A Review of Relay Assignment Problem in the Cooperative Wireless Sensor Networks
Abstract
1. Introduction
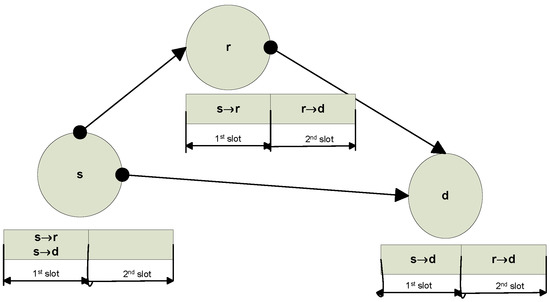
The Relay Node Assignment Problem
2. The Key Factors and Challenging Issues to Design Relay Selection Method
- Share and manage the channel state information between source and relay nodes in a timely and distributed manner to avoid delay and collision.
- In multiuser scenario, an efficient scheduling technique needs to be addressed when one relay node serves multiple sources and destinations, and also needs to develop a schema that treats all users fairly.
- Management of resource and multiple access protocols become an issue when cooperative methods allow multiple partners.
- Another challenging issue is to design the power control mechanisms for the system like ad hoc sensor networks where the sensor nodes have limited battery power. The energy efficiency and power consumption become an challenging issue to select relay protocol in order to save battery power.
- The interference produced by multiple relays require to be addressed and investigate its impact in the network performance.
- Which methods are applied to determine users that cooperate?
- Is the relay method better than the direct transmission?
- What are the criteria to select a relay node which provides the maximum capacity?
- How is the transmission power distributed between the source and relay nodes?
- Centralized mechanism: uses a central node such as base station or centralized table, which runs centralized algorithms. These mechanisms focus on solving complicated optimization problems by assuming complete channel state information of the networks [5]. Relays can be selected to optimize a given performance criteria such as maximize the channel capacity, average blocks error rate, or minimize the power consumption.
- Distributed mechanism: are used in ad hoc and wireless sensor networks. In a distributed method, the senders or receivers are able to choose the cooperative node at any given time [6].
- Single relay selection schemes: In this schema, each source–destination pair has only one helper node. There are two distinction in this category. Only one relay can be assigned to one source and one relay can serve multiple sources simultaneously. The latter one needs better scheduling mechanisms.
- Multiple relay selection schemes: Each source–destination pair can be assisted by multiple helper nodes. In this mechanism, each source node has multiple helper nodes. It requires proper distribution of channel state information and better scheduling techniques [7].
- Capacity or data rate maximization and relay selection: Capacity between source to destination pair (direct transmission path) and amplify forward, decode forward modes are calculated. Users select relay nodes based on the channel gain. There are several factors such as path loss, fading that are used to measure the channel gain between transmission pairs and relay nodes. The work done in [13,14] calculates the link capacity and propose an optimal relay assignment algorithms: ORA and OPRA, respectively.
- Energy efficient relay selection: Relay node selection to minimize the power consumption and improve the energy efficiency of the networks. Cai et al. [15] propose a semi-distributed user relaying algorithm in AF wireless sensor networks. In this approach, users select relay nodes from a set of feasible relay nodes and at the same time maintain optimum power allocation. Similarly, the work done in [16] propose a joint relay assignment and power allocation (JRPA) algorithm for cooperative communication. The energy efficiency is one the main performance criteria to select the relay node in wireless sensor networks [17,18].
- Opportunist relay selection: Opportunistic relay selection depends on instantaneous measurement of channel condition and does not require any topological information. In [19,20], the authors propose a novel relay selection method that chooses the best relay node among M the available relays based on the signal strength measurements rather than distance.
- Interference mitigation and relay selection: Interference mitigation is the one of the key performance issues to design the relay selection method [10,21]. In cooperative network, multiple relay nodes cause interference to others. Interference associated with relay nodes is considered in this approach. Improper selection of relay node sometimes interact with others transmission rate. In [22], the authors measure the interference that is generated by relay nodes and update the selection process as well.
- Relay selection and coverage expansion:In cooperative communication, relay nodes help to expand the coverage area without increasing infrastructure. In [23], the authors consider the extension of coverage area using the relay selection method.
- Resource allocation and relay selection: The relay node selection and resource allocation are considered in [27], where the authors consider the utility maximization problem for the joint optimization of relay node selection and resource allocation.
3. Relay Selection Strategies in Cooperative Wireless Network
3.1. Capacity Maximization and Relay Selection
- Preprocessing/Initialization step: ORA starts with a random relay allocation to each source–destination pairs. Each source has at most one relay node that follows one-to-one allocation problem.
- Adjustment and Selection step: Next step, ORA adjust the assignment during each iteration using objective function, identify source node which has lowest . Then, select a new relay node to this source such that can be increased.
- Final Assignment: If the selected relay node is already assigned to another source node, then require further node adjustment. Such adjustment is a recursive method that create a chain effect on a number of source nodes in the network. Finally, if a better adjustment is found then ORA moves to next iteration otherwise terminate. In the adjustment step, the ORA algorithm always maintain the objective function.
- In this approach, the source node and relay node should transmit at maximum power level to achieve maximum capacity under AF and DF mode which require to develop a efficient power control mechanism to improve performance.
- For interference mitigation, this approach assumes that infinite number of OFDMA orthogonal channels are available in the network which is impractical for networking point of view.
- Relay node assignment problem in a cooperative ad hoc network environment is addressed in this approach, where distributed cooperative protocol is needed for cooperation among users, which incurs additional overhead into the systems.
- Overhead associated with distributing the link state information in the network makes the implementation of this approach quite difficult.
- Applicable only when all users in ad hoc networks know about their channel gain and SNR values of their associated link. Otherwise, the adjustment and selection steps of the algorithms cannot select proper relay node.
- Scheduling techniques between transmission pairs and relay nodes is not addressed here.
- Initial set-up and graph construction: A set of source nodes correspond to vertices and set of destination and relay nodes correspond to vertices and a set of edge are assigned where if or . Using Equation (9), the initial capacity of all source, destination, and relay nodes are calculated, and then set the weight of all edges by for all and for all .
- Construct maximum weighted bipartite graph and find optimal relay node: Apply maximum weighted bipartite matching algorithm to find a maximum weighted matching in graph . For all , the relay assignment of source node is calculated by if ; otherwise, , which means the capacity of direct transmission gives better option.Some drawbacks of this approach are listed below.
- The running time of this algorithm varies on networks with different size, which mainly depends on the number of source, destination, and relay nodes of the networks. The most time-consuming part is applying maximum weighted bipartite matching algorithm. Simulation of this algorithm works only 40 to 500 nodes.
- In this approach, each relay node serves at most one source node depending on capacity calculation. Relay nodes of this approach require better scheduling technique to handle significant number of source nodes. Although TDMA-based scheduling is used, which requires additional input filters and frequency conversion because in cooperative networks, relay nodes use both uplink and downlink transmission to receive and forward packets.
- This approach assumes that orthogonal channels are available into the network to mitigate interference, which is impractical for network point of view.
3.2. Energy-Efficient Relay Selection
- Bipartite graph construction: A weighted bipartite graph G is created based on the transmission pair set X and relay node set Y. The weights of edges is calculated based on the Equations (2) and (4), which actually estimate the channel gain information between source–destination and source–relay nodes.
- Saturated matching procedure: Apply K-mean algorithm to find out a maximum saturated matching.
- Relay node assignment: Finally, the relay node is assigned to the transmission pair T, where , where to and and denote total number of transmission pair and relay nodes, respectively.
- This approach shows that each node using fixed transmission power. The cooperative communication with appropriate relay selection can offer a larger capacity than that under direct transmission.
- Simulation part of this algorithm shows that it can save energy compared to direct transmission and to the ORA [13] schemes. Based on this result, it can be decided that cooperative communication with proper relay node selection can provide the required bandwidth with a smaller transmission power on each node.
- Simulation part of this algorithm considers the impact of the number of the source–destination pairs on the total power consumptions under the uniform bandwidth and random bandwidth requirements. In both cases, the total power consumption is increasing as the increasing rate of number of transmission pair. The authors do not show any optimal and threshold value of the number of transmission pairs under the heavy load condition.
- The running of this approach depends on the number of transmission pair and relay node assigned on the networks. Complexity of this approach depends on the number of nodes in the networks. The most time consuming part is bipartite graph construction.
- Feasible set generation: In the first phase, the relay nodes using handshaking packets such as request to send (RTS) and clear to send (CTS) estimate the channel gains from the source and destination nodes. Then, all relay nodes hence decide on their feasibility and report their node indices to the destination.
- Relay node allocation: Run the destination-based relay selection method where the destination selects relay node from the feasible set and assigning it to one of the source nodes.
- High computational complexity due to apply power allocation with relay selection. The trade-off between the performance improvement by optimal power allocation and computational complexity need to be addressed.
- The feasible set of relay nodes depends on SNR value of the transmission pairs. The larger SNR values reduce the size of the feasible node set because when SNR becomes sufficiently large, the direct transmission becomes only choice.
- In this schema, the inter-user interference is omitted by assuming the availability of orthogonal channels in the network. OFDMA multiple access is used but how to combat this interference is not addressed here.
3.3. Relay Selection and Coverage Expansion
3.4. Interference Mitigation and Relay Selection
- Simultaneously, mitigate the interference for cooperative networks.
- Preprocessing step: In this step, each node calculates channel capacity and with the information in Cooptable. Then, selects the relay node which can maximize its capacity without considering the interference information.
- Collision detection, negotiation, and final assignment: Three control packets request–reply and report are used here. If detects collisions, a request packet sends to the sender . After receiving request packet, the sender search a replacer in the current in Cooptable. The replacer is selected when the replacer status is un-interfered, capacity must be higher than direct transmission and provide the maximum capacity gain among others nodes. If a replacer can be found, source sends the information of the replacer to by reply packets. Next, negotiates with interfered node and sends report packet to source about the replacer information.
- This schema depends on the construction of Cooptable. Each source node maintains this table which need periodically update process when network condition varying.
- This protocol works on the assumption that only relay node can create impact the transmission on other nodes. However, in the real-time scenario, interference will occurred by any nodes.
- This protocol works like reactive fashion. First, each source node selects a relay node; if this relay causes any collision to others node, then negotiation and replacement procedure will happen. The overhead associate with this procedure generates new complexity and has side effect when a replacer concurrently try to replace others relay node.
- Lower spectrum efficiency and high computational complexity are major problem when multiple relay nodes provide service to each source.
3.5. Relay Selection Based on Local Information (Interference Factor, Mobility, and Transmission History)
- Authors develop an interference-aware relay selection protocol and also considered the mobility factor of the node.
- This protocol minimizes signaling exchange, removes estimation of channel conditions and does not need any additional control signal.
- RelaySpot minimizes the outage and improve the overall throughput by applying cooperative scheduling techniques.
- Simulation result shows that selecting a relay node with low interference and lower number of concurrent neighbor flows lead to higher transmission opportunities.
- Interference-aware approach of relay selection also ensures low resource blockage.
4. Conclusions and Future Work
- How scheduling and synchronization process work when multiple relay nodes are selected to assist users.
- Investigation of the design issues of reservation process and resource allocation and relay selection in MAC layer.
- In multi-hop networks, how medium access control protocol supports multiple relay node.
- Recent researchers address the impact of interference that are produced by relay nodes. However, it is still a challenging task to investigate how the interference produced by the relays impact the relay selection process and network performance.
- For larger wireless sensor networks, the estimation of multi-hop route along with relay selection remains an interesting and challenging open problem.
Funding
Conflicts of Interest
References
- Ferdouse, L.; Anpalagan, A. Relay selection based on bayesian decision theory in cooperative wireless networks. Can. J. Electr. Comput. Eng. 2015, 38, 116–124. [Google Scholar] [CrossRef]
- Shah, V.K.; Gharage, A.P. A review on relay selection techniques in cooperative communication. Int. J. Eng. Innov. Technol. 2012, 2, 65–69. [Google Scholar]
- Laneman, D.J.N.; Wornell, G. Cooperative diversity in wireless networks: Efficient protocol and outrage behaviour. IEEE Trans. Inf. Theory 2004, 50, 3062–3080. [Google Scholar] [CrossRef]
- Mahmood, A. Cooperative diversity in wireless networks. J. Eng. Sci. Thechnol. Rev. 2010, 3, 184–187. [Google Scholar] [CrossRef]
- Tan, H.K.; Wan, Z.; Andrian, J. CODE: Cooperative medium access for multimate wireless Ad hoc network. IEEE SECON 2007, 1–10. [Google Scholar] [CrossRef]
- Senanayake, R.; Atapattu, S.; Evans, J.; Smith, P. Decentralized relay selection in multi-user multihop decode-and-forward relay networks. IEEE Trans. Wirel. Commun. 2018, 17, 3313–3326. [Google Scholar] [CrossRef]
- Amarasuriya, M.G.; Tellambura, C. Output-threshold multiple relay selection scheme for cooperative wireless networks. IEEE Trans. Veh. Technol. 2010, 59, 3091–3097. [Google Scholar] [CrossRef]
- Ju, J.; Duan, W.; Sun, Q.; Gao, S.; Zhang, G. Performance analysis for cooperative noma with opportunistic relay selection. IEEE Access 2019, 7, 131488–131500. [Google Scholar] [CrossRef]
- Zhu, Y.; Li, Z.; Sui, D.; Li, D.; Kong, J.; Hu, F. Group-based relay selection in simultaneous wireless information and power transfer network. IEEE Access 2018, 6, 49019–49028. [Google Scholar] [CrossRef]
- Xie, K.; Wang, X.; Liu, X.; Wen, J.; Cao, J. Interference-aware cooperative communication in multi-radio multi-channel wireless networks. IEEE Trans. Comput. 2016, 65, 1528–1542. [Google Scholar] [CrossRef]
- Shan, H.; Wang, P.; Zhang, W.; Wang, Z. Cross-layer cooperative triple busy tone multiple access for wireless networks. In Proceedings of the IEEE GLOBECOM 2008—2008 IEEE Global Telecommunications Conference, New Orleans, LO, USA, 30 November–4 December 2008; pp. 1–5. [Google Scholar]
- Li, E.; Wang, X.; Dong, Y.; Li, Y. Research on the nth-best relay selection with outdated feedback in selection cooperation systems. Wirel. Pers. Commun. 2016, 89, 45–59. [Google Scholar] [CrossRef]
- Sharma, Y.H.S.; Shi, Y.; Kompella, S. An optimal algorithm for relay node assignment in coopertive add hoc networks. IEEE Trans. Netw. 2011, 19, 877–892. [Google Scholar] [CrossRef]
- Yang, D.; Fang, X.; Xue, G. OPRA:Optimal relay assignment for capacity maximimization in cooperative networks. In Proceedings of the IEEE International Conference on Communications (ICC), Kyoto, Japan, 5–9 June 2011; pp. 1–6. [Google Scholar]
- Cai, J.J.; Shen, S.; Alfa, A. Semi-distributed user relaying algorithm for amplify and forward wireless relay networks. IEEE Trans. Wirel. Commun. 2008, 7, 1348–1357. [Google Scholar]
- Xu, L.H.; Liu, G. Joint relay assignment and power allocation for cooperative for cooperative communication. Wirel. Netw. 2010, 16, 2209–2219. [Google Scholar] [CrossRef]
- Saghezchi, F.; Radwan, A.; Rodriguez, J. Energy-aware relay selection in cooperative wireless networks: An assignment game approach. Ad Hoc Netw. 2017, 56, 96–108. [Google Scholar] [CrossRef]
- Arroyo-Valles, R.; Simonetto, A.; Leus, G. Consistent sensor, relay, and link selection in wireless sensor networks. Signal Process. 2017, 140, 32–44. [Google Scholar] [CrossRef]
- Bletsas, D.A.; Lippman, A. A simple cooperative diversity method based on network path selection. IEEE J. Sel. Areas Commun. 2006, 24, 659–670. [Google Scholar] [CrossRef]
- Alam, M.; Kaddoum, G.; Agba, B. A novel relay selection strategy of cooperative network impaired by bursty impulsive noise. IEEE Trans. Veh. Technol. 2019, 68, 6622–6635. [Google Scholar] [CrossRef]
- Hassan, J.; Mustafa, S. An efficient partner selection method to overcome the interference effect in wireless networks. IEEE Access 2019, 7, 33677–33685. [Google Scholar] [CrossRef]
- Zhang, F.P.; Xu, Z.; Tu, L. A relay assignment algorithm with interference mitigation for cooperative communication. IEEE J. Sel. Areas Commun. 2007, 25, 328–339. [Google Scholar]
- Sadek, Z.A.K.; Lui, K.J.R. Distributed relay-assignment protocols for coverage expansion in cooperative wireless networks. IEEE Trans. Mob. Comput. 2010, 9, 505–515. [Google Scholar] [CrossRef]
- Lee, I.-H.; Jung, H. Energy-efficient path selection using snr correlation for wireless multi-hop cooperative communications. Energies 2018, 11, 3004. [Google Scholar] [CrossRef]
- Onat, F.A.; Fan, Y.; Yanikomeroglu, H.; Poor, H. Threshold-based relay selection for detect and forward relaying in cooperative wireless networks. EURASIP J. Wirel. Commun. Netw. 2010, 1–9. [Google Scholar] [CrossRef]
- Afzal, M.; Nam, S.Y.; Kim, B.-S.; Kim, S.W. Snr-based relay selection in cooperative wireless ad hoc networks. Int. J. Ad Hoc Ubiquitous Comput. 2018, 28, 45–54. [Google Scholar] [CrossRef]
- Ng, T.C.Y.; Yu, W. Joint optimization of relay strategies and resource allocation in cooperative cellular networks. IEEE J. Sel. Areas Commun. 2007, 25, 328–339. [Google Scholar] [CrossRef]
- Su, Y.; Lu, X.; Zhao, Y.; Huang, L.; Du, X. Cooperative communications with relay selection based on deep reinforcement learning in wireless sensor networks. IEEE Sensors J. 2019, 19, 9561–9569. [Google Scholar] [CrossRef]
- Nguyen, T.T.; Lee, J.H.; Nguyen, M.T.; Kim, Y.H. Machine learning-based relay selection for secure transmission in multi-hop df relay networks. Electronics 2019, 8, 949. [Google Scholar] [CrossRef]
- Xu, S.; Wang, F. Analysis and comparision of relay node selection algorithm of cooperative communication. Inf. Technol. J. 2013, 12, 434–438. [Google Scholar]
- Pei, N.T.L.; Zhifeng, T.; Panwar, S. CoopMAC: A cooperative MAC for wireless LANs. IEEE J. Sel. Areas Commun. 2007, 25, 340–354. [Google Scholar]
- Jamal, P.T.; Zuquete, A. Wireless cooperative relaying based on opportunistic relay selection. Int. J. Adv. Netw. Serv. 2012, 5, 116–128. [Google Scholar]
- Shi, Y.H.Y.; Sharma, S.; Kompella, S. Optimal relay assignment in cooperative communications. In Proceedings of the 9th ACM International Symposium on Mobile Ad Hoc Networking and Computing (MobiHoc08), 26–30 May 2008; pp. 3–12. [Google Scholar] [CrossRef]
- Nosratinia, A.; Hunter, T.E. Grouping and partner selection in cooperative wireless networks. IEEE J. Sel. Areas Commun. 2007, 25, 369–378. [Google Scholar] [CrossRef]








| Algorithm | Objective | Number of Transmission Pairs | Number of Relay Nodes | Selection Criteria and Mechanism | Selection Parameters | Strong Points |
|---|---|---|---|---|---|---|
| Optimal relay assignment algorithm ORA [13,33] | Find an optimal relay node assignment for all source and destination pairs such that minimum capacity among all pairs is maximum | Multiple source and multiple destination pairs | Single relay assignment schema. Multiple relay node but one relay is assigned to one source only. | Cooperative and distributed approach | Channel state information and signal to noise ratio | Provide an optimal solution, polynomial time algorithm |
| Capacity maximization and optimal relay assignment OPRA [14] | Maximize the total capacity of the networks | Multiple Source-destination pairs | Multiple relay nodes but one relay node can be shared by multiple source nodes | Cooperative and distributed approach | Depends on channel state information and signal to noise ratio | Polynomial time algorithm, TDMA Scheduling is used. |
| Output threshold-based relay selection [7] | Increase throughput and minimize outage | Multiple transmission pairs | Multiple relay selection schema. | Cooperative and Destination assign relay node. | Depends on CSI and SNR value | Less channel estimation requirements and lower power consumption. |
| Interference-aware relay assignment ORAi [22] | Interference mitigation and maximize the average capacity of the networks | Multiple source–destination pairs | Multiple relay assignment schema.One source can use multiple relay nodes. | Cooperative, table based schema | Estimate the impact of interference produced by relay nodes, works on channel state information(CSI) | Estimate conflict flow capacity and adjust flow through negotiation process.Interference mitigation process minimize collision of the network. |
| Joint relay and power allocation JRPA [16] | Minimize the total power consumption of the networks | Multiple source–destination pairs | Single relay assignment schema.One relay assign to one source. | Cooperative and centralized approach | Analyze minimum power consumption and estimate optimal power allocation under different bandwidths requirements | Polynomial time algorithm, consider different bandwidth requirements |
| Semi-distributed Algorithm [15] | Power allocation for AF wireless relay network | Multiple source–destination pairs | Single relay selection schema | Distributed approach | Comparing channel gain with predefined threshold and construct feasible relay sets. | Derive threshold-based necessary and sufficient condition which is used in relaying algorithm. Algorithm shows lower computational complexity and system overhead. |
| Table based relay selection [31] | Ensure diversity and enhance data rate | Single source destination pairs | Single relay assignment | Source-based, centralized and cooperative mechanism | Estimate real-time CSI value. | Simple mechanism and easy to compute. |
| Coverage expansion and infrastructure based relay selection [23] | Find optimal relay location to minimize outage probability. | Multiple source but single destination. | Single relay assignment schema. One relay serve more than one source. | Distributed approach | Estimate distance and outage probability. | Appropriate relay node significantly increase in coverage area, minimize outage. |
| Priority list based distributed partner selection [34] | Diversity improvement | Multiple source destination pairs | Multiple relay assignment | Distributed approach | Estimate signal to noise ratio, outage probability and create a priority list depends on this two value | Fixed priority list based selection schema achieve full diversity gain. |
| Priority list based centralized partner selection [34] | Minimize the average node outage across the network. | Multiple source destination pairs | Multiple relay assignment | Centralized approach | Estimate outage probability-based on channel information. | Simple and relay selection based on physical location. |
| Mobility and transmission history based relay selection RelaySpot [32] | Minimize signaling exchange ratio and improve reliability. | Multiple transmission pairs | Single relay assignment schema | Opportunistic relay selection. | Estimate interference factor, mobility and transmission history. | Increase throughput and reliability. Reduce control overhead by omitting the estimation of channel condition. |
© 2020 by the author. Licensee MDPI, Basel, Switzerland. This article is an open access article distributed under the terms and conditions of the Creative Commons Attribution (CC BY) license (http://creativecommons.org/licenses/by/4.0/).
Share and Cite
S. Al-kahtani, M. A Review of Relay Assignment Problem in the Cooperative Wireless Sensor Networks. Electronics 2020, 9, 443. https://doi.org/10.3390/electronics9030443
S. Al-kahtani M. A Review of Relay Assignment Problem in the Cooperative Wireless Sensor Networks. Electronics. 2020; 9(3):443. https://doi.org/10.3390/electronics9030443
Chicago/Turabian StyleS. Al-kahtani, Mohammed. 2020. "A Review of Relay Assignment Problem in the Cooperative Wireless Sensor Networks" Electronics 9, no. 3: 443. https://doi.org/10.3390/electronics9030443
APA StyleS. Al-kahtani, M. (2020). A Review of Relay Assignment Problem in the Cooperative Wireless Sensor Networks. Electronics, 9(3), 443. https://doi.org/10.3390/electronics9030443
