A Simple and Efficient Time-Sensitive Networking Traffic Scheduling Method for Industrial Scenarios
Abstract
1. Introduction
2. Related Work
3. System Model
3.1. Overall Network Architecture
- (1)
- The field layer includes two parts: the traditional industrial production network and edge computing service equipment. The traditional industrial production network is composed of industrial field equipment, including industrial control machine, intelligent terminals, robots, programmable logic devices, numerical control machine tool, etc. Edge computing service equipment includes edge servers that process user requests and edge devices that seek for services.
- (2)
- The data layer is composed of TSN switches and TSN controllers. TSN switches are used for data forwarding. The controller is responsible for making the forwarding rules of the switch, calculating TSN switch traffic scheduling table and generating the bandwidth allocation strategies.
- (3)
- The application layer contains applications with different QoS requirements, and the applications in the application layer send requests to the TSN controller. Then, the TSN controller performs calculations, configures TSN scheduling and routing rules, and then sends them to the switch, and then to the industrial field layer.
3.2. Terminologies and Notations
3.3. Base Period
4. Scheduling Method Based on Satisfiability Modulus Theories
Scheduling Constraints
5. Evaluation
- (1)
- Use the SMT method to construct TSN traffic scheduling problem constraints.
- (2)
- According to the proposed constraints, Z3 is used for encoding.
- (3)
- Construct network topology and flow information.
- (4)
- A feasible solution that satisfies the constraints is calculated through Z3.
- (5)
- Until the time slots of all flows are determined, the scheduling ends.
5.1. User-Defined Network
5.1.1. Flows Have the Same Period
5.1.2. Flows have Different Period
5.2. Randomly Generated Network Using Network Tools
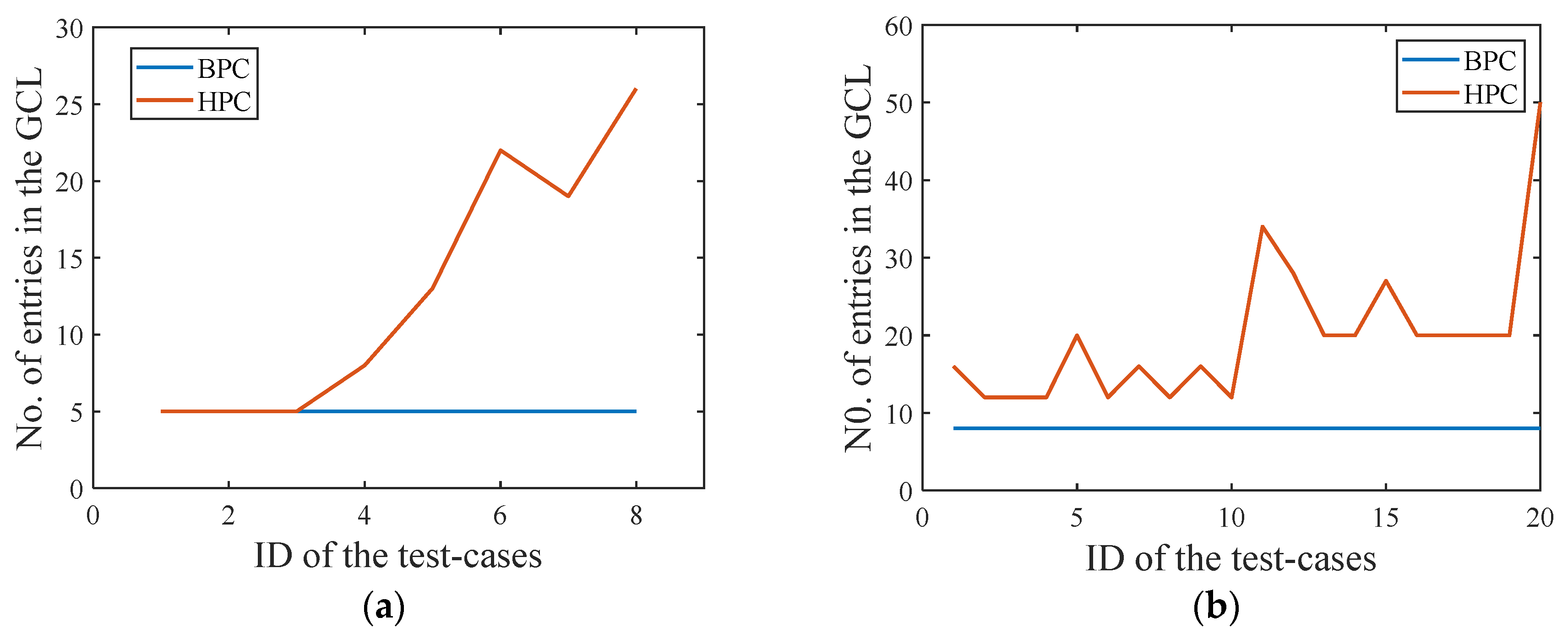
5.3. Comparison of Base Period and Hyper Period
6. Conclusions and Next Work
Author Contributions
Funding
Conflicts of Interest
Appendix A
| Notation | Description |
|---|---|
| V | Vertex set |
| E | Link set |
| SW | Switch set |
| ES | End system set |
| S | Flow set |
| A single network node | |
| A single flow | |
| Transmission rate of the link | |
| Number of queues in egress port | |
| Routing path of flow | |
| Deadline of flow | |
| Period of flow | |
| Packet sent by the flow in the -th period | |
| End-to-end delay of packet | |
| ρ | Packet size |
| Transmission duration of packet in port | |
| Send time of packet in port | |
| Time slot start time of packet in port | |
| Time slot end time of packet in port | |
| Time when packet arrives at port | |
| Q | The ID of the queue used by flow |
| λ | Number of queues that allocated to scheduled traffic |
| Moment the packet is received by the receiver | |
| δ | Clock synchronization accuracy |
Appendix B
| GCD | LCM | |||||||||
|---|---|---|---|---|---|---|---|---|---|---|
| case 1 | 1200 | 1200 | 1200 | 1200 | 3600 | 3600 | 3600 | 3600 | 1200 | 3600 |
| case 2 | 1000 | 1000 | 1000 | 1000 | 500 | 500 | 500 | 500 | 500 | 1000 |
| case 3 | 1500 | 1500 | 1500 | 1500 | 3000 | 3000 | 3000 | 3000 | 1500 | 3000 |
| case 4 | 2000 | 2000 | 2000 | 2000 | 4000 | 4000 | 4000 | 4000 | 2000 | 4000 |
| case 5 | 1800 | 1800 | 1800 | 1800 | 2700 | 2700 | 2700 | 2700 | 900 | 5400 |
| case 6 | 2500 | 2500 | 2500 | 2500 | 5000 | 5000 | 5000 | 5000 | 2500 | 5000 |
| case 7 | 300 | 300 | 300 | 300 | 900 | 900 | 900 | 900 | 300 | 900 |
| case 8 | 1000 | 1000 | 1000 | 1000 | 2000 | 2000 | 2000 | 2000 | 1000 | 2000 |
| case 9 | 1200 | 3600 | 1200 | 3600 | 1200 | 1200 | 3600 | 3600 | 1200 | 3600 |
| case 10 | 600 | 300 | 300 | 300 | 600 | 600 | 600 | 300 | 300 | 600 |
| case 11 | 2000 | 2000 | 2000 | 2000 | 4000 | 4000 | 6000 | 6000 | 2000 | 12000 |
| case 12 | 300 | 300 | 600 | 600 | 600 | 600 | 900 | 900 | 300 | 900 |
| case 13 | 1200 | 1800 | 1200 | 1800 | 1200 | 1200 | 1800 | 1800 | 600 | 3600 |
| case 14 | 1500 | 1000 | 1500 | 1000 | 1000 | 1000 | 1500 | 1500 | 500 | 3000 |
| case 15 | 500 | 500 | 1500 | 1500 | 1500 | 1000 | 1000 | 1000 | 500 | 3000 |
| case 16 | 5000 | 7500 | 5000 | 7500 | 5000 | 5000 | 7500 | 7500 | 2500 | 15000 |
| case 17 | 3000 | 4500 | 3000 | 4500 | 3000 | 3000 | 4500 | 4500 | 1500 | 9000 |
| case 18 | 2000 | 2000 | 2000 | 3000 | 3000 | 2000 | 3000 | 3000 | 1000 | 6000 |
| case 19 | 1800 | 2700 | 1800 | 2700 | 1800 | 1800 | 2700 | 2700 | 900 | 5400 |
| case 20 | 1000 | 1000 | 2000 | 2000 | 3000 | 3000 | 4000 | 4000 | 1000 | 12000 |
References
- Nasrallah, A.; Thyagaturu, A.S.; Alharbi, Z.; Wang, C.; Shao, X.; Reisslein, M.; ElBakoury, H. Ultra-low latency (ULL) networks: The IEEE TSN and IETF DetNet standards and related 5G Ull research. IEEE Commun. Surv. Tutor. 2019, 21, 88–145. [Google Scholar] [CrossRef]
- 802.3-2015-IEEE Standard for Ethernet. Available online: https://ieeexplore.ieee.org/document/7428776 (accessed on 4 October 2020).
- Institute of Electrical and Electronics Engineers, Inc, “802.1AS-Rev: Timing and Synchronization for Time-Sensitive Applications”. Available online: http://www.ieee802.org/1/pages/802.1AS-rev.html (accessed on 3 September 2020).
- Institute of Electrical and Electronics Engineers, Inc, “802.1Qbv: Enhancements for Scheduled Traffic”. Available online: https://standards.ieee.org/standard/802_1Qbv-2015.html (accessed on 20 August 2020).
- Lo Bello, L.; Steiner, W. A Perspective on IEEE Time-Sensitive Networking for Industrial Communication and Automation Systems. Proc. IEEE 2019, 107, 1094–1120. [Google Scholar] [CrossRef]
- Aeronautical Radio, Inc. ARINC 664P7: Aircraft Data Network, Part 7, Avionics Full-DupleX Switched Ethernet Network (AFDX). 2009. Available online: https://standards.globalspec.com/std/1283307/arinc-664-p7 (accessed on 4 October 2020).
- SAE. AS6802: Time-Triggered Ethernet; SAE International: Warrendale, PA, USA, 2011. [Google Scholar]
- Vila-Carbo, J.; Tur-Massanet, J.; Hernandez-Orallo, E. Analysis of Switched Ethernet for Real-Time Transmission. Tech. Fact. Autom. 2010, 221–239. [Google Scholar] [CrossRef]
- Vila-Carbó, J.; Tur-Masanet, J.; Hernández-Orallo, E. An evaluation of switched Ethernet and Linux Traffic Control for real-time transmission. In Proceedings of the 13th IEEE International Conference on Emerging Technologies and Factory Automation, Hamburg, Germany, 15–18 September 2008; pp. 400–407. [Google Scholar]
- Gavrilut, V.; Pop, P. Scheduling in time sensitive networks (TSN) for mixed-criticality industrial applications. In Proceedings of the IEEE International Workshop on Factory Communication Systems (WFCS), Imperia, Italy, 13–15 June 2018; pp. 1–4. [Google Scholar]
- Serna Oliver, R.; Craciunas, S.S.; Steiner, W. IEEE 802.1Qbv gate control list synthesis using array theory encoding. In Proceedings of the IEEE Real-Time and Embedded Technology and Applications Symposium (RTAS), Porto, Portugal, 11–13 April 2018; pp. 13–24. [Google Scholar]
- Craciunas, S.S.; Serna, R.; Martin, O.; Steiner, C.W. Scheduling real-time communication in IEEE 802.1Qbv time sensitive networks. In Proceedings of the 24th International Conference on Real-Time Networks and Systems, New York, NY, USA, 19–21 October 2016; pp. 183–192. [Google Scholar]
- Gavrilut, V.; Zhao, L.; Raagaard, M.L.; Pop, P. AVB-Aware routing and scheduling of time-triggered traffic for TSN. IEEE Access 2018, 6, 75229–75243. [Google Scholar] [CrossRef]
- Mahfouzi, R.; Aminifar, A.; Samii, S.; Rezine, A.; Eles, P.; Peng, Z. Stability-aware integrated routing and scheduling for control applications in Ethernet networks. In Proceedings of the 2018 Design, Automation and Test in Europe Conference and Exhibition (DATE), Dresden, Germany, 19–23 March 2018; pp. 682–687. [Google Scholar]
- Santos, A.C.T.D.; Schneider, B.; Nigam, V. TSNSCHED: Automated schedule generation for time sensitive networking. In Proceedings of the 19th Conference on Formal Methods in Computer-Aided Design (FMCAD), San Jose, CA, USA, 22–25 October 2019; pp. 69–77. [Google Scholar]
- Pozo, F.; Rodriguez-Navas, G.; Hansson, H. Methods for large-scale time-triggered network scheduling. Electronics 2019, 8, 738. [Google Scholar] [CrossRef]
- Jin, X.; Xia, C.; Guan, N.; Xu, C.; Li, D.; Yin, Y.; Zeng, P. Real-time scheduling of massive data in time sensitive networks with a limited number of schedule entries. IEEE Access 2020, 8, 6751–6767. [Google Scholar] [CrossRef]
- Nayak, N.G.; Dürr, F.; Rothermel, K. Time-sensitive Software-defined Network (TSSDN) for Real-time Applications. In Proceedings of the 24th International Conference on Real-Time Networks and Systems, New York, NY, USA, 19–21 October 2016; pp. 193–202. [Google Scholar]
- Nayak, N.G.; Durr, F.; Rothermel, K. Incremental flow scheduling and routing in time-sensitive software-defined networks. IEEE Trans. Ind. Inform. 2018, 14, 2066–2075. [Google Scholar] [CrossRef]
- Nayak, N.G.; Dürr, F.; Rothermel, K. Routing algorithms for IEEE802.1qbv networks. ACM SIGBED Rev. 2018, 15, 13–18. [Google Scholar] [CrossRef]
- Katz, G.; Barrett, C.; Dill, D.L.; Julian, K.; Kochenderfer, M.J. Reluplex: An efficient smt solver for verifying deep neural networks. In Proceedings of the Computer Aided Verification Conference (CAV), Heidelberg, Germany, 24–28 July 2017. [Google Scholar]
- Steiner, W. An evaluation of SMT-based schedule synthesis for time-triggered multi-hop networks. In Proceedings of the 31st IEEE Real-Time Systems Symposium, San Diego, CA, USA, 30 November–3 December 2010; pp. 375–384. [Google Scholar]
- Z3Prover. The z3 Theorem Prover. Available online: https://github.com/Z3Prover/z3 (accessed on 4 October 2020).
- Bjørner, N.; Phan, A.D.; Fleckenstein, L. νZ—An Optimizing SMT Solver. In Tools and Algorithms for the Construction and Analysis of Systems; Baier, C., Tinelli, C., Eds.; TACAS: Iloilo, Philippines, 2015; pp. 194–199. [Google Scholar]















| Number of Flows | Packet Size | Period | Deadline | |
|---|---|---|---|---|
| group 1 | 4,8,12,16,20,25,28 | 1500 bytes | 500 μs | 1000 μs |
| group 2 | 4,8,12,16,20,25,28 | 1500 bytes | 1000 μs | 1000 μs |
| group 3 | 4,8,12,16,20,25,28 | 1500 bytes | 2000 μs | 1000 μs |
| GCD | LCM | ||||||
|---|---|---|---|---|---|---|---|
| case 1 | 2000 | 2000 | 2000 | 2000 | 2000 | 2000 | 2000 |
| case 2 | 1000 | 1000 | 1000 | 1000 | 1000 | 1000 | 1000 |
| case 3 | 500 | 500 | 500 | 500 | 500 | 500 | 500 |
| case 4 | 1000 | 1000 | 1000 | 2000 | 2000 | 1000 | 2000 |
| case 5 | 1000 | 1000 | 1000 | 1500 | 1500 | 500 | 3000 |
| case 6 | 1000 | 1000 | 1500 | 2000 | 2000 | 500 | 6000 |
| case 7 | 1000 | 1500 | 1500 | 2000 | 3000 | 500 | 6000 |
| case 8 | 500 | 800 | 800 | 1000 | 1000 | 100 | 4000 |
Publisher’s Note: MDPI stays neutral with regard to jurisdictional claims in published maps and institutional affiliations. |
© 2020 by the authors. Licensee MDPI, Basel, Switzerland. This article is an open access article distributed under the terms and conditions of the Creative Commons Attribution (CC BY) license (http://creativecommons.org/licenses/by/4.0/).
Share and Cite
Li, Q.; Li, D.; Jin, X.; Wang, Q.; Zeng, P. A Simple and Efficient Time-Sensitive Networking Traffic Scheduling Method for Industrial Scenarios. Electronics 2020, 9, 2131. https://doi.org/10.3390/electronics9122131
Li Q, Li D, Jin X, Wang Q, Zeng P. A Simple and Efficient Time-Sensitive Networking Traffic Scheduling Method for Industrial Scenarios. Electronics. 2020; 9(12):2131. https://doi.org/10.3390/electronics9122131
Chicago/Turabian StyleLi, Qing, Dong Li, Xi Jin, Qizhao Wang, and Peng Zeng. 2020. "A Simple and Efficient Time-Sensitive Networking Traffic Scheduling Method for Industrial Scenarios" Electronics 9, no. 12: 2131. https://doi.org/10.3390/electronics9122131
APA StyleLi, Q., Li, D., Jin, X., Wang, Q., & Zeng, P. (2020). A Simple and Efficient Time-Sensitive Networking Traffic Scheduling Method for Industrial Scenarios. Electronics, 9(12), 2131. https://doi.org/10.3390/electronics9122131

