Tailored Polymer-Based Selective Extraction of Lipid Mediators from Biological Samples
Abstract
:1. Introduction
2. Results and Discussion
2.1. MIP Synthesis and Characterization
2.2. Successful Imprinting in MIP
2.3. Enrichment of Prostaglandins: Recovery Studies
2.4. Enrichment of Lipid Mediators: Optimization of the SPE Procedure
2.5. Comparison between MIP/NIP and Strata-X for the SPE-Based Enrichment of Lipid Mediators
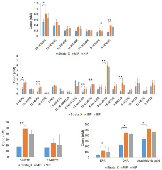
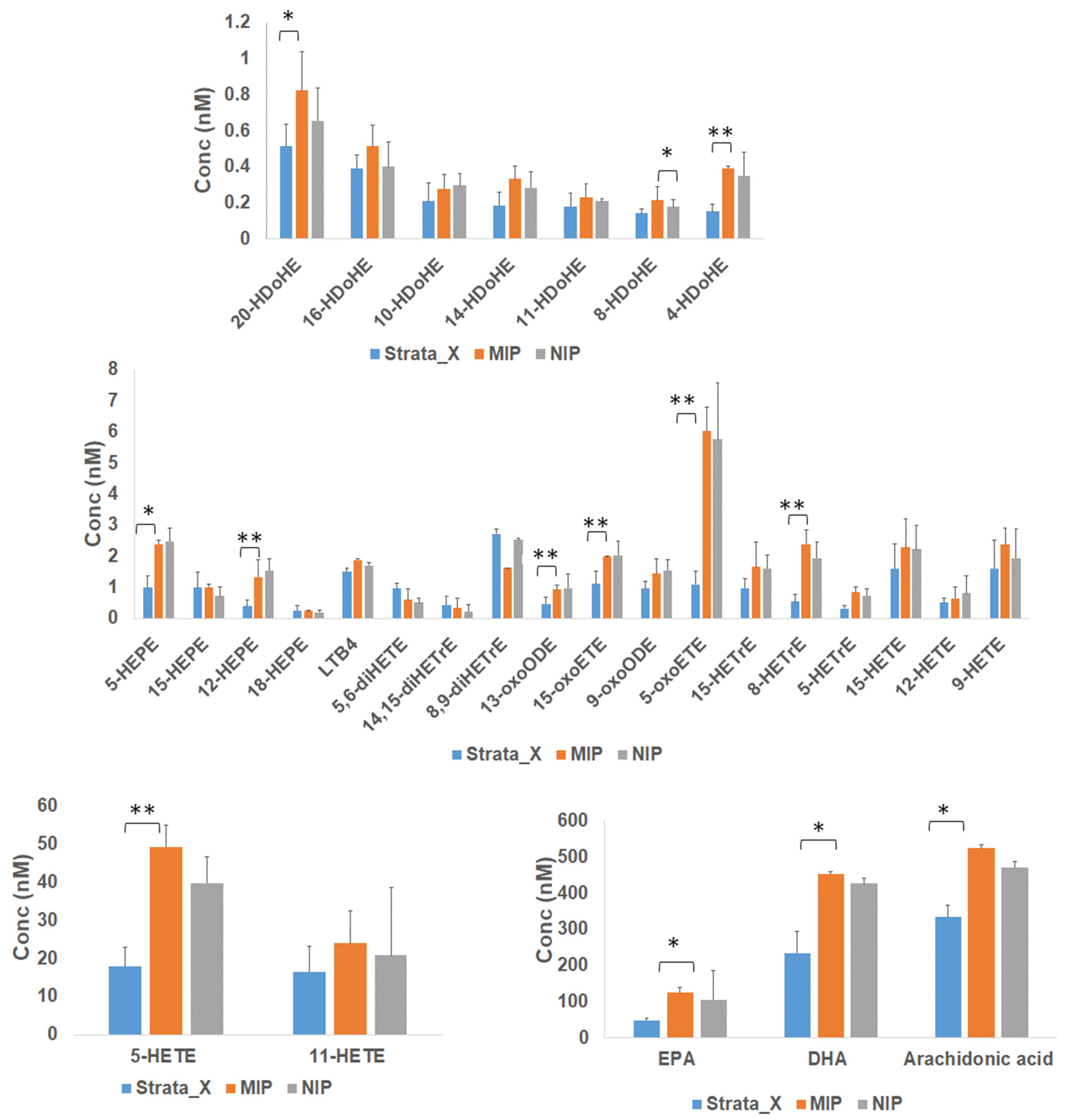
2.5.1. Enrichment of Lipids in Human Plasma
2.5.2. Enrichment of Lipids from Mouse Tissues
3. Materials and Methods
3.1. Reagents
3.2. Polymer Synthesis
3.3. Preliminary SPE Experiments Using Synthetic Prostaglandins
3.4. SPE Procedure for Analyzing Lipid Mediators
3.5. Liquid Chromatography–Mass Spectrometry (LCMS) Procedure for Analyzing Lipid Mediators
3.6. Statistical Analysis
4. Conclusions
Supplementary Materials
Author Contributions
Funding
Institutional Review Board Statement
Informed Consent Statement
Data Availability Statement
Acknowledgements
Conflicts of Interest
References
- Buczynski, M.W.; Dumlao, D.S.; Dennis, E.A. Thematic Review Series: Proteomics. An integrated omics analysis of eicosanoid biology. J. Lipid Res. 2009, 50, 1015–1038. [Google Scholar] [CrossRef] [Green Version]
- Guichardant, M.; Calzada, C.; Bernoud-Hubac, N.; Lagarde, M.; Véricel, E. Omega-3 polyunsaturated fatty acids and oxygenated metabolism in atherothrombosis. Biochim. Biophys. Acta 2015, 1851, 485–495. [Google Scholar] [CrossRef]
- Barden, A.E.; Croft, K.; Beilin, L.J.; Phillips, M.; Ledowski, T.; Puddey, I.B. Acute effects of red wine on cytochrome P450 eicosanoids and blood pressure in men. J. Hypertens. 2013, 31, 2195–2202. [Google Scholar] [CrossRef] [PubMed] [Green Version]
- Smith, D.L.; Willis, A.L.; Mahmud, I. Eicosanoid effects on cell proliferation in vitro: Relevance to atherosclerosis. Prostaglandins Leukot. Med. 1984, 16, 1–10. [Google Scholar] [CrossRef]
- Lawrence, T.; Willoughby, D.A.; Gilroy, D. Anti-inflammatory lipid mediators and insights into the resolution of inflammation. Nat. Rev. Immunol. 2002, 2, 787–795. [Google Scholar] [CrossRef] [PubMed]
- Harkewicz, R.; Dennis, E.A. Applications of Mass Spectrometry to Lipids and Membranes. Annu. Rev. Biochem. 2011, 80, 301–325. [Google Scholar] [CrossRef] [Green Version]
- Dumlao, D.S.; Buczynski, M.W.; Norris, P.; Harkewicz, R.; Dennis, E.A. High-throughput lipidomic analysis of fatty acid derived eicosanoids and N-acylethanolamines. Biochim. Biophys. Acta 2011, 1811, 724–736. [Google Scholar] [CrossRef] [Green Version]
- Powell, W. Rapid extraction of oxygenated metabolites of arachidonic acid from biological samples using octadecylsilyl silica. Prostaglandins 1980, 20, 947–957. [Google Scholar] [CrossRef]
- Liakh, I.; Pakiet, A.; Sledzinski, T.; Mika, A. Modern Methods of Sample Preparation for the Analysis of Lipid mediators in Biological Samples. Molecules 2019, 24, 1639. [Google Scholar] [CrossRef] [Green Version]
- Alexovič, M.; Dotsikas, Y.; Bober, P.; Sabo, J. Achievements in robotic automation of solvent extraction and related approaches for bioanalysis of pharmaceuticals. J. Chromatogr. B 2018, 1092, 402–421. [Google Scholar] [CrossRef]
- Marrubini, G.; Dugheri, S.; Cappelli, G.; Arcangeli, G.; Mucci, N.; Appelblad, P.; Melzi, C.; Speltini, A. Experimental designs for solid-phase microextraction method development in bioanalysis: A review. Anal. Chim. Acta 2020, 1119, 77–100. [Google Scholar] [CrossRef]
- Strassburg, K.; Huijbrechts, A.M.L.; Kortekaas, K.A.; Lindeman, J.H.; Pedersen, T.L.; Dane, A.; Berger, R.; Brenkman, A.; Hankemeier, T.; van Duynhoven, J.; et al. Quantitative profiling of lipid mediators through comprehensive LC-MS/MS analysis: Application in cardiac surgery. Anal. Bioanal. Chem. 2012, 404, 1413–1426. [Google Scholar] [CrossRef] [Green Version]
- Ramström, O.; Mosbach, K. Synthesis and catalysis by molecularly imprinted materials. Curr. Opin. Chem. Biol. 1999, 3, 759–764. [Google Scholar] [CrossRef]
- Whitcombe, M.; Kirsch, N.; Nicholls, I.A. Molecular imprinting science and technology: A survey of the literature for the years 2004–2011. J. Mol. Recognit. 2014, 27, 297–401. [Google Scholar] [CrossRef] [PubMed] [Green Version]
- Chen, L.; Wang, X.; Lu, W.; Wu, X.; Li, J. Molecular imprinting: Perspectives and applications. Chem. Soc. Rev. 2016, 45, 2137–2211. [Google Scholar] [CrossRef]
- Sellergren, B.; Hall, A.J. Molecularly Imprinted Polymers. In Perspectives in Supramolecular Chemistry; Wiley: Hoboken, NJ, USA, 2012. [Google Scholar]
- Dahl, S.R.; Kleiveland, C.R.; Kassem, M.; Lea, T.; Lundanes, E.; Greibrokk, T. Detecting pM concentrations of prostaglandins in cell culture supernatants by capillary SCX-LC-MS/MS. J. Sep. Sci. 2008, 31, 2627–2633. [Google Scholar] [CrossRef] [PubMed]
- Sellergren, B.; Esteban, A.M. The Use of Molecularly Imprinted Polymers for Sampling and Sample Preparation. In Handbook of Sample Preparation; Wiley: Hoboken, NJ, USA, 2012; pp. 445–473. [Google Scholar]
- I Andersson, L. Molecular imprinting: Developments and applications in the analytical chemistry field. J. Chromatogr. B Biomed. Sci. Appl. 2000, 745, 3–13. [Google Scholar] [CrossRef]
- Zhang, Y.; Zhou, W.-E.; Yan, J.-Q.; Liu, M.; Zhou, Y.; Shen, X.; Ma, Y.-L.; Feng, X.-S.; Yang, J.; Li, G.-H. A Review of the Extraction and Determination Methods of Thirteen Essential Vitamins to the Human Body: An Update from 2010. Molecules 2018, 23, 1484. [Google Scholar] [CrossRef] [Green Version]
- Gomolka, B.; Siegert, E.; Blossey, K.; Schunck, W.-H.; Rothe, M.; Weylandt, K.H. Analysis of omega-3 and omega-6 fatty acid-derived lipid metabolite formation in human and mouse blood samples. Prostaglandins Other Lipid Mediat. 2011, 94, 81–87. [Google Scholar] [CrossRef] [PubMed]
- Tsikas, D.; Zoerner, A.A. Analysis of eicosanoids by LC-MS/MS and GC-MS/MS: A historical retrospect and a discussion. J. Chromatogr. B 2014, 964, 79–88. [Google Scholar] [CrossRef]
- Wang, Y.; Armando, A.M.; Quehenberger, O.; Yan, C.; Dennis, E.A. Comprehensive ultra-performance liquid chromatographic separation and mass spectrometric analysis of eicosanoid metabolites in human samples. J. Chromatogr. B Analyt. Technol. Biomed. Life Sci. 2014, 964, 79–88. [Google Scholar] [CrossRef] [PubMed]
- Pichon, V. Selective sample treatment using molecularly imprinted polymers. J. Chromatogr. A 2007, 1152, 41–53. [Google Scholar] [CrossRef] [PubMed]
- Poma, A.; Guerreiro, A.; Whitcombe, M.J.; Piletska, E.; Turner, A.; Piletsky, S.A. Solid-Phase Synthesis of Molecularly Imprinted Polymer Nanoparticles with a Reusable Template-“Plastic Antibodies”. Adv. Funct. Mater. 2013, 23, 2821–2827. [Google Scholar] [CrossRef] [Green Version]
- Ambaw, Y.A.; Chao, C.; Ji, S.; Raida, M.; Torta, F.; Wenk, M.R.; Tong, L. Tear eicosanoids in healthy people and ocular surface disease. Sci. Rep. 2018, 8, 1–12. [Google Scholar] [CrossRef] [PubMed]
- Choi, J.R. Progress in Molecularly Imprinted Polymers for Biomedical Applications. Comb. Chem. High Throughput Screen. 2019, 22, 78–88. [Google Scholar] [CrossRef] [PubMed]
- Arabi, M.; Ostovan, A.; Ghaedi, M.; Purkait, M.K. Novel strategy for synthesis of magnetic dummy molecularly imprinted nanoparticles based on functionalized silica as an efficient sorbent for the determination of acrylamide in potato chips: Optimization by experimental design methodology. Talanta 2016, 154, 526–532. [Google Scholar] [CrossRef]
- Lu, W.; Liu, J.; Li, J.; Wang, X.; Lv, M.; Cui, R.; Chen, L. Dual-template molecularly imprinted polymers for dispersive solid-phase extraction of fluoroquinolones in water samples coupled with high performance liquid chromatography. Analyst 2019, 144, 1292–1302. [Google Scholar] [CrossRef]
- Sterz, K.; Scherer, G.; Ecker, J. A simple and robust UPLC-SRM/MS method to quantify urinary eicosanoids. J. Lipid Res. 2012, 53, 1026–1036. [Google Scholar] [CrossRef] [Green Version]
- Buczynski, M.W.; Stephens, D.L.; Bowers-Gentry, R.C.; Grkovich, A.; Deems, R.A.; A Dennis, E. TLR-4 and Sustained Calcium Agonists Synergistically Produce Eicosanoids Independent of Protein Synthesis in RAW264.7 Cells. J. Biol. Chem. 2007, 282, 22834–22847. [Google Scholar] [CrossRef] [Green Version]
- Lee, J.W.; Mok, H.J.; Lee, D.-Y.; Park, S.C.; Ban, M.S.; Choi, J.; Park, C.G.; Ahn, Y.-S.; Kim, K.P.; Kim, H.D. UPLC-MS/MS-Based Profiling of Eicosanoids in RAW264.7 Cells Treated with Lipopolysaccharide. Int. J. Mol. Sci. 2016, 17, 508. [Google Scholar] [CrossRef] [PubMed] [Green Version]
- Chen, Y. Molecular Imprinted Molecules for the Determination of Prostaglandins. Master’s Thesis, University of Oslo, Oslo, Norway, 2008. [Google Scholar]
- Ambaw, Y.A.; Fuchs, D.; Raida, M.; Mazengia, N.T.; Torta, F.; Wheelock, C.E.; Wenk, M.R.; Tong, L. Changes of tear lipid mediators after eyelid warming or thermopulsation treatment for meibomian gland dysfunction. Prostaglandins Other Lipid Mediat. 2020, 151, 106474. [Google Scholar] [CrossRef] [PubMed]
- Ambaw, Y.A.; Timbadia, D.P.; Raida, M.; Torta, F.; Wenk, M.R.; Tong, L. Profile of tear lipid mediator as a biomarker of inflammation for meibomian gland dysfunction and ocular surface diseases: Standard operating procedures. Ocul. Surf. 2020. [Google Scholar] [CrossRef]
- Ambaw, Y.A.; Wong, T.; Chong, R.; Ah, H.; Ji, S.; Raida, M.; Torta, F.; Wenk, M.R.; Tong, L. Change of tear lipid mediators in a post-trabeculectomy cohort. Ocul. Surf. 2020, 18, 565–574. [Google Scholar] [CrossRef]
- Li, Q.; Shinde, S.; Grasso, G.; Caroli, A.; Hany, R.A.; Lanzillotta, M.; Pan, G.; Wan, W.; Rurack, K.; Sellergren, B. Selective detection of phospholipids using molecularly imprinted fluorescent sensory core-shell particles. Sci. Rep. 2020, 10, 9924. [Google Scholar] [CrossRef] [PubMed]
- Narayanaswamy, P.; Shinde, S.; Sulc, R.; Kraut, R.; Staples, G.; Thiam, C.H.; Grimm, R.; Sellergren, B.; Torta, F.; Wenk, M.R. Lipidomic “Deep Profiling”: An Enhanced Workflow to Reveal New Molecular Species of Signaling Lipids. Anal. Chem. 2014, 86, 3043–3047. [Google Scholar] [CrossRef] [PubMed]
- Wiley, C.D.; Sharma, R.; Davis, S.S.; Lopez-Dominguez, J.A.; Mitchell, K.P.; Wiley, S.; Alimirah, F.; Kim, D.E.; Payne, T.; Rosko, A.; et al. Oxylipin biosynthesis reinforces cellular senescence and allows detection of senolysis. Cell Metab. 2021, 33, 1124–1136. [Google Scholar] [CrossRef]







Publisher’s Note: MDPI stays neutral with regard to jurisdictional claims in published maps and institutional affiliations. |
© 2021 by the authors. Licensee MDPI, Basel, Switzerland. This article is an open access article distributed under the terms and conditions of the Creative Commons Attribution (CC BY) license (https://creativecommons.org/licenses/by/4.0/).
Share and Cite
Ambaw, Y.A.; Dahl, S.R.; Chen, Y.; Greibrokk, T.; Lundanes, E.; Lazraq, I.; Shinde, S.; Selvalatchmanan, J.; Wenk, M.R.; Sellergren, B.; et al. Tailored Polymer-Based Selective Extraction of Lipid Mediators from Biological Samples. Metabolites 2021, 11, 539. https://doi.org/10.3390/metabo11080539
Ambaw YA, Dahl SR, Chen Y, Greibrokk T, Lundanes E, Lazraq I, Shinde S, Selvalatchmanan J, Wenk MR, Sellergren B, et al. Tailored Polymer-Based Selective Extraction of Lipid Mediators from Biological Samples. Metabolites. 2021; 11(8):539. https://doi.org/10.3390/metabo11080539
Chicago/Turabian StyleAmbaw, Yohannes Abere, Sandra Rinne Dahl, Yan Chen, Tyge Greibrokk, Elsa Lundanes, Issam Lazraq, Sudhirkumar Shinde, Jayashree Selvalatchmanan, Markus R. Wenk, Börje Sellergren, and et al. 2021. "Tailored Polymer-Based Selective Extraction of Lipid Mediators from Biological Samples" Metabolites 11, no. 8: 539. https://doi.org/10.3390/metabo11080539
APA StyleAmbaw, Y. A., Dahl, S. R., Chen, Y., Greibrokk, T., Lundanes, E., Lazraq, I., Shinde, S., Selvalatchmanan, J., Wenk, M. R., Sellergren, B., & Torta, F. (2021). Tailored Polymer-Based Selective Extraction of Lipid Mediators from Biological Samples. Metabolites, 11(8), 539. https://doi.org/10.3390/metabo11080539

