E-Commerce Customers Behavior Research Using Cohort Analysis: A Case Study of COVID-19
Abstract
:1. Introduction
- Development of intelligent systems and data warehouses for Big Data analysis automation;
- Products/services recommendation;
- Forecasting market trends;
- Business operations frameworks to meet the needs of business and consumers.
2. Related Work
- Daily content updates with the latest studies in the examined topic;
- Variety of researches on e-commerce and customer behavior;
- Research papers coverage, including e-commerce and customer behavior studies is broader and more accurate than the one of the competitors [20].
- User-friendly tool for research analytics;
- Automatic generation of statistics on the search results.
3. Materials and Methods
- Statistical and descriptive analysis of Web users’ e-commerce awareness;
- Time-series and cohort analysis;
- Correlation analysis of e-commerce aspects;
- Statistical hypothesis testing to study the difference between representatives of various e-commerce awareness levels and their perception of various e-business aspects from a customer point of view;
- Gender distribution and e-commerce awareness and loyalty levels;
- The dynamics and level of multifunctional IT solutions and business informatics usage;
- A qualitative and quantitative review of the target audience;
- Observation of the formed cohorts’ e-commerce customers.
4. Results
4.1. An Introduction to Exploratory Data Analysis
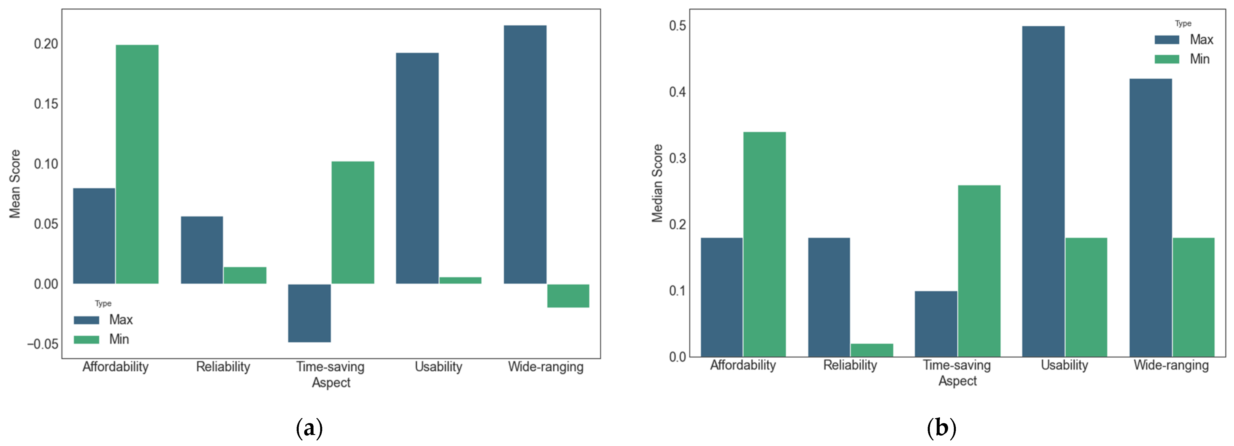
4.2. Research of E-Commerce Aspects Customer Experience and Importance
4.3. Reliability Aspect Hypothesis Test and Deep Dive
4.4. US E-Commerce Records Cohort Analysis
- What is the customers’ retention percentage?
- What month has the most interactions between users and the e-commerce platform?
- Does a specific cohort month have an impact on the retention rate? Is it related to any technical changes on the platform/promotions/business events?
- At what index the customer retention starts increasing/decreasing?
- What retention rate can we expect in the near future based on the current trend?
5. Discussion
6. Conclusions
- Technical and/or business aspects that need improvements;
- Customer perception of e-business;
- User satisfaction/dissatisfaction;
- Observability of the customer journey and infrastructure performance.
Author Contributions
Funding
Institutional Review Board Statement
Informed Consent Statement
Data Availability Statement
Acknowledgments
Conflicts of Interest
References
- Sirimanne, S.N. COVID-19 and E-Commerce: A Global Review. UNCTAD and eTrade Global Review. 2021. Available online: https://unctad.org/system/files/official-document/dtlstict2020d13_en_0.pdf (accessed on 15 October 2021).
- Fedushko, S.; Ustyianovych, T.; Syerov, Y.; Peracek, T. User-Engagement Score and SLIs/SLOs/SLAs Measurements Correlation of E-Business Projects Through Big Data Analysis. Appl. Sci. 2020, 10, 9112. [Google Scholar] [CrossRef]
- OECD Policy Responses to Coronavirus (COVID-19). E-Commerce in the Time of COVID-19. 2020. Available online: https://read.oecd-ilibrary.org/view/?ref=137_137212-t0fjgnerdb&title=E-commerce-in-the-time-of-COVID-19 (accessed on 15 October 2021).
- Zhao, Y.; Bacao, F. How Does Gender Moderate Customer Intention of Shopping via Live-Streaming Apps during the COVID-19 Pandemic Lockdown Period? Int. J. Environ. Res. Public Health 2021, 18, 13004. [Google Scholar] [CrossRef]
- Hermes, A.; Riedl, R. Influence of Personality Traits on Choice of Retail Purchasing Channel: Literature Review and Research Agenda. J. Theor. Appl. Electron. Commer. Res. 2021, 16, 3299–3320. [Google Scholar] [CrossRef]
- Abdul Hussien, F.T.; Rahma, A.M.S.; Abdulwahab, H.B. An E-Commerce Recommendation System Based on Dynamic Analysis of Customer Behavior. Sustainability 2021, 13, 10786. [Google Scholar] [CrossRef]
- Luo, H.; Cheng, S.; Zhou, W.; Song, W.; Yu, S.; Lin, X. Research on the Impact of Online Promotions on Consumers’ Impulsive Online Shopping Intentions. J. Theor. Appl. Electron. Commer. Res. 2021, 16, 2386–2404. [Google Scholar] [CrossRef]
- D’Adamo, I.; González-Sánchez, R.; Medina-Salgado, M.S.; Settembre-Blundo, D. Methodological Perspective for Assessing European Consumers’ Awareness of Cybersecurity and Sustainability in E-Commerce. Sustainability 2021, 13, 11343. [Google Scholar] [CrossRef]
- Zabukovšek, S.S.; Tominc, P.; Bobek, S. Business Informatics Principles. In Spationomy; Pászto, V., Jürgens, C., Tominc, P., Burian, J., Eds.; Springer: Cham, Switzerland, 2020. [Google Scholar] [CrossRef] [Green Version]
- Du, X.; Liu, B.; Zhang, J. Application of business intelligence based on big data in e-commerce data analysis. J. Phys. Conf. Ser. 2019, 1395, 012011. [Google Scholar] [CrossRef] [Green Version]
- Zumstein, D.; Kotowski, W. Success Factors of E-Commerce-Drivers of the Conversion Rate and Basket Value. In Proceedings of the 18th International Conference e-Society 2020, Sofia, Bulgaria, 2–4 April 2020; pp. 43–50. [Google Scholar]
- Ahmed, H.; Jilani, T.A.; Haider, W.; Abbasi, M.A.; Nand, S.; Kamran, S. Establishing standard rules for choosing best KPIs for an e-commerce business based on google analytics and machine learning technique. Int. J. Adv. Comput. Sci. Appl. 2017, 8, 12–24. [Google Scholar] [CrossRef] [Green Version]
- Google Analytics Help. About Cohorts. Available online: https://support.google.com/analytics/answer/6158745?hl=en#zippy=%2Cin-this-article (accessed on 13 December 2021).
- Lin, X.; Wang, X.; Hajli, N. Building e-commerce satisfaction and boosting sales: The role of social commerce trust and its antecedents. Int. J. Electron. Commer. 2019, 23, 328–363. [Google Scholar] [CrossRef]
- Thiab, A.S.; Yusoh, Z.I.M.; Bin Shibghatullah, A.S. Internet of things-security and trust in e-Business. J. Eng. Appl. Sci. 2018, 13, 4939–4948. [Google Scholar] [CrossRef]
- Svobodová, Z.; Rajchlová, J. Strategic Behavior of E-Commerce Businesses in Online Industry of Electronics from a Customer Perspective. Adm. Sci. 2020, 10, 78. [Google Scholar] [CrossRef]
- Kuehnl, C.; Jozic, D.; Homburg, C. Effective customer journey design: Consumers’ conception, measurement, and consequences. J. Acad. Mark. Sci. 2019, 47, 551–568. [Google Scholar] [CrossRef]
- New Relic. Digital Experience Monitoring. Available online: https://newrelic.com/resources/datasheets/customer-experience-monitoring (accessed on 14 December 2021).
- Sabaitytė, J.; Davidavičienė, V.; Straková, J.; Raudeliūnienė, J. Decision tree modelling of E-consumers’ preferences for internet marketing communication tools during browsing. Econ. Manag. 2019, 22, 206–224. [Google Scholar] [CrossRef]
- TechValidate Customer Research Library. TechValidate Research on Scopus. Available online: https://www.techvalidate.com/product-research/scopus (accessed on 14 December 2021).
- Olaniyan, T.; Pinault, L.; Li, C.; van Donkelaar, A.; Meng, J.; Martin, R.V.; Hystad, P.; Robichaud, A.; Ménard, R.; Tjepkema, M.; et al. Ambient Air Pollution and the Risk of Acute Myocardial Infarction and Stroke: A National Cohort Study. Environ. Res. 2021, 204, 111975. [Google Scholar] [CrossRef]
- Wang, T.; Lv, Z.; Wen, Y.; Zou, X.; Zhou, G.; Cheng, J.; Zhong, D.; Zhang, Y.; Yu, S.; Liu, N.; et al. Associations of Plasma Multiple Metals with Risk of Hyperuricemia: A Cross-Sectional Study in a Mid-Aged and Older Population of China. Chemosphere 2021, 287, 132305. [Google Scholar] [CrossRef]
- Ballesteros-Pomar, M.D.; González-Arnáiz, E.; Maza, B.P.-D.; Barajas-Galindo, D.; Ariadel-Cobo, D.; González-Roza, L.; Cano-Rodríguez, I. Bioelectrical Impedance Analysis as an Alternative to Dual-Energy X-Ray Absorptiometry in the Assessment of Fat Mass and Appendicular Lean Mass in Patients with Obesity. Nutrition 2021, 93, 111442. [Google Scholar] [CrossRef] [PubMed]
- Zhang, Y.; Xie, Y.; Feng, Y.; Wang, Y.; Xu, X.; Zhu, S.; Xu, F.; Feng, N. Construction and Verification of a Prognostic Risk Model Based on Immunogenomic Landscape Analysis of Bladder Caner. Gene 2021, 808, 145966. [Google Scholar] [CrossRef]
- Tundo, A.; Betro, S.; Iommi, M.; de Filippis, R. Efficacy and Safety of 24-Week Pramipexole Augmentation in Patients with Treatment Resistant Depression. A Retrospective Cohort Study. Prog. Neuro-Psychopharmacol. Biol. Psychiatry 2021, 112, 110425. [Google Scholar] [CrossRef]
- Sathyan, A.; Yuan, W.; Fleck, D.E.; Bonnette, S.; Diekfuss, J.A.; Martis, M.; Gable, A.; Myer, G.D.; Altaye, M.; Dudley, J.A.; et al. Genetic Fuzzy Methodology to Predict Time to Return to Play from Sports-Related Concussion. Lect. Notes Netw. Syst. 2021, 258, 380–390. [Google Scholar] [CrossRef]
- Le Quellec, A.; Edouard, T.; Audebert-Bellanger, S.; Pouzet, A.; Bourdet, K.; Colson, C.; Oriot, C.; Poignant, S.; Saraux, A.; Devauchelle-Pensec, V. Joint Involvement in Noonan Syndrome. A Retrospective Paediatric Descriptive Study. Jt. Bone Spine 2021, 89, 105270. [Google Scholar] [CrossRef]
- Liang, O.; Dezhong, K.; Daoqing, X.; Jing, N.; Xingqian, F.; Weichen, H. Comparative clinical efficacy of polymethyl methacrylate and self-solidifying calcium phosphate cement in vertebroplasty: A meta-analysis. Chin. J. Tissue Eng. Res. 2021, 26, 681–688. [Google Scholar] [CrossRef]
- Yang, J.Z.; Kang, C.Y.; Yuan, J.; Zhang, Y.; Wei, Y.J.; Xu, L.; Zhou, F.; Fan, X. Effect of Adverse Childhood Experiences on Hypothalamic–Pituitary–Adrenal (HPA) Axis Function and Antidepressant Efficacy in Untreated First Episode Patients with Major Depressive Disorder. Psychoneuroendocrinology 2021, 134, 105432. [Google Scholar] [CrossRef]
- Scott, J.; Vorspan, F.; Loftus, J.; Bellivier, F.; Etain, B. Using density of antecedent events and trajectory path analysis to investigate family-correlated patterns of onset of bipolar I disorder: A comparison of cohorts from Europe and USA. Int. J. Bipolar Disord. 2021, 9, 29. [Google Scholar] [CrossRef]
- Wang, J.; Wu, Q.-S.; Lu, J.; Ni, Y.-H.; Zhou, F. Low Vaccination Coverage of Pneumococcal Conjugate Vaccines (PCVs) in Shanghai, China: A Database Analysis Based on Birth Cohorts from 2012 to 2020. Vaccine 2021, 39, 6189–6194. [Google Scholar] [CrossRef]
- Polos, J.; Koning, S.; McDade, T. Do Intersecting Identities Structure Social Contexts to Influence Life Course Health? The Case of School Peer Economic Disadvantage and Obesity. Soc. Sci. Med. 2021, 289, 114424. [Google Scholar] [CrossRef]
- Fan, Z.; Lv, X.; Tu, L.; Zhang, M.; Yu, X.; Wang, H. Reduced Social Activities and Networks, but Not Social Support, Are Associated with Cognitive Decline among Older Chinese Adults: A Prospective Study. Soc. Sci. Med. 2021, 289, 114423. [Google Scholar] [CrossRef] [PubMed]
- Borga, L.G.; D’Ambrosio, C. Social Protection and Multidimensional Poverty: Lessons from Ethiopia, India and Peru. World Dev. 2021, 147, 105634. [Google Scholar] [CrossRef]
- Shen, M.; Gu, X.; Li, S.; Yu, Y.; Zou, B.; Chen, X. Exposure to Black Carbon Is Associated with Symptoms of Depression: A Retrospective Cohort Study in College Students. Environ. Int. 2021, 157, 106870. [Google Scholar] [CrossRef]
- Hales, S.; Atkinson, J.; Metcalfe, J.; Kuschel, G.; Woodward, A. Long Term Exposure to Air Pollution, Mortality and Morbidity in New Zealand: Cohort Study. Sci. Total Environ. 2021, 801, 149660. [Google Scholar] [CrossRef]
- Saucy, A.; de Hoogh, K.; Vienneau, D.; Tangermann, L.; Schäffer, B.; Wunderli, J.-M.; Probst-Hensch, N.; Röösli, M. Mutual Effects of Fine Particulate Matter, Nitrogen Dioxide, and Fireworks on Cause-Specific Acute Cardiovascular Mortality: A Case-Crossover Study in Communities Affected by Aircraft Noise. Environ. Pollut. 2021, 291, 118066. [Google Scholar] [CrossRef]
- Wierichs, R.J.; Kramer, E.; Reiss, B.; Schwendicke, F.; Krois, J.; Meyer-Lueckel, H.; Wolf, T. A Prospective, Multi-Center, Practice-Based Cohort Study on All-Ceramic Crowns. Dent. Mater. 2021, 37, 1273–1282. [Google Scholar] [CrossRef]
- Beebe-Wang, N.; Okeson, A.; Althoff, T.; Lee, S.-I. Efficient and Explainable Risk Assessments for Imminent Dementia in an Aging Cohort Study. IEEE J. Biomed. Health Inform. 2021, 25, 2409–2420. [Google Scholar] [CrossRef] [PubMed]
- Sanghi, A.; Gruber, J.J.; Metwally, A.; Jiang, L.; Reynolds, W.; Sunwoo, J.; Orloff, L.; Chang, H.Y.; Kasowski, M.; Snyder, M.P. Chromatin Accessibility Associates with Protein-RNA Correlation in Human Cancer. Nat. Commun. 2021, 12, 5732. [Google Scholar] [CrossRef] [PubMed]
- He, Q.; Liu, L.; Chang, H.-T.; Wu, C.-D.; Ji, J.S. Residential Green Space Structures and Mortality in an Elderly Prospective Longitudinal Cohort in China. Environ. Res. Lett. 2021, 16, 094003. [Google Scholar] [CrossRef]
- Hu, Y. Divergent Gender Revolutions: Cohort Changes in Household Financial Management across Income Gradients. Gend. Soc. 2021, 35, 746–777. [Google Scholar] [CrossRef]
- Espuny Pujol, F.; Hancock, R.; Morciano, M. Trends in Survival of Older Care Home Residents in England: A 10-Year Multi-Cohort Study. Soc. Sci. Med. 2021, 282, 113883. [Google Scholar] [CrossRef]
- Carmichael, D.; MacEachen, C.; Archibald, J. Gamification in a Learning Resource for the Study of Human Computer Interaction. Lect. Notes Netw. Syst. 2021, 283, 697–717. [Google Scholar] [CrossRef]
- Cai, D.; Liu, W.; Ji, L.; Shi, D. Bayesian optimization assisted meal bolus decision based on Gaussian processes learning and risk-sensitive. Cont. Eng. Pract. 2021, 114, 104881. [Google Scholar] [CrossRef]
- Wodschow, K.; Bihrmann, K.; Larsen, M.L.; Gislason, G.; Ersbøll, A.K. Geographical Variation and Clustering Are Found in Atrial Fibrillation beyond Socioeconomic Differences: A Danish Cohort Study, 1987–2015. Int. J. Health Geogr. 2021, 20, 11. [Google Scholar] [CrossRef]
- Jankvist, U.T.; Gregersen, R.M.; Lauridsen, S.D. Illustrating the Need for a ‘Theory of Change’ in Implementation Processes. ZDM-Math. Educ. 2021, 53, 1047–1057. [Google Scholar] [CrossRef]
- Mill, J.; Agudelo, V.; Olivares, A.L.; Pons, M.I.; Silva, E.; Nuñez-Garcia, M.; Morales, X.; Arzamendi, D.; Freixa, X.; Noailly, J.; et al. Sensitivity Analysis of in Silico Fluid Simulations to Predict Thrombus Formation after Left Atrial Appendage Occlusion. Mathematics 2021, 9, 2304. [Google Scholar] [CrossRef]
- Chrysochou, E.; Koukoulakis, K.; Kanellopoulos, P.G.; Sakellari, A.; Karavoltsos, S.; Dassenakis, M.; Minaidis, M.; Maropoulos, G.; Bakeas, E. Human Serum Elements’ Levels and Leukemia: A First Pilot Study from an Adult Greek Cohort. J. Trace Elem. Med. Biol. 2021, 68, 126833. [Google Scholar] [CrossRef] [PubMed]
- Broder, J.C.; Gao, C.X.; Abramson, M.J.; Wolfe, R.; Dimitriadis, C.; Ikin, J.; Sim, M.R.; Del Monaco, A.; Johnston, F.H.; Carroll, M.; et al. Long-Term Impact of Exposure to Coalmine Fire Emitted PM2.5 on Emergency Ambulance Attendances. Chemosphere 2021, 288, 132339. [Google Scholar] [CrossRef]
- Su, Y.-S.; Lien, D.; Yao, Y. Economic Growth and Happiness in China: A Bayesian Multilevel Age-Period-Cohort Analysis Based on the CGSS Data 2005–2015. Int. Rev. Econ. Financ. 2021, 77, 191–205. [Google Scholar] [CrossRef]
- Pondee, P.; Panjaburee, P.; Srisawasdi, N. Preservice Science Teachers’ Emerging Pedagogy of Mobile Game Integration: A Tale of Two Cohorts Improvement Study. Res. Pract. Technol. Enhanc. Learn. 2021, 16, 16. [Google Scholar] [CrossRef]
- Wang, H.; Joshi, P.; Hong, S.-H.; Maye, P.F.; Rowe, D.W.; Shin, D.-G. cTAP: A Machine Learning Framework for Predicting Target Genes of a Transcription Factor Using a Cohort of Gene Expression Data Sets. In Proceedings of the 2020 IEEE International Conference on Bioinformatics and Biomedicine (BIBM), Seoul, Korea, 16–19 December 2020; pp. 164–167. [Google Scholar] [CrossRef]
- Manolio, T.A.; Goodhand, P.; Ginsburg, G. The International Hundred Thousand Plus Cohort Consortium: Integrating Large-Scale Cohorts to Address Global Scientific Challenges. Lancet Digit. Health 2020, 2, e567–e568. [Google Scholar] [CrossRef]
- Ekman, A.; Litton, J.-E. New times, new needs; E-epidemiology. Eur. J. Epidemiol. 2007, 22, 285–292. [Google Scholar] [CrossRef]
- Yun, J.J.; Zhao, X.; Jung, K.; Yigitcanlar, T. The Culture for Open Innovation Dynamics. Sustainability 2020, 12, 5076. [Google Scholar] [CrossRef]
- Majumder, S. Survey Data on E-Commerce Awareness. Kaggle. Available online: https://www.kaggle.com/swatickmajumder/survey-data-onecommerce-awareness-excel (accessed on 15 October 2021).
- Yun, J.J.; Won, D.; Park, K. Entrepreneurial cyclical dynamics of open innovation. J. Evol. Econ. 2018, 28, 1151–1174. [Google Scholar] [CrossRef]
- Yun, J.J.; Kim, D.; Yan, M.-R. Open Innovation Engineering—Preliminary Study on New Entrance of Technology to Market. Electronics 2020, 9, 791. [Google Scholar] [CrossRef]
- Kaggle Datasets (User: Ammaraahmad). United States E-Commerce Records 2020. Kaggle. Available online: https://www.kaggle.com/ammaraahmad/us-ecommerce-record-2020 (accessed on 15 October 2021).
- Kuan, H.H.; Bock, G.W.; Vathanophas, V. Comparing the effects of usability on customer conversion and retention at e-commerce websites. In Proceedings of the 38th Annual Hawaii International Conference on System Sciences, Big Island, HI, USA, 3–6 January 2005. [Google Scholar]
- Muchardie, B.G.; Gunawan, A.; Aditya, B. E-Commerce Market Segmentation Based on the Antecedents of Customer Satisfaction and Customer Retention. In Proceedings of the International Conference on Information Management and Technology (ICIMTech), Jakarta/Bali, Indonesia, 19–20 August 2019; pp. 103–108. [Google Scholar] [CrossRef]
- Yun, J.J.; Liu, Z. Micro- and Macro-Dynamics of Open Innovation with a Quadruple-Helix Model. Sustainability 2019, 11, 3301. [Google Scholar] [CrossRef] [Green Version]
- Madhav, A.V.S.; Tyagi, A.K. The World with Future Technologies (Post-COVID-19): Open Issues, Challenges, and the Road Ahead. In Intelligent Interactive Multimedia Systems for e-Healthcare Applications; Tyagi, A.K., Abraham, A., Kaklauskas, A., Eds.; Springer: Singapore, 2021. [Google Scholar] [CrossRef]
- Zhao, S. Innovation of Economic Business Model Based on Particle Swarm Optimization Algorithm. In Lecture Notes on Data Engineering and Communications Technologies, Proceedings of the 2021 International Conference on Machine Learning and Big Data Analytics for IoT Security and Privacy. SPIoT 2021; Macintyre, J., Zhao, J., Ma, X., Eds.; Springer: Cham, Switzerland, 2021. [Google Scholar] [CrossRef]












| Subject Area | Documents | References | |
|---|---|---|---|
| Medical Science | Medicine | 639,467 |
|
| Biochemistry, Genetics and Molecular Biology | 127,446 | ||
| Neuroscience | 39,987 | ||
| Immunology and Microbiology | 33,780 | ||
| Nursing | 32,030 | ||
| Pharmacology, Toxicology and Pharmaceutics | 22,486 | ||
| Health Professions | 21,006 | ||
| Psychology | 19,875 | ||
| Dentistry | 18,351 | ||
| Veterinary | 3463 | ||
| Social Sciences | 4686 | ||
| Environmental Science | Agricultural and Biological Sciences | 3613 | |
| Environmental Science | 4240 | ||
| Earth and Planetary Sciences | 4240 | ||
| Materials Science | 952 | ||
| Engineering | 4124 | ||
| Physical Science | Physics and Astronomy | 3781 | |
| Energy | 4124 | ||
| Arts and Humanities | 3508 | ||
| Computer Science | 1878 | ||
| Mathematics | 1871 | ||
| Chemical Science | Chemical Engineering | 1312 |
|
| Chemistry | 888 | ||
| Economics Science | Economics, Econometrics and Finance | 985 | |
| Business, Management, Accounting | 201 | ||
| Decision Sciences | 4686 | ||
| Year | Documents | Country/Territory |
|---|---|---|
| 2020 | 2 | Germany United States |
| 2019 | 1 | Germany |
| 2018 | 2 | United Kingdom United States |
| 2017 | 1 | Netherlands |
| 2014 | 1 | United States |
| 2013 | 2 | United States Germany Netherlands |
| 2010 | 1 | Italy |
| 2007 | 1 | Sweden |
| Total | 11 |
| Column(s) | Actual Values | Assigned Values |
|---|---|---|
| Do you know about E-commerce business (Online business)? Do you like buying from online businesses? Is an E-Commerce business available in your location? Will you prefer others to use E-Commerce businesses? | Yes Maybe No | 1.0 0.5 0.0 |
| E-Commerce is the future of shopping. E-Commerce businesses are easy to understand and use. E-Commerce business is for everyone. Delivery through E-commerce businesses is fast. Delivery through E-commerce businesses is reliable. Payments in E-Commerce are safe. Products and Services on E-Commerce businesses are up to the mark. | Agree Neutral Disagree | 1 0 −1 |
| E-Commerce business kills local businesses. | Agree Neutral Disagree | −1 0 1 |
| Statistics | Male Score | Female Score |
|---|---|---|
| Mean | 0.18 | −0.1 |
| 25th percentile | −0.25 | −0.77 |
| 50th percentile | 0.18 | −0.05 |
| 75th percentile | 0.93 | 0.65 |
| 95th percentile | 1.51 | 1.22 |
Publisher’s Note: MDPI stays neutral with regard to jurisdictional claims in published maps and institutional affiliations. |
© 2022 by the authors. Licensee MDPI, Basel, Switzerland. This article is an open access article distributed under the terms and conditions of the Creative Commons Attribution (CC BY) license (https://creativecommons.org/licenses/by/4.0/).
Share and Cite
Fedushko, S.; Ustyianovych, T. E-Commerce Customers Behavior Research Using Cohort Analysis: A Case Study of COVID-19. J. Open Innov. Technol. Mark. Complex. 2022, 8, 12. https://doi.org/10.3390/joitmc8010012
Fedushko S, Ustyianovych T. E-Commerce Customers Behavior Research Using Cohort Analysis: A Case Study of COVID-19. Journal of Open Innovation: Technology, Market, and Complexity. 2022; 8(1):12. https://doi.org/10.3390/joitmc8010012
Chicago/Turabian StyleFedushko, Solomiia, and Taras Ustyianovych. 2022. "E-Commerce Customers Behavior Research Using Cohort Analysis: A Case Study of COVID-19" Journal of Open Innovation: Technology, Market, and Complexity 8, no. 1: 12. https://doi.org/10.3390/joitmc8010012
APA StyleFedushko, S., & Ustyianovych, T. (2022). E-Commerce Customers Behavior Research Using Cohort Analysis: A Case Study of COVID-19. Journal of Open Innovation: Technology, Market, and Complexity, 8(1), 12. https://doi.org/10.3390/joitmc8010012
