Minimum Distance Optimization with Chord Edge Growth for High Girth Non-Binary LDPC Codes
Abstract
1. Introduction
2. Non-Binary LDPC Codes Based on High Girth Hamiltonian Graphs
2.1. Parity-Check Matrix and Hamiltonian Graph
2.2. Cycle and Cycle Cancellation
2.3. Optimization Method of Minimum Distance Based on the Binary Image
3. Minimum Distance Optimization Using Progressive Chord Edge Growth
3.1. Proposed Progressive Chord Edge Growth (PCEG) Method
3.2. Progressive Chord Edge Growth Optimization for Efficient Encoding
4. Complexity Analysis and Design Examples
4.1. Complexity Analysis
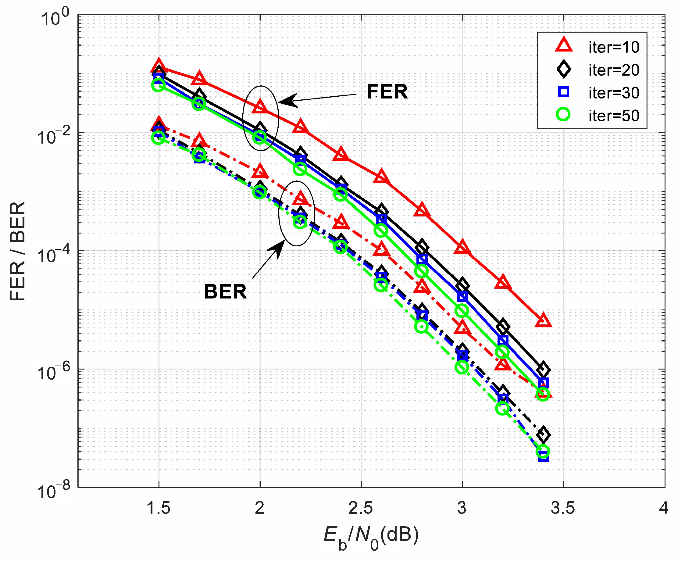
4.2. Design Examples
5. Conclusions
Author Contributions
Funding
Conflicts of Interest
References
- Shirvanimoghaddam, M.; Mohammadi, M.S.; Abbas, R.; Minja, A.; Yue, C.; Matuz, B.; Han, G.; Lin, Z.; Liu, W.; Li, Y.; et al. Short block-length codes for Ultra-Reliable Low-Latency Communications. IEEE Commun. Mag. 2018, 57, 130–137. [Google Scholar] [CrossRef]
- Coskun, M.C.; Durisi, G.; Jerkovits, T.; Liva, G.; Ryan, W.; Stein, B.; Steiner, F. Efficient error-correcting codes in the short blocklength regime. Phys. Commun. 2019, 34, 66–79. [Google Scholar] [CrossRef]
- Gallager, R.G. Low-density parity-check codes. IRE Trans. Inf. Theory 1962, 8, 21–28. [Google Scholar] [CrossRef]
- Mackay, D.J.C.; Neal, R.M. Near Shannon limit performance of low density parity check codes. Electron. Lett. 1996, 32, 1645–1646. [Google Scholar] [CrossRef]
- MacKay, D.J.C. Good error-correcting codes based on very sparse matrices. IEEE Trans. Inf. Theory 1999, 45, 399–431. [Google Scholar] [CrossRef]
- Richardson, T.J.; Urbanke, R.L. The capacity of low-density parity-check codes under message-passing decoding. IEEE Trans. Inf. Theory 2001, 47, 599–618. [Google Scholar] [CrossRef]
- Davey, M.C.; MacKay, D. Low-density parity-check codes over GF(q). IEEE Commun. Lett. 1998, 2, 165–167. [Google Scholar] [CrossRef]
- Hu, X.-Y.; Eleftheriou, E. Binary representation of cycle Tanner-graph GF(2b) codes. In Proceedings of the 2004 IEEE International Conference on Communications, Paris, France, 20–24 June 2004; pp. 528–532. [Google Scholar]
- Zhou, B.; Kang, J.; Song, S.; Lin, S.; Abdel-Ghaffar, K.; Xu, M. Construction of non-binary quasi-cyclic LDPC codes by arrays and array dispersions. IEEE Trans. Commun. 2009, 57, 1652–1662. [Google Scholar] [CrossRef]
- Huang, Q.; Diao, Q.; Lin, S.; Abdel-Ghaffar, K. Cyclic and quasi-cyclic LDPC codes on constrained parity-check matrices and their trapping sets. IEEE Trans. Inf. Theory 2012, 58, 2648–2671. [Google Scholar] [CrossRef]
- Peng, R.-H.; Chen, R.-R. Design of nonbinary quasi-cyclic LDPC cycle codes. In Proceedings of the 2007 IEEE Information Theory Workshop, Lake Tahoe, CA, USA, 2–6 September 2007; pp. 13–18. [Google Scholar]
- Divsalar, D.; Dolecek, L. Graph cover ensembles of non-binary protograph LDPC codes. In Proceedings of the 2012 IEEE International Symposium on Information Theory Proceedings (ISIT), Cambridge, MA, USA, 1–6 July 2012; pp. 2526–2530. [Google Scholar]
- Dolecek, L.; Divsalar, Y.; Sun, D.; Amiri, B. Non-binary protograph based LDPC codes: Enumerators, analysis, and designs. IEEE Trans. Inf. Theory 2014, 60, 3913–3941. [Google Scholar] [CrossRef]
- Wang, R.; Li, Y.; Zhao, H. Nonbinary protograph-based LDPC codes based on additive group of finite field. IEEE Commun. Lett. 2016, 20, 636–639. [Google Scholar] [CrossRef]
- Poulliat, C.; Fossorier, C.M.; Declercq, D. Design of regular (2,dc) LDPC codes over GF(q) using their binary images. IEEE Trans. Commun. 2008, 56, 1626–1635. [Google Scholar] [CrossRef]
- Amiri, B.; Kliewer, J.; Dolecek, L. Analysis and enumeration of absorbing sets for non-binary graph-based codes. IEEE Trans. Commun. 2014, 62, 398–409. [Google Scholar] [CrossRef]
- Hashemi, Y.; Banihashemi, A.H. Characterization and efficient search of non-elementary trapping sets of LDPC codes with applications to stopping sets. IEEE Trans. Inf. Theory 2019, 65, 1017–1033. [Google Scholar] [CrossRef]
- Hu, X.-Y.; Eleftheriou, E.; Arnold, D.M. Regular and irregular progressive edge growth Tanner graphs. IEEE Trans. Inf. Theory 2005, 51, 386–398. [Google Scholar] [CrossRef]
- Cho, S.; Cheun, K.; Yang, K. Design of nonbinary LDPC codes based on message-passing algorithms. IEEE Trans. Commun. 2018, 66, 5028–5040. [Google Scholar] [CrossRef]
- Chen, W.; Poulliat, C.; Declercq, L.; Conde-Canencia, D.; Al-Ghouwayel, A.; Boutillon, E. Non-binary LDPC codes defined over the general linear group: Finite length design and practical implementation issues. In Proceedings of the VTC Spring 2009—IEEE 69th Vehicular Technology Conference, Barcelona, Spain, 26–29 April 2009; pp. 1–5. [Google Scholar]
- Malema, G.; Liebelt, M. High girth column-weight-two LDPC codes based on distance graphs. EURASIP J. Wirel. Commun. Netw. 2007, 2007, 48158. [Google Scholar] [CrossRef]
- Chen, W.; Yin, L.; Lu, J. Efficient encoding of cycle codes on graphs with large girths. In Proceedings of the 2008 International Conference on Communications, Circuits and Systems, Xiamen, China, 25–27 May 2008; pp. 11–15. [Google Scholar]
- Chen, W. Efficient encoder structures for non-binary cycle codes. In Proceedings of the International Conference on Wireless Communications Networking & Mobile Computing, Chengdu, China, 23–25 September 2010; pp. 1–5. [Google Scholar]
- Chen, W.; Liang, C.; Guo, T.; Ding, Y. Encoder implementation with FPGA for non-binary LDPC codes. In Proceedings of the 2012 18th Asia-Pacific Conference on Communications (APCC), Jeju Island, Korea, 15–17 October 2012; pp. 980–984. [Google Scholar]
- Helmling, M.; Scholl, S.; Gensheimer, F.; Dietz, T.; Kraft, K.; Ruzika, S.; Wehn, N. Database of Channel Codes and ML Simulation Results. Available online: https://www.uni-kl.de/channel-codes/channel-codes-database/non-binary-ldpc/ (accessed on 2 March 2020).
- Boutillon, E. Optimization of non binary parity check coefficients. IEEE Trans. Inf. Theory 2019, 65, 2092–2100. [Google Scholar] [CrossRef]












| Methods | The Total Number of Candidate Configurations | The Total Number of Related Cycles | The Total Number of FRC Checks | 
|---|---|---|---|
| Progressive chord edge growth | 676,598 | 2330 | ≈ | 
| Iterative and row-wise optimization | 967,680 | 11,188 | ≈ | 
| Cycle Length | 12 | 16 | 20 | ||
|---|---|---|---|---|---|
| (2,4)-Regular NB-LDPC Codes | Total number of cycles | 219 | 665 | 5416 | |
| Number of cycles not satisfying the FRC | Random | 8 | 20 | 197 | |
| Poulliat et al. [15] | 0 | 0 | 102 | ||
| PCEG | 0 | 0 | 94 | ||
| S-PCEG | 0 | 0 | 109 | ||
| NB-LDPC Codes with an Efficient Encoding Structure | Total number of cycles | 192 | 557 | 4336 | |
| Number of cycles not satisfying the FRC | Random | 9 | 15 | 84 | |
| PCEG | 0 | 0 | 68 | ||
| Cycle Length | 6 | 8 | 10 | 12 | 14 | 16 | 18 | 20 | |
|---|---|---|---|---|---|---|---|---|---|
| Total Number of Cycles | 0 | 4 | 24 | 56 | 172 | 476 | 1192 | 2820 | |
| Number of Cycles Not Satisfying the FRC | Random 1 | 0 | 0 | 0 | 1 | 4 | 9 | 14 | 53 | 
| Random 2 | 0 | 1 | 1 | 3 | 2 | 16 | 17 | 67 | |
| Helmling et al. [25] | 0 | 0 | 0 | 0 | 6 | 8 | 26 | 47 | |
| PCEG | 0 | 0 | 0 | 0 | 0 | 0 | 0 | 56 | |
| Cycle Length | 6 | 8 | 10 | 12 | |
|---|---|---|---|---|---|
| Total Number of Cycles | 24 | 414 | 1892 | 9452 | |
| Number of Cycles Not Satisfying the FRC | Random 1 | 1 | 10 | 27 | 146 | 
| Random 2 | 1 | 9 | 36 | 166 | |
| Poulliat et al. [15] | 0 | 0 | 0 | 107 | |
| PCEG | 0 | 0 | 0 | 103 | |
| Publisher’s Note: MDPI stays neutral with regard to jurisdictional claims in published maps and institutional affiliations. | 
© 2020 by the authors. Licensee MDPI, Basel, Switzerland. This article is an open access article distributed under the terms and conditions of the Creative Commons Attribution (CC BY) license (http://creativecommons.org/licenses/by/4.0/).
Share and Cite
Han, C.; Li, H.; Chen, W. Minimum Distance Optimization with Chord Edge Growth for High Girth Non-Binary LDPC Codes. Electronics 2020, 9, 2161. https://doi.org/10.3390/electronics9122161
Han C, Li H, Chen W. Minimum Distance Optimization with Chord Edge Growth for High Girth Non-Binary LDPC Codes. Electronics. 2020; 9(12):2161. https://doi.org/10.3390/electronics9122161
Chicago/Turabian StyleHan, Changcai, Hui Li, and Weigang Chen. 2020. "Minimum Distance Optimization with Chord Edge Growth for High Girth Non-Binary LDPC Codes" Electronics 9, no. 12: 2161. https://doi.org/10.3390/electronics9122161
APA StyleHan, C., Li, H., & Chen, W. (2020). Minimum Distance Optimization with Chord Edge Growth for High Girth Non-Binary LDPC Codes. Electronics, 9(12), 2161. https://doi.org/10.3390/electronics9122161
 
        

 
       