Grant-Free Resource Allocation for NOMA V2X Uplink Systems Using a Genetic Algorithm Approach
Abstract
1. Introduction
- We provide a novel concept called hyper-fraction, which minimizes the latency between BS and UE for the resource allocation scheduling process.
- We provide a novel approach of using continuous pool in GA and prove that it is suitable for solving the resource allocation problem in vehicular situations.
- We present an extended concept of the mutation procedure of GA which is effective for channel allocation problems in NOMA device-to-device (D2D) systems.
2. Related Works
2.1. NOMA
2.2. GA-Based Resource Allocation
2.3. Fractional Frequency Reuse
3. System Model
3.1. Hyper-Fraction
3.2. Target System
3.3. Problem Formulation
4. The Proposed Genetic Algorithm with Continuous Pool
4.1. Selection and Spread
4.2. Mutation
4.3. Continuous Pool
| Algorithm 1: Genetic Algorithm with Continuous Pool. |
![]() |
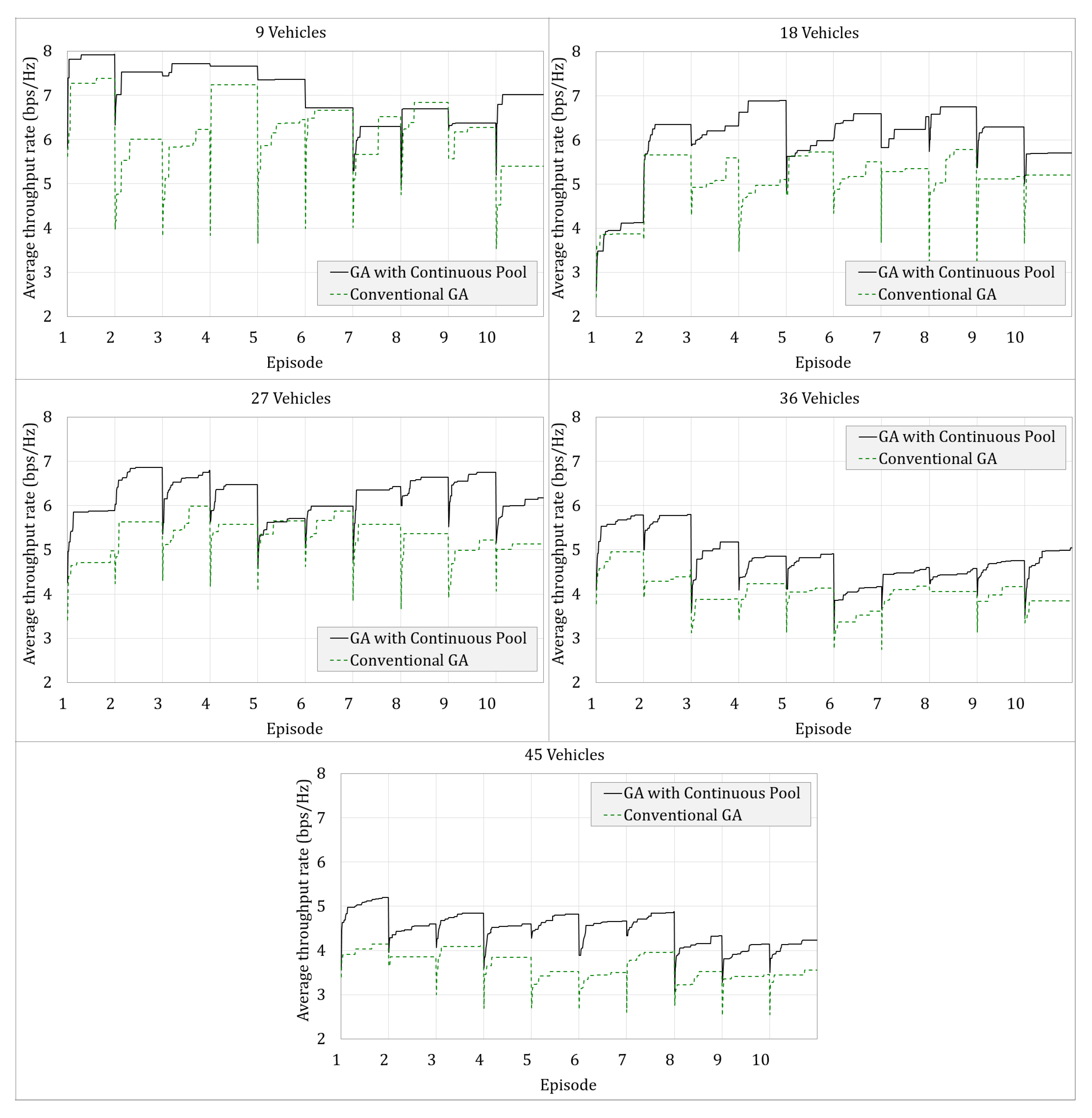
5. Performance Evaluation
6. Discussion
Author Contributions
Funding
Conflicts of Interest
Abbreviations
| BS | Base Station |
| CSI | Channel State Information |
| C-V2X | Cellular Vehicle-to-Everything |
| D2D | Device-to-Device |
| MBS | Macro Base Station |
| FFR | Fractional Frequency Reuse |
| GA | Genetic Algorithm |
| HF-zone | Hyper-Fraction Zone |
| NOMA | Non-Orthogonal Multiple Access |
| OMA | Orthogonal Multiple Access |
| OFDMA | Orthogonal Frequency-Division Multiple Access |
| RA | Resource Allocation |
| SC-FDMA | Single-Carrier Frequency Division Multiple Access |
| SIC | Successive Interference Cancellation |
| SINR | Signal-to-Interference-plus-Noise Ratio |
| UE | User Equipment |
| V2I | Vehicle-to-Infrastructure |
| V2V | Vehicle-to-Vehicle |
References
- Ge, X.; Tu, S.; Mao, G.; Wang, C.; Han, T. 5G Ultra-Dense Cellular Networks. IEEE Wirel. Commun. 2016, 23, 72–79. [Google Scholar] [CrossRef]
- Agiwal, M.; Roy, A.; Saxena, N. Next, Generation 5G Wireless Networks: A Comprehensive Survey. IEEE Commun. Surv. Tutor. 2016, 18, 1617–1655. [Google Scholar] [CrossRef]
- Fan, P.; Zhao, J.; Chih-Lin, I. 5G high mobility wireless communications: Challenges and solutions. China Commun. 2016, 13, 1–13. [Google Scholar] [CrossRef]
- Shah, S.A.A.; Ahmed, E.; Imran, M.; Zeadally, S. 5G for Vehicular Communications. IEEE Commun. Mag. 2018, 56, 111–117. [Google Scholar] [CrossRef]
- Guo, S.; Zhou, X. Robust Resource Allocation With Imperfect Channel Estimation in NOMA-Based Heterogeneous Vehicular Networks. IEEE Trans. Commun. 2019, 67, 2321–2332. [Google Scholar] [CrossRef]
- MacHardy, Z.; Khan, A.; Obana, K.; Iwashina, S. V2X Access Technologies: Regulation, Research, and Remaining Challenges. IEEE Commun. Surv. Tutor. 2018, 20, 1858–1877. [Google Scholar] [CrossRef]
- Husain, S.S.; Kunz, A.; Prasad, A.; Pateromichelakis, E.; Samdanis, K. Ultra-High Reliable 5G V2X Communications. IEEE Commun. Stand. Mag. 2019, 3, 46–52. [Google Scholar] [CrossRef]
- Di, B.; Song, L.; Li, Y.; Han, Z. V2X Meets NOMA: Non-Orthogonal Multiple Access for 5G-Enabled Vehicular Networks. IEEE Wirel. Commun. 2017, 24, 14–21. [Google Scholar] [CrossRef]
- Dai, L.; Wang, B.; Ding, Z.; Wang, Z.; Chen, S.; Hanzo, L. A Survey of Non-Orthogonal Multiple Access for 5G. IEEE Commun. Surv. Tutor. 2018, 20, 2294–2323. [Google Scholar] [CrossRef]
- Liu, Y.; Qin, Z.; Elkashlan, M.; Ding, Z.; Nallanathan, A.; Hanzo, L. Non-orthogonal multiple access for 5G and beyond. arXiv 2018, arXiv:1808.00277. [Google Scholar]
- Saito, Y.; Kishiyama, Y.; Benjebbour, A.; Nakamura, T.; Li, A.; Higuchi, K. Non-Orthogonal Multiple Access (NOMA) for Cellular Future Radio Access. In Proceedings of the 2013 IEEE 77th Vehicular Technology Conference (VTC Spring), Dresden, DE, USA, 2–5 June 2013; pp. 1–5. [Google Scholar]
- Ding, Z.; Liu, Y.; Choi, J.; Sun, Q.; Elkashlan, M.; Chih-Lin, I.; Poor, H.V. Application of Non-Orthogonal Multiple Access in LTE and 5G Networks. IEEE Commun. Mag. 2017, 55, 185–191. [Google Scholar] [CrossRef]
- Shin, W.; Vaezi, M.; Lee, B.; Love, D.J.; Lee, J.; Poor, H.V. Non-Orthogonal Multiple Access in Multi-Cell Networks: Theory, Performance, and Practical Challenges. IEEE Commun. Mag. 2017, 55, 176–183. [Google Scholar] [CrossRef]
- Ding, Z.; Lei, X.; Karagiannidis, G.K.; Schober, R.; Yuan, J.; Bhargava, V.K. A Survey on Non-Orthogonal Multiple Access for 5G Networks: Research Challenges and Future Trends. IEEE J. Sel. Areas Commun. 2017, 35, 2181–2195. [Google Scholar] [CrossRef]
- Mostafa, A.E.; Zhou, Y.; Wong, V.W.S. Connectivity maximization for narrowband IoT systems with NOMA. In Proceedings of the 2017 IEEE International Conference on Communications (ICC), Paris, France, 21–25 May 2017; pp. 1–6. [Google Scholar]
- Chen, Y.; Wang, L.; Ai, Y.; Jiao, B.; Hanzo, L. Performance Analysis of NOMA-SM in Vehicle-to-Vehicle Massive MIMO Channels. IEEE J. Sel. Areas Commun. 2017, 35, 2653–2666. [Google Scholar] [CrossRef]
- Ahlem, M.; Mnif, K.; Zarai, F. A Survey on Radio Resource Allocation for V2X Communication. Wirel. Commun. Mob. Comput. 2019, 4, 1–12. [Google Scholar] [CrossRef]
- Budhiraja, I.; Tyagi, S.; Tanwar, S.; Kumar, N.; Guizani, M. CR-NOMA Based Interference Mitigation Scheme for 5G Femtocells Users. In Proceedings of the 2018 IEEE Global Communications Conference (GLOBECOM), Abu Dhabi, UAE, 9–13 December 2018; pp. 1–6. [Google Scholar]
- Di, B.; Song, L.; Li, Y.; Li, G.Y. NOMA-Based Low-Latency and High-Reliable Broadcast Communications for 5G V2X Services. In Proceedings of the GLOBECOM 2017—2017 IEEE Global Communications Conference, Singapore, 4–8 December 2017; pp. 1–6. [Google Scholar]
- Chen, S.; Hu, J.; Shi, Y.; Peng, Y.; Fang, J.; Zhao, R.; Zhao, L. Vehicle-to-Everything (v2x) Services Supported by LTE-Based Systems and 5G. IEEE Commun. Stand. Mag. 2017, 1, 70–76. [Google Scholar] [CrossRef]
- Altay, C.; Koca, M. Fractional Frequency Reuse in Non-Orthogonal Multiple Access Heterogeneous Networks. In Proceedings of the 2018 IEEE International Conference on Communications (ICC), Kansas City, MO, USA, 20–24 May 2018; pp. 1–6. [Google Scholar]
- Gemici, Ö.F.; Kara, F.; Hokelek, I.; Kurt, G.K.; Çırpan, H.A. Resource allocation for NOMA downlink systems: Genetic algorithm approach. In Proceedings of the 2017 40th International Conference on Telecommunications and Signal Processing (TSP), Barcelona, Spain, 5–7 July 2017; pp. 114–118. [Google Scholar]
- Saito, Y.; Benjebbour, A.; Kishiyama, Y.; Nakamura, T. System-level performance evaluation of downlink non-orthogonal multiple access (NOMA). In Proceedings of the 2013 IEEE 24th Annual International Symposium on Personal, Indoor, and Mobile Radio Communications (PIMRC), London, UK, 8–11 September 2013; pp. 611–615. [Google Scholar]
- Zhang, N.; Wang, J.; Kang, G.; Liu, Y. Uplink Nonorthogonal Multiple Access in 5G Systems. IEEE Commun. Lett. 2016, 20, 458–461. [Google Scholar] [CrossRef]
- Tabassum, H.; Ali, M.S.; Hossain, E.; Hossain, M.; Kim, I. Non-Orthogonal Multiple Access (NOMA) in Cellular Uplink and Downlink: Challenges and Enabling Techniques. arXiv 2016, arXiv:1608.05783. [Google Scholar]
- Ali, M.S.; Tabassum, H.; Hossain, E. Dynamic User Clustering and Power Allocation for Uplink and Downlink Non-Orthogonal Multiple Access (NOMA) Systems. IEEE Access 2016, 4, 6325–6343. [Google Scholar] [CrossRef]
- Di, B.; Song, L.; Li, Y.; Li, G.Y. Non-Orthogonal Multiple Access for High-Reliable and Low-Latency V2X Communications in 5G Systems. IEEE J. Sel. Areas Commun. 2017, 35, 2383–2397. [Google Scholar] [CrossRef]
- Zhang, D.; Liu, Y.; Dai, L.; Bashir, A.K.; Nallanathan, A.; Shim, B. Performance Analysis of FD-NOMA-Based Decentralized V2X Systems. IEEE Trans. Commun. 2019, 67, 5024–5036. [Google Scholar] [CrossRef]
- Guo, S.; Zhou, X. Robust power allocation for NOMA in heterogeneous vehicular communications with imperfect channel estimation. In Proceedings of the 2017 IEEE 28th Annual International Symposium on Personal, Indoor, and Mobile Radio Communications (PIMRC), Montreal, QC, Canada, 8–13 October 2017; pp. 1–5. [Google Scholar]
- Sheng, Z.; Su, X.; Zhang, X. A Novel Power Allocation Method for Non-orthogonal Multiple Access in Cellular Uplink Network. In Proceedings of the 2017 International Conference on Intelligent Environments (IE), Seoul, Korea, 21–25 August 2017; pp. 157–159. [Google Scholar]
- He, J.; Tang, Z.; Ding, Z.; Wu, D. Successive Interference Cancellation and Fractional Frequency Reuse for LTE Uplink Communications. IEEE Trans. Veh. Technol. 2018, 67, 10528–10542. [Google Scholar] [CrossRef]
- Kim, J.; Kim, T.; Noh, J.; Cho, S. Fractional Frequency Reuse Scheme for Device to Device Communication Underlaying Cellular on Wireless Multimedia Sensor Networks. Sensors 2018, 18, 2661. [Google Scholar] [CrossRef] [PubMed]
- Ali, M.S.; Hossain, E.; Kim, D.I. Non-orthogonal multiple access (NOMA) for downlink multiuser mimo systems: User clustering, beamforming, and power allocation. IEEE Access 2016, 5, 565–577. [Google Scholar] [CrossRef]
- Sabeeh, S.; Sroka, P.; Wesołowski, K. Estimation and Reservation for Autonomous Resource Selection in C-V2X Mode 4. In Proceedings of the 2019 IEEE 30th Annual International Symposium on Personal, Indoor and Mobile Radio Communications (PIMRC), Istanbul, Turkey, 8–11 September 2019; pp. 1–6. [Google Scholar] [CrossRef]
- 3rd Generation Partnership Project: Technical Specification Group Radio Access Network: Study on LTE-Based V2X Services: (Release 14), Standard 3GPP TR 36.885 V2.0.0. June 2016. Available online: https://portal.3gpp.org/desktopmodules/Specifications/SpecificationDetails.aspx?specificationId=2934 (accessed on 21 June 2020).








| Parameters | Values |
|---|---|
| Mobility model | Manhattan mobility model |
| Channel model | Log distance path-loss model |
| Types of communications | V2V, V2I NOMA |
| Transmit power from UE | 23 dBm |
| # of vehicles | 9, 18, 27, 36, 45 |
| # of channels | 9 |
| # of macro base stations | 9 |
| # of hyper-fraction zones | 304 |
| # of episodes | 10 |
| Distance vehicles move per episode | 1 m, 2 m, 3 m |
| # of generations per episode | 1000 |
| Size of pool | 30 individuals (RA tables) |
| Size of simulation environment | m |
| Size of hyper-fraction zone | m |
| for shadowing of V2V and V2I | 4 dB, 8 dB [35] |
© 2020 by the authors. Licensee MDPI, Basel, Switzerland. This article is an open access article distributed under the terms and conditions of the Creative Commons Attribution (CC BY) license (http://creativecommons.org/licenses/by/4.0/).
Share and Cite
Lee, S.; Kim, J.; Park, J.; Cho, S. Grant-Free Resource Allocation for NOMA V2X Uplink Systems Using a Genetic Algorithm Approach. Electronics 2020, 9, 1111. https://doi.org/10.3390/electronics9071111
Lee S, Kim J, Park J, Cho S. Grant-Free Resource Allocation for NOMA V2X Uplink Systems Using a Genetic Algorithm Approach. Electronics. 2020; 9(7):1111. https://doi.org/10.3390/electronics9071111
Chicago/Turabian StyleLee, Sol, Jeehyeong Kim, Joohan Park, and Sunghyun Cho. 2020. "Grant-Free Resource Allocation for NOMA V2X Uplink Systems Using a Genetic Algorithm Approach" Electronics 9, no. 7: 1111. https://doi.org/10.3390/electronics9071111
APA StyleLee, S., Kim, J., Park, J., & Cho, S. (2020). Grant-Free Resource Allocation for NOMA V2X Uplink Systems Using a Genetic Algorithm Approach. Electronics, 9(7), 1111. https://doi.org/10.3390/electronics9071111


