A Wideband Slotted Spherical Waveguide Antenna Based on Multi-Mode Concept
Abstract
1. Introduction
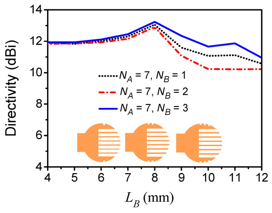
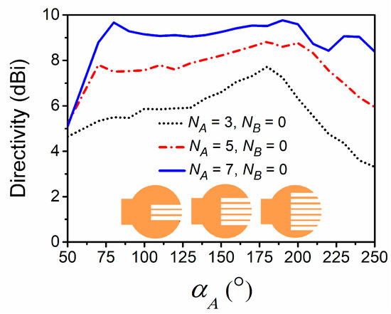
2. Operation Principle and Design
2.1. Resonant Modes
2.2. Design Principle of Wideband SWA
3. Fabrication and Results
4. Discussion
5. Conclusions
Author Contributions
Funding
Conflicts of Interest
References
- Wang, W.; Zhong, S.S.; Zhang, Y.M.; Liang, X.L. A broadband slotted ridge waveguide antenna array. IEEE Trans. Antennas Propag. 2006, 54, 2416–2420. [Google Scholar] [CrossRef]
- Kim, D.; Zhang, M.; Hirokawa, J.; Ando, M. Design and fabrication of a dual-polarization waveguide slot array antenna with high isolation and high antenna efficiency for the 60 GHz band. IEEE Trans. Antennas Propag. 2014, 62, 3019–3027. [Google Scholar] [CrossRef]
- Leung, K.W.; Chan, L.Y. The probe-fed zonal slot antenna cut onto a cylindrical conducting cavity. IEEE Trans. Antennas Propag. 2005, 53, 3949–3952. [Google Scholar] [CrossRef]
- Atamanesh, M.; Zahedi, A.; Abbasi-Arand, B. Design, simulation, and fabrication of a high-gain low-sidelobe-level waveguide slot array antenna at X-band with zero beam tilts in both azimuth and elevation directions. IEEE Antennas Wirel. Propag. Lett. 2020, 19, 811–815. [Google Scholar] [CrossRef]
- Ebadi, S.; Forooraghi, K. An annular waveguide slot antenna. IEEE Antennas Wirel. Propag. Lett. 2007, 6, 525–528. [Google Scholar] [CrossRef]
- Moradian, M.; Tayarani, M.; Khalaj-Amirhosseini, M. Planar Slotted Array Antenna Fed by Single Wiggly- Ridge Waveguide. IEEE Antennas Wirel. Propag. Lett. 2011, 10, 764–767. [Google Scholar] [CrossRef]
- Mallahzadeh, A.R.; Amini, M.A. Design of a leaky-wave long slot antenna using ridge waveguide. IEEE Antennas Wirel. Propag. Lett. 2014, 8, 714–718. [Google Scholar] [CrossRef]
- Lu, X.-L.; Gu, S.-M.; Wang, X.-C.; Liu, H.; Lu, W.-Z. Beam-scanning continuous transverse stub antenna fed by a ridged waveguide slot array. IEEE Antennas Wirel. Propag. Lett. 2017, 16, 1675–1678. [Google Scholar] [CrossRef]
- Farahbakhsh, A.; Zarifi, D.; Zaman, A.U. A mmwave wideband slot array antenna based on ridge gap waveguide with 30% bandwidth. IEEE Trans. Antennas Propag. 2018, 66, 1008–1013. [Google Scholar] [CrossRef]
- Zaman, A.U.; Kildal, P. Wide-band slot antenna arrays with single- layer corporate-feed network in ridge gap waveguide technology. IEEE Trans. Antennas Propag. 2014, 62, 2992–3001. [Google Scholar] [CrossRef]
- Huang, G.L.; Zhou, S.G.; Chio, T.H.; Hui, H.T.; Yeo, T.S. A low profile and low sidelobe wideband slot antenna array feb by an amplitude-tapering waveguide feed-network. IEEE Trans. Antennas Propag. 2015, 63, 419–423. [Google Scholar] [CrossRef]
- Zhou, S.-G.; Huang, G.-L.; Peng, Z.-H.; Ying, L.-J. A wideband full-corporate-feed waveguide slot planar array. IEEE Trans. Antennas Propag. 2016, 64, 1974–1978. [Google Scholar]
- Zhou, S.-G.; Dong, P.; Huang, G.-L.; Sim, C.-Y.-D.; Li, J.-Y. Wideband antenna array with full metal structure and air-filled microstrip feeding network. IEEE Trans. Antennas Propag. 2017, 65, 3041–3048. [Google Scholar] [CrossRef]
- Bi, X.-K.; Cheng, T.; Cheong, P.; Ho, S.-K.; Tam, K.-W. Design of dual-band bandpass filter with fixed and reconfigurable bandwidths based on terminated cross-shaped resonator. IEEE Trans. Circuits Syst. II Exp. Briefs 2019, 66, 317–321. [Google Scholar] [CrossRef]
- Bi, X.-K.; Zhang, X.; Wang, S.-W.; Yuan, T.; Guo, S.-H. Design of equal-ripple dual-wideband bandpass filter with minimum design parameters based on cross-shaped resonator. IEEE Trans. Circuits Syst. II Exp. Briefs 2020, 67, 1780–1784. [Google Scholar] [CrossRef]
- Zhu, Y.-J.; Li, J.; Zhang, X.; Yuan, T.; Zhong, Z.-P.; Tan, T.-Y.; Bi, X.-K. A 3-D printed spherical antenna with bandwidth enhancement under operation of dual resonance. IEEE Access 2020, 8, 19345–19352. [Google Scholar] [CrossRef]
- Le Sage, G.P. 3D printed waveguide slot array antennas. IEEE Access 2016, 4, 1258–1265. [Google Scholar] [CrossRef]
- Huang, G.-L.; Zhou, S.-G.; Chio, T.-H. Highly-efficient self-compact monopulse antenna system with integrated comparator network for RF industrial applications. IEEE Trans. Antennas Propag. 2017, 64, 678–681. [Google Scholar] [CrossRef]
- Somos. Stereolithography Materials. Available online: https://www.dsm.com (accessed on 8 October 2020).
- Zhu, Y.-J.; Li, J.; Huang, G.-L. A lightweight 3-D printed dual-band high gain slotted spherical antenna. IEEE Antennas Wirel. Propag. Lett. 2020, 19, 552–556. [Google Scholar] [CrossRef]
- Zhang, K.; Li, D. Electromagnetic Theory for Microwaves and Optoelectronics; Springer: Berlin, Germany, 2008; pp. 235–314. [Google Scholar]
- Silver, S. (Ed.) Theory of Slot Radiators. In Microwave Antenna Theory and Design; Peregrinus: Stevenage, UK, 1984. [Google Scholar]














| - | Types | CF (GHz) | FBWs (%) | Reflection Coefficient | Efficiency | Fabrication Process |
|---|---|---|---|---|---|---|
| [10] | Array | 13.5 | 20 | <−10 | >75% | CNC |
| [11] | Array | 15.2 | 13.8 | <−10 | >70% | CNC |
| [12] | Array | 12.54 | 36.9 | <−10 | >60% | CNC |
| [13] | Array | 12.6 | 36.5 | <−10 | >70% | CNC |
| [16] | Unit | 12.3 | 40.9 | <−10 | >90% | 3D printing |
| [18] | Array | 15.1 | 12.9 | <−14 | >90% | 3D printing |
| [20] | Unit | 10.2/14.3 | 7.8/14 | <−10 | >90% | 3D printing |
| This work | Unit | 15.36 | 70.1 | <−10 | >91% | 3D printing |
© 2020 by the authors. Licensee MDPI, Basel, Switzerland. This article is an open access article distributed under the terms and conditions of the Creative Commons Attribution (CC BY) license (http://creativecommons.org/licenses/by/4.0/).
Share and Cite
Bi, X.; Guo, S.; Zhu, Y.; Yuan, T. A Wideband Slotted Spherical Waveguide Antenna Based on Multi-Mode Concept. Electronics 2020, 9, 1656. https://doi.org/10.3390/electronics9101656
Bi X, Guo S, Zhu Y, Yuan T. A Wideband Slotted Spherical Waveguide Antenna Based on Multi-Mode Concept. Electronics. 2020; 9(10):1656. https://doi.org/10.3390/electronics9101656
Chicago/Turabian StyleBi, Xiaokun, Shaohua Guo, Yujian Zhu, and Tao Yuan. 2020. "A Wideband Slotted Spherical Waveguide Antenna Based on Multi-Mode Concept" Electronics 9, no. 10: 1656. https://doi.org/10.3390/electronics9101656
APA StyleBi, X., Guo, S., Zhu, Y., & Yuan, T. (2020). A Wideband Slotted Spherical Waveguide Antenna Based on Multi-Mode Concept. Electronics, 9(10), 1656. https://doi.org/10.3390/electronics9101656

