Plasma Ceramide Concentrations in Full-Term Pregnancies Complicated with Gestational Diabetes Mellitus: A Case-Control Study
Abstract
1. Introduction
2. Materials and Methods
2.1. Study Characteristics
2.2. Patients
2.3. Methods
2.4. Sample Preparation
2.5. Chemicals and Materials
2.6. LC-MS/MS Analysis
2.7. Statistical Analysis
2.8. Statistical Methods
3. Results
4. Discussion
Supplementary Materials
Author Contributions
Funding
Institutional Review Board Statement
Informed Consent Statement
Data Availability Statement
Conflicts of Interest
References
- Wang, H.; Li, N.; Chivese, T.; Werfalli, M.; Sun, H.; Yuen, L.; Hoegfeldt, C.A.; Elise Powe, C.; Immanuel, J.; Karuranga, S.; et al. IDF Diabetes Atlas: Estimation of Global and Regional Gestational Diabetes Mellitus Prevalence for 2021 by International Association of Diabetes in Pregnancy Study Group’s Criteria. Diabetes Res. Clin. Pract. 2022, 183, 109050. [Google Scholar] [CrossRef] [PubMed]
- Spaight, C.; Gross, J.; Horsch, A.; Puder, J.J. Gestational diabetes mellitus. Endocr. Dev. 2016, 31, 163–178. [Google Scholar] [CrossRef] [PubMed]
- Bosdou, J.K.; Anagnostis, P.; Goulis, D.G.; Lainas, G.T.; Tarlatzis, B.C.; Grimbizis, G.F.; Kolibianakis, E.M. Risk of gestational diabetes mellitus in women achieving singleton pregnancy spontaneously or after ART: A systematic review and meta-analysis. Hum. Reprod. Update 2020, 26, 514–544. [Google Scholar] [CrossRef] [PubMed]
- Ballas, J.; Moore, T.R.; Ramos, G.A. Management of diabetes in pregnancy. Curr. Diabetes Rep. 2012, 12, 33–42. [Google Scholar] [CrossRef] [PubMed]
- Wilmot, E.G.; Mansell, P. Diabetes and pregnancy. Clin. Med. 2014, 14, 677–680. [Google Scholar] [CrossRef]
- Pandey, S.; Murphy, R.F.; Agrawal, D.K. Recent advances in the immunobiology of ceramide. Exp. Mol. Pathol. 2007, 82, 298–309. [Google Scholar] [CrossRef] [PubMed]
- Górska, M.; Dobrzyń, A.; Zendzian-Piotrowska, M.; Namiot, Z. Concentration and composition of free ceramides in human plasma. Horm. Metab. Res. 2002, 34, 466–468. [Google Scholar] [CrossRef]
- Mantovani, A.; Dugo, C. Ceramides and risk of major adverse cardiovascular events: A meta-analysis of longitudinal studies. J. Clin. Lipidol. 2020, 14, 176–185. [Google Scholar] [CrossRef]
- Neeland, I.J.; Singh, S.; McGuire, D.K.; Vega, G.L.; Roddy, T.; Reilly, D.F.; Castro-Perez, J.; Kozlitina, J.; Scherer, P.E. Relation of plasma ceramides to visceral adiposity, insulin resistance and the development of type 2 diabetes mellitus: The Dallas Heart Study. Diabetologia 2018, 61, 2570–2579. [Google Scholar] [CrossRef] [PubMed]
- Wigger, L.; Cruciani-Guglielmacci, C.; Nicolas, A.; Denom, J.; Fernandez, N.; Fumeron, F.; Marques-Vidal, P.; Ktorza, A.; Kramer, W.; Schulte, A.; et al. Plasma Dihydroceramides Are Diabetes Susceptibility Biomarker Candidates in Mice and Humans. Cell Rep. 2017, 18, 2269–2279. [Google Scholar] [CrossRef] [PubMed]
- Dobierzewska, A.; Soman, S.; Illanes, S.E.; Morris, A.J. Plasma cross-gestational sphingolipidomic analyses reveal potential first trimester biomarkers of preeclampsia. PLoS ONE 2017, 12, e0175118. [Google Scholar] [CrossRef] [PubMed]
- Morillon, A.C.; Yakkundi, S.; Thomas, G.; Gethings, L.A.; Langridge, J.I.; Baker, P.N.; Kenny, L.C.; English, J.A.; McCarthy, F.P. Association between phospholipid metabolism in plasma and spontaneous preterm birth: A discovery lipidomic analysis in the cork pregnancy cohort. Metabolomics 2020, 16, 19. [Google Scholar] [CrossRef] [PubMed]
- Mejia, J.F.; Hirschi, K.M.; Tsai, K.Y.F.; Long, M.G.; Tullis, B.C.; Bitter, E.E.K.; Bikman, B.T.; Reynolds, P.R.; Arroyo, J.A. Differential placental ceramide levels during gestational diabetes mellitus (GDM). Reprod. Biol. Endocrinol. 2019, 17, 81. [Google Scholar] [CrossRef] [PubMed]
- Metzger, B.E. International Association of Diabetes and Pregnancy Study Groups recommendations on the diagnosis and classification of hyperglycemia in pregnancy. Diabetes Care 2010, 33, 676–682. [Google Scholar] [CrossRef] [PubMed]
- Begou, O.A.; Deda, O.; Karagiannidis, E.; Sianos, G.; Theodoridis, G.; Gika, H.G. Development and validation of a RPLC-MS/MS method for the quantification of ceramides in human serum. J. Chromatogr. B Anal. Technol. Biomed. Life Sci. 2021, 1175, 122734. [Google Scholar] [CrossRef] [PubMed]
- Liu, J.; Li, J.; Yang, K.; Leng, J.; Li, W.; Yang, W.; Huo, X.; Yu, Z.; Ma, R.C.W.; Hu, G.; et al. Ceramides and their interactive effects with trimethylamine-N-oxide metabolites on risk of gestational diabetes: A nested case-control study. Diabetes Res. Clin. Pract. 2021, 171, 108606. [Google Scholar] [CrossRef] [PubMed]
- Wang, Y.; Huang, Y.; Wu, P.; Ye, Y.; Sun, F.; Yang, X.; Lu, Q.; Yuan, J.; Liu, Y.; Zeng, H.; et al. Plasma lipidomics in early pregnancy and risk of gestational diabetes mellitus: A prospective nested case-control study in Chinese women. Am. J. Clin. Nutr. 2021, 114, 1763–1773. [Google Scholar] [CrossRef] [PubMed]
- Juchnicka, I.; Kuźmicki, M.; Zabielski, P.; Krętowski, A.; Błachnio-Zabielska, A.; Szamatowicz, J. Serum C18:1-Cer as a Potential Biomarker for Early Detection of Gestational Diabetes. J. Clin. Med. 2022, 11, 384. [Google Scholar] [CrossRef]
- Plows, J.F.; Stanley, J.L.; Baker, P.N.; Reynolds, C.M.; Vickers, M.H. The Pathophysiology of Gestational Diabetes Mellitus. Int. J. Mol. Sci. 2018, 19, 3342. [Google Scholar] [CrossRef]
- Haus, J.M.; Kashyap, S.R.; Kasumov, T.; Zhang, R.; Kelly, K.R.; Defronzo, R.A.; Kirwan, J.P. Plasma ceramides are elevated in obese subjects with type 2 diabetes and correlate with the severity of insulin resistance. Diabetes 2009, 58, 337–343. [Google Scholar] [CrossRef]
- Leishman, E.; Kunkler, P.E.; Hurley, J.H.; Miller, S.; Bradshaw, H.B. Bioactive Lipids in Cancer, Inflammation and Related Diseases: Acute and Chronic Mild Traumatic Brain Injury Differentially Changes Levels of Bioactive Lipids in the CNS Associated with Headache. Adv. Exp. Med. Biol. 2019, 1161, 193–217. [Google Scholar] [PubMed]
- Blachnio-Zabielska, A.U.; Koutsari, C.; Tchkonia, T.; Jensen, M.D. Sphingolipid content of human adipose tissue: Relationship to adiponectin and insulin resistance. Obesity 2012, 20, 2341–2347. [Google Scholar] [CrossRef] [PubMed]
- Blachnio-Zabielska, A.U.; Hady, H.R.; Markowski, A.R.; Kurianiuk, A.; Karwowska, A.; Górski, J.; Zabielski, P. Inhibition of Ceramide De Novo Synthesis Affects Adipocytokine Secretion and Improves Systemic and Adipose Tissue Insulin Sensitivity. Int. J. Mol. Sci. 2018, 19, 3995. [Google Scholar] [CrossRef] [PubMed]
- Fretts, A.M.; Jensen, P.N.; Hoofnagle, A.; McKnight, B.; Howard, B.V.; Umans, J.; Yu, C.; Sitlani, C.; Siscovick, D.S.; King, I.B.; et al. Plasma Ceramide Species Are Associated with Diabetes Risk in Participants of the Strong Heart Study. J. Nutr. 2020, 150, 1214–1222. [Google Scholar] [CrossRef]
- Lemaitre, R.N.; Yu, C.; Hoofnagle, A.; Hari, N.; Jensen, P.; Fretts, A.M.; Umans, J.G.; Howard, B.V.; Sitlani, C.M.; Siscovick, D.S.; et al. Circulating sphingolipids, insulin, HOMA-IR and HOMA-B: The Strong Heart Family Study Running title: Sphingolipids and insulin resistance markers. Diabetes 2018, 67, 1663–1672. [Google Scholar] [CrossRef]
- Raichur, S.; Brunner, B.; Bielohuby, M.; Hansen, G.; Pfenninger, A.; Wang, B.; Bruning, J.C.; Larsen, P.J.; Tennagels, N. The role of C16:0 ceramide in the development of obesity and type 2 diabetes: CerS6 inhibition as a novel therapeutic approach. Mol. Metab. 2019, 21, 36–50. [Google Scholar] [CrossRef] [PubMed]
- Charkiewicz, K.; Blachnio-Zabielska, A.; Zbucka-Kretowska, M.; Wolczynski, S.; Laudanski, P. Maternal plasma and amniotic fluid sphingolipids profiling in fetal down syndrome. PLoS ONE 2015, 10, e012773. [Google Scholar] [CrossRef]
- Amraoui, F.; Hassani Lahsinoui, H.; Spijkers, L.J.A.; Vogt, L.; Peters, S.L.M.; Wijesinghe, D.S.; Warncke, U.O.; Chalfant, C.E.; Ris-Stalpers, C.; van den Born, B.J.H.; et al. Plasma ceramide is increased and associated with proteinuria in women with pre-eclampsia and HELLP syndrome. Pregnancy Hypertens. 2020, 19, 100–105. [Google Scholar] [CrossRef]
- Del Gaudio, I.; Sasset, L.; Di Lorenzo, A.; Wadsack, C. Sphingolipid signature of human feto-placental vasculature in preeclampsia. Int. J. Mol. Sci. 2020, 21, 1019. [Google Scholar] [CrossRef]
- Gaggini, M.; Ndreu, R.; Michelucci, E.; Rocchiccioli, S. Ceramides as Mediators of Oxidative Stress and Inflammation in Cardiometabolic Disease. Int. J. Mol. Sci. 2022, 23, 2719. [Google Scholar] [CrossRef]
- Gaggini, M.; Pingitore, A.; Vassalle, C. Plasma ceramides pathophysiology, measurements, challenges, and opportunities. Metabolites 2021, 11, 719. [Google Scholar] [CrossRef] [PubMed]
- Melland-Smith, M.; Ermini, L.; Chauvin, S.; Craig-Barnes, H.; Tagliaferro, A.; Todros, T.; Post, M.; Caniggia, I. Disruption of sphingolipid metabolism augments ceramide-induced autophagy in preeclampsia. Autophagy 2015, 11, 653–669. [Google Scholar] [CrossRef] [PubMed]
- Laudanski, P.; Charkiewicz, K.; Kisielewski, R.; Kuc, P.; Koc-Zorawska, E.; Raba, G.; Kraczkowski, J.; Dymicka-Piekarska, V.; Chabowski, A.; Kacerovsky, M.; et al. Plasma C16-Cer levels are increased in patients with preterm labor. Prostaglandins Other Lipid Mediat. 2016, 123, 40–45. [Google Scholar] [CrossRef] [PubMed]
- Rico, J.E.; Specker, B.; Perry, C.A.; McFadden, J.W. Plasma Ceramides and Triglycerides Are Elevated during Pregnancy in Association with Markers of Insulin Resistance in Hutterite Women. Lipids 2020, 55, 375–386. [Google Scholar] [CrossRef] [PubMed]


| GDM Group (n = 29) | Control Group (n = 63) | p-Value | |
|---|---|---|---|
| Maternal age (years) | 33.0 ± 4.5 | 30.0 ± 6.6 | 0.029 |
| Gestational age (weeks) | 37.9 ± 2.5 | 38.3 ± 1.1 | 0.288 |
| Weight (kg) Pregestational BMI (kg/m2) | 84.0 ± 16.0 26.7 ± 3.2 | 79.9 ± 13.2 23.9 ± 2.2 | 0.204 <0.001 |
| Term BMI (kg/m2) | 31.0 ± 4.1 | 29.6 ± 4.0 | 0.187 |
| Gestational weight gain (kg) Neonatal birth weight (gr) | 10.5 ± 5.8 3162 ± 761 | 15.3 ± 5.5 3190 ± 387 | <0.001 0.815 |
| Route of delivery | |||
| Vaginal | 12 (41.4%) | 33 (52.4%) | 0.327 |
| Cesarian section | 17 (58.6%) | 30 (47.6%) | |
| Delivery indication | |||
| Spontaneous delivery | 17 (58.6%) | 34 (54.0%) | 0.774 |
| Previous cesarian section | 9 (31.0%) | 19 (30.2%) | |
| Other obstetrical indication | 3 (10.3%) | 10 (15.9%) | |
| Medication | |||
| None | 0 | 63 (100%) | <0.001 |
| Diet | 17 (58.6%) | 0 | |
| Insulin | 12 (41.4%) | 0 | |
| Smoking | |||
| Smokers | 6 (20.7%) | 11 (17.5%) | 0.711 |
| Non-smokers | 23 (79.3%) | 52 (82.5%) | |
| ICU hospitalization of neonates | |||
| Yes | 2 (6.9%) | 1 (1.6%) | 0.183 |
| No | 27 (93.1%) | 62 (98.4%) |
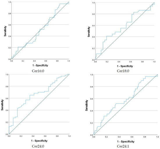
| Ceramides (ng/mL) | GDM Group (n = 29) | Control Group (n = 63) | p-Value |
|---|---|---|---|
| Cer16:0 | 513 ± 226 | 489 ± 148 | 0.557 |
| Cer18:0 | 224 ± 121 | 192 ± 84 | 0.149 |
| Cer24:0 | 5032 ± 1487 | 6224 ± 2223 | 0.010 |
| Cer24:1 | 3053 ± 1317 | 2673 ± 978 | 0.125 |
| Cer16:0 | Cer18:0 | Cer24:0 | Cer24:1 | |
|---|---|---|---|---|
| Maternal parameters | ||||
| Age (years) | 0.082 | 0.090 | 0.090 | 0.124 |
| Weight (kg) | −0.025 | 0.005 | −0.015 | −0.095 |
| Term ΒΜΙ (kg/m2) | 0.097 | 0.079 | 0.124 | 0.077 |
| Smoking | −0.061 | 0.034 | 0.025 | 0.059 |
| Medications | 0.029 | 0.139 | −0.247 | 0.169 |
| Delivery parameters | ||||
| Gestational age (weeks) | −0.008 | −0.101 | 0.116 | −0.069 |
| Delivery mode | 0.046 | 0.028 | −0.086 | 0.130 |
| Delivery indication | −0.018 | 0.055 | −0.218 | −0.152 |
| Neonatal parameters | ||||
| Birthweight (g) | 0.016 | −0.065 | 0.089 | −0.102 |
| Apgar score at 1 min | −0.202 | −0.259 | −0.037 | −0.014 |
| Apgar score at 5 min | −0.261 | −0.320 | −0.009 | 0.010 |
| Blood pressure | ||||
| SBP (mm Hg) | 0.092 | 0.054 | −0.008 | 0.104 |
| DBP (mm Hg) | 0.105 | 0.090 | 0.080 | 0.036 |
| Biochemistry | ||||
| Creatinine (mg/dL) | 0.066 | 0.043 | −0.119 | 0.095 |
| Urea (mg/dL) | −0.042 | 0.013 | −0.199 | 0.011 |
| SGOT (IU/L) | 0.263 | 0.376 | −0.062 | 0.045 |
| SGPT (IU/L) | 0.182 | 0.331 | −0.111 | −0.011 |
| Uric acid (mg/dL) | 0.174 | 0.151 | −0.129 | 0.079 |
| Platelets (103/mL) | 0.047 | 0.080 | 0.057 | 0.006 |
Publisher’s Note: MDPI stays neutral with regard to jurisdictional claims in published maps and institutional affiliations. |
© 2022 by the authors. Licensee MDPI, Basel, Switzerland. This article is an open access article distributed under the terms and conditions of the Creative Commons Attribution (CC BY) license (https://creativecommons.org/licenses/by/4.0/).
Share and Cite
Lantzanaki, M.; Veneti, S.; Mintziori, G.; Begou, O.; Pappas, P.D.; Gika, H.; Goulis, D.G.; Bili, H.; Taousani, E.; Vavilis, D. Plasma Ceramide Concentrations in Full-Term Pregnancies Complicated with Gestational Diabetes Mellitus: A Case-Control Study. Metabolites 2022, 12, 1123. https://doi.org/10.3390/metabo12111123
Lantzanaki M, Veneti S, Mintziori G, Begou O, Pappas PD, Gika H, Goulis DG, Bili H, Taousani E, Vavilis D. Plasma Ceramide Concentrations in Full-Term Pregnancies Complicated with Gestational Diabetes Mellitus: A Case-Control Study. Metabolites. 2022; 12(11):1123. https://doi.org/10.3390/metabo12111123
Chicago/Turabian StyleLantzanaki, Maria, Stavroula Veneti, Gesthimani Mintziori, Olga Begou, Panagiotis D. Pappas, Helen Gika, Dimitrios G. Goulis, Helen Bili, Eleftheria Taousani, and Dimitrios Vavilis. 2022. "Plasma Ceramide Concentrations in Full-Term Pregnancies Complicated with Gestational Diabetes Mellitus: A Case-Control Study" Metabolites 12, no. 11: 1123. https://doi.org/10.3390/metabo12111123
APA StyleLantzanaki, M., Veneti, S., Mintziori, G., Begou, O., Pappas, P. D., Gika, H., Goulis, D. G., Bili, H., Taousani, E., & Vavilis, D. (2022). Plasma Ceramide Concentrations in Full-Term Pregnancies Complicated with Gestational Diabetes Mellitus: A Case-Control Study. Metabolites, 12(11), 1123. https://doi.org/10.3390/metabo12111123

