Automatic Fault-Tolerant Control of Multiphase Induction Machines: A Game Changer
Abstract
1. Introduction
2. Field Oriented Control in Six-Phase IM Drives
2.1. Generalities of Six-Phase Electric Drives
2.2. Natural Fault-Tolerant Indirect Rotor Field Oriented Control (IRFOC)
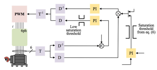
3. Automatic Fault-Tolerant Control (AFTC)
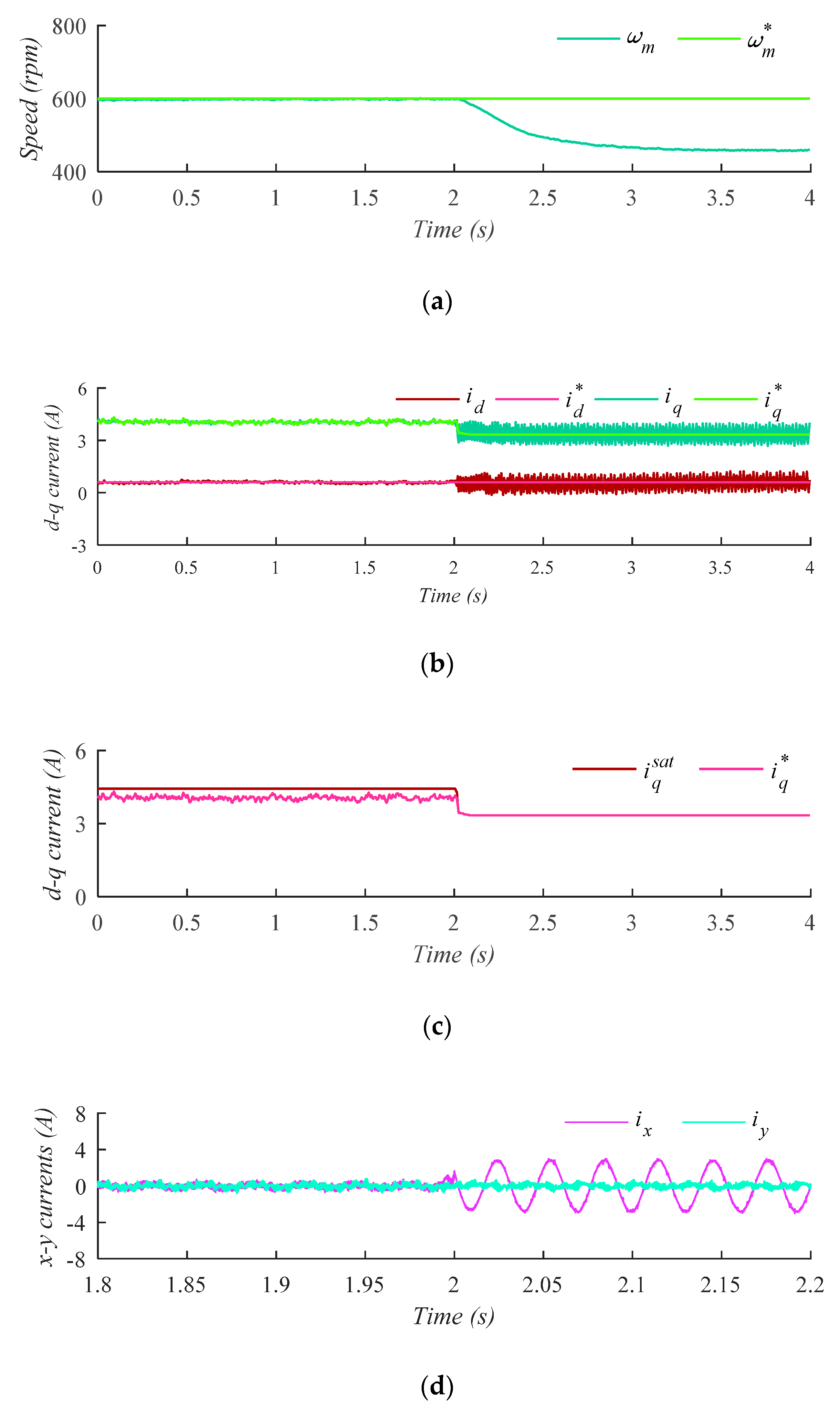
4. Experimental Results
4.1. Test Bench
4.2. Experimental Results
5. Conclusions
Author Contributions
Funding
Acknowledgments
Conflicts of Interest
References
- Duran, M.J.; Levi, E.; Barrero, F. Multiphase Electric Drives: Introduction. Wiley Encycl. Electr. Electron. Eng. 2017, 1–26. [Google Scholar] [CrossRef]
- Levi, E. Advances in Converter Control and Innovative Exploitation of Additional Degrees of Freedom for Multiphase Machines. IEEE Trans. Ind. Electron. 2015, 63, 433–448. [Google Scholar] [CrossRef]
- Duran, M.J.; Gonzalez-Prieto, I.; Barrero, F.; Levi, E.; Zarri, L.; Mengoni, M. A simple Braking Method for Six-Phase Induction Motor Drives with Unidirectional Power Flow in the Base-Speed Region. IEEE Trans. Ind. Electron. 2017, 64, 6032–6041. [Google Scholar] [CrossRef]
- Munim, W.; Duran, M.J.; Che, H.S.; Bermudez, M.; Prieto, I.G.; Rahim, N.A. A Unified Analysis of the Fault Tolerance Capability in Six-Phase Induction Motor Drive. IEEE Trans. Power Electron. 2016, 32, 7824–7836. [Google Scholar] [CrossRef]
- Yaamasu, V.; Dekka, A.; Duran, M.J.; Kouro, S.; Wu, B. Permanent Magnet Synchronous Generator-based Wind Energy Conversion Systems: Survey on Power Converters and Controls. IET Electr. Power Appl. 2017, 11, 956–968. [Google Scholar] [CrossRef]
- Tousizadeh, M.; Che, H.S.; Selvaraj, J.; Rahim, N.A.; Ooi, B.-T. Performance Comparison of Fault-Tolerant Three-Phase Induction Motor Drives Considering Current and Voltage Limits. IEEE Trans. Ind. Electron. 2019, 66, 2639–2648. [Google Scholar] [CrossRef]
- Tani, A.; Zarri, L.; Casadei, D.; Mengoni, M.; Serra, G. Control of Multiphase Induction Motors with an Odd Number of Phases Under Open-circuit Phase Faults. IEEE Trans. Power Electron. 2011, 27, 565–577. [Google Scholar]
- Gonzalez-Prieto, I.; Duran, M.J.; Bermudez, M.; Barrero, F.; Martin, C. Assessment of Virtual-Voltage-based Model Predictive Controllers in Six-phase Drives under Open-Phase Faults. IEEE J. Emerg. Sel. Top. Power Electron. 2019, 1. [Google Scholar] [CrossRef]
- Gonzalez-Prieto, I.; Duran, M.J.; Garcia-Entrambasaguas, P.; Bermudez, M. Field Oriented Control of Multiphase Drives with Passive Fault Tolerance. IEEE Trans. Ind. Electron. 2019. [Google Scholar] [CrossRef]
- Drozdowski, P.; Cholewa, D. Natural Fault Tolerance of a Nine-Phase Induction Motor Drive Operating at Variable Frequency and Switched Supply Sequence. In Proceedings of the 15th Selected Issues of Electrical Engineering and Electronics (WZEE), Zakopane, Poland, 8–10 December 2019. [Google Scholar] [CrossRef]
- Garcia-Entrambasaguas, P.; Gonzalez-Prieto, I.; Duran, M.J. Single index Open-phase Fault Detection Method for Six-phase Electric Drives. IEEE Trans. Ind. Electron. 2019, 1. [Google Scholar] [CrossRef]
- Prieto, I.G.; Duran, M.J.; Rios-Garcia, N.; Barrero, F.; Martin, C. Open-Switch Fault Detection in Five-Phase Induction Motor Drives Using Model Predictive Control. IEEE Trans. Ind. Electron. 2018, 65, 3045–3055. [Google Scholar] [CrossRef]
- Abdel-Khalik, A.S.; Masoud, M.; Ahmed, S.; Massoud, A. Calculation of derating factors based on steady-state unbalanced multiphase induction machine model under open phase(s) and optimal winding currents. Electr. Power Syst. Res. 2014, 106, 214–225. [Google Scholar] [CrossRef]
- Barrero, F.; Bermudez, M.; Duran, M.J.; Salas, P.; Gonzalez-Prieto, I. Assessment of a Universal Reconfiguration-less Control Approach in Open-Phase Fault Operation for Multiphase Drives. Energies 2019, 12, 4698. [Google Scholar] [CrossRef]







| Parameter | Value |
| Power (kW) | 0.8 |
| 4.2 | |
| 2 | |
| 420 | |
| 1.5 | |
| 55 | |
| 1000 | |
| 4.5 | |
| 0.6 |
© 2020 by the authors. Licensee MDPI, Basel, Switzerland. This article is an open access article distributed under the terms and conditions of the Creative Commons Attribution (CC BY) license (http://creativecommons.org/licenses/by/4.0/).
Share and Cite
Gonzalez-Prieto, A.; Aciego, J.J.; Gonzalez-Prieto, I.; Duran, M.J. Automatic Fault-Tolerant Control of Multiphase Induction Machines: A Game Changer. Electronics 2020, 9, 938. https://doi.org/10.3390/electronics9060938
Gonzalez-Prieto A, Aciego JJ, Gonzalez-Prieto I, Duran MJ. Automatic Fault-Tolerant Control of Multiphase Induction Machines: A Game Changer. Electronics. 2020; 9(6):938. https://doi.org/10.3390/electronics9060938
Chicago/Turabian StyleGonzalez-Prieto, Angel, Juan J. Aciego, Ignacio Gonzalez-Prieto, and Mario J. Duran. 2020. "Automatic Fault-Tolerant Control of Multiphase Induction Machines: A Game Changer" Electronics 9, no. 6: 938. https://doi.org/10.3390/electronics9060938
APA StyleGonzalez-Prieto, A., Aciego, J. J., Gonzalez-Prieto, I., & Duran, M. J. (2020). Automatic Fault-Tolerant Control of Multiphase Induction Machines: A Game Changer. Electronics, 9(6), 938. https://doi.org/10.3390/electronics9060938

