Effects of a Personalized Exercise Rehabilitation Device on Dynamic Postural Balance for Scoliotic Patients: A Feasibility Study
Abstract
1. Introduction
2. Exercise Rehabilitation Device
2.1. System Configuration
2.2. Personalized Exercise Program
3. Research Methodology
3.1. Subjects
3.2. Experimental Procedure
3.3. Data Analysis
4. Results
4.1. Inclination Angle
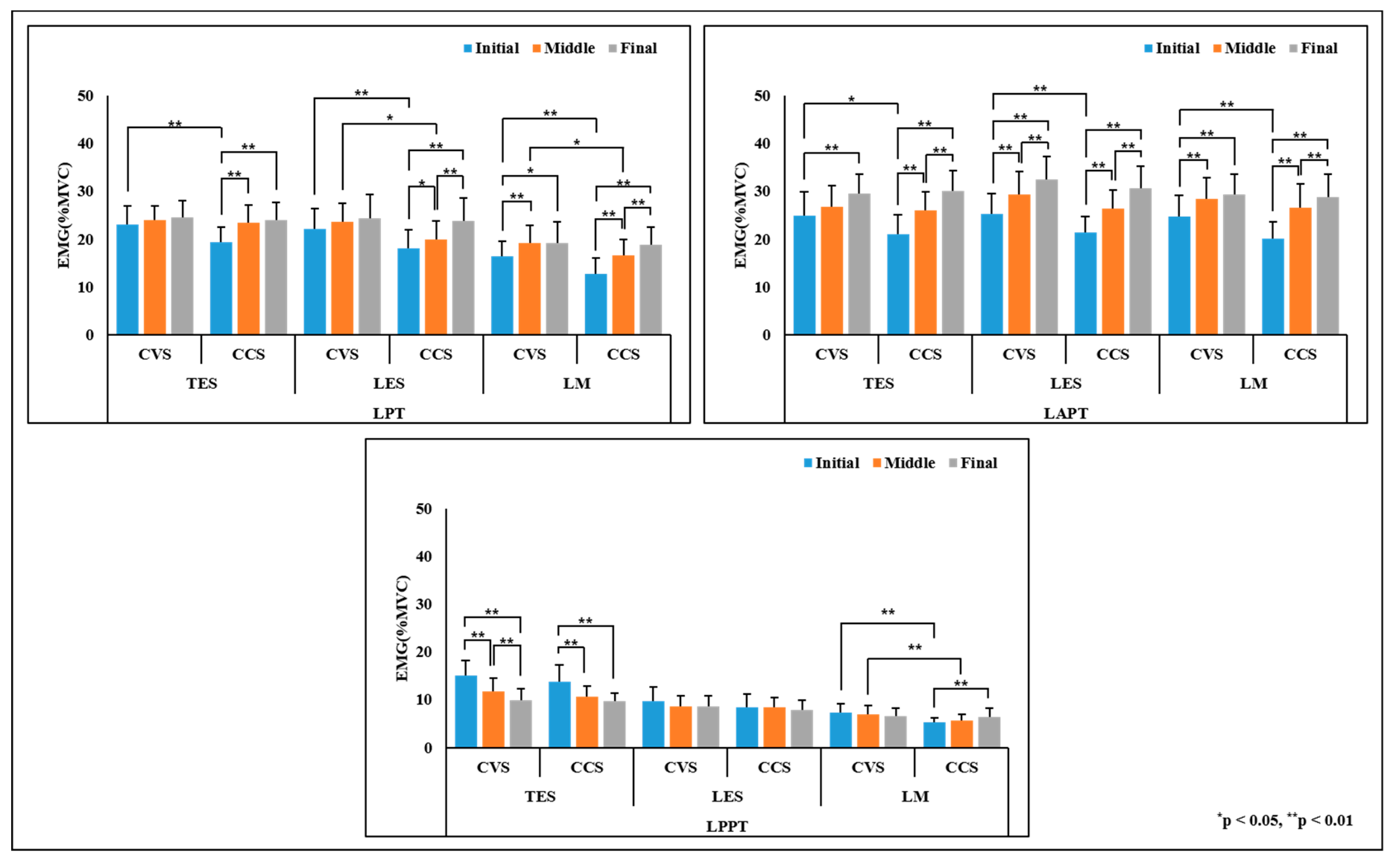
4.2. Muscle Activity
5. Discussion
6. Conclusions
Author Contributions
Funding
Conflicts of Interest
References
- Gür, G.; Ayhan, C.; Yakut, Y. The effectiveness of core stabilization exercise in adolescent idiopathic scoliosis: A randomized controlled trial. Prosthet. Orthot. Int. 2016, 41, 303–310. [Google Scholar] [CrossRef] [PubMed]
- Kakar, R.S.; Simpson, K.J.; Das, B.M.; Brown, C.N. Review of physical activity benefits and potential considerations for individuals with surgical fusion of spine for scoliosis. Int. J. Exerc. Sci. 2017, 10, 166–177. [Google Scholar] [PubMed]
- Schwab, F.J.; Smith, V.A.; Biserni, M.; Gamez, L.; Farcy, J.-P.C.; Pagala, M. Adult scoliosis. Spine 2002, 27, 387–392. [Google Scholar] [CrossRef] [PubMed]
- Negrini, S.; Donzilli, S.; Aulisa, A.G.; Czaprowski, D.; Schreiber, S.; de Mauroy, J.C.; Diers, H.; Grivas, T.B.; Knott, P.; Kotwicki, T.; et al. 2016 SOSORT guidelines: Orthopaedic and rehabilitation treatment of idiopathic scoliosis during growth. Scoliosis Spinal Disord. 2018, 13, 3. [Google Scholar] [CrossRef]
- Choudhry, M.N.; Ahmad, Z.; Verma, R. Adolescent idiopathic scoliosis. Open Orthop. J. 2016, 10, 143–154. [Google Scholar] [CrossRef]
- EI Fegoun, A.B.; Schwab, F.; Gamez, L.; Champain, N.; Skalli, W.; Farcy, J.P. Center of gravity and radiographic posture analysis: A preliminary review of adult volunteers and adult patients affected by scoliosis. Spine 2005, 30, 1535–1540. [Google Scholar] [CrossRef]
- Aulisa, A.G.; Guzzanti, V.; Perisano, C.; Marzetti, E.; Specchia, A.; Galli, M.; Giordane, M.; Aulisa, L. Determination of quality of life in adolescents with idiopathic scoliosis subjected to conservative treatment. Scoliosis Spinal Disord. 2010, 5, 21. [Google Scholar] [CrossRef]
- Kalichman, L.; Kendelker, L.; Bezalel, T. Bracing and exercise-based treatment for idiopathic scoliosis. J. Bodyw. Mov. Ther. 2016, 20, 56–64. [Google Scholar] [CrossRef]
- Berdishevsky, H.; Lebel, V.A.; Bettany-Saltikov, J.; Rigo, M.; Lebel, A.; Hennes, A.; Romano, M.; Białek, M.; M’hango, A.; Betts, T.; et al. Physiotherapy scoliosis-specific exercises–a comprehensive review of seven major schools. Scoliosis Spinal Disord. 2016, 11, 20. [Google Scholar] [CrossRef]
- Schreiber, S.; Parent, E.C.; Hedden, D.M.; Moreau, M.; Hill, D.; Lou, E. Effects of Schroth exercises on curve characteristics and clinical outcomes in adolescent idiopathic scoliosis: Protocol for a multicenter randomized controlled trial. J. Physiother. 2014, 60, 234. [Google Scholar] [CrossRef]
- Kim, K.D.; Hwangbo, P.N. Effects of the Schroth exercise on the Cobb’s angle and vital capacity of patients with idiopathic scoliosis that is an operative indication. J. Phys. Ther. Sci. 2016, 28, 923–926. [Google Scholar] [CrossRef] [PubMed]
- Lebel, A.; Lebel, V.A. Severe progressive scoliosis in an adult female possibly secondary thoracic surgery in childhood treated with scoliosis specific Schroth physiotherapy: Case presentation. Scoliosis Spinal Disord. 2016, 11, 41. [Google Scholar] [CrossRef] [PubMed]
- Weiss, H.R. The method of Katharina Schroth–history, principles and current development. Scoliosis 2011, 6, 1–22. [Google Scholar] [CrossRef] [PubMed]
- Otman, S.; Kose, N.; Yakut, Y. The efficacy of Schroth 3-dimensional exercise therapy in the treatment of adolescent idiopathic scoliosis in Trukey. Saudi Med. J. 2005, 26, 1429–1435. [Google Scholar] [PubMed]
- Ko, K.J.; Kang, S.J. Effects of 12-week core stabilization exercise on the Cobb angle and lumbar muscle strength of adolescents with idiopathic scoliosis. J. Exerc. Rehabil. 2017, 13, 244–249. [Google Scholar] [CrossRef] [PubMed]
- Weiss, H.R.; Weiss, G.; Petermann, F. Incidence of curvature progression in idiopathic scoliosis patients treated with scoliosis in-patient rehabilitation (SIR): And age- and sex-matched controlled study. Pediatr. Rehabil. 2003, 6, 23–30. [Google Scholar] [CrossRef]
- Kuru, T.; Yeldan, I.; Dereli, E.E.; Özdinçler, A.R.; Dikici, F.; Çolak, Ì. The efficacy of three-dimensional Schroth exercises in adolescent idiopathic scoliosis: A randomized controlled clinical trial. Clin. Rehabil. 2016, 30, 181–190. [Google Scholar] [CrossRef]
- Lewis, C.; Diaz, R.; Lopez, G.; Marki, N.; Olivio, B. A preliminary study to evaluate postural improvement in subjects with scoliosis: Active therapeutic movement version 2 device and home exercises using the Mulligan’s mobilization-with-movement concept. J. Manip. Physiol. Ther. 2014, 37, 502–509. [Google Scholar] [CrossRef]
- Mclntire, K.L.; Asher, M.A.; Burton, D.C.; Liu, W. Treatment of adolescent idiopathic scoliosis with quantified trunk rotational strength training: A pilot study. J. Spinal Disord. Tech. 2008, 21, 349–358. [Google Scholar] [CrossRef]
- Chromy, C.A.; Carey, M.T.; Balgaard, K.G.; Iaizzo, P.A. The potential use of axial spinal unloading in the treatment of adolescent idiopathic scoliosis: A case series. Arch. Phys. Med. Rehabil. 2006, 87, 1447–1453. [Google Scholar] [CrossRef]
- Jung, J.Y.; Yoo, C.I.; Kim, K.A.; Bok, S.K.; Kim, B.O.; Won, Y.; Kim, J.J. Evaluation of sitting balance in adolescent idiopathic scoliosis patients with pelvic rotation using balance board system with accelerometer. In Proceeding of the 2014 International Conference on IT Convergence and Security, Beijing, China, 28–30 October 2014; pp. 133–136. [Google Scholar] [CrossRef]
- Reeves, N.P.; Everding, V.Q.; Cholewicki, J.; Morrisette, D.C. The effects of trunk stiffness on postural control during unstable seated balance. Exp. Brain Res. 2006, 174, 694–700. [Google Scholar] [CrossRef]
- O’Sullivan, K.; McCarthy, R.; White, A.; O’Sullivan, L.; Dankaerts, W. Lumbar posture and trunk muscle activation during a typing task when sitting on a novel dynamic ergonomic chare. Ergonomics 2012, 55, 1586–1595. [Google Scholar] [CrossRef]
- Kim, G.; Hwangbo, P.N. Effects of Schroth and Pilates exercise on the Cobb angle and weight distribution of patients with scoliosis. J. Phys. Ther. Sci. 2016, 28, 1012–1015. [Google Scholar] [CrossRef]
- Kusuma, G.A.; Nugrosh, H.A.; Wibirama, S. Spinal curvature determination from scoliosis X-Ray image using sum of squared difference template matching. In Proceeding of the 2016 2nd International Conference on Science and Technology-Computer (ICST), Yogyakarta, Indonesia, 27–28 October 2016; pp. 29–34. [Google Scholar] [CrossRef]
- Zhang, R.F.; Liu, K.; Wang, X.; Liu, Q.; He, J.W.; Wang, W.Y.; Yan, Z.H. Reliability of a new method for measuring coronal trunk imbalance, the axis-line-angle technique. Spine 2015, 15, 2459–2465. [Google Scholar] [CrossRef]
- Song, G.B.; Kim, J.J.; Park, E.C. The effect of Swiss ball exercise and resistance exercise on balancing ability of scoliosis patients. J. Phys. Ther. Sci. 2015, 12, 3879–3882. [Google Scholar] [CrossRef] [PubMed][Green Version]
- Shirado, O.; Ito, T.; Kaneda, K.; Strax, T.E. Kinesiologic analysis of dynamic side-shift in patients with idiopathic scoliosis. Arch. Phys. Med. Rehabil. 1995, 76, 621–626. [Google Scholar] [CrossRef]
- Yagci, G.; Ayhan, C.; Yaku, Y. Effectiveness of basic body awareness therapy in adolescents with idiopathic scoliosis: A randomized controlled study. J. Back Musculoskelet. Rehabil. 2018, 31, 693–701. [Google Scholar] [CrossRef] [PubMed]
- Godzik, J.; Frames, C.W.; Hussain, V.S.; Olson, M.C. Postural stability and dynamic balance in adult spinal deformity: Prospective pilot study. World Neurosurg. 2020, 141, e783–e791. [Google Scholar] [CrossRef] [PubMed]
- Chwała, W.; Koziana, A.; Kasperczyk, T.; Walaszek, R.; Płaszewski, M. Electromyographic assessment of functional symmetry of paraspinal muscles during static exercises in adolescents with idiopathic scoliosis. BioMed Res. Int. 2014, 2014, 573276. [Google Scholar] [CrossRef] [PubMed]
- Wilczyński, J.; Karaoak, P.; Janecka, S.; Kabala, M.; Habik-Tatarowska, N. The relationship between the angle of curvature of the spine and SEMG amplitude of the erector spinae in young school-children. Appl. Sci. 2019, 9, 3115. [Google Scholar] [CrossRef]
- MacDonald, D.A.; Moseley, G.L.; Hodges, P.W. The lumbar multifidus: Does the evidence support clinical beliefs? Man. Ther. 2006, 11, 254–263. [Google Scholar] [CrossRef] [PubMed]
- Zapata, K.A.; Wang-Price, S.S.; Sucate, D.J.; Dempsey-Robertson, M. Ultrasonographic measurements of paraspinal muscle thickness in adolescent idiopathic scoliosis: A comparison and reliability study. Pediart. Phys. Ther. 2015, 27, 119–125. [Google Scholar] [CrossRef]
- Zoabli, G.; Mathieu, P.A.; Aubin, C.E. Back muscle biometry in adolescent idiopathic scoliosis. Spine J. 2007, 7, 338–344. [Google Scholar] [CrossRef]
- Schmid, S.; Burkhart, K.A.; Allaire, B.T.; Grindle, D.; Bassani, T.; Galbusera, F.; Anderson, D.E. Spinal compressive forces in adolescent idiopathic scoliosis with and without carrying loads: A musculoskeletal modeling study. Front. Bioeng. Biotechnol. 2020, 8, 159. [Google Scholar] [CrossRef] [PubMed]
- Farahpour, N.; Younesian, H.; Bahrpeyma, F. Electromyographic activity of erector spinae and external oblique muscles during trunk lateral bending and axial rotation in patients with adolescent idiopathic scoliosis and healthy subjects. Clin. Biomech. 2015, 30, 411–417. [Google Scholar] [CrossRef]
- Weiss, H.R. Imbalance of electromyographic activity and physical rehabilitation of patients with idiopathic scoliosis. Eur. Spine J. 1993, 1, 240–243. [Google Scholar] [CrossRef] [PubMed]
- Ko, J.Y.; Suh, J.H.; Kim, H.; Ryu, J.S. Proposal of a new exercise protocol for idiopathic scoliosis: A preliminary study. Medicine 2018, 97, e13336. [Google Scholar] [CrossRef]
- Żuk, T. Etiology and pathogenesis of idiopathic scoliosis from the viewpoint of electromygraphic studies. Beitr. Orthop. Traumatol. 1965, 12, 138–141. [Google Scholar]
- Farahpour, N.; Ghasemi, S.; Allard, P.; Saba, M.S. Electromyographic responses of erector spinae and lower limb’s muscles to dynamic postural perturbations in patients with adolescents idiopathic scoliosis. Electromyogr. Kinesiol. 2014, 24, 645–651. [Google Scholar] [CrossRef]
- Lenssinck, M.L.; Frijlink, A.C.; Berger, M.Y.; Bierman-Zeinstra, S.M.; Verkerk, K.; Verhagen, A.P. Effect of bracing and other conservative interventions in the treatment of idiopathic scoliosis in adolescents: A systematic review of clinical trials. Phys. Ther. 2005, 85, 1329–1339. [Google Scholar] [CrossRef] [PubMed]
- Yang, J.M.; Lee, J.H.; Lee, D.H. Effects of consecutive application of stretching, Schroth, and strengthening exercises on Cobb’s angle and the rib hump in an adult with idiopathic scoliosis. J. Phys. Ther. Sci. 2015, 27, 2667–2669. [Google Scholar] [CrossRef] [PubMed][Green Version]
- Xu, X.M.; Wang, F.; Zhou, X.Y.; Liu, Z.X.; Wei, X.Z.; Bai, Y.S.; Li, M. Sagittal balance in adolescent idiopathic scoliosis. Medicine 2015, 45, e1995. [Google Scholar] [CrossRef] [PubMed]





| Exercise Method | Time (min) | Number of Repetition | |
|---|---|---|---|
| Warm Up | Static stretching | 5 | 1 |
| Axial Elongation | Trunk elongation | 1 | 5 |
| Deflexion | Lateral pelvic tilt exercise | 1 | 3 |
| Lateral and anterior pelvic tilt exercise | 1 | 3 | |
| Lateral and posterior pelvic tilt exercise | 1 | 3 | |
| Axial Elongation with Deflexion | Trunk elongation with lateral pelvic tilt exercise | 2 | 3 |
| Trunk elongation with lateral and anterior pelvic tilt exercise | 2 | 3 | |
| Trunk elongation with lateral and posterior pelvic tilt exercise | 2 | 3 | |
| Axial Elongation and Derotation with Deflexion | Trunk elongation and derotation with lateral pelvic tilt exercise | 2 | 3 |
| Trunk elongation and derotation with lateral and anterior pelvic tilt exercise | 2 | 3 | |
| Trunk elongation and derotation with lateral and posterior pelvic tilt exercise | 2 | 3 | |
| Cool Down | Static stretching | 5 | 1 |
| Age (years) | Height (cm) | Weight (kg) | BMI (kg/m2) | Cobb Angle (°) | |
|---|---|---|---|---|---|
| Subjects (n = 20) | 24.10 ± 2.47 | 166.95 ± 7.24 | 57.40 ± 6.98 | 20.58 ± 2.03 | 12.57 ± 4.55 |
| LPT | LAPT | LPPT | |||||||
|---|---|---|---|---|---|---|---|---|---|
| Initial | Middle | Final | Initial | Middle | Final | Initial | Middle | Final | |
| CVS | 11.43 ± 2.91 | 13.09 ± 2.18 εε | 14.11 ± 1.95 ααββ | 8.07 ± 1.71 | 9.63 ± 1.67 εε | 10.55 ± 1.62 ααββ | 8.49 ± 1.97 | 9.89 ± 1.36 εε | 10.30 ± 1.16 ααβ |
| CCS | 9.32 ± 2.87 * | 12.71 ± 1.9 3 εε | 14.06 ± 2.12 ααββ | 7.55 ± 2.01 | 9.62 ± 1.82 εε | 10.41 ± 1.70 ααββ | 7.20 ± 2.01 * | 9.43 ± 1.37 εε | 9.98 ± 1.33 ααβ |
Publisher’s Note: MDPI stays neutral with regard to jurisdictional claims in published maps and institutional affiliations. |
© 2020 by the authors. Licensee MDPI, Basel, Switzerland. This article is an open access article distributed under the terms and conditions of the Creative Commons Attribution (CC BY) license (http://creativecommons.org/licenses/by/4.0/).
Share and Cite
Jung, J.-Y.; Heo, M.; Kim, J.-J. Effects of a Personalized Exercise Rehabilitation Device on Dynamic Postural Balance for Scoliotic Patients: A Feasibility Study. Electronics 2020, 9, 2100. https://doi.org/10.3390/electronics9122100
Jung J-Y, Heo M, Kim J-J. Effects of a Personalized Exercise Rehabilitation Device on Dynamic Postural Balance for Scoliotic Patients: A Feasibility Study. Electronics. 2020; 9(12):2100. https://doi.org/10.3390/electronics9122100
Chicago/Turabian StyleJung, Ji-Yong, Min Heo, and Jung-Ja Kim. 2020. "Effects of a Personalized Exercise Rehabilitation Device on Dynamic Postural Balance for Scoliotic Patients: A Feasibility Study" Electronics 9, no. 12: 2100. https://doi.org/10.3390/electronics9122100
APA StyleJung, J.-Y., Heo, M., & Kim, J.-J. (2020). Effects of a Personalized Exercise Rehabilitation Device on Dynamic Postural Balance for Scoliotic Patients: A Feasibility Study. Electronics, 9(12), 2100. https://doi.org/10.3390/electronics9122100

