Next Article in Journal
A Low Cost Civil Vehicular Seamless Navigation Technology Based on Enhanced RISS/GPS between the Outdoors and an Underground Garage
Previous Article in Journal
PLC/HMI-Based Implementation of a Real-Time Educational Power System Protective Relays Platform
 
 
Font Type:
Arial Georgia Verdana
Font Size:
Aa Aa Aa
Line Spacing:
Column Width:
Background:
Article

Numerical Analysis on Effective Mass and Traps Density Dependence of Electrical Characteristics of a-IGZO Thin-Film Transistors

1
School of Electronics Engineering, Kyungpook National University, Daegu 41566, Korea
2
Department of Electrical and Computer Engineering, University of Seoul, Seoul 02504, Korea
3
ITODYS CNRS UMR 7086, Université Paris Diderot (Paris7), 15 rue Jean-Antoine de Baïf, CEDEX 13, 75205 Paris, France
*
Author to whom correspondence should be addressed.
Electronics 2020, 9(1), 119; https://doi.org/10.3390/electronics9010119
Submission received: 10 December 2019 / Revised: 29 December 2019 / Accepted: 6 January 2020 / Published: 8 January 2020
(This article belongs to the Section Semiconductor Devices)

Abstract

We have investigated the effect of electron effective mass (me*) and tail acceptor-like edge traps density (NTA) on the electrical characteristics of amorphous-InGaZnO (a-IGZO) thin-film transistors (TFTs) through numerical simulation. To examine the credibility of our simulation, we found that by adjusting me* to 0.34 of the free electron mass (mo), we can preferentially derive the experimentally obtained electrical properties of conventional a-IGZO TFTs through our simulation. Our initial simulation considered the effect of me* on the electrical characteristics independent of NTA. We varied the me* value while not changing the other variables related to traps density not dependent on it. As me* was incremented to 0.44 mo, the field-effect mobility (µfe) and the on-state current (Ion) decreased due to the higher sub-gap scattering based on electron capture behavior. However, the threshold voltage (Vth) was not significantly changed due to fixed effective acceptor-like traps (NTA). In reality, since the magnitude of NTA was affected by the magnitude of me*, we controlled me* together with NTA value as a secondary simulation. As the magnitude of both me* and NTA increased, µfe and Ion deceased showing the same phenomena as the first simulation. The magnitude of Vth was higher when compared to the first simulation due to the lower conductivity in the channel. In this regard, our simulation methods showed that controlling me* and NTA simultaneously would be expected to predict and optimize the electrical characteristics of a-IGZO TFTs more precisely.

Graphical Abstract

1. Introduction

Metal-oxide semiconductor-based thin-film transistors (TFTs) have been highlighted as the future technology for achieving organic light-emitting diode (OLED) and micro LED backplane applications for high-resolution, flexibility, low temperature processes, commercial display, and low power consumption [1,2]. In particular, amorphous indium-gallium-zinc-oxide (a-IGZO) has been identified as a promising candidate due to the high mobility, flexibility, low-temperature processing capability, uniformity, high on-state/off-states current ratio (Ion/Ioff), and easily controlled electrical characteristics by changing its chemical composition [3,4]. In order to take advantage of these properties, properties such as orbital superposition, oxygen vacancy states (Vo), peroxide states, and hydrogen complex had been demonstrated [5,6,7,8]. Among these, the effective mass (mr*) is important for the improvement of the hall mobility in the oxide semiconductor-based TFT [9,10,11]. However, it is difficult to understand the effect of mr* on carrier transport because of the compensating potential energy caused due to internal force in the lattice [12]. Thus, it is essential for simulation studies to analyze and understand the effect of mr*. Simulation of a-IGZO TFTs is difficult when compared to c-Si-based metal oxide semiconductor field-effect transistors (MOSFETs) because of the need to consider many electrical parameters and chemical properties such as their amorphous phase, chemical properties, and ionic bonding properties [5,6,7,8]. Nevertheless, the simulation studies related to the electrical characteristics of a-IGZO TFTs have been studied in detail [13,14,15]. By applying these studies and theories, we could understand the effects of mr* in a-IGZO TFTs. Therefore, it is necessary to study the change in the electrical characteristic due to the change in mr*. Thus, further simulation-based research was required to fully identify the mechanisms that control the electrical characteristics of a-IGZO TFTs.
In this work, we have investigated the electron effective mass (me*) and tail acceptor-like edge traps density (NTA) in the sub-gap density of states (DOS) using the technology computer-aided design (TCAD) simulations. At me* of 0.34 free electron mass (mo) [5], we can preferentially derive the very similar simulated results as the electrical characteristics of experimental a-IGZO TFTs [3]. After optimizing the parameters utilized to model results similar to the experiment, we controlled me* to analyze the effects of me* on the electrical characteristics of the a-IGZO TFT through energy band analysis. By changing only me*, the effect on various electrical characteristics such as field-effect mobility (μfe), on–state current (Ion), and threshold voltage (Vth) changed, since the probability of electron capture also changed. Furthermore, in order to satisfy the boundary condition (BC), NTA was varied according to me*. As a result, we obtained the electrical characteristics varied as a function me* and NTA and analyzed the effective carrier mechanism related to acceptor-like traps. Therefore, it is expected that this work could be utilized to obtain the optimized electrical performance of a-IGZO TFTs for next-generation backplane applications.

2. Simulation Methodology and Semiconductor Mechanisms

The hall mobility property of oxide semiconductors can be explained by the orbital superposition [5,10]. These can vary depending on the oxide semiconductor material combination and chemical composition ratio [11]. In addition, it can be explained by varying the effective mass [12]. The effective mass is defined by quantum mechanics:
2 ψ + 2 m o [ P V ( r ) ] = 0 .
P is the momentum energy, and V(r) is the potential energy in the lattice. The potential energy is very difficult to calculate due to its relation to the internal force in the lattice. Thus, potential energy can be neglected for out simulation. We introduced a new mass concept mr* instead of mo for energy preservation law, with the relationship of   1 m r * = 1 m e * + 1 m h * :
2 ψ + 2 m r * P = 0 .
In the case of a-IGZO TFTs, we can approximate 1 m r * 1 m e * because of high values of hole effective mass (mh*). Thus, me* is a very important factor to understand the electrical feature of a-IGZO TFTs. In order to fully understand the effect of me*, we simulated the a-IGZO TFT by controlling me* and analyzed it using energy band analysis.
Figure 1a displays a schematic of the structure of a-IGZO-based bottom gate (BG)-top contact (TC) TFT. The gate (G), gate insulator (GI), active layer, and source (S) and drain (D) materials are n-polysilicon, SiO2, a-IGZO, and aluminum, respectively. The GI and a-IGZO active layer have a thickness of 100 and 20 nm, respectively. The a-IGZO width (W) and length (L) are 180 and 30 µm. Figure 1b schematically illustrates the sub-gap DOS distribution in relation to mr* in a-IGZO TFTs. Both NTA and the conduction-band DOS (DC (E)), and tail donor-like edge traps density (NTD) and valence-band DOS (DV (E)) are theoretically continuous at boundary condition (BC) [16]. In addition, the Madelung potential could lead to a metastable condition. Therefore, VO could form near the conduction band (EC) when the device is operated. Figure 1c presents a bonding model and the schematic of the energy band diagram in the a-IGZO TFT. When the gate voltage is applied, electrons are generated and operated to accumulation mode by VO and oxygen interstitials (IO−2) because of the Madelung potential and peroxide model [5,7].
Figure 2a shows a cross-sectional view of the a-IGZO-based BC-TG TFT. We applied the interface traps model of Heiman [17,18]. Figure 2b shows the sub-gap DOS distribution designed to match the RF-sputtered a-IGZO TFTs in terms of their electrical characteristics (RF sub-gap DOS) via sub-gap DOS engineering mechanism [13,15].
The total acceptor-like DOS (DTA (E)), total donor-like DOS (DTD (E)), and VO DOS (DOV (E)) have the properties of acceptor-like traps, donor-like traps, and DOV (E), respectively. In practice, both NTA and NTD in the sub-gap DOS increase because of the presence of process stress and hydrogen defect states [5,8]. In this study, the RF sub-gap DOS design parameters were selected to match the RF-sputtered transfer characteristics of the a-IGZO TFTs as presented below in Table 1.
Figure 2c,d present an energy band diagram of the a-IGZO TFT with an A to A′ vertical cutline and a B to B′ lateral cutline. This illustration can not only explain the mechanism of field-effect TFTs, but also can be used to predict the electron distribution when the device operates according to Poisson’s Equation from Labels (3) to (6):
d F d x = q ( D OV + 2 ( E ) 2 e D TA ( E ) ) ϵ s ϵ o ,
d F d x = q ( 2 N OV + 2 N TA ) ϵ s ϵ o ,
F ( x ) = q ( 2 N OV + 2 N TA ) ϵ s ϵ o ( W D x ) ,
V ( x ) = q ( 2 N OV + 2 N TA ) 2 ϵ s ϵ o ( W D x ) 2 ,
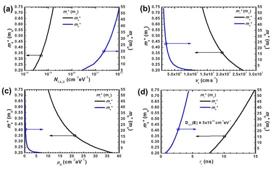
where ϵ s is the a-IGZO dielectric constant set at 10 in this study, ϵ o is the vacuum permittivity, F is the electric field, q is the elementary charge, WD is the depletion width, and x is the relative location. The energy band analysis could observe the effect of traps through the variation of energy when an electron is working. Figure 3 shows the relationship of mr* to the design parameters: NTA, NTD, thermal velocity (vt), the lifetime related to trap site ( τ t ) at the NOV (donor-like edge traps density of DOV (E)), and the hall mobility (μ0). These variables were calculated using formulas from Labels (7) to (10), respectively [18,19]. At an me* of 0.34 and an mh* of 21 mo [5,13], the following design parameters were obtained: a NTA of 4.97 × 1018 cm−3eV−1, a NTD of 2.41 × 1021 cm−3eV−1, a vt of 2 × 107 cms−1, a τ n of 10 ns, a τ p of 2 ns, and a μ0 of 22 cm2V−1s−1. As a result, we can completely obtain the transfer characteristics of the RF-sputtered a-IGZO BG-TC TFTs (Table 2).
N C , V = 2 ( 2 π m r * k t h 2 ) 3 2 ,
v t = 3 k t m r * ,
τ t = 1 v t c n , h N T ( E ) ,
μ 0 = q h 12 π m r * k t ,
in the above Equations, k is the Boltzmann constant, and t is room temperature of 300 K. cn,p is the capture cross-section of electron and hole, NT (E) is the trap-DOS in the active layer, and h is the Planck constant (2πђ).
We assumed that CAn, CAh, CDh, and CDn were 1 × 10−14, 1 × 10−16, 1 × 10−16, and 1 × 10−14 cm2, respectively, since the acceptor-like traps are negatively charged when occupied by an electron, and the donor-like traps are positively charged when emptied. We also assume a fully ionized DOV (E) at the metastable condition. Thus, the electron concentration was calculated to be 1 × 1017 cm−3 and (ECEf) is calculated to be 0.1 eV using Equation (9):
( E C E f ) = k t ln ( N C 2 N OV ) .
The interface traps were modeled with the Heiman model because the electrical mechanisms between the GI and semiconductor layer are better expressed when the transient time is taken into consideration during device operation. The Heiman interface mechanism could be obtained from the following equations:
d N it d t = N it [ v tn c n ( d ) { n ( 1 f it ) f it n i e E t E i k t } v th c h ( d ) { h f it ( 1 f it ) n i e E i E t k t } ] ,
c n ( d ) = c n e { 2 m e * ( E C E it ) 2 } d ,
c h ( d ) = c h e { 2 m h * ( E it E V ) 2 } d ,
where Nit is the effective interface traps density and d is the interface traps density depth between a-IGZO and GI. For a more accurate simulation, we used Shockley–Read–Hall (SRH) recombination with trap-assisted tunneling [18,20]:
R TAT = n i 2 n h τ h 1 + E rh 2 ( 1 k t 10 3 E rh ( 2 m h * q h | F | ) 1 2 ( n + n i e ( E T E i k t ) ) + τ n 1 + E rn 2 ( 1 k t 10 3 E rn ( 2 m e * q h | F | ) 1 2 ( h + h i e ( E i E T k t ) ) ,
where Erh is the hole tunneling range, Ern is the electron tunneling range, and ET is the trap energy level.

3. Results and Discussion

Figure 4a shows the drain current-gate voltage (IDSVGS) transfer characteristics at the RF sub-gap DOS with the variation of me* in the linear and saturation regions. As me* increased up to 0.44 mo, μfe and Ion in the linear region fall to 10.6 and 2.7 µA, respectively. In order to analyze the effect of only changing me*, we extracted a vertical energy band diagram at VGS = 15 and VDS = 0.1 V using the simulation tools as shown in Figure 4b. As me* changed from 0.24 to 0.44 mo, the electron potential energy also increases from −0.067 to −0.049 eV. This meant that high me* electrons were more easily captured and hardly emitted when compared to low me* electrons. This was due to the negative charge of acceptor-like traps when holding the electrons, which could be explained using the Poisson’s Equation. Therefore, the relationship between me* and NTA is expressed as:
m e * e t 1 e e .
The et defines the probability that the electrons are trapped by NTA, and ee defines the probability that the electrons escape NTA. It was utilized to study the effect of me* through energy band analysis.
However, it is necessary for BC to consider the variation of NTA by me*. as the NTA would cause sub-gap scattering. The sub-gap scattering could be reinterpreted by the following Equations [13,18]:
1 μ = 1 μ pn + 1 μ sg + 1 μ sf ,
μ sg = μ 0 1 + [ ( D TA ( E ) + D OV ( E ) ) / ( c u b i c ) ] a + b .
In the above equations, μ pn denotes phonon scattering due to lattice vibrations, μ s f represents surface scattering due to interface traps, μ sg shows sub-gap scattering, the cubic is DOV (E) and DTA (E) per cubic centimeter, and a and b are experimental coefficients. Therefore, a-IGZO TFT could reinterpret the sub-gap scattering mechanism. Figure 4c shows that, by changing me*, NTA is theoretically is affected. The NTA was increased from 2.95 × 1018 to 7.32 × 1018 cm−3eV−1 when the me* changed from 0.24 to 0.44 mo. WTA is not related to mr* but rather related to amorphous randomness [9,11], and NGA (E) is not related to mr* but rather deep traps density [4,8]. Thus, these values were maintained. Therefore, in order to accurately interpret the effect of electrical characteristics on mr*, WTA and NGA (E) should maintain their values in this paper. As a result, we observed a high variation of transfer curve under the Vth region at the BC sub-gap DOS as shown in Figure 4d. In order to obtain more detailed electrical performance trends, we used the gm extraction method as below Equation [3,5]:
I DS = μ fe , lin · C ox ( W L ) ( V GS V th ) V DS ( V DS 2 2 )   ( at   V GS V th > V DS ) ,
I DS = μ fe , sat · C ox ( W 2 L ) ( V GS V th ) 2   ( at   V DS V GS V th ) .
Thus, μfe and Vth can be obtained using the following gm extraction equation:
g m = I DS V GS = μ fe , lin · C ox ( W L ) V DS ,
μ fe , lin ( V GS ) = g m ( V GS ) C ox · V DS ( L W ) ,
g m = I DS 1 2 V GS = ( μ fe , sat · C ox ( W 2 L ) ) 1 2 ,
μ fe , sat = ( g m ) 2 C ox ( 2 L W ) .
The Cox denotes the SiO2 capacitance.
Figure 5a shows µfe by changing me* at the RF and BC sub-gap DOS distributions in the linear and saturation regions. As the me* increased from 0.24 to 0.44 mo, µfe decreased from 16.4 to 10.6 cm2V−1s−1 in the linear region, and from 17.1 to 10.8 cm2V−1s−1 in the saturation region at the RF sub-gap DOS distribution. At the BC sub-gap DOS distribution, as the me* increased from 0.24 to 0.44 mo, µfe also decreased from 18.5 to 11.7 cm2V−1s−1 in the linear region, and from 19.7 to 12.1 cm2V−1s−1 in the saturation region. It was found that the BC sub-gap DOS distribution exhibited higher µfe than the RF sub-gap DOS distribution because of relatively high NTA. Figure 5b shows the variation of Ion with me* at the RF and BC sub-gap DOS distributions in the linear and saturation regions. As me* increased from 0.24 to 0.44 mo, Ion decreased from 4.0 to 2.7 µA in the linear region and from 0.23 to 0.16 mA in the saturation region at the RF sub-gap DOS distribution. At the BC sub-gap DOS distribution, as me* increased, Ion also decreased from 5.3 to 3.2 µA in the linear region, and from 0.36 to 0.21 mA in the saturation region. It was found that the BC sub-gap DOS distribution exhibited higher Ion than RF sub-gap DOS distribution also because of the relatively high NTA. The high NTA distribution in the a-IGZO TFTs was caused by the increasing probability of capture electron and sub-gap scattering. Figure 5c shows the change in Vth with the variation of me* at the RF and BC sub-gap DOS distributions in the linear and saturation regions. As me* increased from 0.24 to 0.44 mo, Vth decreased from 3.4 to 2.9 V in the linear region, and from 3.3 to 2.6 V in the saturation region at the RF sub-gap DOS distribution. Unexpectedly, the Vth decreased in the transfer curve at the RF sub-gap DOS distribution, because the x-axis intersection had negative shifted with decreasing slope, as evident from the gm extraction equation. However, intrinsic Vth would have a slight increase as noticed through energy band analysis. At the BC sub-gap DOS distribution, as NTA increases from 2.95 × 1018 to 7.32 × 1018 cm−3eV−1 by varying me* from 0.24 to 0.44 mo, Vth increased from 0.7 to 1.5 V in the linear region, and from 0.7 to 1.3 V in the saturation region. It was found that NTA affected Vth more than me*. This could be utilized to predict the practical tendency of Vth through optimizing me*.
To illustrate this trend, we reinterpreted the conductivity mechanism [21]. It can be expressed to drift drain current density (Jn,drift) as
J n , drift = q ( n n t ) u fe F .
Thus, the conductivity is
σ = q ( n n t ) u fe .
It is hypothesized that the observed positive shift in Vth at the BC sub-gap DOS was because of the low conductivity, which caused difficulty in channel formation through the electron capture by NTA. To understand it in more detail, Figure 5d shows the mechanism of multiple trapping and release (MTR) [22], sub-gap scattering, and low conductivity effect of me*. Therefore, me* is a very important parameter because it affects NTA, and has a major influence on the electrical performances in a-IGZO TFT. In addition, we would expect greater improvements in device performance to arise from appropriate me* design and sub-gap engineering compared with conventional a-IGZO TFTs.

4. Conclusions

In this work, the a-IGZO-based BG-TC TFT was designed through experimental-based a-IGZO TFTs using TCAD simulations. Based on the parameters optimized to mimic experimental results, we only changed me* from 0.24 to 0.44 mo to study its effects. For low me*, μfe, and Ion were higher because of a lower probability of electron capture by NTA through energy band analysis. Furthermore, we have investigated the influence of me* and NTA on the BC sub-gap DOS. As a result, we had reinterpreted the effects of sub-gap scattering, low conductivity, and the relationship between me* and NTA through energy band analysis and semiconductor mechanism. Thus, we were able to obtain the tendencies of μfe, Ion, and Vth electrical characteristics of a-IGZO TFT. In addition, our model could be utilized to predict the limit of theoretical electrical characteristics according to me* of a-IGZO TFT. Therefore, this study would be able to provide valuable information for the design of backplane unit devices for high-resolution applications.

Author Contributions

The manuscript was written and the software validated by J.P. Formal analysis and investigation were conducted by J.-I.P. and D.-K.K. Reviews and editing were conducted by P.L., I.M.K., J.J., and H.K. Project administration was conducted by J.-H.B. All authors have read and agreed to the published version of the manuscript.

Funding

This research was funded by National Research Foundation of Korea (NRF) and ICT, 2018R1A2B6008815 and was funded by the Ministry of Education of Korea, 21A20131600011.

Acknowledgments

This research was supported by the Basic Science Research Program through the National Research Foundation of Korea (NRF) funded by the Ministry of Science and ICT (2018R1A2B6008815) and by the BK21 Plus project funded by the Ministry of Education, Korea (21A20131600011).

Conflicts of Interest

The authors declare no conflict of interest.

References

  1. Ha, C.; Lee, H.J.; Kwon, J.W.; Seok, S.Y.; Ryoo, C.I.; Yun, K.Y.; Cha, S.Y. 69.2: Distinguished Paper: High Reliable a-IGZO TFTs with Self-Aligned Coplanar Structure for Large-Sized Ultrahigh-Definition OLED TV. Dig. Tech. Pap. 2015, 46, 1020–1022. [Google Scholar] [CrossRef]
  2. Bae, J.U.; Kim, D.H.; Kim, K.; Jung, K.; Shin, W.; Kang, I.; Yeo, S. 10.2: Invited Paper: Development of Oxide TFT’s Structures. Dig. Tech. Pap. 2013, 44, 89–92. [Google Scholar] [CrossRef]
  3. Hayashi, R.; Sato, A.; Ofuji, M.; Abe, K.; Yabuta, H.; Sano, M.; Hosono, H. 42.1: Invited Paper: Improved Amorphous In-Ga-Zn-O TFTs. Dig. Tech. Pap. 2008, 39, 621–624. [Google Scholar] [CrossRef]
  4. Lee, G.J.; Kim, J.; Kim, J.H.; Jeong, S.M.; Jang, J.E.; Jeong, J. High performance, transparent a-IGZO TFTs on a flexible thin glass substrate. Semicond. Sci. Technol. 2015, 29, 035003. [Google Scholar] [CrossRef]
  5. Kamiya, T.; Nomura, K.; Hosono, H. Present status of amorphous In–Ga–Zn–O thin-film transistors. Sci. Technol. Adv. Mater. 2010, 11, 044305. [Google Scholar] [CrossRef] [PubMed]
  6. Ryu, B.; Noh, H.K.; Choi, E.A.; Chang, K.J. O-vacancy as the origin of negative bias illumination stress instability in amorphous In–Ga–Zn–O thin film transistors. Appl. Phys. Lett. 2010, 97, 022108. [Google Scholar] [CrossRef]
  7. Nahm, H.H.; Kim, Y.S.; Kim, D.H. Instability of amorphous oxide semiconductors via carrier-mediated structural transition between disorder and peroxide state. Phys. Status Solidi B 2012, 249, 1277–1281. [Google Scholar] [CrossRef]
  8. Kang, Y.; Ahn, B.D.; Song, J.H.; Mo, Y.G.; Nahm, H.H.; Han, S.; Jeong, J.K. Hydrogen Bistability as the Origin of Photo-Bias-Thermal Instabilities in Amorphous Oxide Semiconductors. Adv. Electron. Mater. 2015, 1, 1400006. [Google Scholar] [CrossRef]
  9. Kamiya, T.; Nomura, K.; Hosono, H. Electronic structure of the amorphous oxide semiconductor a-InGaZnO4–x: Tauc–Lorentz optical model and origins of subgap states. Phys. Status Solidi A 2009, 206, 860–867. [Google Scholar] [CrossRef]
  10. Hosono, H. Ionic amorphous oxide semiconductors: Material design, carrier transport, and device application. J. Non-Cryst. Solids 2006, 352, 851–858. [Google Scholar] [CrossRef]
  11. Minami, T. Transparent conducting oxide semiconductors for transparent electrodes. Semicond. Sci. Technol. 2005, 20, S35. [Google Scholar] [CrossRef]
  12. Nelson, E. Derivation of the Schrödinger equation from Newtonian mechanics. Phys. Rev. 1966, 150, 1079. [Google Scholar] [CrossRef]
  13. Kim, Y.; Bae, M.; Kim, W.; Kong, D.; Jung, H.K.; Kim, H.; Kim, D.H. Amorphous InGaZnO thin-film transistors—Part I: Complete extraction of density of states over the full subband-gap energy range. IEEE Trans. Electron Devices 2012, 59, 2689–2698. [Google Scholar] [CrossRef]
  14. Park, J.; Kwon, J.H.; Battaglini, N.; Lang, P.; Bae, J.H.; Kim, H. Importance of active layer positioning on gate electrode in organic thin-film transistors. Mol. Cryst. Liq. Cryst. 2018, 660, 72–78. [Google Scholar] [CrossRef]
  15. Kim, Y.; Kim, S.; Kim, W.; Bae, M.; Jeong, H.K.; Kong, D.; Kim, D.H. Amorphous InGaZnO thin-film transistors—Part II: Modeling and simulation of negative bias illumination stress-induced instability. IEEE Trans. Electron Devices 2012, 59, 2699–2706. [Google Scholar] [CrossRef]
  16. Fung, T.C.; Chuang, C.S.; Chen, C.; Abe, K.; Cottle, R.; Townsend, M.; Kanicki, J. Two-dimensional numerical simulation of radio frequency sputter amorphous In–Ga–Zn–O thin-film transistors. J. Appl. Phys. 2009, 106, 084511. [Google Scholar] [CrossRef]
  17. Heiman, F.P.; Warfield, G. The effects of Oxide Traps on the MOS Capacitance. IEEE Trans. Electron Devices 1965, 12, 167–178. [Google Scholar] [CrossRef]
  18. Altas User’s Manual; Silvaco Inc.: Santa Clara, CA, USA, 2016.
  19. Stewart, K.A.; Wager, J.F. Thin-film transistor mobility limits considerations. J. Soc. Inf. Disp. 2016, 24, 386–393. [Google Scholar] [CrossRef]
  20. Hurkx, G.A.M.; Klaassen, D.B.M.; Knuvers, M.P.G.; O’hara, F.G. A new recombination model describing heavy-doping effects and low-temperature behaviour. In Proceedings of the International Technical Digest on Electron Devices Meeting, Washington, DC, USA, 3–6 December 1989; pp. 307–310. [Google Scholar]
  21. Hu, C. Modern Semiconductor Devices for Integrated Circuits; International edition; Prentice Hall: Upper Saddle River, NJ, USA, 2009; pp. 56–63. [Google Scholar]
  22. Li, L.; Lu, N.; Liu, M. Field effect mobility model in oxide semiconductor thin film transistors with arbitrary energy distribution of traps. IEEE Electron Device Lett. 2014, 35, 226–228. [Google Scholar] [CrossRef]
Figure 1. (a) schematic of the (amorphous-indium-gallium-zinc-oxide) a-IGZO (bottom gate-top contact) BG-TC structure. (b) Sub-gap (density of states) DOS distribution in the a-IGZO (thin-film transistor) TFT. (c) Bonding model and energy-band diagram for the a-IGZO TFT.
Figure 1. (a) schematic of the (amorphous-indium-gallium-zinc-oxide) a-IGZO (bottom gate-top contact) BG-TC structure. (b) Sub-gap (density of states) DOS distribution in the a-IGZO (thin-film transistor) TFT. (c) Bonding model and energy-band diagram for the a-IGZO TFT.
Electronics 09 00119 g001
Figure 2. (a) cross-sectional view of a-IGZO TFT; (b) sub-gap DOS distribution for match (radio frequency) RF-sputtering a-IGZO BG-TC TFTs; (c) energy band diagram by cutline range of A to A′; (d) energy band diagram by cutline range of B to B′.
Figure 2. (a) cross-sectional view of a-IGZO TFT; (b) sub-gap DOS distribution for match (radio frequency) RF-sputtering a-IGZO BG-TC TFTs; (c) energy band diagram by cutline range of A to A′; (d) energy band diagram by cutline range of B to B′.
Electronics 09 00119 g002
Figure 3. Distributions of (a) NTA and NTD (b) vt, and (c) μ0 according to mr*, (d) distributions of τt according to mr* at the DOV (E) = 5 × 16 cm−3eV−1.
Figure 3. Distributions of (a) NTA and NTD (b) vt, and (c) μ0 according to mr*, (d) distributions of τt according to mr* at the DOV (E) = 5 × 16 cm−3eV−1.
Electronics 09 00119 g003
Figure 4. (a) transfer curve for an me* range of 0.24 to 0.44 mo at the RF sub-gap DOS, (b) vertical energy band diagram for a cutline range of A to A′ at VGS = 15 V and VDS = 0.1 V, (c) Sub-gap DOS distribution theoretically satisfying the (boundary condition) BC, (d) transfer curve for an me* range of 0.24 to 0.44 mo at the BC sub-gap DOS.
Figure 4. (a) transfer curve for an me* range of 0.24 to 0.44 mo at the RF sub-gap DOS, (b) vertical energy band diagram for a cutline range of A to A′ at VGS = 15 V and VDS = 0.1 V, (c) Sub-gap DOS distribution theoretically satisfying the (boundary condition) BC, (d) transfer curve for an me* range of 0.24 to 0.44 mo at the BC sub-gap DOS.
Electronics 09 00119 g004
Figure 5. (a) µfe versus me*, (b) Ion versus me*, and (c) Vth versus me* at the RF and BC sub-gap DOS distribution in the linear and saturation region, (d) schematic of the (multiple trapping and release) MTR, sub-gap scattering, lattice scattering, and trapping electron mechanisms in the a-IGZO TFT.
Figure 5. (a) µfe versus me*, (b) Ion versus me*, and (c) Vth versus me* at the RF and BC sub-gap DOS distribution in the linear and saturation region, (d) schematic of the (multiple trapping and release) MTR, sub-gap scattering, lattice scattering, and trapping electron mechanisms in the a-IGZO TFT.
Electronics 09 00119 g005
Table 1. Simulation parameters for the a-IGZO TFT.
Table 1. Simulation parameters for the a-IGZO TFT.
ParameterValueUnitDescription
Eg3.2eVBandgap of a-IGZO
χs4.16eVAffinity of a-IGZO
εox3.9ε0SiO2 dielectric constant
NOV5 × 1016cm−3eV−1Gauss Donor-like edge traps density of DOV (E)
WOV0.08eVCharacteristic decay energy of DOV (E)
EOV3.0eVEnergy peak of DOV (E)
NTA2.4 × 1019cm−3eV−1Tail acceptor-like edge traps density
WTA0.06eVCharacteristic decay energy of DTA (E)
WGA0.28eVCharacteristic decay energy of DGA (E)
WTD0.08eVCharacteristic decay energy of DTD (E)
Nit1.1 × 1011cm−3eV−1Effective interface traps density
d2nmInterface trap depth between semiconductor and gate insulator
cDn1 × 10−16cm2Electron capture cross-section of the donor-like trap
cDp1 × 10−14cm2Hole capture cross-section of the donor-like trap
cAn1 × 10−14cm2Electron capture cross-section of the acceptor-like trap
cAp1 × 10−16cm2Hole capture cross-section of the acceptor-like trap
Table 2. Comparison with good transfer characteristics of a-IGZO TFTs derived from previous experimental-based work via RF-sputtering [3] and those derived numerically form this work.
Table 2. Comparison with good transfer characteristics of a-IGZO TFTs derived from previous experimental-based work via RF-sputtering [3] and those derived numerically form this work.
ComparisonMe (mo)µfe
(cm2V−1s−1)
Vth (V)Ion (A)
a-IGZO TFTs [3]0.3412.93.1~106
This work0.3412.93.13 × 106

Share and Cite

MDPI and ACS Style

Park, J.; Kim, D.-K.; Park, J.-I.; Kang, I.M.; Jang, J.; Kim, H.; Lang, P.; Bae, J.-H. Numerical Analysis on Effective Mass and Traps Density Dependence of Electrical Characteristics of a-IGZO Thin-Film Transistors. Electronics 2020, 9, 119. https://doi.org/10.3390/electronics9010119

AMA Style

Park J, Kim D-K, Park J-I, Kang IM, Jang J, Kim H, Lang P, Bae J-H. Numerical Analysis on Effective Mass and Traps Density Dependence of Electrical Characteristics of a-IGZO Thin-Film Transistors. Electronics. 2020; 9(1):119. https://doi.org/10.3390/electronics9010119

Chicago/Turabian Style

Park, Jihwan, Do-Kyung Kim, Jun-Ik Park, In Man Kang, Jaewon Jang, Hyeok Kim, Philippe Lang, and Jin-Hyuk Bae. 2020. "Numerical Analysis on Effective Mass and Traps Density Dependence of Electrical Characteristics of a-IGZO Thin-Film Transistors" Electronics 9, no. 1: 119. https://doi.org/10.3390/electronics9010119

APA Style

Park, J., Kim, D.-K., Park, J.-I., Kang, I. M., Jang, J., Kim, H., Lang, P., & Bae, J.-H. (2020). Numerical Analysis on Effective Mass and Traps Density Dependence of Electrical Characteristics of a-IGZO Thin-Film Transistors. Electronics, 9(1), 119. https://doi.org/10.3390/electronics9010119

Note that from the first issue of 2016, this journal uses article numbers instead of page numbers. See further details here.

Article Metrics

Back to TopTop