An Efficient Numerical Formulation for Wave Propagation in Magnetized Plasma Using PITD Method
Abstract
1. Introduction
2. Formulations
2.1. Resulting Maxwell’s Equations of Magnetized Plasma
2.2. PI Technique Review
3. Stability Analysis and Numerical Dispersion Analysis
3.1. Stability Analysis
3.2. Numerical Dispersion Analysis
3.2.1. Effect of Wave Frequency on Numerical Error
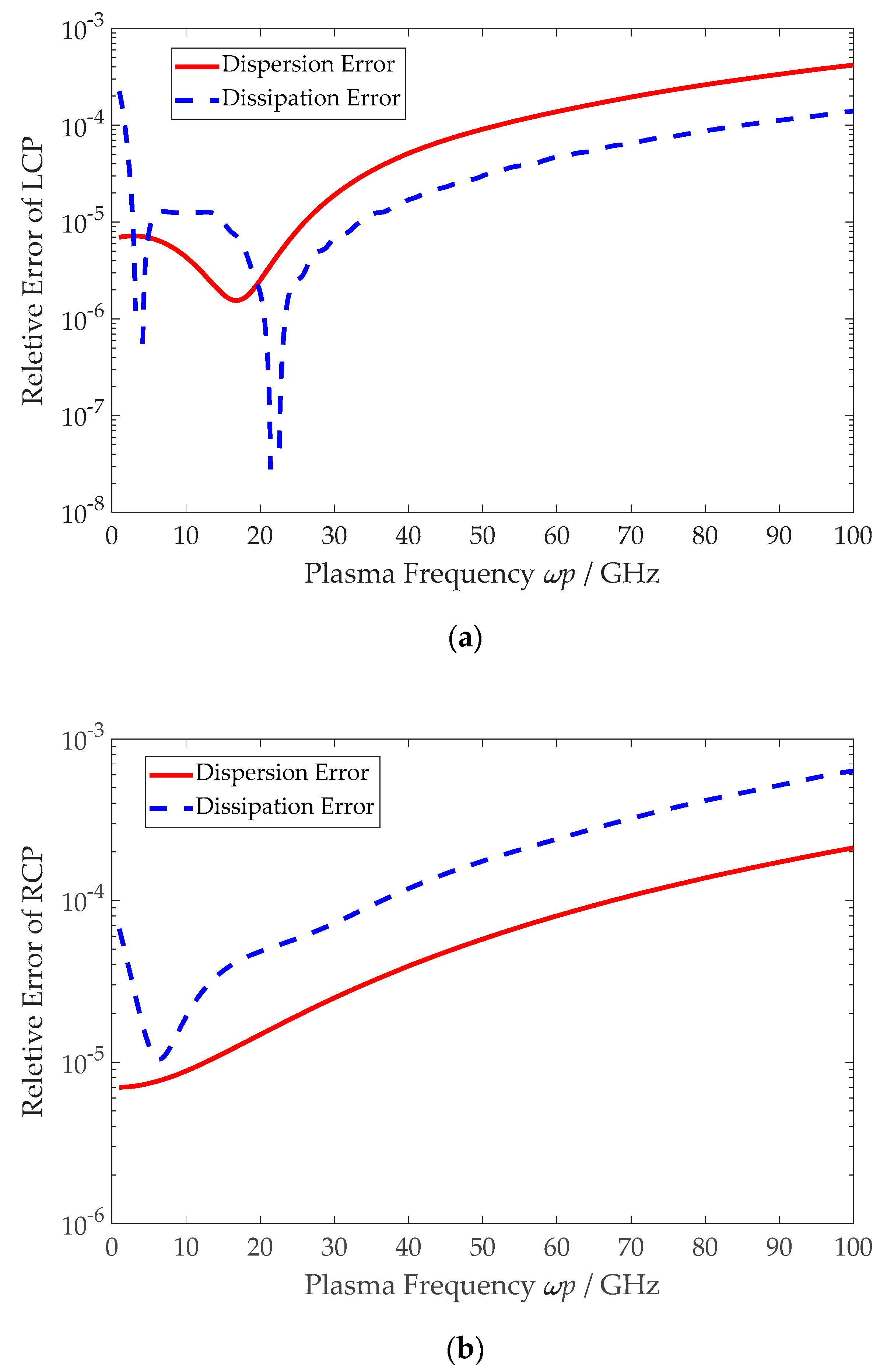
3.2.2. Effect of the Natural Angular Frequency on Numerical Error
3.2.3. Effect of the Plasma Collision Frequency on Numerical Error
3.2.4. Effect of the Time-Step Size on Numerical Error
4. Numerical Experiments
4.1. Magnetized Plasma Slab
4.2. 2-D Magnetized Plasma Filled Cavity
5. Conclusions
Author Contributions
Funding
Conflicts of Interest
References
- Letsholathebe, D.; Mphale, K. Microwave phase perturbation and ionisation measurement in vegetation fire plasma. IET Microw. Antennas Propag. 2013, 7, 741–745. [Google Scholar] [CrossRef]
 - Nadal, C.; Pigache, F.; Lefevre, Y. First approach for the modelling of the electric field surrounding a piezoelectric transformer in view of plasma generation. IEEE Trans. Magn. 2012, 48, 423–426. [Google Scholar] [CrossRef][Green Version]
 - Li, X.S.; Hu, B.J. FDTD Analysis of a magneto-plasma antenna with uniform or nonuniform distribution. IEEE Antennas Wirel. Propag. Lett. 2010, 9, 175–178. [Google Scholar] [CrossRef]
 - Chai, S.W.; Lim, S.M.; Hong, S.C. THz detector with an antenna coupled stacked CMOS plasma-wave FET. IEEE Microw. Wirel. Compon. Lett. 2014, 24, 869–871. [Google Scholar] [CrossRef]
 - Vyas, H.; Chaudhury, B. Computational investigation of power efficient plasma-based reconfigurable microstrip antenna. IET Microw. Antennas Propag. 2018, 12, 1587–1593. [Google Scholar] [CrossRef]
 - Krishna, T.N.V.; Sathishkumar, P.; Himasree, P.; Punnoose, D.; Raghavendra, K.V.G.; Naresh, B.; Rana, R.A.; Kim, H.J. 4T analog MOS control-high voltage high frequency (HVHF) plasma switching power supply for water purification in industrial applications. Electronics 2018, 7, 245. [Google Scholar] [CrossRef]
 - Liu, J.F.; Lv, H.; Zhao, Y.C.; Fang, Y.; Xi, X.L. Stochastic PLRC-FDTD method for modeling wave propagation in unmagnetized plasma. IEEE Antennas Wirel. Propag. Lett. 2018, 17, 1024–1028. [Google Scholar] [CrossRef]
 - Shibayama, J.; Takahashi, R.; Yamauchi, J.; Nakano, H. Frequency-dependent LOD-FDTD implementations for dispersive media. Electron. Lett. 2006, 42, 1084–1086. [Google Scholar] [CrossRef]
 - Ramadan, O. Stability-improved ADE-FDTD implementation of Drude dispersive models. IEEE Antennas Wirel. Propag. Lett. 2018, 17, 877–880. [Google Scholar] [CrossRef]
 - Ramadan, O. Efficient ADE-WE-PML formulations for scalar dispersive FDTD applications. Electron. Lett. 2013, 49, 157–158. [Google Scholar] [CrossRef]
 - Li, J.X.; Wu, P.Y.; Jiang, H.L. Implementation of higher order CNAD CFS-PML for truncating unmagnetised plasma. IET Microw. Antennas Propag. 2019, 13, 756–760. [Google Scholar] [CrossRef]
 - Li, J.; Dai, J. Z-Transform implementations of the CFS-PML. IEEE Antennas Wirel. Propag. Lett. 2006, 5, 410–413. [Google Scholar] [CrossRef]
 - Taflove, A.; Hagness, S.C. Computational Electrodynamics: The Finite-Difference Time-Domain Method; Artech House: Boston, MA, USA, 2005. [Google Scholar]
 - Namiki, T. A new FDTD algorithm based on alternating-direction implicit method. IEEE Trans. Microw. Theory Tech. 1999, 47, 2003–2007. [Google Scholar] [CrossRef]
 - Namiki, T. 3-D ADI-FDTD method-unconditionally stable time-domain algorithm for solving full vector Maxwell’s equations. IEEE Trans. Microw. Theory Tech. 2000, 48, 1743–1748. [Google Scholar] [CrossRef]
 - Shibayama, J.; Muraki, M.; Yamauchi, J.; Nakano, H. Efficient implicit FDTD algorithm based on locally one-dimensional scheme. Electron. Lett. 2005, 41, 1046–1047. [Google Scholar] [CrossRef]
 - Ahmed, I.; Chua, E.K.; Li, E.P.; Chen, Z. Development of the three-dimensional unconditionally stable LOD-FDTD method. IEEE Trans. Antennas Propag. 2008, 56, 3596–3600. [Google Scholar] [CrossRef]
 - Liang, T.L.; Shao, W.; Shi, S.B.; Ou, H. Analysis of extraordinary optical transmission with periodic metallic gratings using ADE-LOD-FDTD method. IEEE Photonics J. 2016, 8, 7804710. [Google Scholar] [CrossRef]
 - Ma, X.K.; Zhao, X.T.; Zhao, Y.Z. A 3-D precise integration time-domain method without the restrains of the Courant-Friedrich-Levy stability condition for the numerical solution of Maxwell’s equations. IEEE Trans. Microw. Theory Tech. 2006, 54, 3026–3037. [Google Scholar]
 - Song, W.J.; Zhang, H. RKADE-ADI FDTD applied to analysis of terahertz wave characteristics of plasma. IET Microw. Antennas Propag. 2017, 11, 1071–1077. [Google Scholar]
 - Liang, T.L.; Shao, W.; Shi, S.B. Complex-envelope ADE-LOD-FDTD for band gap analysis of plasma photonic crystals. Appl. Comput. Electromagn. Soc. J. 2018, 33, 443–449. [Google Scholar]
 - Sun, G.; Ma, X.K.; Bai, Z.M. Numerical stability and dispersion analysis of the precise-integration time-domain method in lossy media. IEEE Trans. Microw. Theory Tech. 2012, 60, 2723–2729. [Google Scholar] [CrossRef]
 - Kang, Z.; Li, W.L.; Wang, Y.F.; Huang, M.; Yang, F. A precise-integration time-domain formulation based on auxiliary differential equation for transient propagation in plasma. IEEE Access 2020, 8, 59741–59749. [Google Scholar] [CrossRef]
 - Jiang, L.L.; Chen, Z.Z.; Mao, J.F. On the numerical stability of the precise integration time-domain (PITD) method. IEEE Microw. Wirel. Compon. Lett. 2007, 17, 471–473. [Google Scholar] [CrossRef]
 - Kang, Z.; Ma, X.K.; Zhuansun, X. An efficient 2-D compact precise-integration time-domain method for longitudinally invariant waveguiding structures. IEEE Trans. Microw. Theory Tech. 2013, 61, 2535–2544. [Google Scholar] [CrossRef]
 - Bai, Z.M.; Ma, X.K.; Sun, G. A low-dispersion realization of precise integration time-domain method using a fourth-order accurate finite difference scheme. IEEE Trans. Antennas Propag. 2011, 59, 1311–1320. [Google Scholar] [CrossRef]
 - Zhong, S.Y.; Lai, Z.Q.; Liu, S.; Liu, S.B. The numerical dispersion relation and stability analysis of PLCDRC-FDTD method for anisotropic magnetized plasma. In Proceedings of the International Conference on Microwave and Millimeter Wave Technology, Nanjing, China, 21–24 April 2008. [Google Scholar]
 















| Method | Resonant Frequency/GHz | Execution Time/s | ||
|---|---|---|---|---|
| ADE-FDTD | 30.76 | 103.5 | 201.7 | 12.85 | 
| Proposed PITD | 31.25 | 103.5 | 201.2 | 8.07 | 
© 2020 by the authors. Licensee MDPI, Basel, Switzerland. This article is an open access article distributed under the terms and conditions of the Creative Commons Attribution (CC BY) license (http://creativecommons.org/licenses/by/4.0/).
Share and Cite
Kang, Z.; Huang, M.; Li, W.; Wang, Y.; Yang, F. An Efficient Numerical Formulation for Wave Propagation in Magnetized Plasma Using PITD Method. Electronics 2020, 9, 1575. https://doi.org/10.3390/electronics9101575
Kang Z, Huang M, Li W, Wang Y, Yang F. An Efficient Numerical Formulation for Wave Propagation in Magnetized Plasma Using PITD Method. Electronics. 2020; 9(10):1575. https://doi.org/10.3390/electronics9101575
Chicago/Turabian StyleKang, Zhen, Ming Huang, Weilin Li, Yufeng Wang, and Fang Yang. 2020. "An Efficient Numerical Formulation for Wave Propagation in Magnetized Plasma Using PITD Method" Electronics 9, no. 10: 1575. https://doi.org/10.3390/electronics9101575
APA StyleKang, Z., Huang, M., Li, W., Wang, Y., & Yang, F. (2020). An Efficient Numerical Formulation for Wave Propagation in Magnetized Plasma Using PITD Method. Electronics, 9(10), 1575. https://doi.org/10.3390/electronics9101575
        
