gene | Nucleotide Sequence of Primers (5′–3′) |
|---|---|
| GLUT1 | F: GCAGGAGATGAAGGAGGAGAGC |
| R: ACGAACAGCGACACGACAGT | |
| GLUT3 | F: GCCCTGAAAGTCCTCGGTTCCT |
| R: ACACGGCGTTGATGCCAGAGA | |
| GLUT4 | F: GGCCATCGTCATTGGCATTC |
| R: GTCAGGCGCTTCAGACTCTT | |
| HSP70 | F: GCCCTGAATCCGCAGAATA |
| R: TCCCCACGGTAGGAAACG |
Publisher’s Note: MDPI stays neutral with regard to jurisdictional claims in published maps and institutional affiliations. |
© 2022 by the authors. Licensee MDPI, Basel, Switzerland. This article is an open access article distributed under the terms and conditions of the Creative Commons Attribution (CC BY) license (https://creativecommons.org/licenses/by/4.0/).
Share and Cite
Oh, S.; Hosseindoust, A.; Ha, S.; Moturi, J.; Mun, J.; Tajudeen, H.; Kim, J. Metabolic Responses of Dietary Fiber during Heat Stress: Effects on Reproductive Performance and Stress Level of Gestating Sows. Metabolites 2022, 12, 280. https://doi.org/10.3390/metabo12040280
Oh S, Hosseindoust A, Ha S, Moturi J, Mun J, Tajudeen H, Kim J. Metabolic Responses of Dietary Fiber during Heat Stress: Effects on Reproductive Performance and Stress Level of Gestating Sows. Metabolites. 2022; 12(4):280. https://doi.org/10.3390/metabo12040280
Chicago/Turabian StyleOh, SeungMin, Abdolreza Hosseindoust, SangHun Ha, Joseph Moturi, JunYoung Mun, Habeeb Tajudeen, and JinSoo Kim. 2022. "Metabolic Responses of Dietary Fiber during Heat Stress: Effects on Reproductive Performance and Stress Level of Gestating Sows" Metabolites 12, no. 4: 280. https://doi.org/10.3390/metabo12040280
APA StyleOh, S., Hosseindoust, A., Ha, S., Moturi, J., Mun, J., Tajudeen, H., & Kim, J. (2022). Metabolic Responses of Dietary Fiber during Heat Stress: Effects on Reproductive Performance and Stress Level of Gestating Sows. Metabolites, 12(4), 280. https://doi.org/10.3390/metabo12040280
