Chebyshev-Response Branch-Line Couplers with Enhanced Bandwidth and Arbitrary Coupling Level
Abstract
1. Introduction
2. Theoretical Analysis
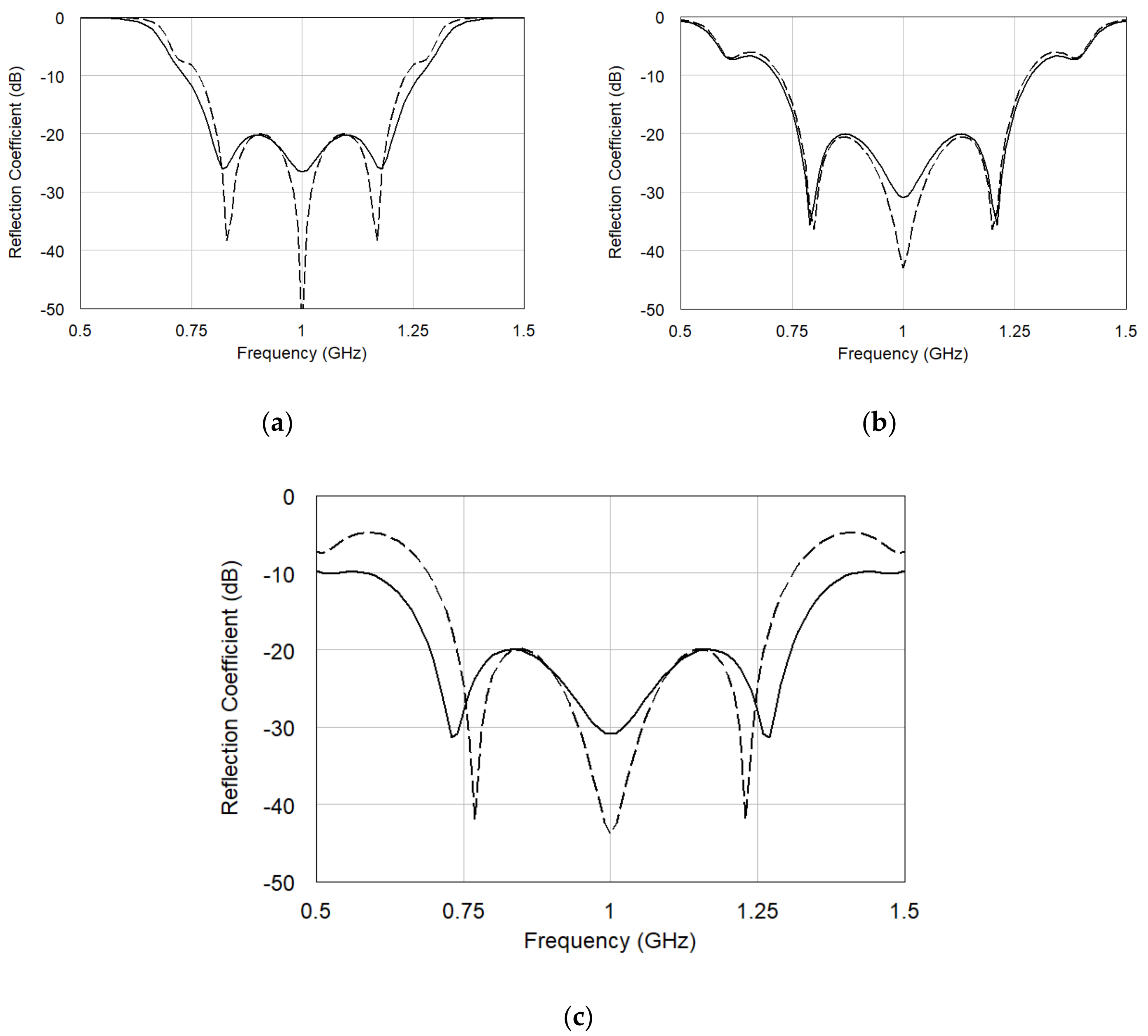
3. Broadband Branch-Line Coupler Design
4. Experimental Realization of 6-dB, and 3-dB Broadband Branch-Line Couplers
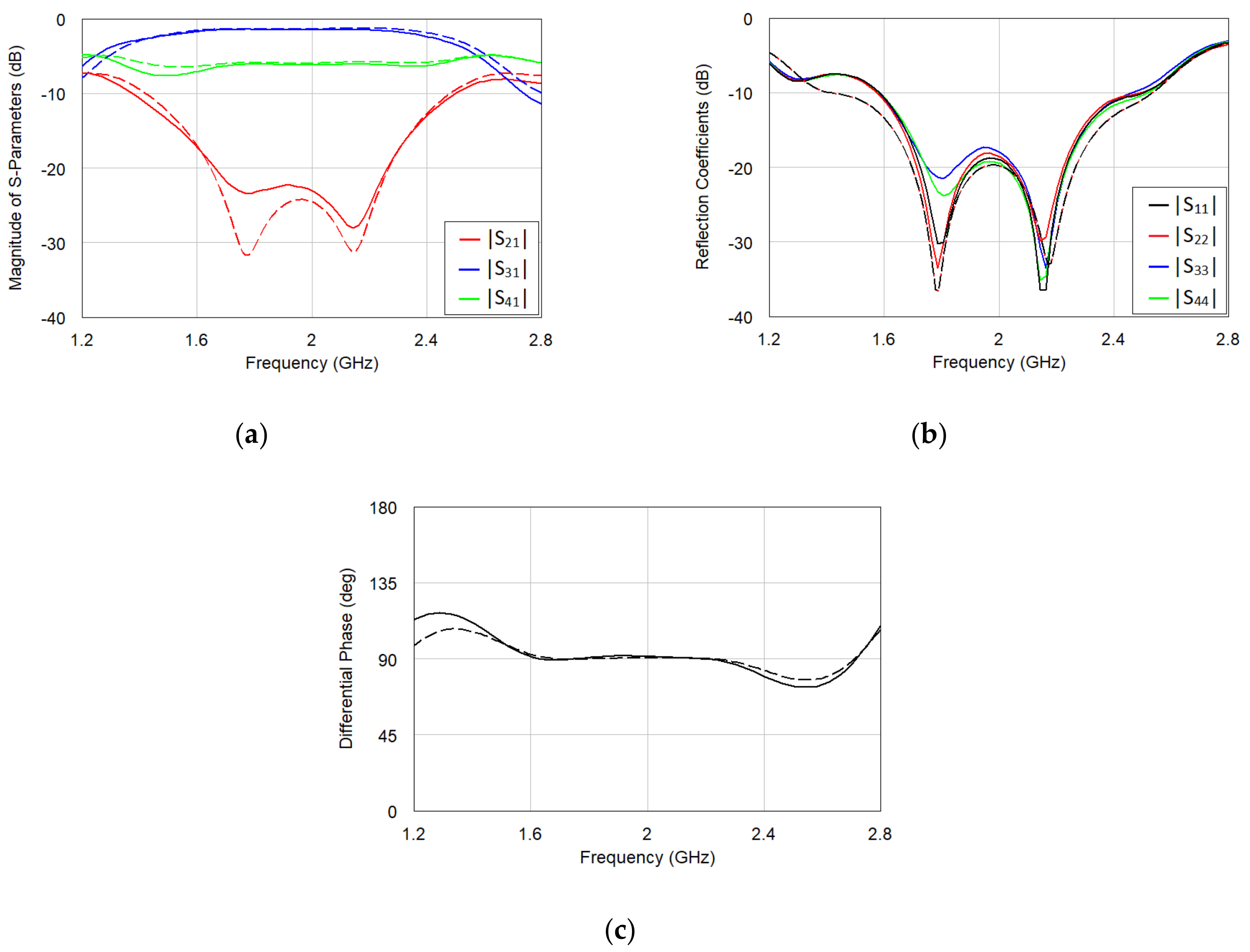
4.1. 6-dB Broadband Branch-Line Coupler with II-Section Transformer
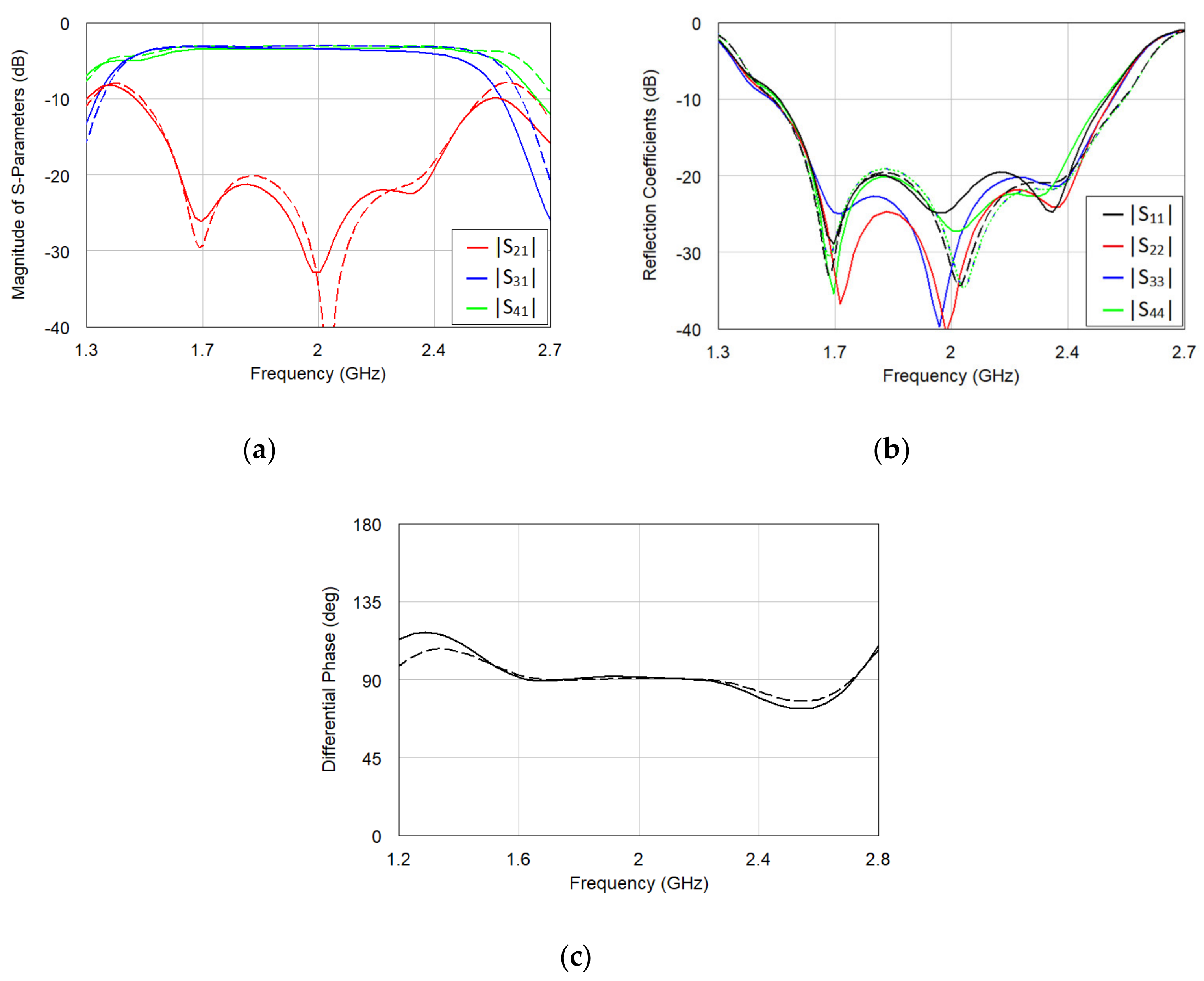
4.2. 3-dB Broadband Branch-Line Coupler with III-Section Transformer
5. Conclusions
Author Contributions
Funding
Conflicts of Interest
Appendix A
| N | RL (dB) | C (dB) | ZA | ZB | Z1 | Z2 | Z3 |
|---|---|---|---|---|---|---|---|
| 2 | 15 | 3 | 0.7063 | 0.9976 | 1.6878 | 1.4122 | --- |
| 6 | 0.8653 | 1.7266 | 1.6294 | 1.4413 | --- | ||
| 10 | 0.9487 | 3.0000 | 1.7412 | 1.5734 | --- | ||
| 20 | 3 | 0.7063 | 0.9976 | 1.7413 | 1.5749 | --- | |
| 6 | 0.8653 | 1.7266 | 1.5613 | 1.4582 | --- | ||
| 10 | 0.9487 | 3.0000 | 1.5512 | 1.4659 | --- | ||
| 25 | 3 | 0.7063 | 0.9976 | 1.7666 | 1.6680 | --- | |
| 6 | 0.8653 | 1.7266 | 1.5173 | 1.4605 | --- | ||
| 10 | 0.9487 | 3.0000 | 1.4659 | 1.4203 | --- | ||
| 30 | 3 | 0.7063 | 0.9976 | 1.7612 | 1.7062 | --- | |
| 6 | 0.8653 | 1.7266 | 1.5071 | 1.4754 | --- | ||
| 10 | 0.9487 | 3.0000 | 1.4365 | 1.4113 | --- | ||
| 3 | 15 | 3 | 0.7079 | 1.000 | 2.2947 | 4.7484 | 2.0632 |
| 6 | 0.8653 | 1.7266 | 1.6794 | 2.6749 | 1.5454 | ||
| 10 | 0.9487 | 3.0000 | 1.3692 | 1.7364 | 1.2355 | ||
| 20 | 3 | 0.7079 | 1.000 | 2.3330 | 5.8977 | 2.5263 | |
| 6 | 0.8653 | 1.7266 | 1.7419 | 3.2679 | 1.8412 | ||
| 10 | 0.9487 | 3.0000 | 1.4863 | 2.3063 | 1.5245 | ||
| 25 | 3 | 0.7079 | 1.000 | 2.3350 | 6.6775 | 2.8653 | |
| 6 | 0.8653 | 1.7266 | 1.7802 | 3.7118 | 2.0625 | ||
| 10 | 0.9487 | 3.0000 | 1.6026 | 2.9360 | 1.8123 | ||
| 30 | 3 | 0.7079 | 1.000 | 2.3601 | 7.3788 | 3.1264 | |
| 6 | 0.8653 | 1.7266 | 1.8062 | 4.0474 | 2.2273 | ||
| 10 | 0.9487 | 3.0000 | 1.6215 | 3.1570 | 1.9349 |
| RL (dB) | C (dB) | ZA | ZB | Z1 | Z2 | Z3 |
|---|---|---|---|---|---|---|
| 15 | 3 | 0.7079 | 1.000 | 2.0790 | 3.9991 | 1.8800 |
| 6 | 0.8653 | 1.7266 | 1.6777 | 2.6685 | 1.5434 | |
| 10 | 0.9487 | 3.0000 | 1.7756 | 2.9885 | 1.6710 | |
| 20 | 3 | 0.7079 | 1.000 | 1.8520 | 4.0000 | 2.0600 |
| 6 | 0.8653 | 1.7266 | 1.7406 | 3.2622 | 1.8394 | |
| 10 | 0.9487 | 3.0000 | 1.7756 | 3.2611 | 1.8399 | |
| 25 | 3 | 0.7079 | 1.000 | 1.4910 | 3.1940 | 2.0685 |
| 6 | 0.8653 | 1.7266 | 1.7756 | 3.6916 | 2.0566 | |
| 10 | 0.9487 | 3.0000 | 1.8290 | 3.8800 | 2.1123 | |
| 30 | 3 | 0.7079 | 1.000 | 1.6730 | 4.0000 | 2.3200 |
| 6 | 0.8653 | 1.7266 | 1.7741 | 3.9010 | 2.1848 | |
| 10 | 0.9487 | 3.0000 | 1.5934 | 3.0281 | 1.8887 |
References
- Oliver, B. Directional Electromagnetic Couplers. Proc. IRE 1954, 42, 1686–1692. [Google Scholar] [CrossRef]
- Emery, T.; Chin, Y.; Lee, H.; Tripathi, V.K. Analysis and design of ideal non symmetrical coupled microstrip directional couplers. In Proceedings of the IEEE MTT-S International Microwave Symposium Digest, Long Beach, CA, USA, 13–15 June 1989; pp. 329–332. [Google Scholar]
- Gruszczynski, S.; Wincza, K. Generalized methods for the design of quasi-ideal symmetric and asymmetric coupled-line sections and directional couplers. IEEE Trans. Microw. Theory Tech. 2011, 59, 1709–1718. [Google Scholar]
- Lin, S.; Eron, M.; Turner, S.; Sepulveda, J. Development of wideband low-loss directional coupler with suspended stripline and microstrip line. Electron. Lett. 2011, 47, 1377–1379. [Google Scholar]
- Gruszczynski, S.; Wincza, K.; Sachse, K. Design of compensated coupled-stripline 3-dB directional couplers, phase shifters and magic-Ts—Part I: Single-section coupled-line circuits. IEEE Trans. Microw. Theory Tech. 2006, 54, 3986–3994. [Google Scholar]
- Shelton, J.P.; Wolfe, J.; Wagoner, R.C. Tandem couplers and phase shifters for multi-octave bandwidths. Microwaves 1965, 4, 14–19. [Google Scholar]
- Tang, C.-W.; Tseng, C.-T.; Hsu, K.-C. Design of the Modified Planar Tandem Couplers with a Wide Passband. IEEE Trans. Microw. Theory Tech. 2012, 61, 48–54. [Google Scholar] [CrossRef]
- Lange, J. Interdigitated Stripline Quadrature Hybrid (Correspondence). IEEE Trans. Microw. Theory Tech. 1969, 17, 1150–1151. [Google Scholar] [CrossRef]
- Janisz, K.; Smolarz, R.; Rydosz, A.; Wincza, K.; Gruszczynski, S. Compensated 3-dB lange directional coupler in suspended microstrip technique. In Proceedings of the 7th IEEE International Symposium on Microwave, Antenna, Propagation, and EMC Technologies (MAPE), Xi’an, China, 24–27 October 2017; pp. 1–4. [Google Scholar]
- Eccleston, K.; Ong, S. Compact planar microstripline branch-line and rat-race couplers. IEEE Trans. Microw. Theory Tech. 2003, 51, 2119–2125. [Google Scholar] [CrossRef]
- Sun, K.-O.; Ho, S.-J.; Yen, C.-C.; van der Weide, D. A compactbranch-line coupler using discontinuous microstrip lines. IEEE Microw. Wirel. Compon. Lett. 2005, 15, 519–520. [Google Scholar]
- Hirota, T.; Minakawa, A.; Muraguchi, M. Reduced-size branch-line and rat-race hybrids for uniplanar MMIC’s. IEEE Trans. Microw. Theory Tech. 1990, 38, 270–275. [Google Scholar] [CrossRef]
- Smolarz, R.; Wincza, K.; Gruszczynski, S. Broadband low-loss impedance transforming rat-race coupler in suspended microstrip technique. In Proceedings of the 2018 22nd International Microwave and Radar Conference (MIKON), Poznan, Poland, 14–17 May 2018; pp. 291–293. [Google Scholar]
- Tang, C.-W.; Chen, M.-G.; Lin, Y.-S.; Wu, J.-W. Broadband microstrip branch-line coupler with defected ground structure. Electron. Lett. 2006, 42, 1458–1460. [Google Scholar] [CrossRef]
- Dilshad, U.; Chen, C.; Chen, X.; Miao, J. Broadband Quadrature Hybrid for Image Rejection in Millimeter-wave Receivers. In Proceedings of the 2019 16th International Bhurban Conference on Applied Sciences and Technology (IBCAST), Islamabad, Pakistan, 8–12 January 2019; pp. 975–978. [Google Scholar]
- Lee, S.; Lee, Y. Wideband Branch-Line Couplers with Single-Section Quarter-Wave Transformers for Arbitrary Coupling Levels. IEEE Microw. Wirel. Compon. Lett. 2011, 22, 19–21. [Google Scholar] [CrossRef]
- Alshamaileh, K.A.; Devabhaktuni, V.K.; Dib, N.I. Impedance-Varying Broadband 90° Branch-Line Coupler with Arbitrary Coupling Levels and Higher Order Harmonic Suppression. IEEE Trans. Compon. Packag. Manuf. Technol. 2015, 5, 1507–1515. [Google Scholar]
- Chiu, L.; Xue, Q. Investigation of a Wideband 90° Hybrid Coupler with an Arbitrary Coupling Level. IEEE Trans. Microw. Theory Tech. 2010, 58, 1022–1029. [Google Scholar]
- Lee, J.; Lee, J.; Park, M.-J. Branch-Line Couplers with Arbitrary Coupling Value through the Electrical Length Variation with Fixed Line Impedances. IEEE Microw. Wirel. Compon. Lett. 2017, 27, 968–970. [Google Scholar] [CrossRef]
- Arriola, W.A.; Lee, J.Y.; Kim, I.S. Wideband 3 dB Branch Line Coupler Based on λ/4 Open Circuited Coupled Lines. IEEE Microw. Wirel. Compon. Lett. 2011, 21, 486–488. [Google Scholar] [CrossRef]
- Kawai, T.; Taniguchi, H.; Ohta, I.; Enokihara, A. Broadband branch-line coupler with arbitrary power split ratio utilizing microstrip series stubs. In Proceedings of the 40th European Microwave Conference, Paris, France, 28–30 September 2010; pp. 1170–1173. [Google Scholar]
- Ahn, H.-R.; Tentzeris, M.M. Arbitrary Power-Division Branch-Line Hybrids for High-Performance, Wideband, and Selective Harmonic Suppressions from 2f0. IEEE Trans. Microw. Theory Tech. 2019, 67, 978–987. [Google Scholar] [CrossRef]
- Chang, C.-Y.; Yang, C.-C. A novel broad-band Chebyshev-re-sponse rat-race ring coupler. IEEE Trans. Microw. Theory Tech. 1999, 47, 455–462. [Google Scholar]
- Lagarias, J.C.; Reeds, J.A.; Wright, M.H.; Wright, P.E. Convergence Properties of the Nelder--Mead Simplex Method in Low Dimensions. SIAM J. Optim. 1998, 9, 112–147. [Google Scholar] [CrossRef]
















| II-Section | III-Section | |
|---|---|---|
| Coupling (dB) | 6.0 | 3.0 |
| Return Loss (dB) | 20.0 | 20.0 |
| ZA (Ω) | 43.27 | 35.35 |
| ZB (Ω) | 86.33 | 50.00 |
| Z1 (Ω) | 78.41 | 92.6 |
| Z2 (Ω) | 73.24 | 200.0 |
| Z3 (Ω) | --- | 103.0 |
Publisher’s Note: MDPI stays neutral with regard to jurisdictional claims in published maps and institutional affiliations. |
© 2020 by the authors. Licensee MDPI, Basel, Switzerland. This article is an open access article distributed under the terms and conditions of the Creative Commons Attribution (CC BY) license (http://creativecommons.org/licenses/by/4.0/).
Share and Cite
Smolarz, R.; Wincza, K.; Gruszczynski, S. Chebyshev-Response Branch-Line Couplers with Enhanced Bandwidth and Arbitrary Coupling Level. Electronics 2020, 9, 1828. https://doi.org/10.3390/electronics9111828
Smolarz R, Wincza K, Gruszczynski S. Chebyshev-Response Branch-Line Couplers with Enhanced Bandwidth and Arbitrary Coupling Level. Electronics. 2020; 9(11):1828. https://doi.org/10.3390/electronics9111828
Chicago/Turabian StyleSmolarz, Robert, Krzysztof Wincza, and Slawomir Gruszczynski. 2020. "Chebyshev-Response Branch-Line Couplers with Enhanced Bandwidth and Arbitrary Coupling Level" Electronics 9, no. 11: 1828. https://doi.org/10.3390/electronics9111828
APA StyleSmolarz, R., Wincza, K., & Gruszczynski, S. (2020). Chebyshev-Response Branch-Line Couplers with Enhanced Bandwidth and Arbitrary Coupling Level. Electronics, 9(11), 1828. https://doi.org/10.3390/electronics9111828

