Metamodelling Techniques for the Optimal Design of Low-Noise Amplifiers
Abstract
1. Introduction
2. Overview of Surrogate Models
- The spline correlation function:
- The exponential correlation function:
- The Gaussian correlation:
3. On the Modelling of Low-Noise Amplifiers’ (LNAs) Performances
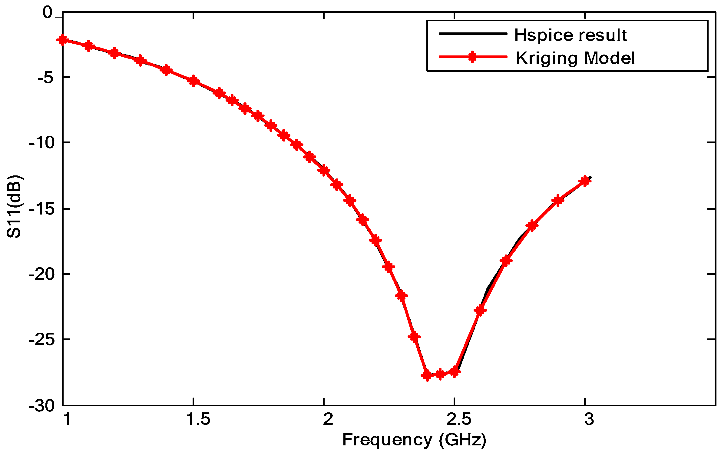
3.1. An UMTS LNA
- (1)
- Design of Experiments: It consists of establishing a database that serves as an input for the kriging technique. This database is composed of the geometric variables of the considered circuits. The Latin hypercube sampling technique (LHS) is used for this purpose [43]; 1400 valid points were considered: 1200 samples for constructing the model and 200 test samples for checking/validating the model. Table 1 gives details corresponding to the handled input variables, viz. MOS transistors channel widths and passive components values.
- (2)
- Performance Evaluation: Hspice simulator was used to evaluate the samples, check the constraints, and establish both databases. (.MEAS instruction within HSpice-RF was used to measure Sij and NF values within the considered frequency range (it is to be mentioned that 30 models have constructed for each working frequency, in the range of 1 GHz to 3 GHz)).
- (3)
- Kriging associated to the Gaussian correlation function is used to construct the model.
- (4)
- Model Construction: It consists of applying the Gaussian correlation functions-based kriging technique to construct a model for each performance (S11, S22, S21, NF and IIP3), using the established databases.
- (5)
- Model Validation: Both the root mean square error (RMSE) and the maximum absolute error (MAE) were considered to evaluate the accuracy of the constructed models. Corresponding equations are given by (10) and (11), where yi and Yi are the measured and the estimated performance values, respectively [44].
3.2. A Multistandard CMOS LNA
4. The Optimization Kernel
5. Conclusions
Author Contributions
Funding
Conflicts of Interest
References
- Garbaya, A.; Kotti, M.; Fakhfakh, M.; Siarry, P. The Backtracking Search for the Optimal Design of Low-Noise Amplifiers, In Computational Intelligence in Analog and Mixed-Signal. (AMS) and Radio-Frequency (RF) Circuit Design; Fakhfakh, M., Tlelo-Cuautle, E., Siarry, P., Eds.; Springer: Basel, Switzerland, 2015; pp. 391–412. [Google Scholar]
- Kotti, M.; Sallem, A.; Bougharriou, M.; Fakhfakh, M.; Loulou, M. Optimizing CMOS LNA circuits through multi-objective meta-heuristics. In Proceedings of the International Workshop on Symbolic and Numerical Methods, Modeling and Applications to Circuit Design, Gammarth, Tunisia, 4–6 October 2010. [Google Scholar]
- Neoh, S.C.; Marzuki, A.; Morad, N.; Lim, C.P.; Aziz, Z.A. An Interactive evolutionary algorithm for MMIC low noise amplifier design. ICIC Express Lett. 2009, 3, 15–19. [Google Scholar]
- González-Echevarría, R.; Roca, E.; Castro-López, R.; Fernández, F.V.; Sieiro, J.; López-Villegas, J.M.; Vidal, N. An automated design methodology of RF circuits by using Pareto-optimal fronts of EM simulated inductors. IEEE Trans. Comput. Aided Des. Integr. Circuits Syst. 2016, 36, 15–26. [Google Scholar] [CrossRef]
- Passos, F.; González-Echevarria, R.; Roca, E.; Castro-López, R.; Fernández, F.V. A two-step surrogate modeling strategy for single-objective and multi-objective optimization of radiofrequency circuits, methodologies and application. Soft Comput. 2019, 23, 4911–4925. [Google Scholar] [CrossRef]
- Li, Y.; Yu, S.M.; Li, Y.L. A simulation-based hybrid optimization technique for low noise amplifier design automation. In Proceedings of the International Conference on Computational Science, Beijing, China, 27–30 May 2007. [Google Scholar]
- Yadav, N.; Pandey, A.; Nath, V. Design of CMOS low noise amplifier for 1.57 GHz. In Proceedings of the International Conference on Microelectronics, Computing and Communications, Durgapur, India, 23–25 January 2016. [Google Scholar]
- Lee, T.H. The Design of CMOS Radio-Frequency Integrated Circuits; Cambridge University Press: Cambridge, UK, 2003. [Google Scholar]
- Misran, M.H.; MeorSaid, M.A.; Othman, M.A.; Ismail, M.M.; Sulaiman, H.A.; Cheng, K.G. Design of low noise amplifier using feedback and balanced technique for WLAN application. Procedia Eng. 2013, 53, 323–331. [Google Scholar] [CrossRef][Green Version]
- Arshad, S.; Ramzan, R.; Zafar, F.; Ul-Wahab, Q. Highly linear inductively degenerated 0.13 μm CMOS LNA using FDC technique. In Proceedings of the Asia Pacific Conference on Circuits and Systems, Ishigaki, Japan, 17–20 November 2014. [Google Scholar]
- Tulunay, G.; Balkir, S. A synthesis tool for CMOS RF low noise amplifiers. IEEE Trans. Comput. Aided Des. Integr. Circuits Syst. 2008, 27, 977–982. [Google Scholar] [CrossRef]
- Koziel, S.; Leifsson, L. Surrogate-Based Modeling and Optimization; Springer: New York, NY, USA, 2013. [Google Scholar]
- Box, G.E.P.; Wilson, K.B. On the experimental attainment of optimum conditions. J. R. Stat. Soc. 1951, 13, 1–45. [Google Scholar] [CrossRef]
- Yelten, M.B.; Franzon, P.D.; Steer, M.B. Comparison of modeling techniques in circuit variability analysis. Int. J. Numer. Modell. Electr. Net. Devices Fields 2012, 25, 288–302. [Google Scholar] [CrossRef]
- Krige, D.G. A statistical approach to some basic mine valuation problems on the Witwatersrand. J. Chem. Metall. Min. Soc. South Afr. 1953, 52, 119–139. [Google Scholar]
- Hardy, R.L. Multiquadratic equations of topography and other irregular surfaces. J. Geophys. Res. 1971, 76, 1905–1915. [Google Scholar] [CrossRef]
- Zhou, Q.; Shao, X.; Jiang, P.; Zhou, H.; Shu, L. An adaptive global variable fidelity metamodeling strategy using a support vector regression based scaling function. Simul. Model. Pract. Theory 2015, 59, 18–35. [Google Scholar] [CrossRef]
- Liao, Y.; Liu, L.; Long, T. Multi-objective aerodynamic and stealthy performance optimization for airfoil using kriging surrogate model. In Proceedings of the International Conference on Communication Software and Networks, Xi’an, China, 27–29 May 2011. [Google Scholar]
- Wang, G.G.; Shan, S. Review of metamodeling techniques in support of engineering design optimization. J. Mech. Des. 2006, 129, 370–380. [Google Scholar] [CrossRef]
- Garbaya, A.; Kotti, M.; Fakhfakh, M. Radial basis function surrogate modeling for the accurate design of analog circuits. In Analog Circuits: Fundamentals, Synthesis and Performance; Tlelo-Cuautle, E., Fakhfakh, M., De La Fraga, L.G., Eds.; Nova: New York, NY, USA, 2017; pp. 269–286. [Google Scholar]
- Garbaya, A.; Kotti, M.; Fakhfakh, M.; Tlelo-Cuautle, E. On the accurate modeling of analog circuits via the kriging metamodeling technique. In Proceedings of the International Conference on Synthesis, Modeling, Analysis and Simulation Methods and Applications to Circuit Design, Giardini Naxos, Italy, 12–15 June 2017. [Google Scholar]
- Garbaya, A.; Kotti, M.; Drira, N.; Fakhfakh, M.; Tlelo-Cuautle, E.; Siarry, P. An RBF-PSO technique for the rapid optimization of (CMOS) analog circuits. In Proceedings of the International Conference on Modern Circuits and Systems Technologies, Thessaloniki, Greece, 7–9 May 2018. [Google Scholar]
- Edali, M.; Yucel, G. Exploring the behavior space of agent-based simulation models using random forest metamodels and sequential sampling. Simul. Model. Pract. Theory 2019, 92, 62–81. [Google Scholar] [CrossRef]
- Akso, E.; Soysal, İ.B.; Yelten, M.B. Surrogate modeling and variability analysis of on-chip spiral inductors. Int. J. Numer. Modell. Electr. Net. Devices Fields 2017, 31, e2313. [Google Scholar] [CrossRef]
- Margareta, D.H.; Manimegalai, B. Modeling and optimization of EBG structure using response surface methodology for antenna applications. Int. J. Electron. Commun. 2018, 89, 34–41. [Google Scholar] [CrossRef]
- Zhang, J.; Ma, Y.; Yang, T.; Liu, L. Estimation of the Pareto front in stochastic simulation through stochastic Kriging. Simulation Modelling Practice and Theory 2017, 79, 69–86. [Google Scholar] [CrossRef]
- Lourenço, J.M.; Lebensztajn, L. Surrogate modeling and two level infill criteria applied to electromagnetic device optimization. IEEE Trans. Magn. 2015, 51, 34–42. [Google Scholar] [CrossRef]
- Zhao, D.; Xue, D. A multi-surrogate approximation method for metamodeling. Eng. Comput. 2011, 27, 139–153. [Google Scholar] [CrossRef]
- Fouladinejad, N.; Abdul Jalil, M.K.; Mohd Taib, J. Reduction of computational cost in driving simulation subsystems using approximation techniques. In Proceedings of the international Conference on Industrial Automation, Information and Communications Technology, Bali, Indonesia, 28–30 August 2014. [Google Scholar]
- Xia, B.; Ren, Z.; Koh, C.S. Utilizing kriging surrogate models for multi-objective robust optimization of electromagnetic devices. IEEE Trans. Magn. 2014, 50, 693–696. [Google Scholar] [CrossRef]
- Dong, J.; Li, Q.; Deng, L. Fast multi-objective optimization of multi-parameter antenna structures based on improved MOEA/D with surrogate-assisted model. Int. J. Electron. Commun. 2017, 72, 192–199. [Google Scholar] [CrossRef]
- Kotti, M.; González-Echevarría, R.; Fernández, F.V.; Roca, E.; Sieiro, J.; Castro-López, R.; Fakhfakh, M.; López-Villegas, J.M. Generation of surrogate models of Pareto-optimal performance trade-offs of planar inductors. Analog Integr. Circuits Signal Process. 2014, 78, 87–97. [Google Scholar] [CrossRef]
- Younis, S.; Saleem, M.M.; Zubair, M.; Zaidia, S.M.T. Multiphysics design optimization of RF-MEMS switch using response surface methodology. Microelectron. J. 2018, 71, 47–60. [Google Scholar] [CrossRef]
- Garg, L. Variability aware transistor stack based regression surrogate models for accurate and efficient statistical leakage estimation. Microelectron. J. 2017, 69, 1–19. [Google Scholar] [CrossRef]
- Rodat, D.; Guibert, F.; Dominguez, N.; Calmon, P. Introduction of physical knowledge in kriging-based metamodelling approaches applied to Non-Destructive Testing simulations. Simul. Model. Pract. Theory 2018, 87, 35–47. [Google Scholar] [CrossRef]
- Barton, R.R.; Meckesheimer, M. Metamodel-Based Simulation Optimization. Handb. Oper. Res. Manag. Sci. 2006, 13, 535–574. [Google Scholar]
- Shankar, S.U.; Dhas, M.D.K. Design and performance measure of 5.4 GHZ CMOS low noise amplifier using current reuse technique in 0.18 μm Technology. Procedia Comput. Sci. 2015, 47, 135–143. [Google Scholar] [CrossRef][Green Version]
- Wang, H.; Li, G.S.; Liu, P.G. Characterization of third-order nonlinearity in low noise amplifier. In Proceedings of the Electrical Design of Advanced Packaging and Systems Symposium, Hanzhou, China, 12–14 December 2011. [Google Scholar]
- Galal, A.I.A.; Pokharel, R.K.; Kanaya, H.; Yoshida, K. 3-7 GHz low power wide-band common gate low noise amplifier in 0.18 µm CMOS process. In Proceedings of the Asia-Pacific Microwave Conference, Yokohama, Japan, 7–10 December 2010. [Google Scholar]
- Razavi, B. RF Microelectronics; Prentice Hall: Upper Saddle River, NJ, USA, 2012. [Google Scholar]
- Synopsys, Hspice. Available online: http://www.synopsys.com (accessed on 20 April 2020).
- Boughariou, M.; Fakhfakh, M.; Loulou, M. Design and optimization of LNAs through the scattering parameters. In Proceedings of the IEEE Mediterranean Electro-Technical Conference, Valletta, Malta, 26–28 April 2010. [Google Scholar]
- Forrester, A.I.J.; Sobester, A.; Keane, A. Engineering Design via Surrogate Modelling; A Practical Guide; Wiley: Pondicherry, India, 2008. [Google Scholar]
- Gelder, L.V.; Das, P.; Janssen, H.; Roels, S. Comparative study of metamodelling techniques in building energy simulation: Guidelines for practitioners. Simul. Model. Pract. Theory 2014, 49, 245–257. [Google Scholar] [CrossRef]
- Sallem, A.; Benhala, B.; Kotti, M.; Fakhfakh, M.; Ahaitouf, A.; Loulou, M. Application of swarm intelligence techniques to the design of analog circuits: Evaluation and comparison. Analog Integr. Circuits Signal Process. 2013, 75, 499–516. [Google Scholar] [CrossRef]
- Siarry, P.; Michalewicz, Z. Advances in Metaheuristics for Hard Optimization; Springer: Berlin, Germany, 2007. [Google Scholar]
- Clerc, M. Particle Swarm Optimization; International Scientific and Technical Encyclopaedia: London, UK, 2006. [Google Scholar]













| Components | Variation Ranges |
|---|---|
| W1, W2 | [400 µm, 700 µm] |
| LL, L1 | [0.1 nH, 1 nH] |
| L2 | [5 nH, 10 nH] |
| CL, Cs | [5 pF, 10 pF] |
| Frequency | S11 | S22 | S21 | NF |
|---|---|---|---|---|
| 1 GHz | 0.0012 × 10−11 | 0.0001 × 10−11 | 0.0578 × 10−12 | 0.0386 × 10−13 |
| 1.5 GHz | 0.0188 × 10−11 | 0.0037 × 10−11 | 0.0579 × 10−12 | 0.0208 × 10−13 |
| 2.14 GHz | 0.6182 × 10−11 | 0.2809 × 10−11 | 0.1410 × 10−12 | 0.0369 × 10−13 |
| 2.5 GHz | 0.1942 × 10−11 | 0.0514 × 10−11 | 0.1691 × 10−12 | 0.0652 × 10−13 |
| 3 GHz | 0.0497 × 10−11 | 0.0046 × 10−11 | 0.0875 × 10−12 | 0.1328 × 10−13 |
| Frequency | S11 | S22 | S21 | NF |
|---|---|---|---|---|
| 1 GHz | 0.0003 × 10−10 | 0.0003 × 10−11 | 0.1683 × 10−12 | 0.0822 × 10−13 |
| 1.5 GHz | 0.0062 × 10−10 | 0.0133 × 10−11 | 0.1616 × 10−12 | 0.0488 × 10−13 |
| 2.14 GHz | 0.3052 × 10−10 | 0.7127 × 10−11 | 0.3908 × 10−12 | 0.1066 × 10−13 |
| 2.5 GHz | 0.0729 × 10−10 | 0.1689 × 10−11 | 0.5791 × 10−12 | 0.1910 × 10−13 |
| 3 GHz | 0.0181 × 10−10 | 0.0156 × 10−11 | 0.3066 × 10−12 | 0.3730 × 10−13 |
| Input Power | RMSE | MAE |
|---|---|---|
| −50 dBm | 5.4793 × 10−13 | 3.1646 × 10−12 |
| −40 dBm | 4.1372 × 10−13 | 1.4415 × 10−12 |
| −30 dBm | 4.1928 × 10−13 | 1.4451 × 10−12 |
| −20 dBm | 3.9675 × 10−13 | 1.3305 × 10−12 |
| −10 dBm | 3.7601 × 10−13 | 1.3900 × 10−12 |
| Components | Variation Ranges |
|---|---|
| W1, W2 | [100 µm, 1000 µm] |
| LL | [0.5 nH, 0.9 nH] |
| L1 | [0.01 nH, 0.9 nH] |
| L2 | [1 nH, 10 nH] |
| CL, Cs | [1 pF, 10 pF] |
| C1, C2 | [0.1 fF, 20 fF] |
| RL | [0.1 Ohm, 10 Ohm] |
| Frequency | S11 | S22 | S21 | NF |
|---|---|---|---|---|
| 1 GHz | 0.0385 × 10−12 | 0.0244 × 10−12 | 0.0526 × 10−11 | 0.1767 × 10−13 |
| 1.5 GHz | 0.3384 × 10−12 | 0.1694 × 10−12 | 0.0132 × 10−11 | 0.0953 × 10−13 |
| 2 GHz | 0.7082 × 10−12 | 0.5271 ×10−12 | 0.0364 × 10−11 | 0.0881 × 10−13 |
| 2.5 GHz | 0.8602 × 10−12 | 0.7183 × 10−12 | 0.1135 × 10−11 | 0.1729 × 10−13 |
| 3 GHz | 0.7436 × 10−12 | 0.4882 × 10−12 | 0.0617 × 10−11 | 0.3702 × 10−13 |
| Frequency | S11 | S22 | S21 | NF |
|---|---|---|---|---|
| 1 GHz | 0.0184 ×10−11 | 0.0081 × 10−11 | 0.1692 × 10−11 | 0.0995 × 10−12 |
| 1.5 GHz | 0.1908 × 10−11 | 0.0740 × 10−11 | 0.0448 × 10−11 | 0.0535 × 10−12 |
| 2.14 GHz | 0.2519 × 10−11 | 0.1986 × 10−11 | 0.1430 × 10−11 | 0.0264 × 10−12 |
| 2.5 GHz | 0.6047 × 10−11 | 0.3219 × 10−11 | 0.3684 × 10−11 | 0.0728 × 10−12 |
| 3 GHz | 0.3300 × 10−11 | 0.2938 × 10−11 | 0.1963 × 10−11 | 0.1559 × 10−12 |
| Input Power | RMSE Error | MAE Error |
|---|---|---|
| −50 dBm | 2.8713 × 10−12 | 6.9952 × 10−12 |
| −40 dBm | 3.6393 × 10−12 | 7.6232 × 10−12 |
| −30 dBm | 3.9481 × 10−12 | 10.7478 × 10−12 |
| −20 dBm | 1.4343 × 10−12 | 4.5812 × 10−12 |
| −10 dBm | 1.8178 × 10−12 | 5.8903 × 10−12 |
| W1 (µm) | W2 (µm) | LL (nH) | L2 (nH) | L1 (nH) | Cs (pF) | CL (pF) |
|---|---|---|---|---|---|---|
| 482.30 | 620.61 | 0.948 | 7.432 | 0.244 | 8.648 | 5.187 |
| W1 (µm) | W2 (µm) | LL (nH) | L2 (nH) | L1 (nH) | Cs (pF) | C1 (fF) | C2 (fF) | RL (Ohm) | CL (pF) |
|---|---|---|---|---|---|---|---|---|---|
| 574.57 | 494.82 | 0.859 | 7.910 | 0.303 | 2.903 | 9.865 | 2.074 | 0.346 | 6.731 |
| Performances | Specification | Kriging model-PSO | Hspice Simulation |
|---|---|---|---|
| S21(dB) | >16 | 16.013 | 16.093 |
| S11(dB) | <−10 | −12.600 | −12.770 |
| NF(dB) | <4 | 1.300 | 1.307 |
| IIP3(dBm) | To be maximized | 8.300 | 8.306 |
| Performances | Specification | Kriging model-PSO | Hspice Simulation |
|---|---|---|---|
| S21(dB) | >16 | 17.165 | 17.164 |
| S11(dB) | <−10 | −13.735 | −13.737 |
| NF(dB) | <4 | 1.246 | 1.246 |
| IIP3(dBm) | To be maximized | 4.307 | 4.307 |
© 2020 by the authors. Licensee MDPI, Basel, Switzerland. This article is an open access article distributed under the terms and conditions of the Creative Commons Attribution (CC BY) license (http://creativecommons.org/licenses/by/4.0/).
Share and Cite
Garbaya, A.; Kotti, M.; Fakhfakh, M.; Tlelo-Cuautle, E. Metamodelling Techniques for the Optimal Design of Low-Noise Amplifiers. Electronics 2020, 9, 787. https://doi.org/10.3390/electronics9050787
Garbaya A, Kotti M, Fakhfakh M, Tlelo-Cuautle E. Metamodelling Techniques for the Optimal Design of Low-Noise Amplifiers. Electronics. 2020; 9(5):787. https://doi.org/10.3390/electronics9050787
Chicago/Turabian StyleGarbaya, Amel, Mouna Kotti, Mourad Fakhfakh, and Esteban Tlelo-Cuautle. 2020. "Metamodelling Techniques for the Optimal Design of Low-Noise Amplifiers" Electronics 9, no. 5: 787. https://doi.org/10.3390/electronics9050787
APA StyleGarbaya, A., Kotti, M., Fakhfakh, M., & Tlelo-Cuautle, E. (2020). Metamodelling Techniques for the Optimal Design of Low-Noise Amplifiers. Electronics, 9(5), 787. https://doi.org/10.3390/electronics9050787

