Investigation of Reverse Recovery Current of High-Power Thyristor in Pulsed Power Supply
Abstract
:1. Introduction
2. Reverse Recovery Current Models of the Thyristors in PPS
2.1. Description of PPS
2.2. The Reverse Recovery Current Models of the Thyristors in PPS
2.3. Breakdown Risks of the Thyristors in PPS
3. Factors Affecting the Reverse Recovery Currents in Thyristors and Improvement of PPS Topology
3.1. Validation of the Two Current Models of Thyristors
3.2. Effects of the Initial Voltage of the Energy-Storage Capacitor on the Reverse Recovery Currents in Thyristors
3.3. Effects of the Discharge Time Intervals on the Reverse Recovery Currents in Thyristors
3.4. Effects of the Load Resistance on the Reverse Recovery Currents in Thyristors
3.5. The Reverse Recovery Currents in the Thyristors in Type ΙΙ PPS Topology
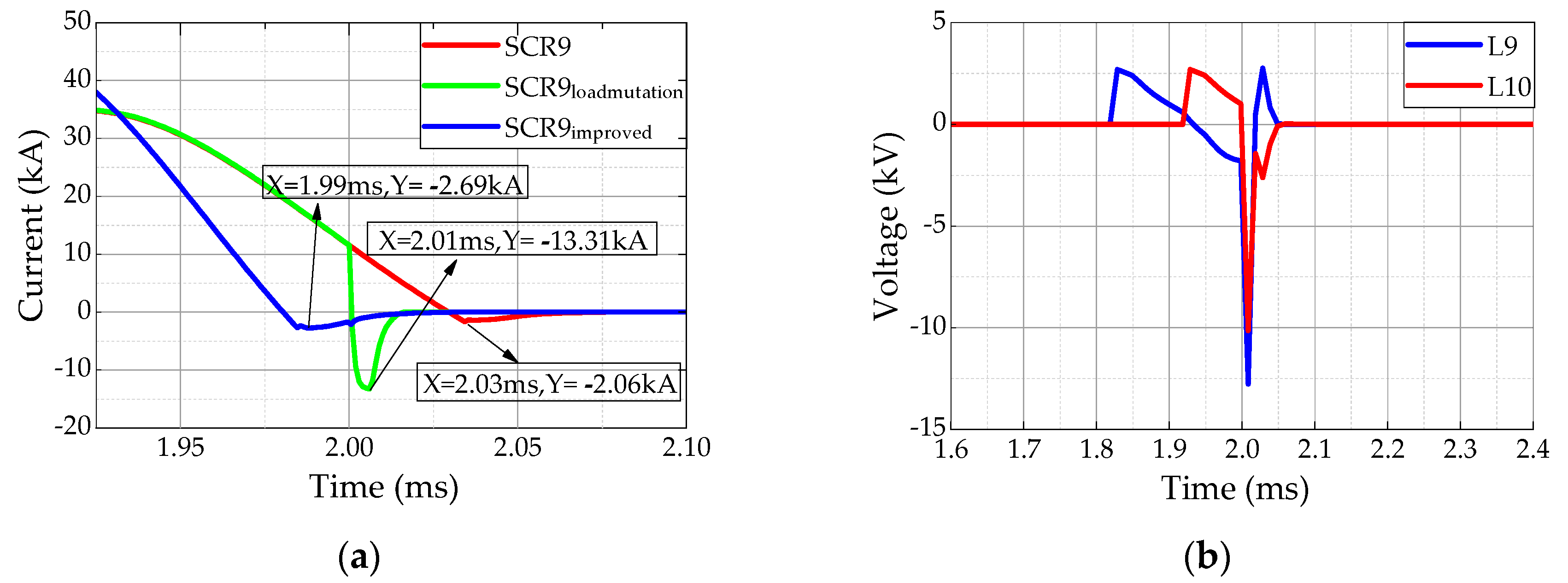
3.6. Improvement of PPS Topology
3.7. Test Results of EML Experiments
4. Conclusions
Author Contributions
Funding
Conflicts of Interest
References
- Cho, C.H.; Park, S.H.; Choi, Y.; Kim, B.G. Production of nanopowders by wire explosion in liquid media. Surf. Coat. Technol. 2007, 201, 4847–4849. [Google Scholar] [CrossRef]
- Inoue, H.; Lisitsyn, I.V.; Akiyama, H.; Nishizawa, I. Drilling of hard rocks by pulsed power. IEEE Electr. Insul. Mag. 2000, 16, 19–25. [Google Scholar] [CrossRef]
- Jin, Y.; Lee, H.; Kim, J.; Rim, G.; Kim, J.; Lee, Y.; Moon, H. Performance of 2.4-MJ pulsed power system for electrothermal-chemical gun application. IEEE Trans. Magn. 2003, 39, 235–238. [Google Scholar]
- Jack, S.B.; Michael, F.S.; Thomas, E.J. Analysis of a Capacitor-Based Pulsed-Power System for Driving Long-Range Electromagnetic Guns. IEEE Trans. Magn. 2003, 39, 486–490. [Google Scholar]
- Li, J.; Li, S.Z.; Liu, P.Z.; Gui, Y.C. Design and Testing of a 10-MJ Electromagnetic Launch Facility. IEEE Trans. Plasma Sci. 2011, 4, 1187–1191. [Google Scholar]
- Dai, L.; Wang, Y.; Zhang, Q.; Li, W.; Lu, W. Effect of Sequence Discharge on Components in a 600-kJ PPS Used for Electromagnetic Launch System. IEEE Trans. Plasma Sci. 2013, 41, 1300–1306. [Google Scholar] [CrossRef]
- Guo, X.; Dai, L.; Zhang, Q.; Lin, F.; Huang, Q.; Zhao, T. Influence of Electric Parameters of Pulsed Power Supply on Electromagnetic Railgun System. IEEE Trans. Plasma Sci. 2015, 43, 3260–3267. [Google Scholar] [CrossRef]
- Liu, J.B.; Bu, L.P.; Qin, X.X. Study on Reverse Charging of Stored Energy Capacitor in Pulsed Power Supply System. Appl. Mech. Mater. 2014, 556, 2008–2012. [Google Scholar] [CrossRef]
- Liu, Y.; Lin, F.; Dai, L.; Zhang, Q.; Lee, L.; Han, Y.; Lu, W. Development of a Compact 450-kJ Pulsed-Power-Supply System for Electromagnetic Launcher. IEEE Trans. Plasma Sci. 2011, 39, 304–309. [Google Scholar] [CrossRef]
- Jin, Y.S.; Kim, Y.B.; Kim, J.; Cho, C.; Lim, S.W.; Lee, B.; Koo, I.S. Fabrication and Testing of a 600-kJ Pulsed Power System. IEEE Trans. Plasma Sci. 2013, 41, 2671–2674. [Google Scholar] [CrossRef]
- Kim, J.; Choi, Y.; Chu, J.; Sung, G. Analysis on high surge voltages generated in paralleled capacitor banks. IEEE Trans. Magn. 2003, 39, 422–426. [Google Scholar]
- Han, Y.; Lin, F.; Dai, L.; Li, H.; Wang, L.; Bo, L.; Peng, B. Research on applications of TVS and thyristor in a pulsed power supply system used for EMG. IEEE Trans. Dielectr. Electr. Insul. 2009, 16, 979–984. [Google Scholar]
- Li, W.; Tang, W.; He, H.; Rao, J.; Zhang, Y. Pulse power switch centered on SCR for the launch system. In Proceedings of the International Conference on Electrical Machines and Systems, Beijing, China, 20–23 August 2011. [Google Scholar]
- Li, Z.X.; Yang, C.X.; Li, B.M. Research on the Application of Thyristor in the Pulsed Power Supply. Power Electron. 2010, 44, 87–90. [Google Scholar]
- Spahn, E.; Buderer, G.; Brommer, V.; Sterzelmeier, K.; Welleman, A. Novel 13.5 kV Multichip Thyristor with an Enhanced DI/DT for Various Pulsed Power Applications. In Proceedings of the IEEE International Pulsed Power Conference, Monterey, CA, USA, 13–17 June 2005. [Google Scholar]
- Li, Z.X.; Zhang, Y.Z.; Ni, Y.J.; Li, B.M. Analysis on the Influence of Turn-off Characteristics of Thyristor on Augmented Railgun. Acta Armamentarii 2016, 37, 1599–1605. [Google Scholar] [CrossRef]
- Dai, L.; Tian, S.Y.; Jin, C.L.; Yang, Y.; Lei, Y.Q.; Lin, F.C. Reverse recovery characteristics of pulse power thyristor. High Power Laser Part. Beams 2016, 28, 1–5. [Google Scholar]
- Zhang, Y.Z.; Li, Z.X.; Tian, H.; Li, H.Y.; Li, B.M. Application of Pulse Power Supply with RSD Switch in Electromagnetic Launch. Acta Armamentarii 2017, 38, 658–663. [Google Scholar]
- Li, Z.X.; Li, B.M.; Lin, Q.H. Research of Protection for High Voltage Diode-stacks in Pulse Power Supply. Power Electron. 2009, 43, 47–49. [Google Scholar]
- Li, Z.C.; Jin, C.L.; Dai, L.; Chen, C.; Ju, L.; Lin, F.C. Breakdown and Protection of Semiconductor Device in a Sequentially Fired Pulse Forming Network. Acta Armamentarii 2017, 38, 2349–2353. [Google Scholar]
- Wen, Y.L.; Dai, L.; Zhu, Q.; Wang, S.J.; Lin, F.C. Efficiency of Distributed Energy Sstorage Electromagnetic Railgun. High Power Laser Part. Beams 2020, 32, 1–5. [Google Scholar]
- Zhang, J.; Tang, G.F.; Wen, J.L.; Zha, K.P. Dynamic Modelling of the Turn off Performance of High Voltage Power Thyristor. Power Electron. 2015, 49, 50–53. [Google Scholar]
- Li, Z.X.; Zhang, Y.Z.; Gao, L.; Jin, Y.; Li, B.M. Test and Analysis of Silicon Stack Failure in Electrothermal-chemical Gun. Acta Armamentarii 2015, 36, 577–581. [Google Scholar]
















| Ci (mF) | ESLi (μH) | ESRi (mΩ) | Li (μH) | RLi (mΩ) | n |
|---|---|---|---|---|---|
| 1 | 0.2 | 2 | 5 | 0.5 | 10 |
© 2020 by the authors. Licensee MDPI, Basel, Switzerland. This article is an open access article distributed under the terms and conditions of the Creative Commons Attribution (CC BY) license (http://creativecommons.org/licenses/by/4.0/).
Share and Cite
Wei, J.; Li, Z.; Li, B. Investigation of Reverse Recovery Current of High-Power Thyristor in Pulsed Power Supply. Electronics 2020, 9, 1292. https://doi.org/10.3390/electronics9081292
Wei J, Li Z, Li B. Investigation of Reverse Recovery Current of High-Power Thyristor in Pulsed Power Supply. Electronics. 2020; 9(8):1292. https://doi.org/10.3390/electronics9081292
Chicago/Turabian StyleWei, Jiufu, Zhenxiao Li, and Baoming Li. 2020. "Investigation of Reverse Recovery Current of High-Power Thyristor in Pulsed Power Supply" Electronics 9, no. 8: 1292. https://doi.org/10.3390/electronics9081292
APA StyleWei, J., Li, Z., & Li, B. (2020). Investigation of Reverse Recovery Current of High-Power Thyristor in Pulsed Power Supply. Electronics, 9(8), 1292. https://doi.org/10.3390/electronics9081292

